Sign in to use this feature.

Years

Between: -

Subjects

remove_circle_outline
remove_circle_outline
remove_circle_outline
remove_circle_outline
remove_circle_outline
remove_circle_outline
remove_circle_outline
remove_circle_outline
remove_circle_outline

Journals

Article Types

Countries / Regions

Search Results (63)

Search Parameters:
Keywords = temperature sharpening

Order results
Result details
Results per page
Select all
Export citation of selected articles as:
18 pages, 3119 KB  
Article
Physics-Informed Neural Networks for Thermo-Responsive Hydrogel Swelling: Integrating Constitutive Models with Sparse Experimental Data
by Seyed Amirmasoud Takmili, Eunsoo Choi, Alireza Ostadrahimi and Mostafa Baghani
Materials 2025, 18(23), 5401; https://doi.org/10.3390/ma18235401 - 30 Nov 2025
Viewed by 606
Abstract
Poly(N-isopropylacrylamide) (PNIPAM) hydrogels are temperature-sensitive materials whose swelling is difficult to predict near the gel collapse temperature (GCT). A physics-informed neural network (PINN) was developed in which a stabilized free-energy model is embedded and sparse data for free and uniaxially constrained swelling are [...] Read more.
Poly(N-isopropylacrylamide) (PNIPAM) hydrogels are temperature-sensitive materials whose swelling is difficult to predict near the gel collapse temperature (GCT). A physics-informed neural network (PINN) was developed in which a stabilized free-energy model is embedded and sparse data for free and uniaxially constrained swelling are assimilated. Across datasets, the PINN reduces test RMSE by 44% at low crosslink density (Nν = 0.0035) and by 65% at higher density (Nν = 0.02), with coverage inside ±RMSE bands improving from 61.9% to 76.2% for free swelling at Nν = 0.0035. Under constraint, test relative error decreases from 19.95% to 11.86% (n = 1) and from 9.19% to 5.90% (n = 3), while preserving thermodynamic stability. The method sharpens the transition slope near the gel-collapse temperature and narrows prediction intervals without overfitting, capturing cold-regime plateaus and hot-side tails more faithfully. The framework integrates governing equations with data to deliver accurate swelling and stress predictions using only eight anchors and thirteen held-out points per case. These results position PINNs as a reliable surrogate for designing thermo-responsive hydrogels in soft actuators and biomedical systems. Full article
(This article belongs to the Special Issue Modelling of Deformation Characteristics of Materials or Structures)
Show Figures

Graphical abstract

21 pages, 7198 KB  
Article
Linking Defect-Controlled Grain Growth and Band-Edge Optical Response in Chymosin-Assisted Pechini-Derived CeO2−δ Nanoparticles
by Maria Suêd M. Assis, Jorge A. V. Gonçalves, Robert S. Matos and Nilson S. Ferreira
Materials 2025, 18(23), 5282; https://doi.org/10.3390/ma18235282 - 23 Nov 2025
Viewed by 514
Abstract
We investigate how grain growth, strain relaxation, and vacancy chemistry shape the near-edge optical response of nanocrystalline CeO2δ prepared by a chymosin-assisted Pechini route from nitrate–citrate precursors. Rietveld line-profile analysis shows that phase-pure CeO2δ forms [...] Read more.
We investigate how grain growth, strain relaxation, and vacancy chemistry shape the near-edge optical response of nanocrystalline CeO2δ prepared by a chymosin-assisted Pechini route from nitrate–citrate precursors. Rietveld line-profile analysis shows that phase-pure CeO2δ forms after calcination between 400 and 1000 °C. Over this range, the average crystallite size increases from ≈3.4 to ≈57 nm, while the microstrain decreases from 0.79% to 0.05%, with size–strain scaling consistent with interface-controlled grain growth that follows a normal growth law with exponent m=2 and activation energy Q155 kJ mol1. Raman spectroscopy tracks the sharpening of the F2g mode and the fading of defect-related bands, X-ray photoelectron spectroscopy reveals a nonmonotonic evolution of the surface Ce3+ fraction and separates lattice from adsorbed oxygen species, and electron paramagnetic resonance detects vacancy-bound Ce3+ polarons that weaken at high temperature. Diffuse-reflectance UV–Vis spectra show a modest blue shift of the apparent band gap from Eg2.78 to 2.95 eV as crystallites coarsen, while the Urbach energy Eu follows the Ce3+ content and sub-gap tailing. The structural, spectroscopic, and optical results together map out a quantitative connection between grain growth, vacancy populations, and near-edge optical properties in CeO2δ nanoparticles. Full article
Show Figures

Figure 1

26 pages, 2328 KB  
Review
The g-Strained EPR Line Shape of Transition-Ion Complexes and Metalloproteins: Four Decades of Misunderstanding and Its Consequences
by Wilfred R. Hagen
Molecules 2025, 30(15), 3299; https://doi.org/10.3390/molecules30153299 - 6 Aug 2025
Cited by 1 | Viewed by 1566
Abstract
Analysis of the EPR of dilute transition-ion complexes and metalloproteins in random phases, such as frozen solutions, powders, glasses, and gels, requires a model for the spectral ‘powder’ shape. Such a model comprises a description of the line shape and the linewidth of [...] Read more.
Analysis of the EPR of dilute transition-ion complexes and metalloproteins in random phases, such as frozen solutions, powders, glasses, and gels, requires a model for the spectral ‘powder’ shape. Such a model comprises a description of the line shape and the linewidth of individual molecules as well as a notion of their physical origin. Spectral features sharpen up with decreasing temperature until the limit of constant linewidth of inhomogeneous broadening. At and below this temperature limit, each molecule has a linewidth that slightly differs from those of its congeners, and which is not related in a simple way to lifetime broadening. Choice of the model not only affects precise assignment of g-values, but also concentration determination (‘spin counting’), and therefore, calculation of stoichiometries in multi-center complexes. Forty years ago, the theoretically and experimentally well-founded statistical theory of g-strain was developed as a prime model for EPR powder patterns. In the intervening years until today, this model was universally ignored in favor of models that are incompatible with physical reality, resulting in many mistakes in EPR spectral interpretation. The purpose of this review is to outline the differences between the models, to reveal where analyses went astray, and thus to turn a very long standstill in EPR powder shape understanding into a new start towards proper methodology. Full article
Show Figures

Graphical abstract

20 pages, 2723 KB  
Article
Downscaling of Urban Land Surface Temperatures Using Geospatial Machine Learning with Landsat 8/9 and Sentinel-2 Imagery
by Ratovoson Robert Andriambololonaharisoamalala, Petra Helmholz, Dimitri Bulatov, Ivana Ivanova, Yongze Song, Susannah Soon and Eriita Jones
Remote Sens. 2025, 17(14), 2392; https://doi.org/10.3390/rs17142392 - 11 Jul 2025
Cited by 1 | Viewed by 3125
Abstract
Urban surface temperatures are increasing because of climate change and rapid urbanisation, contributing to the urban heat island (UHI) effect and significantly influencing local climates. Satellite-derived land surface temperature (LST) plays a vital role in analysing urban thermal patterns. However, current satellite thermal [...] Read more.
Urban surface temperatures are increasing because of climate change and rapid urbanisation, contributing to the urban heat island (UHI) effect and significantly influencing local climates. Satellite-derived land surface temperature (LST) plays a vital role in analysing urban thermal patterns. However, current satellite thermal infrared (TIR) sensors have a low spatial resolution, making it difficult to accurately capture the complex thermal variations within urban areas. This limitation affects the assessments of UHI effects and hinders effective mitigation strategies. We proposed a hybrid model named “geospatial machine learning” (GeoML) to address these challenges, combining random forest and kriging downscaling techniques. This method utilises high spatial resolution data from Sentinel-2 to enhance the LST derived from Landsat 8/9 data. Tested in Perth, Australia, GeoML generated an enhanced LST with good agreement with ground-based measurements, with a Pearson’s correlation coefficient of 0.85, a root mean square error (RMSE) of 2.7 °C, and a mean absolute error (MAE) of less than 2.2 °C. Validation with LST derived from another TIR sensor also provided promising outputs. The results were compared with the high-resolution urban thermal sharpener (HUTS) downscaling methods, which GeoML outperformed, demonstrating its effectiveness as a valuable tool for urban thermal studies involving high-resolution LST data. Full article
(This article belongs to the Special Issue Remote Sensing Applications in Urban Environment and Climate)
Show Figures

Figure 1

12 pages, 3008 KB  
Communication
Potential Hypotheses Predicting the Patterns of Major Nutrients in Leaves on a Global Scale
by Yajun Xie, Zhaozhao Tan, Xuesheng Xu, Yonghong Xie and Shengsheng Xiao
Forests 2025, 16(1), 80; https://doi.org/10.3390/f16010080 - 6 Jan 2025
Cited by 1 | Viewed by 907
Abstract
Climatic force might sharpen the latitudinal gradients of foliar nutrients directly (the Temperature–Plant Physiological hypothesis) or indirectly (either through soil nutrient, the Soil Substrate Age hypothesis, or plant functional type (e.g., herbs and trees) composition, the Species Composition hypothesis). However, [...] Read more.
Climatic force might sharpen the latitudinal gradients of foliar nutrients directly (the Temperature–Plant Physiological hypothesis) or indirectly (either through soil nutrient, the Soil Substrate Age hypothesis, or plant functional type (e.g., herbs and trees) composition, the Species Composition hypothesis). However, the validities, effectiveness, and key drivers of these hypotheses have not been further examined globally. Here, we tested these hypotheses by synthesizing data from 2344 observations of leaf N, leaf P, and leaf K in terrestrial plants. The results indicated that leaves enriched nutrients towards the polar region. The validity of each hypothesis was confirmed, with the exception of the Soil Substrate Age hypothesis failing to predict leaf N, as the climatic influence on leaf N occurs through a mechanism opposite to what the hypothesis suggests. Additionally, among all hypotheses, the Species Composition hypothesis was the most effective model for leaf N, whereas the Substrate Age hypothesis was the most effective model for leaf P and leaf K. Soil, climate, and plant functional type collectively accounted for over half of the variations in leaf nutrients. Specifically, soil nutrient was the strongest determinant for leaf P and K, whereas plant functional type for leaf N. Taking into account changes in plant functional types and soil nutrients will improve the modeling of biogeochemical cycles under climate change. We expect further verification by global investigations of leaf stoichiometry using uniform methods. Full article
(This article belongs to the Section Forest Ecophysiology and Biology)
Show Figures

Figure 1

19 pages, 26046 KB  
Article
Downscaling Land Surface Temperature via Assimilation of LandSat 8/9 OLI and TIRS Data and Hypersharpening
by Luciano Alparone and Andrea Garzelli
Remote Sens. 2024, 16(24), 4694; https://doi.org/10.3390/rs16244694 - 16 Dec 2024
Cited by 4 | Viewed by 2555
Abstract
Land surface temperature (LST) plays a pivotal role in many environmental sectors. Unfortunately, thermal bands produced by instruments that are onboard satellites have limited spatial resolutions; this seriously impairs their potential usefulness. In this study, we propose an automatic procedure for the spatial [...] Read more.
Land surface temperature (LST) plays a pivotal role in many environmental sectors. Unfortunately, thermal bands produced by instruments that are onboard satellites have limited spatial resolutions; this seriously impairs their potential usefulness. In this study, we propose an automatic procedure for the spatial downscaling of the two 100 m thermal infrared (TIR) bands of LandSat 8/9, captured by the TIR spectrometer (TIRS), by exploiting the bands of the optical instrument. The problem of fusion of heterogeneous data is approached as hypersharpening: each of the two sharpening images is synthesized following data assimilation concepts, with the linear combination of 30 m optical bands and the 15 m panchromatic (Pan) image that maximizes the correlation with each thermal channel at its native 100 m scale. The TIR bands resampled at 15 m are sharpened, each by its own synthetic Pan. On two different scenes of an OLI-TIRS image, the proposed approach is compared with 100 m to 15 m pansharpening, carried out uniquely by means of the Pan image of OLI and with the two high-resolution assimilated thermal images that are used for hypersharpening the two TIRS bands. Besides visual evaluations of the temperature maps, statistical indexes measuring radiometric and spatial consistencies are provided and discussed. The superiority of the proposed approach is highlighted: the classical pansharpening approach is radiometrically accurate but weak in the consistency of spatial enhancement. Conversely, the assimilated TIR bands, though adequately sharp, lose more than 20% of radiometric consistency. Our proposal trades off the benefits of its counterparts in a unique method. Full article
(This article belongs to the Special Issue Remote Sensing for Land Surface Temperature and Related Applications)
Show Figures

Graphical abstract

12 pages, 2629 KB  
Article
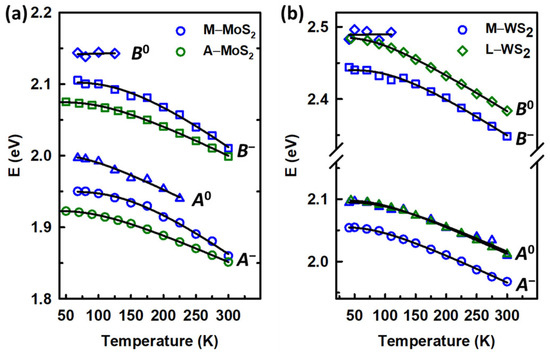
Spectroscopic Ellipsometry Study of the Temperature Dependences of the Optical and Exciton Properties of MoS2 and WS2 Monolayers
by Hoang Tung Nguyen, Xuan Au Nguyen, Anh Tuan Hoang and Tae Jung Kim
Materials 2024, 17(22), 5455; https://doi.org/10.3390/ma17225455 - 8 Nov 2024
Cited by 3 | Viewed by 1738
Abstract
The optical properties of MoS2 and WS2 monolayers are significantly influenced by fabrication methods, especially with respect to the behavior of excitons at the K−point of the Brillouin zone. Using spectroscopic ellipsometry, we obtain the complex dielectric functions of monolayers [...] Read more.
The optical properties of MoS2 and WS2 monolayers are significantly influenced by fabrication methods, especially with respect to the behavior of excitons at the K−point of the Brillouin zone. Using spectroscopic ellipsometry, we obtain the complex dielectric functions of monolayers of these materials from cryogenic to room temperatures over the energy range 1.5 to 6.0 eV. The excitonic structure of each sample is analyzed meticulously by fitting the data to a standard analytical function to extract the energy positions of the excitons at each temperature. At low temperatures, excitonic structures are blue-shifted and sharpened due to the reduction in phonon noise and lattice distance. The excitons of monolayers fabricated by MOCVD separate into sub-structures at low temperatures, while monolayers grown by LPCVD and APCVD remain a single peak. The origin of these peaks as charged or neutral excitons follows from their temperature dependences. Full article
(This article belongs to the Section Thin Films and Interfaces)
Show Figures

Figure 1

41 pages, 36184 KB  
Review
Adiabatic Shear Localization in Metallic Materials: Review
by Xinran Guan, Shoujiang Qu, Hao Wang, Guojian Cao, Aihan Feng and Daolun Chen
Materials 2024, 17(21), 5365; https://doi.org/10.3390/ma17215365 - 1 Nov 2024
Cited by 5 | Viewed by 3161
Abstract
In advanced engineering applications, there has been an increasing demand for the service performance of materials under high-strain-rate conditions where a key phenomenon of adiabatic shear instability is inevitably involved. The presence of adiabatic shear instability is typically associated with large shear strains, [...] Read more.
In advanced engineering applications, there has been an increasing demand for the service performance of materials under high-strain-rate conditions where a key phenomenon of adiabatic shear instability is inevitably involved. The presence of adiabatic shear instability is typically associated with large shear strains, high strain rates, and elevated temperatures. Significant plastic deformation that concentrates within a adiabatic shear band (ASB) often results in catastrophic failure, and it is necessary to avoid the occurrence of such a phenomenon in most areas. However, in certain areas, such as high-speed machining and self-sharpening projectile penetration, this phenomenon can be exploited. The thermal softening effect and microstructural softening effect are widely recognized as the foundational theories for the formation of ASB. Thus, elucidating various complex deformation mechanisms under thermomechanical coupling along with changes in temperatures in the shear instability process has become a focal point of research. This review highlights these two important aspects and examines the development of relevant theories and experimental results, identifying key challenges faced in this field of study. Furthermore, advancements in modern experimental characterization and computational technologies, which lead to a deeper understanding of the adiabatic shear instability phenomenon, have also been summarized. Full article
Show Figures

Graphical abstract

12 pages, 1372 KB  
Article
Stable Field Emission from Single-Crystalline Zirconium Carbide Nanowires
by Yimeng Wu, Jie Tang, Shuai Tang, You-Hu Chen, Ta-Wei Chiu, Masaki Takeguchi and Lu-Chang Qin
Nanomaterials 2024, 14(19), 1567; https://doi.org/10.3390/nano14191567 - 27 Sep 2024
Cited by 2 | Viewed by 1544
Abstract
The <100> oriented single-crystalline Zirconium Carbide (ZrC) nanowires were controllably synthesized on a graphite substrate by chemical vapor deposition (CVD) with optimized growth parameters involving Zirconium tetrachloride (ZrCl4), flow of methane (CH4), and growth temperature. The length of nanowires [...] Read more.
The <100> oriented single-crystalline Zirconium Carbide (ZrC) nanowires were controllably synthesized on a graphite substrate by chemical vapor deposition (CVD) with optimized growth parameters involving Zirconium tetrachloride (ZrCl4), flow of methane (CH4), and growth temperature. The length of nanowires is above 10 µm while the diameter is smaller than 100 nm. A single ZrC nanowire was picked up and fixed on a tungsten tip for field emission measurement. After surface pretreatments, a sharpened and cleaned ZrC nanowire emitter showed a high emission current density of 1.1 × 1010 A m−2 at a low turn-on voltage of 440 V. The field emission is stable for 150 min with a fluctuation of 1.77%. This work provides an effective method for synthesizing and stabilizing single-crystalline ZrC nanowire emitters as an electron source for electron-beam applications. Full article
(This article belongs to the Section Nanoelectronics, Nanosensors and Devices)
Show Figures

Figure 1

12 pages, 3594 KB  
Article
Structure–Dopant Concentration Relations in Europium-Doped Yttrium Molybdate and Peak-Sharpening for Luminescence Temperature Sensing
by Tamara Gavrilović, Aleksandar Ćirić, Mina Medić, Zoran Ristić, Jovana Periša, Željka Antić and Miroslav D. Dramićanin
Materials 2024, 17(17), 4267; https://doi.org/10.3390/ma17174267 - 28 Aug 2024
Cited by 1 | Viewed by 1514
Abstract
A set of Eu3+-doped molybdates, Y2−xEuxMo3O12 (x = 0.04; 0.16; 0.2; 0.4; 0.8; 1; 1.6; 2), was synthesized using a solid-state technique and their properties studied as a function of Eu3+ concentration. X-ray diffraction showed [...] Read more.
A set of Eu3+-doped molybdates, Y2−xEuxMo3O12 (x = 0.04; 0.16; 0.2; 0.4; 0.8; 1; 1.6; 2), was synthesized using a solid-state technique and their properties studied as a function of Eu3+ concentration. X-ray diffraction showed that the replacement of Y3+ with larger Eu3+ resulted in a transformation from orthorhombic (low doping concentrations) through tetragonal (high doping concentrations), reaching monoclinic structure for full replacement in Eu2Mo3O12. The intensity of typical Eu3+ red emission slightly increases in the orthorhombic structure then rises significantly with dopant concentration and has the highest value for the tetragonal Y2Mo3O12:80mol% Eu3+. Further, the complete substitution of Y3+ with Eu3+ in the case of monoclinic Eu2Mo3O12 leads to decreased emission intensity. Lifetime follows a similar trend; it is lower in the orthorhombic structure, reaching slightly higher values for the tetragonal structure and showing a strong decrease for monoclinic Eu2Mo3O12. Temperature-sensing properties of the sample with the highest red Eu3+ emission, Y2Mo3O12:80mol% Eu3+, were analyzed by the luminescence intensity ratio method. For the first time, the peak-sharpening algorithm was employed to separate overlapping peaks in luminescence thermometry, in contrast to the peak deconvolution method. The Sr (relative sensitivity) value of 2.8 % K−1 was obtained at room temperature. Full article
Show Figures

Figure 1

18 pages, 9730 KB  
Article
Analysis of Grindability and Surface Integrity in Creep-Feed Grinding of High-Strength Steels
by Youkang Yin and Ming Chen
Materials 2024, 17(8), 1784; https://doi.org/10.3390/ma17081784 - 12 Apr 2024
Cited by 6 | Viewed by 1863
Abstract
Creep-feed grinding of high-strength steel is prone to excessive wheel wear and thermal damage defects, which seriously affects the service performance of parts. To solve the above-mentioned issue, a creep-feed grinding test was carried out on high-strength steel using SG and CBN abrasive [...] Read more.
Creep-feed grinding of high-strength steel is prone to excessive wheel wear and thermal damage defects, which seriously affects the service performance of parts. To solve the above-mentioned issue, a creep-feed grinding test was carried out on high-strength steel using SG and CBN abrasive wheels. The grindability of high-strength steel was scrutinized in terms of grinding force, machining temperature and grinding specific energy. Moreover, the effects of operation parameters and grinder performances on the surface integrity of the workpiece such as surface morphology, roughness, residual stress and hardness were rigorously studied. The results indicate that, when the instantaneous high temperature in the grinding area reaches above the phase transition temperature of the steel, the local organization of the surface layer changes, leading to thermal damage defects in the components. The outstanding hardness and thermal conductivity of CBN abrasives are more productive in suppressing grinding burns than the high self-sharpening properties of SG grits and a more favorable machining response is achieved. The effects of thermal damage on the surface integrity of high-strength steel grinding are mainly in the form of oxidative discoloration, coating texture, hardness reduction and residual tensile stresses. Within the parameter range of this experiment, CBN grinding wheel reduces grinding specific energy by about 33% compared to SG grinding wheel and can control surface roughness below 0.8 µm. The weight of oxygen element in the burn-out workpiece accounts for 21%, and the thickness of the metamorphic layer is about 40 µm. The essential means of achieving burn-free grinding of high-strength steels is to reduce heat generation and enhance heat evacuation. The results obtained can provide technical guidance for high-quality processing of high-strength steel and precision manufacturing of high-end components. Full article
(This article belongs to the Special Issue Advanced Abrasive Processing Technology and Applications)
Show Figures

Figure 1

13 pages, 2949 KB  
Article
Structure, Microstructure and Magnetocaloric/Thermomagnetic Properties at the Early Sintering of MnFe(P,Si,B) Compounds
by Tvrgvn Qianbai, Hargen Yibole and Francois Guillou
Metals 2024, 14(4), 385; https://doi.org/10.3390/met14040385 - 26 Mar 2024
Cited by 1 | Viewed by 2075
Abstract
Minimizing the sintering time while ensuring high performances is an important optimization step for the preparation of magnetocaloric or thermomagnetic materials produced by powder metallurgy. Here, we study the influence of sintering time on the properties of a Mn0.95Fe1P [...] Read more.
Minimizing the sintering time while ensuring high performances is an important optimization step for the preparation of magnetocaloric or thermomagnetic materials produced by powder metallurgy. Here, we study the influence of sintering time on the properties of a Mn0.95Fe1P0.56Si0.39B0.05 compound. In contrast to former reports investigating different annealing temperatures during heat treatments of several hours or days, we pay special attention to the earliest stages of sintering. After ball-milling and powder compaction, 2 min sintering at 1100 °C is found sufficient to form the desired Fe2P-type phase. Increasing the sintering time leads to a sharper first-order magnetic transition, a stronger latent heat, and usually to a larger isothermal entropy change, though not in all cases. As demonstrated by DSC or magnetization measurements, these parameters present dissimilar time evolutions, highlighting the existence of various underlying mechanisms. Chemical inhomogeneities are likely responsible for broadened transitions for the shortest sinterings. The development of strong latent heat requires longer sinterings than those for sharpening the magnetic transition. The microstructure may play a role as the average grain size progressively increases with the sintering time from 3.5 μm (2 min) to 30.1 μm (100 h). This systematic study has practical consequences for optimizing the preparation of MnFe(P,Si,B) compounds, but also raises intriguing questions on the influence of the microstructure and of the chemical homogeneity on magnetocaloric or thermomagnetic performances. Full article
(This article belongs to the Special Issue Feature Papers in Metallic Functional Materials)
Show Figures

Figure 1

15 pages, 2007 KB  
Article
Estimation of Evapotranspiration from the People’s Victory Irrigation District Based on the Data Mining Sharpener Model
by Jie Zhang, Shenglin Li, Jinglei Wang and Zhifang Chen
Agronomy 2023, 13(12), 3082; https://doi.org/10.3390/agronomy13123082 - 18 Dec 2023
Cited by 4 | Viewed by 1967
Abstract
Reasonable evaluation of evapotranspiration (ET) is crucial for optimizing agricultural water resource management. In the study, we utilized the Data Mining Sharpener (DMS) model; the Landsat thermal infrared images were sharpened from a spatial resolution of 100 m to 30 m. We then [...] Read more.
Reasonable evaluation of evapotranspiration (ET) is crucial for optimizing agricultural water resource management. In the study, we utilized the Data Mining Sharpener (DMS) model; the Landsat thermal infrared images were sharpened from a spatial resolution of 100 m to 30 m. We then used the Surface Energy Balance System (SEBS) to estimate daily ET during the winter wheat growing season in the People’s Victory Irrigation District in Henan, China. It was concluded that the spatiotemporal patterns of land surface temperature and daily evapotranspiration remained consistent before and after sharpening. Results showed that the R2 value between the ET of 30 m spatial resolution and the value by eddy covariance method reached 0.814, with an RMSE of 0.516 mm and an MAE of 0.245 mm. All of these were higher than those of 100 m spatial resolution (R2 was 0.802, the RMSE was 0.534 mm, and the MAE was 0.253 mm). Furthermore, the daily ET image with a 30 m spatial resolution exhibited clear texture and distinct boundaries, without any noticeable mosaic effects. The changes in surface temperature and ET were more consistent in complex subsurface environments. The daily evapotranspiration of winter wheat was significantly higher in areas with intricate drainage systems compared to other regions. During the early growth stage, daily evapotranspiration decreased steadily until the overwintering stage. After the greening and jointing stages, it began to increase and peaked during the sizing period. The correlation between net solar radiation and temperature with ET was significant, while relative humidity and soil moisture were negatively correlated with ET. Throughout the growth period, net solar radiation had the greatest effect on ET. Full article
(This article belongs to the Section Water Use and Irrigation)
Show Figures

Figure 1

25 pages, 10377 KB  
Article
Analysis of Long Time Series of Summer Surface Urban Heat Island under the Missing-Filled Satellite Data Scenario
by Jiamin Luo, Yuan Yao and Qiuyan Yin
Sensors 2023, 23(22), 9206; https://doi.org/10.3390/s23229206 - 16 Nov 2023
Cited by 8 | Viewed by 2897
Abstract
Surface urban heat islands (SUHIs) are mostly an urban ecological issue. There is a growing demand for the quantification of the SUHI effect, and for its optimization to mitigate the increasing possible hazards caused by SUHI. Satellite-derived land surface temperature (LST) is an [...] Read more.
Surface urban heat islands (SUHIs) are mostly an urban ecological issue. There is a growing demand for the quantification of the SUHI effect, and for its optimization to mitigate the increasing possible hazards caused by SUHI. Satellite-derived land surface temperature (LST) is an important indicator for quantifying SUHIs with frequent coverage. Current LST data with high spatiotemporal resolution is still lacking due to no single satellite sensor that can resolve the trade-off between spatial and temporal resolutions and this greatly limits its applications. To address this issue, we propose a multiscale geographically weighted regression (MGWR) coupling the comprehensive, flexible, spatiotemporal data fusion (CFSDAF) method to generate a high-spatiotemporal-resolution LST dataset. We then analyzed the SUHI intensity (SUHII) in Chengdu City, a typical cloudy and rainy city in China, from 2002 to 2022. Finally, we selected thirteen potential driving factors of SUHIs and analyzed the relation between these thirteen influential drivers and SUHIIs. Results show that: (1) an MGWR outperforms classic methods for downscaling LST, namely geographically weighted regression (GWR) and thermal image sharpening (TsHARP); (2) compared to classic spatiotemporal fusion methods, our method produces more accurate predicted LST images (R2, RMSE, AAD values were in the range of 0.8103 to 0.9476, 1.0601 to 1.4974, 0.8455 to 1.3380); (3) the average summer daytime SUHII increased form 2.08 °C (suburban area as 50% of the urban area) and 2.32 °C (suburban area as 100% of the urban area) in 2002 to 4.93 °C and 5.07 °C, respectively, in 2022 over Chengdu City; and (4) the anthropogenic activity drivers have a higher relative influence on SUHII than other drivers. Therefore, anthropogenic activity driving factors should be considered with CO2 emissions and land use changes for urban planning to mitigate the SUHI effect. Full article
(This article belongs to the Special Issue Remote Sensing Application for Environmental Monitoring)
Show Figures

Figure 1

22 pages, 1173 KB  
Article
A New Perspective on Financial Risk Prediction in a Carbon-Neutral Environment: A Comprehensive Comparative Study Based on the SSA-LSTM Model
by Zaoxian Wang and Dechun Huang
Sustainability 2023, 15(19), 14649; https://doi.org/10.3390/su151914649 - 9 Oct 2023
Cited by 4 | Viewed by 2708
Abstract
Climate change is widely acknowledged as the paramount global challenge of the 21st century, bringing economic, social, and environmental impacts due to rising global temperatures, more frequent extreme weather events, and ecosystem disturbances. To combat this, many countries target net-zero carbon emissions by [...] Read more.
Climate change is widely acknowledged as the paramount global challenge of the 21st century, bringing economic, social, and environmental impacts due to rising global temperatures, more frequent extreme weather events, and ecosystem disturbances. To combat this, many countries target net-zero carbon emissions by 2050, reshaping both the financial system and consumption patterns. This transition has sharpened the financial sector’s focus on climate-related risks, making the carbon footprint, environmental benefits of investments, and sustainability of financial products critical to investors’ decisions. However, conventional risk prediction methods may not fully capture these climate-associated risks in a carbon-neutral setting. Emerging from this context is the need for innovative predictive tools. Recently, Long Short-Term Memory networks (LSTM) have gained prominence for their efficacy in time-series forecasting. Singular Spectrum Analysis (SSA), effective for extracting time series patterns, combined with LSTM as SSA-LSTM, offers a potentially superior approach to financial risk prediction. Our study, focusing on a case study of the wind energy sector in China, situates itself within the growing body of research focusing on the integration of environmental sustainability and financial risk management. Leveraging the capabilities of SSA-LSTM, we aim to bridge the gap in the current literature by offering a nuanced approach to financial risk prediction in the carbon-neutral landscape. This research not only reveals the superiority of the SSA-LSTM model over traditional methods but also contributes a robust framework to the existing discourse, facilitating a more comprehensive understanding and management of financial risks in the evolving carbon-neutral global trend. Full article
Show Figures

Figure 1

Back to TopTop