Linking Defect-Controlled Grain Growth and Band-Edge Optical Response in Chymosin-Assisted Pechini-Derived CeO2−δ Nanoparticles
Abstract
1. Introduction
2. Materials and Methods
2.1. Synthesis
2.2. Characterization
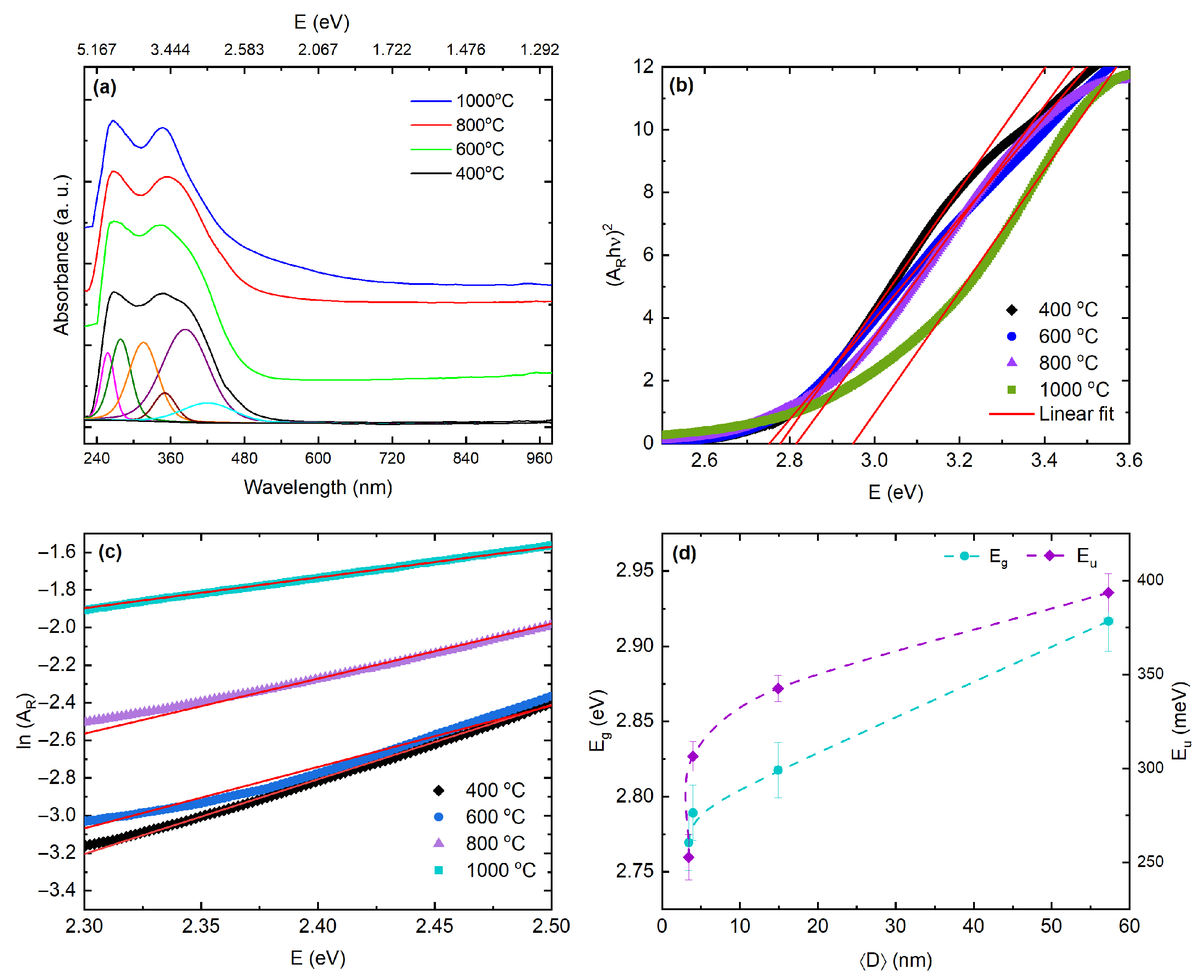
3. Results and Discussion
4. Conclusions
Author Contributions
Funding
Data Availability Statement
Conflicts of Interest
References
- Montini, T.; Melchionna, M.; Monai, M.; Fornasiero, P. Fundamentals and Catalytic Applications of CeO2-Based Materials. Chem. Rev. 2016, 116, 5987–6041. [Google Scholar] [CrossRef] [PubMed]
- Xu, Y.; Zhou, Y.; Li, Y.; Liu, Y.; Ding, Z. Advances in cerium dioxide nanomaterials: Synthesis strategies, property modulation, and multifunctional applications. J. Environ. Chem. Eng. 2024, 12, 113719. [Google Scholar] [CrossRef]
- Shcherbakov, A.B.; Reukov, V.V.; Yakimansky, A.V.; Krasnopeeva, E.L.; Ivanova, O.S.; Popov, A.L.; Ivanov, V.K. CeO2 Nanoparticle-Containing Polymers for Biomedical Applications: A Review. Polymers 2021, 13, 924. [Google Scholar] [CrossRef] [PubMed]
- Kuśmierek, E. A CeO2 Semiconductor as a Photocatalytic and Photoelectrocatalytic Material: A Review. Catalysts 2020, 10, 1435. [Google Scholar] [CrossRef]
- Cheriani, M.T.; Mirzaei, A.; Kim, J.H. Resistive-Based Nanostructured CeO2 Gas Sensors: A Review. Chemosensors 2025, 13, 298. [Google Scholar] [CrossRef]
- Trovarelli, A.; Fornasiero, P. Catalysis by Ceria and Related Materials, 2nd ed.; Imperial College Press: London, UK, 2013. [Google Scholar] [CrossRef]
- Feng, Z.A.; Gabaly, F.E.; Ye, X.; Shen, Z.; Chueh, W.C. Fast vacancy-mediated oxygen-ion incorporation across the ceria–gas electrochemical interface. Nat. Commun. 2014, 5, 4374. [Google Scholar] [CrossRef]
- Artini, C.; Massardo, S.; Carnasciali, M.M.; Joseph, B.; Pani, M. Evaluation of the defect cluster content in singly and doubly doped ceria by combining AC impedance spectroscopy and Raman spectroscopy. Inorg. Chem. 2021, 60, 7306–7314. [Google Scholar] [CrossRef]
- Koettgen, J.; Martin, M. Infinite dilution in doped ceria and high activation energies. Solid State Commun. 2020, 314–315, 113939. [Google Scholar] [CrossRef]
- Schmitt, R.; Nenning, A.; Kraynis, O.; Korobko, R.; Frenkel, A.I.; Lubomirsky, I.; Haile, S.M.; Rupp, J.L.M. A review of defect structure and chemistry in ceria and its solid solutions. Chem. Soc. Rev. 2020, 49, 554–592. [Google Scholar] [CrossRef]
- Zhao, C.; Zhao, C.Z.; Werner, M.; Taylor, S.; Chalker, P.; King, P. Grain size dependence of dielectric relaxation in cerium oxide as high-k layer. Nanoscale Res. Lett. 2013, 8, 172. [Google Scholar] [CrossRef] [PubMed]
- Aneggi, E.; Wiater, D.; de Leitenburg, C.; Llorca, J.; Trovarelli, A. Shape-dependent activity of ceria in soot combustion. ACS Catal. 2014, 4, 172–181. [Google Scholar] [CrossRef]
- Lin, B.; Liu, Y.; Heng, L.; Wang, X.; Ni, J.; Lin, J.; Jiang, L. Morphology Effect of Ceria on the Catalytic Performances of Ru/CeO2 Catalysts for Ammonia Synthesis. Ind. Eng. Chem. Res. 2018, 57, 9127–9135. [Google Scholar] [CrossRef]
- Boaro, M.; Colussi, S.; Trovarelli, A. Ceria-Based Materials in Hydrogenation and Reforming Reactions for CO2 Valorization. Front. Chem. 2019, 7, 28. [Google Scholar] [CrossRef]
- Zhang, Y.; Zhao, S.; Feng, J.; Song, S.; Shi, W.; Wang, D.; Zhang, H. Unraveling the physical chemistry and materials science of CeO2-based nanostructures. Chem 2021, 7, 2022–2059. [Google Scholar] [CrossRef]
- Liu, H.; Jiang, H.; Liu, X.; Wang, X. Physicochemical understanding of biomineralization by molecular vibrational spectroscopy: From mechanism to nature. Exploration 2023, 3, 20230033. [Google Scholar] [CrossRef]
- Fu, Y.; Yang, Y.; Tuersun, T.; Yu, Y.; Zhi, J. Simple preparation and highly selective detection of silver ions using an electrochemical sensor based on sulfur-doped graphene and a 3,3′,5,5′-tetramethylbenzidine composite modified electrode. Analyst 2018, 143, 2076–2082. [Google Scholar] [CrossRef]
- Zhang, X.; Zhu, L.; Hou, Q.; Guan, J.; Lu, Y.; Keal, T.W.; Buckeridge, J.; Richard, C.; Catlow, A.; Sokol, A.A. Toward a Consistent Prediction of Defect Chemistry in CeO2. Chem. Mater. 2022, 34, 1885–1897. [Google Scholar] [CrossRef] [PubMed]
- Han, Z.K.; Liu, W.; Gao, Y. Advancing the Understanding of Oxygen Vacancies in Ceria: Insights into Their Formation, Behavior, and Catalytic Roles. JACS Au 2025, 5, 1549–1569. [Google Scholar] [CrossRef] [PubMed]
- Ribeiro, A.N.; Ferreira, N.S. Systematic study of the physical origin of ferromagnetism in CeO2−δ nanoparticles. Phys. Rev. B 2017, 95, 144430. [Google Scholar] [CrossRef]
- Choudhury, B.; Chetri, P.; Choudhury, A. Oxygen defects and formation of Ce3+ affecting the photocatalytic performance of CeO2 nanoparticles. RSC Adv. 2014, 4, 4663–4671. [Google Scholar] [CrossRef]
- Kumar, R.; Gupta, V.K.; Khosya, M.; Singh, S.; Kumar, U. Comparative computational and experimental insights into the structural, electrical, and biological properties of CeO2 fluorite ceramics. Sci. Rep. 2025, 15, 19269. [Google Scholar] [CrossRef]
- Kumar, S.; Tirumala, R.T.A.; Gyawali, S.; Le, T.; Tan, S.; Goswami, D.Y.; Wang, B.; Bristow, A.D.; Andiappan, M. Plasmonic versus dielectric Mie resonance-mediated photocatalytic reverse water–gas shift reaction on copper-based nanocubes. ACS Nano 2025, 19, 30941–30949. [Google Scholar] [CrossRef]
- Elger, A.K.; Baranyai, J.; Hofmann, K.; Hess, C. Direct operando spectroscopic observation of oxygen vacancies in working ceria-based gas sensors. ACS Sens. 2019, 4, 1497–1501. [Google Scholar] [CrossRef]
- Nyoka, M.; Choonara, Y.Y.; Kumar, P.; du Toit, L.C.; Pillay, V. Synthesis of Cerium Oxide Nanoparticles Using Various Methods: Implications for Biomedical Applications. Nanomaterials 2020, 10, 242. [Google Scholar] [CrossRef] [PubMed]
- Limo, M.J.; Sola-Rabada, A.; Boix, E.; Thota, V.; Westcott, Z.C.; Puddu, V.; Perry, C.C. Interactions between Metal Oxides and Biomolecules: From Fundamental Understanding to Applications. Chem. Rev. 2018, 118, 11118–11193. [Google Scholar] [CrossRef]
- Silva, R.S.; Macedo, Z.S. Al2O3-based pigments synthesized by a new proteic sol–gel method. J. Therm. Anal. Calorim. 2011, 103, 587–590. [Google Scholar] [CrossRef]
- Silva, W.M.S.; Ferreira, N.S.; Soares, J.M.; da Silva, R.B.; Macêdo, M.A. Investigation of structural and magnetic properties of nanocrystalline Mn-doped SrFe12O19 prepared by proteic sol–gel process. J. Magn. Magn. Mater. 2015, 395, 263–270. [Google Scholar] [CrossRef]
- Pires, A.F.; Marnotes, N.G.; Díaz-Rubio, O.; García, A.; Pereira, C.D. Dairy By-Products: A Review on the Valorization of Whey and Second Cheese Whey. Foods 2021, 10, 1067. [Google Scholar] [CrossRef] [PubMed]
- Ferreira, N.S.; Angélica, R.S.; Marques, V.B.; de Lima, C.C.O.; Silva, M.S. Cassava-starch-assisted sol–gel synthesis of CeO2 nanoparticles. Mater. Lett. 2016, 165, 139–142. [Google Scholar] [CrossRef]
- Dudev, T.; Lim, C. Effect of Carboxylate-Binding Mode on Metal Binding Selectivity in Proteins. Acc. Chem. Res. 2007, 40, 85–93. [Google Scholar] [CrossRef]
- Gutiérrez-Climente, R.; Clavié, M.; Dumy, P.; Mehdi, A.; Subra, G. Sol–gel process: The inorganic approach in protein imprinting. J. Mater. Chem. B 2021, 9, 1410–1430. [Google Scholar] [CrossRef] [PubMed]
- Soares, V.; Xavier, M.; Rodrigues, E.; Oliveira, C.; Farias, P.; Stingl, A.; Ferreira, N.; Silva, M. Green synthesis of ZnO nanoparticles using whey as an effective chelating agent. Mater. Lett. 2020, 259, 126853. [Google Scholar] [CrossRef]
- Edington, S.C.; Greenwald, M.J.; Aramini, J.M.; Baxley, J.L. Coordination to lanthanide ions distorts binding site conformation in calmodulin. Proc. Natl. Acad. Sci. USA 2018, 115, E3126–E3134. [Google Scholar] [CrossRef]
- Oh-e, M.; Nagasawa, A. Interactions Between Hydrated Cerium(III) Cations and Various Carboxylates in Aqueous Solution: Anomalously Strong Binding with Diglycolate. ACS Omega 2020, 5, 33303–33312. [Google Scholar] [CrossRef]
- Zhang, J.; Wu, Z.; Liu, T.; Hu, L.T.; Ju, X. XANES study on the valence transitions in cerium oxide nanoparticles. J. Synchrotron Radiat. 2001, 8, 531–532. [Google Scholar] [CrossRef]
- Rudisill, S.G.; Hein, N.M.; Terzic, D.; Stein, A. Controlling Microstructural Evolution in Pechini Gels through the Interplay between Precursor Complexation, Step-Growth Polymerization, and Template Confinement. Chem. Mater. 2013, 25, 745–753. [Google Scholar] [CrossRef]
- Kremer, C.; Torres, J.; Domínguez, S.; Mederos, A. Structure and thermodynamic stability of lanthanide complexes with amino acids and peptides. Coord. Chem. Rev. 2005, 249, 567–590. [Google Scholar] [CrossRef]
- Roisnel, T.; Rodríguez-Carvajal, J. WinPLOTR: A Windows Tool for Powder Diffraction Pattern Analysis. Mater. Sci. Forum 2001, 378–381, 118–123. [Google Scholar] [CrossRef]
- Caglioti, G.; Paoletti, A.; Ricci, F.P. Choice of collimators for a crystal spectrometer for neutron diffraction. Nucl. Instrum. 1958, 3, 223–228. [Google Scholar] [CrossRef]
- Rodríguez-Carvajal, J. Recent advances in magnetic structure determination by neutron powder diffraction. Phys. B 1993, 192, 55–69. [Google Scholar] [CrossRef]
- Thompson, P.; Cox, D.E.; Hastings, J.B. Rietveld refinement of Debye–Scherrer synchrotron X-ray data from Al2O3. J. Appl. Cryst. 1987, 20, 79–83. [Google Scholar] [CrossRef]
- Popa, N.C. The (hkl) dependence of diffraction-line broadening caused by strain and size for all Laue groups in Rietveld refinement. J. Appl. Cryst. 1998, 31, 176–190. [Google Scholar] [CrossRef]
- Aroyo, M.I. (Ed.) International Tables for Crystallography, Volume A: Space-Group Symmetry, 6th ed.; Wiley: Hoboken, NJ, USA, 2016. [Google Scholar] [CrossRef]
- Santos, C.; Attah-Baah, J.M.; Junior, R.S.S.; Mâcedo, M.A.; Rezende, M.V.S.; Matos, R.S.; Ţălu, Ş.; Trong, D.N.; da Paz, S.P.A.; Angélica, R.S.; et al. Insights into the Fe3+ Doping Effects on the Structure and Electron Distribution of Cr2O3 Nanoparticles. Nanomaterials 2023, 13, 980. [Google Scholar] [CrossRef] [PubMed]
- Tauc, J.; Grigorovici, R.; Vancu, A. Optical Properties and Electronic Structure of Amorphous Germanium. Phys. Status Solidi 1966, 15, 627–637. [Google Scholar] [CrossRef]
- Davis, E.A.; Mott, N.F. Conduction in Non-Crystalline Systems V. Conductivity, Optical Absorption and Photoconductivity in Amorphous Semiconductors. Philos. Mag. 1970, 22, 903–922. [Google Scholar] [CrossRef]
- Burnham, K.P.; Anderson, D.R. Model Selection and Multimodel Inference: A Practical Information-Theoretic Approach, 2nd ed.; Springer: New York, NY, USA, 2002. [Google Scholar] [CrossRef]
- Schwarz, G. Estimating the Dimension of a Model. Ann. Stat. 1978, 6, 461–464. [Google Scholar] [CrossRef]
- Urbach, F. The Long-Wavelength Edge of Photographic Sensitivity and of the Electronic Absorption of Solids. Phys. Rev. 1953, 92, 1324. [Google Scholar] [CrossRef]
- Mogensen, M.; Sammes, N.M.; Tompsett, G.A. Physical, chemical and electrochemical properties of pure and doped ceria. Solid State Ionics 2000, 129, 63–94. [Google Scholar] [CrossRef]
- Rupp, J.L.M.; Infortuna, A.; Gauckler, L.J. Microstrain and self-limited grain growth in nanocrystalline ceria ceramics. Acta Mater. 2006, 54, 1721–1730. [Google Scholar] [CrossRef]
- Podor, R.; Clavier, N.; Ravaux, J.; Claparede, L.; Dacheux, N. In situ HT-ESEM observation of CeO2 grain growth during sintering. J. Am. Ceram. Soc. 2012, 95, 3683–3692. [Google Scholar] [CrossRef]
- Ni, D.W.; Schmidt, C.G.; Teocoli, F.; Kaiser, A.; Andersen, K.B.; Ramousse, S.; Esposito, V. Densification and grain growth during sintering of porous Ce0.9Gd1.1O1.95 tape-cast layers: A comprehensive study on heuristic methods. J. Eur. Ceram. Soc. 2013, 33, 2529–2537. [Google Scholar] [CrossRef][Green Version]
- Akhatov, I.S.; Bikmeyev, A.T.; Bilyalov, A.R. Master Sintering Curve Constructing Techniques: A Review. J. Eng. Sci. Technol. Rev. 2023, 16, 75–90. [Google Scholar] [CrossRef]
- Caruso, R.; Mamana, N.; Benavidez, E. Densification kinetics of ZrO2-based ceramics using a master sintering curve. J. Alloys Compd. 2010, 495, 570–573. [Google Scholar] [CrossRef]
- Weber, W.H.; Hass, K.C.; McBride, J.R. Raman study of CeO2: Second-order scattering, lattice dynamics, and particle-size effects. Phys. Rev. B 1993, 48, 178–185. [Google Scholar] [CrossRef]
- Kosacki, I.; Petrovsky, V.; Anderson, H.U.; Colomban, P. Raman spectroscopy of nanocrystalline ceria and zirconia thin films: Phonon confinement and spatial-correlation effects. J. Am. Ceram. Soc. 2002, 85, 2646–2650. [Google Scholar] [CrossRef]
- Schilling, C.; Hofmann, A.; Hess, C.; Ganduglia-Pirovano, M.V. Raman spectra of polycrystalline CeO2: A density-functional-theory study. J. Phys. Chem. C 2017, 121, 20834–20849. [Google Scholar] [CrossRef]
- Loridant, S. Raman spectroscopy as a powerful tool to characterise ceria-based catalysts. Catal. Today 2021, 373, 98–111. [Google Scholar] [CrossRef]
- Sartoretti, E.; Novara, C.; Giorgis, F.; Piumetti, M.; Bensaid, S.; Russo, N.; Fino, D. In situ Raman analyses of the soot oxidation reaction over nanostructured ceria-based catalysts. Sci. Rep. 2019, 9, 3875. [Google Scholar] [CrossRef] [PubMed]
- Burroughs, P.; Hamnett, A.; Orchard, A.F.; Thornton, G. Satellite structure in the X-ray photoelectron spectra of some binary and mixed oxides of lanthanum and cerium. J. Chem. Soc. Dalton Trans. 1976, 1976, 1686–1698. [Google Scholar] [CrossRef]
- Béché, E.; Charvin, P.; Perarnau, D.; Abanades, S.; Flamant, G. Ce 3d XPS investigation of cerium oxides and mixed cerium–titanium oxides. Surf. Interface Anal. 2008, 40, 264–267. [Google Scholar] [CrossRef]
- Mullins, D.R.; Albrecht, P.M.; Chen, T.L.; Calaza, F.C.; Biegalski, M.D.; Christen, H.M. Water dissociation on CeO2(100) and CeO2(111) thin films. J. Phys. Chem. C 2012, 116, 19419–19428. [Google Scholar] [CrossRef]
- Rodriguez, J.A.; Grinter, D.C.; Liu, Z.; Palomino, R.M.; Senanayake, S.D. Ceria-based model catalysts: Fundamental studies on the reactivity of CeO2 and mixed-metal oxides. Chem. Soc. Rev. 2017, 46, 1824–1841. [Google Scholar] [CrossRef]
- Végh, J. The Shirley background revised. J. Electron Spectrosc. Relat. Phenom. 2006, 151, 159–164. [Google Scholar] [CrossRef]
- Tougaard, S. Practical guide to the use of backgrounds in quantitative XPS. J. Vac. Sci. Technol. A 2020, 38, 063203. [Google Scholar] [CrossRef]
- Isaacs, M.A.; Drivas, C.; Lee, R.; Palgrave, R.; Parlett, C.M.A.; Morgan, D.J. XPS surface analysis of ceria-based materials: Experimental methods and considerations. Appl. Surf. Sci. Adv. 2023, 18, 100469. [Google Scholar] [CrossRef]
- Garcia, X.; Soler, L.; Divins, N.J.; Vendrell, X.; Serrano, I.; Lucentini, I.; Prat, J.; Solano, E.; Tallarida, M.; Escudero, C.; et al. Ceria-based catalysts studied by near ambient pressure X-ray photoelectron spectroscopy: A review. Catalysts 2020, 10, 286. [Google Scholar] [CrossRef]
- Stoerzinger, K.A.; Hong, W.T.; Crumlin, E.J.; Bluhm, H.; Biegalski, M.D.; Shao-Horn, Y.S. Water Reactivity on the LaCoO3 (001) Surface: An Ambient Pressure X-ray Photoelectron Spectroscopy Study. J. Phys. Chem. C 2014, 118, 19733–19741. [Google Scholar] [CrossRef]
- Scofield, J.H. Theoretical Photoionization Cross Sections from 1 to 1500 keV; Technical Report UCRL-51326; Lawrence Livermore National Laboratory: Livermore, CA, USA, 1973. [CrossRef]
- Morgan, D.J. Photoelectron spectroscopy of ceria: Reduction, quantification, and the myth of the vacancy peak in XPS analysis. Surf. Interface Anal. 2023, 55, e7254. [Google Scholar] [CrossRef]
- Easton, C.D.; Morgan, D.J. Critical examination of the use of X-ray photoelectron spectroscopy (XPS) O 1s to characterize oxygen vacancies in catalytic materials and beyond. J. Vac. Sci. Technol. A 2025, 43, 053205. [Google Scholar] [CrossRef]
- Röckert, A.; Kullgren, J.; Sethio, D.; Agosta, L.; Hermansson, K. Water on ceria(111): Comparison between experimental vibrational studies in the literature and new modeling. J. Chem. Phys. 2023, 159, 044705. [Google Scholar] [CrossRef]
- Vikatakavi, A.; Benedetti, S.; Righi, G.; Magri, R.; D’Addato, S.; Luches, P.; Selloni, A. Interaction of hydrogen with Cu-modified cerium oxide surfaces: Insights from NAP-XPS. J. Phys. Chem. C 2022, 126, 18652–18660. [Google Scholar] [CrossRef]
- Janoš, P.; Hladík, T.; Kormunda, M.; Ederer, J.; Šťastný, M. Thermal treatment of cerium oxide and its properties: Adsorption Ability versus Degradation Efficiency. Int. J. Photoenergy 2014, 2014, 706041. [Google Scholar] [CrossRef]
- Symington, A.R.; Molinari, M.; Moxon, S.; Flitcroft, J.M.; Sayle, D.C.; Parker, S.C. Strongly bound surface water affects the shape evolution of cerium oxide nanoparticles. J. Phys. Chem. C 2020, 124, 3577–3588. [Google Scholar] [CrossRef]
- Zhao, M.; Shen, M.; Wen, X.; Wang, J. Ce–Zr–Sr ternary mixed oxides: Structural characteristics and oxygen storage capacity. J. Alloys Compd. 2008, 457, 578–586. [Google Scholar] [CrossRef]
- Mavuso, M.A.; Makgwane, P.R.; Ray, S.S. Heterostructured CeO2-M (M = Co, Cu, Mn, Fe, Ni) Oxide Nanocatalysts for the Visible-Light Photooxidation of Pinene to Aroma Oxygenates. ACS Omega 2020, 5, 16780–16792. [Google Scholar] [CrossRef]
- Farmer, J.A.; Campbell, C.T. Ceria maintains smaller metal catalyst particles by strong metal–support bonding. Science 2010, 329, 933–936. [Google Scholar] [CrossRef]
- Che, M.; Tench, A.J. Characterization and reactivity of oxygen species on oxides and zeolites by EPR. Adv. Catal. 1983, 32, 1–148. [Google Scholar] [CrossRef]
- Han, Z.K.; Zhang, L.; Liu, M.; Ganduglia-Pirovano, M.V.; Gao, Y. The structure of oxygen vacancies in the near-surface of reduced CeO2(111) under strain. Front. Chem. 2019, 7, 436. [Google Scholar] [CrossRef] [PubMed]
- Esch, F.; Fabris, S.; Zhou, L.; Montini, T.; Africh, C.; Fornasiero, P.; Comelli, G.; Rosei, R. Electron localization determines defect formation on ceria substrates. Science 2005, 309, 752–755. [Google Scholar] [CrossRef] [PubMed]
- Chakarova, K.K.; Mihaylov, M.Y.; Karapenchev, B.S.; Ivanova, E.Z.; Koseva, N.; Hadjiivanov, K.I. FTIR detection of Ce3+ sites on shape-controlled ceria nanoparticles using adsorbed 15N2 as a probe molecule. Molecules 2025, 30, 3100. [Google Scholar] [CrossRef]
- Nolan, M.; Fearon, J.E.; Watson, G.W. Oxygen vacancy formation and migration in ceria. Solid State Ionics 2006, 177, 3069–3074. [Google Scholar] [CrossRef]
- Cao, Y.; Zhao, L.; Gutmann, T.; Xu, Y.; Dong, L.; Buntkowsky, G.; Gao, F. Getting insights into the influence of crystal plane effect of shaped ceria on its catalytic performances. J. Phys. Chem. C 2018, 122, 20402–20409. [Google Scholar] [CrossRef]
- Li, Z.; Werner, K.; Qian, K.; Yang, J.; Waluyo, I.; Stacchiola, D.J.; Lu, D.; Rodriguez, J.A.; Liu, Z. Oxidation of reduced ceria by incorporation of hydrogen. Angew. Chem. Int. Ed. 2019, 58, 14686–14691. [Google Scholar] [CrossRef]
- Shoko, E.; Smith, M.F.; McKenzie, R.H. Charge distribution near bulk oxygen vacancies in cerium oxides. J. Phys. Condens. Matter. 2010, 22, 223201. [Google Scholar] [CrossRef] [PubMed]
- Graciani, J.; Márquez, A.M.; Plata, J.J.; Ortega, Y.; Hernández, N.C.; Meyer, A.; Zicovich-Wilson, C.M.; Sanz, J.F. Comparative study on the performance of hybrid DFT functionals in highly correlated oxides: The case of CeO2 and Ce2O3. J. Chem. Theory Comput. 2011, 7, 56–65. [Google Scholar] [CrossRef] [PubMed]
- Balestrieri, M.; Colis, S.; Gallart, M.; Schmerber, G.; Ziegler, M.; Gilliota, P.; Dinia, A. Photoluminescence properties of rare-earth (Nd, Yb, Sm, Pr)-doped CeO2 films prepared by pulsed laser deposition. J. Mater. Chem. C 2015, 3, 7519–7531. [Google Scholar] [CrossRef]
- Elaziouti, A.; Laouedj, N.; Bekka, A.; Vannier, R. Preparation and characterization of p–n heterojunction CuBi2O4/CeO2 and its photocatalytic activities under UVA light irradiation. J. King Saud Univ. Sci. 2015, 27, 120–135. [Google Scholar] [CrossRef]
- Choudhury, B.; Dey, M.; Choudhury, A. Ce3+ and oxygen vacancy mediated tuning of structural and optical properties of CeO2 nanoparticles. Mater. Chem. Phys. 2012, 131, 666–671. [Google Scholar] [CrossRef]
- Tauc, J. Optical properties and electronic structure of amorphous Ge and Si. Mater. Res. Bull. 1968, 3, 37–46. [Google Scholar] [CrossRef]
- Makuła, P.; Pacia, M.; Macyk, W. How to correctly determine the band gap energy of modified semiconductor photocatalysts based on UV–Vis spectra. J. Phys. Chem. Lett. 2018, 9, 6814–6817. [Google Scholar] [CrossRef]
- Jubu, P.R.; Yam, F.K.; Igba, V.M.; Beh, K.P. Tauc-plot scale and extrapolation effect on bandgap estimation from UV–vis–NIR data: A case study of β-Ga2O3. J. Solid State Chem. 2020, 290, 121576. [Google Scholar] [CrossRef]
- Ravindra, N.M.; Ganapathy, P.; Choi, J. Energy gap–refractive index relations in semiconductors—An overview. Infrared Phys. Technol. 2007, 50, 21–29. [Google Scholar] [CrossRef]
- Vangelista, S.; Piagge, R.; Ek, S.; Sarnet, T.; Ghidini, G.; Martella, C.; Lamperti, A. Structural, chemical and optical properties of cerium dioxide film prepared by atomic layer deposition on TiN and Si substrates. Thin Solid Films 2017, 636, 78–84. [Google Scholar] [CrossRef]
- Rao, K.N.; Shivlingappa, L.; Mohan, S. Studies on single layer CeO2 and SiO2 films deposited by electron-beam evaporation. Appl. Surf. Sci. 2003, 205, 53–63. [Google Scholar] [CrossRef]
- Chiu, F.C.; Lai, C.M. Optical and electrical characterizations of cerium oxide thin films. J. Phys. D Appl. Phys. 2010, 43, 075104. [Google Scholar] [CrossRef]






| Parameter | Calcination Temperature (∘C) | |||
|---|---|---|---|---|
| 400 | 600 | 800 | 1000 | |
| (Å) | 5.41489 (4) | 5.41398 (3) | 5.41188 (2) | 5.41337 (2) |
| V () | 158.77 (4) | 158.69 (3) | 158.51 (2) | 158.64 (2) |
| (nm) | 3.43 (4) | 3.98 (2) | 14.9 (3) | 57.3 (6) |
| 0.79 (2) | 0.17 (3) | 0.39 (8) | 0.05 (1) | |
| 1.06 | 1.08 | 1.15 | 1.13 | |
| Calcination Temp. (°C) | 3 (eV) | 3 (eV) | (%) | (%) | / | |||||||||
|---|---|---|---|---|---|---|---|---|---|---|---|---|---|---|
| 400 | 882.42 | 883.30 | 887.24 | 889.33 | 898.33 | 898.53 | 900.99 | 901.89 | 907.96 | 916.77 | 35.44 | 64.56 | 0.55 | |
| 600 | 882.25 | 883.04 | 885.68 | 889.05 | 898.28 | 898.30 | 900.78 | 901.21 | 908.15 | 916.87 | 9.84 | 90.16 | 0.11 | |
| 800 | 882.27 | 883.73 | 888.28 | 890.06 | 897.63 | 898.40 | 900.79 | 902.28 | 907.73 | 916.61 | 41.61 | 58.39 | 0.71 | |
| 1000 | 883.16 | 882.19 | 888.10 | 889.81 | 897.46 | 898.43 | 900.75 | 902.37 | 907.74 | 916.61 | 49.54 | 50.45 | 0.98 | |
| Calcination Temp. (°C) | (eV) | (eV) | (eV) | (%) | x | ||
|---|---|---|---|---|---|---|---|
| 400 | 528.57 | 529.10 | 530.90 | 41.73 | 1.82 | 2.27 | −0.45 |
| 600 | 529.43 | 529.86 | 531.09 | 27.27 | 1.87 | 2.09 | −0.22 |
| 800 | 529.39 | 530.11 | 531.17 | 51.14 | 1.79 | 2.40 | −0.61 |
| 1000 | 529.32 | 529.97 | 531.46 | 43.00 | 1.75 | 2.20 | −0.45 |
| Calcination Temp. (°C) | Optical Band Gap (eV) | n | (meV) | ||
|---|---|---|---|---|---|
| Tauc’s Plot | Energy Equation | Derivative | |||
| 400 | 352.7 | ||||
| 600 | 306.4 | ||||
| 800 | 342.5 | ||||
| 1000 | 393.5 | ||||
Disclaimer/Publisher’s Note: The statements, opinions and data contained in all publications are solely those of the individual author(s) and contributor(s) and not of MDPI and/or the editor(s). MDPI and/or the editor(s) disclaim responsibility for any injury to people or property resulting from any ideas, methods, instructions or products referred to in the content. |
© 2025 by the authors. Licensee MDPI, Basel, Switzerland. This article is an open access article distributed under the terms and conditions of the Creative Commons Attribution (CC BY) license (https://creativecommons.org/licenses/by/4.0/).
Share and Cite
Assis, M.S.M.; Gonçalves, J.A.V.; Matos, R.S.; Ferreira, N.S. Linking Defect-Controlled Grain Growth and Band-Edge Optical Response in Chymosin-Assisted Pechini-Derived CeO2−δ Nanoparticles. Materials 2025, 18, 5282. https://doi.org/10.3390/ma18235282
Assis MSM, Gonçalves JAV, Matos RS, Ferreira NS. Linking Defect-Controlled Grain Growth and Band-Edge Optical Response in Chymosin-Assisted Pechini-Derived CeO2−δ Nanoparticles. Materials. 2025; 18(23):5282. https://doi.org/10.3390/ma18235282
Chicago/Turabian StyleAssis, Maria Suêd M., Jorge A. V. Gonçalves, Robert S. Matos, and Nilson S. Ferreira. 2025. "Linking Defect-Controlled Grain Growth and Band-Edge Optical Response in Chymosin-Assisted Pechini-Derived CeO2−δ Nanoparticles" Materials 18, no. 23: 5282. https://doi.org/10.3390/ma18235282
APA StyleAssis, M. S. M., Gonçalves, J. A. V., Matos, R. S., & Ferreira, N. S. (2025). Linking Defect-Controlled Grain Growth and Band-Edge Optical Response in Chymosin-Assisted Pechini-Derived CeO2−δ Nanoparticles. Materials, 18(23), 5282. https://doi.org/10.3390/ma18235282

