Physiological Noise Filtering in Functional Near-Infrared Spectroscopy Signals Using Wavelet Transform and Long-Short Term Memory Networks
Abstract
1. Introduction
2. Method Development
2.1. Synthetic fNIRS Data Generation
2.2. Maximal Overlap Discrete Wavelet Transform
2.3. Long Short-Term Memory
2.4. Validation
2.5. Synthetic Data Analysis
3. Human Data Application
3.1. fNIRS Data Acquisition
3.2. Human Data Analysis
4. Discussion
5. Conclusions
Author Contributions
Funding
Institutional Review Board Statement
Informed Consent Statement
Data Availability Statement
Conflicts of Interest
References
- Ayaz, H.; Baker, W.B.; Blaney, G.; Boas, D.A.; Bortfeld, H.; Brady, K.; Brake, J.; Brigadoi, S.; Buckley, E.M.; Carp, S.A.; et al. Optical imaging and spectroscopy for the study of the human brain: Status report. Neurophotonics 2022, 9, S24001. [Google Scholar] [CrossRef] [PubMed]
- Yoo, S.-H.; Woo, S.-W.; Shin, M.-J.; Yoon, J.A.; Shin, Y.-I.; Hong, K.-S. Diagnosis of mild cognitive impairment using cognitive tasks: A functional near-infrared spectroscopy study. Curr. Alzheimer Res. 2020, 17, 1145–1160. [Google Scholar] [CrossRef] [PubMed]
- Yang, D.L.; Hong, K.-S.; Yoo, S.-H.; Kim, C.-S. Evaluation of neural degeneration biomarkers in the prefrontal cortex for early identification of patients with mild cognitive impairment: An fNIRS study. Front. Hum. Neurosci. 2019, 13, 317. [Google Scholar] [CrossRef] [PubMed]
- Naseer, N.; Hong, K.-S. fNIRS-based brain-computer interfaces: A review. Front. Hum. Neurosci. 2015, 9, 3. [Google Scholar] [CrossRef] [PubMed]
- Yoo, S.-H.; Santosa, H.; Kim, C.-S.; Hong, K.-S. Decoding multiple sound-categories in the auditory cortex by neural networks: An fNIRS study. Front. Hum. Neurosci. 2021, 15, 63619. [Google Scholar] [CrossRef]
- Hong, K.-S.; Bhutta, M.R.; Liu, X.; Shin, Y.-I. Classification of somatosensory cortex activities using fNIRS. Behav. Brain Res. 2017, 333, 225–234. [Google Scholar] [CrossRef]
- Zhang, D.D.; Chen, Y.; Hou, X.L.; Wu, Y.J. Near-infrared spectroscopy reveals neural perception of vocal emotions in human neonates. Hum. Brain Mapp. 2019, 40, 2434–2448. [Google Scholar] [CrossRef]
- Flynn, M.; Effraimidis, D.; Angelopoulou, A.; Kapetanios, E.; Williams, D.; Hemanth, J.; Towell, T. Assessing the effectiveness of automated emotion recognition in adults and children for clinical investigation. Front. Hum. Neurosci. 2020, 14, 70. [Google Scholar] [CrossRef]
- Huang, R.; Qing, K.; Yang, D.; Hong, K.-S. Real-time motion artifact removal using a dual-stage median filter. Biomed. Signal Proces. 2022, 72, 103301. [Google Scholar] [CrossRef]
- Bicciato, G.; Keller, E.; Wolf, M.; Brandi, G.; Schulthess, S.; Friedl, S.G.; Willms, J.F.; Narula, G. Increase in low-frequency oscillations in fNIRS as cerebral response to auditory stimulation with familiar music. Brain Sci. 2022, 12, 42. [Google Scholar] [CrossRef]
- Rojas, R.F.; Huang, X.; Hernandez-Juarez, J.; Ou, K.L. Physiological fluctuations show frequency-specific networks in fNIRS signals during resting state. In Proceedings of the 39th Annual International Conference of the IEEE Engineering in Medicine and Biology Society (EMBC), Jeju, Republic of Korea, 11–15 July 2017. [Google Scholar]
- Vermeij, A.; Meel-van den Abeelen, A.S.S.; Kessels, R.P.C.; van Beek, A.H.E.A.; Claassen, J.A.H.R. Very-low-frequency oscillations of cerebral hemodynamics and blood pressure are affected by aging and cognitive load. Neuroimage 2014, 85, 608–615. [Google Scholar] [CrossRef] [PubMed]
- Noah, J.A.; Zhang, X.; Dravida, S.; DiCocco, C.; Suzuki, T.; Aslin, R.N.; Tachtsidis, I.; Hirsch, J. Comparison of short-channel separation and spatial domain filtering for removal of non-neural components in functional near-infrared spectroscopy signals. Neurophotonics 2021, 8, 015004. [Google Scholar] [CrossRef] [PubMed]
- Nguyen, H.D.; Yoo, S.-H.; Bhutta, M.R.; Hong, K.-S. Adaptive filtering of physiological noises in fNIRS data. Biomed. Eng. Online 2018, 17, 180. [Google Scholar] [CrossRef]
- Sutoko, S.; Chan, Y.L.; Obata, A.; Sato, H.; Maki, A.; Numata, T.; Funane, T.; Atsumori, H.; Kiguchi, M.; Tang, T.B.; et al. Denoising of neuronal signal from mixed systemic low-frequency oscillation using peripheral measurement as noise regressor in near-infrared imaging. Neurophotonics 2019, 6, 015001. [Google Scholar] [CrossRef] [PubMed]
- Hong, K.-S.; Khan, M.J.; Hong, M.J. Feature extraction and classification methods for hybrid fNIRS-EEG brain-computer interfaces. Front. Hum. Neurosci. 2018, 12, 246. [Google Scholar] [CrossRef]
- von Luhmann, A.; Ortega-Martinez, A.; Boas, D.A.; Yucel, M.A. Using the general linear model to improve performance in fNIRS single trial analysis and classification: A perspective. Front. Hum. Neurosci. 2020, 14, 30. [Google Scholar] [CrossRef]
- Shensa, M.J. The discrete wavelet transform—Wedding the a trous and Mallat algorithms. IEEE Trans. Signal Process. 1992, 40, 2464–2482. [Google Scholar] [CrossRef]
- Molavi, B.; Dumont, G.A. Wavelet-based motion artifact removal for functional near-infrared spectroscopy. Physiol. Meas. 2012, 33, 259–270. [Google Scholar] [CrossRef]
- Duan, L.; Zhao, Z.P.; Lin, Y.L.; Wu, X.Y.; Luo, Y.J.; Xu, P.F. Wavelet-based method for removing global physiological noise in functional near-infrared spectroscopy. Biomed. Opt. Express 2018, 9, 330656. [Google Scholar] [CrossRef]
- Dommer, L.; Jager, N.; Scholkmann, F.; Wolf, M.; Holper, L. Between-brain coherence during joint n-back task performance: A two-person functional near-infrared spectroscopy study. Behav. Brain Res. 2012, 234, 212–222. [Google Scholar] [CrossRef]
- Holper, L.; Scholkmann, F.; Wolf, M. Between-brain connectivity during imitation measured by fNIRS. Neuroimage 2012, 63, 212–222. [Google Scholar] [CrossRef]
- Zhu, L.; Wang, Y.X.; Fan, Q.B. MODWT-ARMA model for time series prediction. Appl. Math. Model. 2014, 38, 1859–1865. [Google Scholar] [CrossRef]
- Percival, D.B.; Walden, A.T. Wavelet Methods for Time Series Analysis; Cambridge University Press: Cambridge, UK, 2000. [Google Scholar]
- Abdelhakim, S.; El Amine, D.S.M.; Fadia, M. Maximal overlap discrete wavelet transform-based abrupt changes detection for heart sounds segmentation. J. Mech. Med. Biol. 2023, 23, 2350017. [Google Scholar] [CrossRef]
- Adib, A.; Zaerpour, A.; Lotfirad, M. On the reliability of a novel MODWT-based hybrid ARIMA-artificial intelligence approach to forecast daily Snow Depth (Case study: The western part of the Rocky Mountains in the USA). Cold Reg. Sci. Technol. 2021, 189, 103342. [Google Scholar] [CrossRef]
- Yousuf, M.U.; Al-Bahadly, I.; Avci, E. Short-Term Wind Speed Forecasting based on hybrid MODWT-ARIMA-Markov model. IEEE Access 2021, 9, 79695–79711. [Google Scholar] [CrossRef]
- Li, M.Y.; Chen, W.Z.; Zhang, T. Application of MODWT and log-normal distribution model for automatic epilepsy identification. Biocybern. Biomed. Eng. 2017, 37, 679–689. [Google Scholar] [CrossRef]
- Bizzego, A.; Gabrieli, G.; Esposito, G. Deep neural networks and transfer learning on a multivariate physiological signal dataset. Bioengineering 2021, 8, 35. [Google Scholar] [CrossRef]
- ElNakieb, Y.; Ali, M.T.; Elnakib, A.; Shalaby, A.; Mahmoud, A.; Soliman, A.; Barnes, G.N.; El-Baz, A. Understanding the role of connectivity dynamics of resting-state functional MRI in the diagnosis of autism spectrum disorder: A comprehensive study. Bioengineering 2023, 10, 56. [Google Scholar] [CrossRef]
- Madan, P.; Singh, V.; Singh, D.P.; Diwakar, M.; Pant, B.; Kishor, A. A hybrid deep learning approach for ECG-based arrhythmia classification. Bioengineering 2022, 9, 152. [Google Scholar] [CrossRef]
- Lee, P.L.; Chen, S.H.; Chang, T.C.; Lee, W.K.; Hsu, H.T.; Chang, H.H. Continual learning of a transformer-based deep learning classifier using an initial model from action observation EEG data to online motor imagery classification. Bioengineering 2023, 10, 186. [Google Scholar] [CrossRef]
- Nafea, M.S.; Ismail, Z.H. Supervised machine learning and deep learning techniques for epileptic seizure recognition using EEG signals-A systematic literature review. Bioengineering 2022, 9, 781. [Google Scholar] [CrossRef] [PubMed]
- Ghonchi, H.; Fateh, M.; Abolghasemi, V.; Ferdowsi, S.; Rezvani, M. Deep recurrent-convolutional neural network for classification of simultaneous EEG-fNIRS signals. IET Signal Process. 2020, 14, 142–153. [Google Scholar] [CrossRef]
- Hekmatmanesh, A.; Azni, H.M.; Wu, H.; Afsharchi, M.; Li, M.; Handroos, H. Imaginary control of a mobile vehicle using deep learning algorithm: A brain computer interface study. IEEE Access 2021, 10, 20043–20052. [Google Scholar] [CrossRef]
- Hochreiter, S.; Schmidhuber, J. Long short-term memory. Neural Comput. 1997, 9, 1735–1780. [Google Scholar] [CrossRef] [PubMed]
- Cao, J.; Li, Z.; Li, J. Financial time series forecasting model based on CEEMDAN and LSTM. Phys. A 2019, 519, 127–139. [Google Scholar] [CrossRef]
- Esmaeili, F.; Cassie, E.; Nguyen, H.P.T.; Plank, N.O.V.; Unsworth, C.P.; Wang, A.L. Predicting analyte concentrations from electrochemical aptasensor signals using LSTM recurrent networks. Bioengineering 2022, 9, 529. [Google Scholar] [CrossRef]
- Shao, E.Z.; Mei, Q.C.; Ye, J.Y.; Ugbolue, U.C.; Chen, C.Y.; Gu, Y.D. Predicting coordination variability of selected lower extremity couplings during a cutting movement: An investigation of deep neural networks with the LSTM structure. Bioengineering 2022, 9, 411. [Google Scholar] [CrossRef]
- Phutela, N.; Relan, D.; Gabrani, G.; Kumaraguru, P.; Samuel, M. Stress classification using brain signals based on LSTM network. Comput. Intell. Neurosci. 2022, 2022, 767592. [Google Scholar] [CrossRef]
- Barzegar, R.; Aalami, M.T.; Adamowski, J. Coupling a hybrid CNN-LSTM deep learning model with a boundary corrected maximal overlap discrete wavelet transform for multiscale lake water level forecasting. J. Hydrol. 2021, 598, 126196. [Google Scholar] [CrossRef]
- Li, Y.T.; Li, R.Y. Predicting ammonia nitrogen in surface water by a new attention-based deep learning hybrid model. Environ. Res. 2023, 216, 114723. [Google Scholar] [CrossRef]
- Li, Y.M.; Peng, T.; Zhang, C.; Sun, W.; Hua, L.; Ji, C.L.; Shahzad, N.M. Multi-step ahead wind speed forecasting approach coupling maximal overlap discrete wavelet transform, improved grey wolf optimization algorithm and long short-term memory. Renew. Energy 2022, 196, 1115–1126. [Google Scholar] [CrossRef]
- Raghu, S.; Sriraam, N.; Temel, Y.; Rao, S.V.; Hegde, A.S.; Kubben, P.L. Complexity analysis and dynamic characteristics of EEG using MODWT based entropies for identification of seizure onset. J. Biomed. Res. 2020, 34, 213–227. [Google Scholar] [CrossRef] [PubMed]
- Ge, Q.; Lin, Z.C.; Gao, Y.X.; Zhang, J.X. A robust discriminant framework based on functional biomarkers of eeg and its potential for diagnosis of Alzheimer’s disease. Healthcare 2020, 8, 476. [Google Scholar] [CrossRef] [PubMed]
- Cordes, D.; Kaleem, M.F.; Yang, Z.S.; Zhuang, X.W.; Curran, T.; Sreenivasan, K.R.; Mishra, V.R.; Nandy, R.; Walsh, R.R. Energy-period profiles of brain networks in group fMRI resting-state data: A comparison of empirical mode decomposition with the short-time Fourier transform and the discrete wavelet transform. Front. Neurosci. 2021, 15, 663403. [Google Scholar] [CrossRef]
- Martin-Chinea, K.; Ortega, J.; Gomez-Gonzalez, J.F.; Pereda, E.; Toledo, J.; Acosta, L. Effect of time windows in LSTM networks for EEG-based BCIs. Cogn. Neurodyn. 2023, 17, 385–398. [Google Scholar] [CrossRef]
- Van Houdt, G.; Mosquera, C.; Napoles, G. A review on the long short-term memory model. Artif. Intell. Rev. 2020, 53, 5929–5955. [Google Scholar] [CrossRef]
- Gemignani, J.; Gervain, J.; IEEE. A practical guide for synthetic fNIRS data generation. In Proceedings of the 43rd Annual International Conference of the IEEE Engineering in Medicine and Biology Society (EMBC), Electronic Network, Virtual, 1–5 November 2021; pp. 828–831. [Google Scholar]
- Gemignani, J.; Middell, E.; Barbour, R.L.; Graber, H.L.; Blankertz, B. Improving the analysis of near-spectroscopy data with multivariate classification of hemodynamic patterns: A theoretical formulation and validation. J. Neural Eng. 2018, 15, 045001. [Google Scholar] [CrossRef]
- Zhang, Q.; Li, F.; Long, F.; Ling, Q. Vehicle emission forecasting based on wavelet transform and long short-term memory network. IEEE Access 2018, 6, 56984–56994. [Google Scholar] [CrossRef]
- Seo, Y.; Choi, Y.; Choi, J. River stage modeling by combining maximal overlap discrete wavelet transform, support vector machines and genetic algorithm. Water 2017, 9, 525. [Google Scholar] [CrossRef]
- Abbasimehr, H.; Paki, R. Improving time series forecasting using LSTM and attention models. J. Ambient Intell. Humaniz. Comput. 2022, 13, 673–691. [Google Scholar] [CrossRef]
- Cutini, S.; Basso Moro, S.; Bisconti, S. Functional near infrared optical imaging in cognitive neuroscience: An introductory review. J. Near Infrared Spectrosc. 2012, 20, 75–92. [Google Scholar] [CrossRef]
- Ernst, L.S.; Schneider, S.; Ehlis, A.-C.; Fallgatter, A.J. Functional near infrared spectroscopy in psychiatry: A critical review. J. Near Infrared Spectrosc. 2012, 20, 93–105. [Google Scholar] [CrossRef]
- Hu, X.S.; Hong, K.-S.; Ge, S.Z.S.; Jeong, M.-Y. Kalman estimator- and general linear model-based on-line brain activation mapping by near-infrared spectroscopy. Biomed. Eng. Online 2010, 9, 82. [Google Scholar] [CrossRef] [PubMed]
- Scarpa, F.; Brigadoi, S.; Cutini, S.; Scatturin, P.; Zorzi, M.; Dell’Acqua, R.; Sparacino, G. A reference-channel based methodology to improve estimation of event-related hemodynamic response from fNIRS measurements. Neuroimage 2013, 72, 106–119. [Google Scholar] [CrossRef]
- von Luhmann, A.; Li, X.E.; Muller, K.R.; Boas, D.A.; Yucel, M.A. Improved physiological noise regression in fNIRS: A multimodal extension of the general linear model using temporally embedded canonical correlation analysis. Neuroimage 2020, 208, 116472. [Google Scholar] [CrossRef]
- Barker, J.W.; Aarabi, A.; Huppert, T.J. Autoregressive model based algorithm for correcting motion and serially correlated errors in fNIRS. Biomed. Opt. Express 2013, 4, 1366–1379. [Google Scholar] [CrossRef]
- Zhang, Q.; Strangman, G.E.; Ganis, G. Adaptive filtering to reduce global interference in non-invasive NIRS measures of brain activation: How well and when does it work? Neuroimage 2009, 45, 788–794. [Google Scholar] [CrossRef]
- Aqil, M.; Hong, K.-S.; Jeong, M.-Y.; Ge, S.S. Cortical brain imaging by adaptive filtering of NIRS signals. Neurosci. Lett. 2012, 514, 35–41. [Google Scholar] [CrossRef]
- Zafar, A.; Hong, K.-S. Neuronal activation detection using vector phase analysis with dual threshold circles: A functional near-infrared spectroscopy study. Int. J. Neural Syst. 2018, 28, 1850031. [Google Scholar] [CrossRef]
- Hong, K.-S.; Zafar, A. Existence of initial dip for BCI: An illusion or reality. Front. Neurorobot. 2018, 12, 69. [Google Scholar] [CrossRef]
- Shan, Z.Y.; Wright, M.J.; Thompson, P.M.; McMahon, K.L.; Blokland, G.; de Zubicaray, G.I.; Martin, N.G.; Vinkhuyzen, A.A.E.; Reutens, D.C. Modeling of the hemodynamic responses in block design fMRI studies. J. Cereb. Blood Flow Metab. 2014, 34, 316–324. [Google Scholar] [CrossRef] [PubMed]
- Buxton, R.B.; Uludag, K.; Dubowitz, D.J.; Liu, T.T. Modeling the hemodynamic response to brain activation. Neuroimage 2004, 23, S220–S233. [Google Scholar] [CrossRef] [PubMed]
- Huang, R.S.; Hong, K.-S. Multi-channel-based differential pathlength factor estimation for continuous-wave fNIRS. IEEE Access 2021, 9, 37386–37396. [Google Scholar] [CrossRef]
- Hong, K.-S.; Nguyen, H.D. State-space models of impulse hemodynamic responses over motor, somatosensory, and visual cortices. Biomed. Opt. Express 2014, 5, 1778–1798. [Google Scholar] [CrossRef]
- Aqil, M.; Hong, K.-S.; Jeong, M.-Y.; Ge, S.S. Detection of event-related hemodynamic response to neuroactivation by dynamic modeling of brain activity. Neuroimage 2012, 63, 553–568. [Google Scholar] [CrossRef] [PubMed]











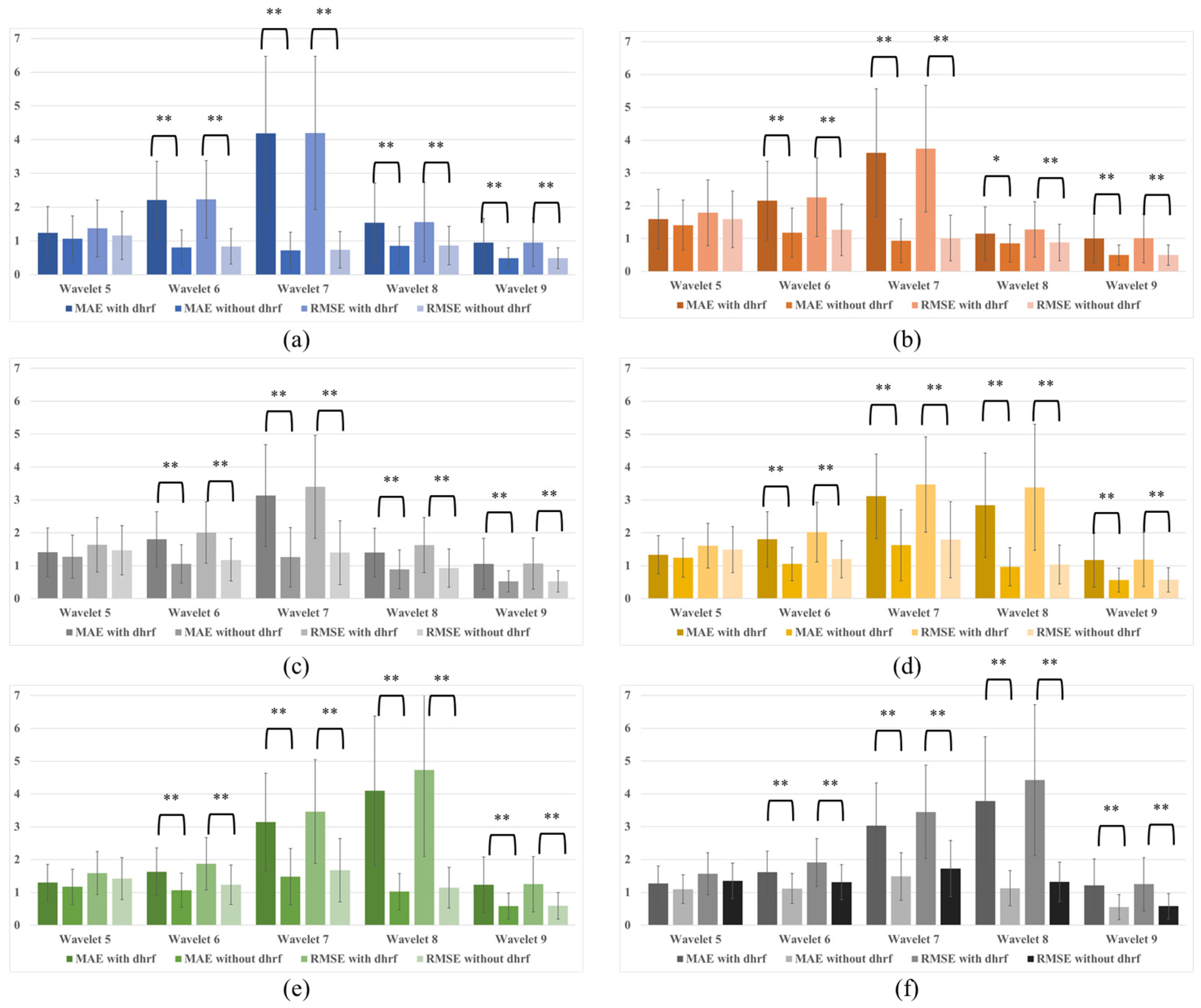
| Wavelet 5 | Wavelet 6 | Wavelet 7 | Wavelet 8 | Wavelet 9 | |||||||||||||||||
|---|---|---|---|---|---|---|---|---|---|---|---|---|---|---|---|---|---|---|---|---|---|
| MAE with dHRF | MAE w/o dHRF | RMSE with dHRF | RMSE w/o dHRF | MAE with dHRF | MAE w/o dHRF | RMSE with dHRF | RMSE w/o dHRF | MAE with dHRF | MAE w/o dHRF | RMSE with dHRF | RMSE w/o dHRF | MAE with dHRF | MAE w/o dHRF | RMSE with dHRF | RMSE w/o dHRF | MAE with dHRF | MAE w/o dHRF | RMSE with dHRF | RMSE w/o dHRF | ||
| 1 | Mean | 1.07 | 1.02 | 1.32 | 1.24 | 1.53 | 1.01 | 1.79 | 1.17 | 2.74 | 1.23 | 3.10 | 1.42 | 3.54 | 1.10 | 4.12 | 1.26 | 1.06 | 0.53 | 1.09 | 0.56 |
| Std | 0.32 | 0.33 | 0.38 | 0.39 | 0.57 | 0.41 | 0.64 | 0.46 | 1.18 | 0.64 | 1.29 | 0.72 | 1.97 | 0.52 | 2.30 | 0.57 | 0.76 | 0.32 | 0.76 | 0.32 | |
| p | 0.40 | 0.35 | 0.00 ** | 0.00 ** | 0.00 ** | 0.00 ** | 0.00 ** | 0.00 ** | 0.00 ** | 0.00 ** | |||||||||||
| 2 | Mean | 1.27 | 1.10 | 1.57 | 1.35 | 1.62 | 1.12 | 1.91 | 1.31 | 3.04 | 1.48 | 3.45 | 1.72 | 3.78 | 1.13 | 4.42 | 1.32 | 1.22 | 0.55 | 1.25 | 0.58 |
| Std | 0.54 | 0.44 | 0.64 | 0.54 | 0.64 | 0.46 | 0.73 | 0.53 | 1.30 | 0.73 | 1.42 | 0.85 | 1.96 | 0.54 | 2.30 | 0.60 | 0.81 | 0.38 | 0.81 | 0.39 | |
| p | 0.09 | 0.08 | 0.00 ** | 0.00 ** | 0.00 ** | 0.00 ** | 0.00 ** | 0.00 ** | 0.00 ** | 0.00 ** | |||||||||||
| 3 | Mean | 1.13 | 0.99 | 1.40 | 1.22 | 1.62 | 1.03 | 1.91 | 1.21 | 2.79 | 1.41 | 3.22 | 1.62 | 3.27 | 1.50 | 3.81 | 1.70 | 1.21 | 0.60 | 1.25 | 0.64 |
| Std | 0.41 | 0.27 | 0.50 | 0.34 | 0.67 | 0.43 | 0.75 | 0.48 | 1.02 | 0.96 | 1.13 | 1.05 | 1.58 | 0.91 | 1.84 | 1.04 | 0.83 | 0.44 | 0.83 | 0.46 | |
| p | 0.05 | 0.04 * | 0.00 ** | 0.00 ** | 0.00 ** | 0.00 ** | 0.00 ** | 0.00 ** | 0.00 ** | 0.00 ** | |||||||||||
| 4 | Mean | 1.08 | 0.97 | 1.33 | 1.19 | 1.50 | 0.88 | 1.76 | 1.04 | 2.54 | 1.21 | 2.87 | 1.39 | 2.90 | 1.26 | 3.37 | 1.44 | 1.30 | 0.67 | 1.34 | 0.70 |
| Std | 0.35 | 0.30 | 0.43 | 0.37 | 0.63 | 0.32 | 0.71 | 0.39 | 1.00 | 0.61 | 1.09 | 0.69 | 1.53 | 0.64 | 1.77 | 0.70 | 0.74 | 0.48 | 0.74 | 0.49 | |
| p | 0.11 | 0.09 | 0.00 ** | 0.00 ** | 0.00 ** | 0.00 ** | 0.00 ** | 0.00 ** | 0.00 ** | 0.00 ** | |||||||||||
| 5 | Mean | 1.02 | 0.95 | 1.26 | 1.17 | 1.57 | 0.97 | 1.82 | 1.13 | 2.28 | 1.35 | 2.61 | 1.58 | 3.15 | 1.28 | 3.69 | 1.46 | 1.13 | 0.61 | 1.16 | 0.64 |
| Std | 0.27 | 0.25 | 0.32 | 0.30 | 0.59 | 0.39 | 0.66 | 0.45 | 0.97 | 0.86 | 1.06 | 0.96 | 1.58 | 0.71 | 1.85 | 0.76 | 0.71 | 0.47 | 0.71 | 0.48 | |
| p | 0.17 | 0.13 | 0.00 ** | 0.00 ** | 0.00 ** | 0.00 ** | 0.00 ** | 0.00 ** | 0.00 ** | 0.00 ** | |||||||||||
| 6 | Mean | 0.98 | 0.91 | 1.20 | 1.12 | 1.41 | 0.98 | 1.66 | 1.13 | 1.90 | 1.08 | 2.19 | 1.28 | 2.46 | 1.63 | 2.92 | 1.86 | 1.05 | 0.57 | 1.09 | 0.62 |
| Std | 0.26 | 0.24 | 0.32 | 0.29 | 0.57 | 0.36 | 0.66 | 0.40 | 0.77 | 0.41 | 0.86 | 0.46 | 1.18 | 0.81 | 1.38 | 0.91 | 0.77 | 0.39 | 0.76 | 0.40 | |
| p | 0.19 | 0.23 | 0.00 ** | 0.00 ** | 0.00 ** | 0.00 ** | 0.00 ** | 0.00 ** | 0.00 ** | 0.00 ** | |||||||||||
| MAE | RMSE | ||||||||||||
|---|---|---|---|---|---|---|---|---|---|---|---|---|---|
| 1 s | 3 s | 5 s | 10 s | 15 s | 30 s | 1 s | 3 s | 5 s | 10 s | 15 s | 30 s | ||
| Wavelet 5 | Mean | 0.538 | 0.775 | 0.677 | 0.556 | 0.494 | 0.469 | 0.594 | 0.865 | 0.786 | 0.677 | 0.617 | 0.619 |
| Std | 0.835 | 1.056 | 1.009 | 0.856 | 0.796 | 0.744 | 0.873 | 1.138 | 1.141 | 0.995 | 0.932 | 1.063 | |
| Wavelet 6 | Mean | 0.359 | 0.612 | 0.698 | 0.635 | 0.580 | 0.598 | 0.385 | 0.682 | 0.779 | 0.731 | 0.682 | 0.737 |
| Std | 0.643 | 0.714 | 0.988 | 0.905 | 0.814 | 0.953 | 0.669 | 0.804 | 1.120 | 1.056 | 0.950 | 1.356 | |
| Wavelet 7 | Mean | 0.309 | 0.429 | 0.527 | 0.529 | 0.552 | 0.645 | 0.316 | 0.456 | 0.566 | 0.585 | 0.622 | 0.759 |
| Std | 0.828 | 1.063 | 1.297 | 1.090 | 1.247 | 1.520 | 0.835 | 1.105 | 1.356 | 1.204 | 1.385 | 1.802 | |
| Wavelet 8 | Mean | 0.335 | 0.322 | 0.334 | 0.428 | 0.525 | 0.683 | 0.338 | 0.336 | 0.358 | 0.481 | 0.595 | 0.805 |
| Std | 1.295 | 1.172 | 1.144 | 1.377 | 1.680 | 1.880 | 1.298 | 1.208 | 1.226 | 1.541 | 1.852 | 2.156 | |
| Wavelet 9 | Mean | 0.363 | 0.372 | 0.375 | 0.379 | 0.378 | 0.362 | 0.364 | 0.374 | 0.378 | 0.385 | 0.388 | 0.387 |
| Std | 2.157 | 2.188 | 2.214 | 2.225 | 2.176 | 1.838 | 2.157 | 2.189 | 2.215 | 2.227 | 2.180 | 1.886 | |
| Method | Adaptive Filtering [14] | Bandpass Filter [5] | The Proposed Method | |
|---|---|---|---|---|
| Category | ||||
| Low-freq. noise removal capacity | Middle | Low | High | |
| Experiment paradigm (dHRF) | Required | Required | Not required | |
| Processing type | Online | On/offline | Offline | |
| Unknown task period | Cannot handle | Cannot handle | Can handle | |
| Dataset size | Small | Small | Large | |
Disclaimer/Publisher’s Note: The statements, opinions and data contained in all publications are solely those of the individual author(s) and contributor(s) and not of MDPI and/or the editor(s). MDPI and/or the editor(s) disclaim responsibility for any injury to people or property resulting from any ideas, methods, instructions or products referred to in the content. |
© 2023 by the authors. Licensee MDPI, Basel, Switzerland. This article is an open access article distributed under the terms and conditions of the Creative Commons Attribution (CC BY) license (https://creativecommons.org/licenses/by/4.0/).
Share and Cite
Yoo, S.-H.; Huang, G.; Hong, K.-S. Physiological Noise Filtering in Functional Near-Infrared Spectroscopy Signals Using Wavelet Transform and Long-Short Term Memory Networks. Bioengineering 2023, 10, 685. https://doi.org/10.3390/bioengineering10060685
Yoo S-H, Huang G, Hong K-S. Physiological Noise Filtering in Functional Near-Infrared Spectroscopy Signals Using Wavelet Transform and Long-Short Term Memory Networks. Bioengineering. 2023; 10(6):685. https://doi.org/10.3390/bioengineering10060685
Chicago/Turabian StyleYoo, So-Hyeon, Guanghao Huang, and Keum-Shik Hong. 2023. "Physiological Noise Filtering in Functional Near-Infrared Spectroscopy Signals Using Wavelet Transform and Long-Short Term Memory Networks" Bioengineering 10, no. 6: 685. https://doi.org/10.3390/bioengineering10060685
APA StyleYoo, S.-H., Huang, G., & Hong, K.-S. (2023). Physiological Noise Filtering in Functional Near-Infrared Spectroscopy Signals Using Wavelet Transform and Long-Short Term Memory Networks. Bioengineering, 10(6), 685. https://doi.org/10.3390/bioengineering10060685

