Spectroscopic Ellipsometry Study of the Temperature Dependences of the Optical and Exciton Properties of MoS2 and WS2 Monolayers
Abstract
1. Introduction
2. Materials and Methods
2.1. Sample Fabrication and Characterization
2.2. SE Temperature Dependence
3. Results and Discussions
3.1. Analysis of <ɛ>
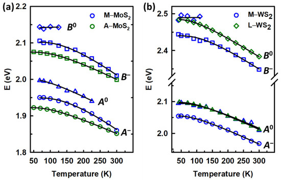
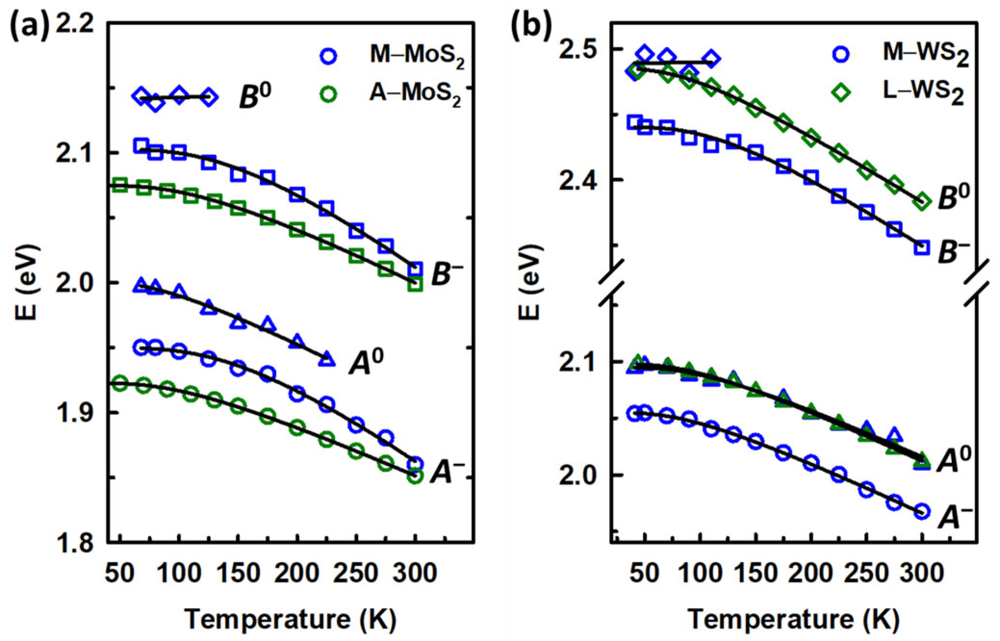
3.2. Exciton Energies
3.3. Temperature Dependence
4. Conclusions
Supplementary Materials
Author Contributions
Funding
Institutional Review Board Statement
Informed Consent Statement
Data Availability Statement
Conflicts of Interest
References
- Joseph, S.; Mohan, J.; Lakshmy, S.; Thomas, S.; Chakraborty, B.; Thomas, S.; Kalarikkal, N. A review of the synthesis, properties, and applications of 2D transition metal dichalcogenides and their heterostructures. Mater. Chem. Phys. 2023, 297, 127332. [Google Scholar] [CrossRef]
- Wang, Q.H.; Kalantar-Zadeh, K.; Kis, A.; Coleman, J.N.; Strano, M.S. Electronics and optoelectronics of two-dimensional transition metal dichalcogenides. Nat. Nanotechnol. 2012, 7, 699–712. [Google Scholar] [CrossRef]
- Lee, Y.-C.; Chang, S.-W.; Chen, S.-H.; Chen, S.-L.; Chen, H.-L. Optical Inspection of 2D Materials: From Mechanical Exfoliation to Wafer-Scale Growth and Beyond. Adv. Sci. 2022, 9, 2102128. [Google Scholar] [CrossRef] [PubMed]
- Chen, P.; Lo, T.W.; Fan, Y.; Wang, S.; Huang, H.; Lei, D. Chiral coupling of valley excitons and light through photonic spin–orbit interactions. Adv. Opt. Mater. 2020, 8, 1901233. [Google Scholar] [CrossRef]
- Chaves, A.; Azadani, J.G.; Alsalman, H.; Da Costa, D.; Frisenda, R.; Chaves, A.; Song, S.H.; Kim, Y.D.; He, D.; Zhou, J. Bandgap engineering of two-dimensional semiconductor materials. NPJ 2D Mater. Appl. 2020, 4, 29. [Google Scholar] [CrossRef]
- Seravalli, L.; Bosi, M. A review on chemical vapour deposition of two-dimensional MoS2 flakes. Materials 2021, 14, 7590. [Google Scholar] [CrossRef]
- Mouloua, D.; Kotbi, A.; Deokar, G.; Kaja, K.; El Marssi, M.; El Khakani, M.A.; Jouiad, M. Recent progress in the synthesis of MoS2 thin films for sensing, photovoltaic and plasmonic applications: A review. Materials 2021, 14, 3283. [Google Scholar] [CrossRef]
- Vidya, C.; Manjunatha, C.; Pranjal, A.; Faraaz, I.; Prashantha, K. A multifunctional nanostructured molybdenum disulphide (MoS2): An overview on synthesis, structural features, and potential applications. Mater. Res. Innov. 2023, 27, 177–193. [Google Scholar] [CrossRef]
- Lan, C.; Li, C.; Ho, J.C.; Liu, Y. 2D WS2: From vapor phase synthesis to device applications. Adv. Electron. Mater. 2021, 7, 2000688. [Google Scholar] [CrossRef]
- Yoo, S.; Park, Q.-H. Spectroscopic ellipsometry for low-dimensional materials and heterostructures. Nanophotonics 2022, 11, 2811–2825. [Google Scholar] [CrossRef]
- Voshell, A.; Terrones, M.; Rana, M. Review of optical properties of two-dimensional transition metal dichalcogenides. Wide Bandgap Power Energy Devices Appl. III 2018, 10754, 66–83. [Google Scholar]
- Golovynskyi, S.; Datsenko, O.I.; Dong, D.; Lin, Y.; Irfan, I.; Li, B.; Lin, D.; Qu, J. Trion binding energy variation on photoluminescence excitation energy and power during direct to indirect bandgap crossover in monolayer and few-layer MoS2. J. Phys. Chem. C 2021, 125, 17806–17819. [Google Scholar] [CrossRef]
- Drüppel, M.; Deilmann, T.; Krüger, P.; Rohlfing, M. Diversity of trion states and substrate effects in the optical properties of an MoS2 monolayer. Nat. Commun. 2017, 8, 2117. [Google Scholar] [CrossRef] [PubMed]
- Chowdhury, T.; Paul, D.; Nechiyil, D.; Gokul, M.A.; Watanabe, K.; Taniguchi, T.; Kumar, G.V.P.; Rahman, A. Modulation of trion and exciton formation in monolayer WS2 by dielectric and substrate engineering. 2D Mater. 2021, 8, 045032. [Google Scholar] [CrossRef]
- Li, X.; Yang, J.; Sun, H.; Huang, L.; Li, H.; Shi, J. Controlled Synthesis and Accurate Doping of Wafer-Scale 2D Semiconducting Transition Metal Dichalcogenides. Adv. Mater. 2023, 2305115. [Google Scholar] [CrossRef]
- Jin, Y.; Yu, K. A review of optics-based methods for thickness and surface characterization of two-dimensional materials. J. Phys. D Appl. Phys. 2021, 54, 393001. [Google Scholar] [CrossRef]
- Fujiwara, H. Spectroscopic Ellipsometry: Principles and Applications; John Wiley & Sons: Hoboken, NJ, USA, 2007. [Google Scholar]
- Aspnes, D. Spectroscopic ellipsometry—Past, present, and future. Thin Solid Film. 2014, 571, 334–344. [Google Scholar] [CrossRef]
- Jellison, G.E. Data analysis for spectroscopic ellipsometry. In Handbook of Ellipsometry; Springer: Berlin/Heidelberg, Germany, 2005; pp. 237–296. [Google Scholar]
- Liu, H.-L.; Shen, C.-C.; Su, S.-H.; Hsu, C.-L.; Li, M.-Y.; Li, L.-J. Optical properties of monolayer transition metal dichalcogenides probed by spectroscopic ellipsometry. Appl. Phys. Lett. 2014, 105, 201905. [Google Scholar] [CrossRef]
- Luria, O.; Mohapatra, P.K.; Patsha, A.; Kribus, A.; Ismach, A. Large-scale characterization of two-dimensional monolayer MoS2 island domains using spectroscopic ellipsometry and reflectometry. Appl. Surf. Sci. 2020, 524, 146418. [Google Scholar] [CrossRef]
- Iqbal, M.W.; Shahzad, K.; Akbar, R.; Hussain, G. A review on Raman finger prints of doping and strain effect in TMDCs. Microelectron. Eng. 2020, 219, 111152. [Google Scholar] [CrossRef]
- Al-Ani, I.A.; As’ham, K.; Klochan, O.; Hattori, H.T.; Huang, L.; Miroshnichenko, A.E. Recent advances on strong light-matter coupling in atomically thin TMDC semiconductor materials. J. Opt. 2022, 24, 053001. [Google Scholar] [CrossRef]
- Hu, Z.; Wu, Z.; Han, C.; He, J.; Ni, Z.; Chen, W. Two-dimensional transition metal dichalcogenides: Interface and defect engineering. Chem. Soc. Rev. 2018, 47, 3100–3128. [Google Scholar] [CrossRef] [PubMed]
- Xiong, Z.; Zhong, L.; Wang, H.; Li, X. Structural defects, mechanical behaviors, and properties of two-dimensional materials. Materials 2021, 14, 1192. [Google Scholar] [CrossRef] [PubMed]
- Park, H.G.; Kim, T.J.; Kim, H.S.; Yoo, C.H.; Barange, N.S.; Le, V.L.; Kim, H.U.; Senthilkumar, V.; Le, C.T.; Kim, Y.S.; et al. Temperature dependence of the critical points of monolayer MoS2 by ellipsometry. Appl. Spectrosc. Rev. 2016, 51, 621–635. [Google Scholar] [CrossRef]
- Nguyen, H.T.; Kim, T.J.; Park, H.G.; Le, V.L.; Nguyen, X.A.; Koo, D.; Lee, C.-H.; Cuong, D.D.; Hong, S.C.; Kim, Y.D. Temperature dependence of optical properties of monolayer WS2 by spectroscopic ellipsometry. Appl. Surf. Sci. 2020, 511, 145503. [Google Scholar] [CrossRef]
- Zhu, X.; He, J.; Zhang, R.; Cong, C.; Zheng, Y.; Zhang, H.; Zhang, S.; Chen, L. Effects of dielectric screening on the excitonic and critical points properties of WS2/MoS2 heterostructures. Nanoscale 2020, 12, 23732–23739. [Google Scholar] [CrossRef]
- Nguyen, X.A.; Le, L.V.; Kim, S.H.; Kim, Y.D.; Diware, M.S.; Kim, T.J.; Kim, Y.D. Temperature dependence of the dielectric function and critical points of monolayer WSe2. Sci. Rep. 2024, 14, 13486. [Google Scholar] [CrossRef]
- Park, H.G.; Kim, T.J.; Ullah, F.; Le, V.L.; Nguyen, H.T.; Kim, Y.S.; Kim, Y.D. Temperature dependence of the dielectric function of monolayer MoSe2. Sci. Rep. 2018, 8, 3173. [Google Scholar] [CrossRef]
- Liu, H.-L.; Yang, T.; Chen, J.-H.; Chen, H.-W.; Guo, H.; Saito, R.; Li, M.-Y.; Li, L.-J. Temperature-dependent optical constants of monolayer MoS2, MoSe2, WS2, and WSe2: Spectroscopic ellipsometry and first-principles calculations. Sci. Rep. 2020, 10, 15282. [Google Scholar] [CrossRef]
- Kravets, V.; Prorok, V.; Poperenko, L.; Shaykevich, I. Ellipsometry and optical spectroscopy of low-dimensional family TMDs. Semicond. Phys. Quantum Electron. Optoelectron. 2017, 20, 284–296. [Google Scholar] [CrossRef]
- Zhu, X.; Li, D.; Zhang, R.; Zhang, H.; Cong, C.; Zhu, M.; Shi, Y.; Wu, Y.; Wang, S.; Zheng, Y. Probing quantum confinement effects on the excitonic property and electronic band structures of MoS2. Appl. Surf. Sci. 2020, 519, 146262. [Google Scholar] [CrossRef]
- Elliott, J.D.; Xu, Z.; Umari, P.; Jayaswal, G.; Chen, M.; Zhang, X.; Martucci, A.; Marsili, M.; Merano, M. Surface susceptibility and conductivity of MoS 2 and WSe 2 monolayers: A first-principles and ellipsometry characterization. Phys. Rev. B 2020, 101, 045414. [Google Scholar] [CrossRef]
- Hoang, A.T.; Hu, L.; Kim, B.J.; Van, T.T.N.; Park, K.D.; Jeong, Y.; Lee, K.; Ji, S.; Hong, J.; Katiyar, A.K.; et al. Low-temperature growth of MoS2 on polymer and thin glass substrates for flexible electronics. Nat. Nanotechnol. 2023, 18, 1439–1447. [Google Scholar] [CrossRef]
- Tao, L.; Li, H.; Gao, Y.; Chen, Z.; Wang, L.; Deng, Y.; Zhang, J.; Xu, J.B. Deterministic and Etching—Free Transfer of Large—Scale 2D Layered Materials for Constructing Interlayer Coupled van der Waals Heterostructures. Adv. Mater. Technol. 2018, 3, 1700282. [Google Scholar] [CrossRef]
- McCreary, K.M.; Hanbicki, A.T.; Sivaram, S.V.; Jonker, B.T. A-and B-exciton photoluminescence intensity ratio as a measure of sample quality for transition metal dichalcogenide monolayers. APL Mater. 2018, 6, 111106. [Google Scholar] [CrossRef]
- Shi, Z.; Wang, X.; Sun, Y.; Li, Y.; Zhang, L. Interlayer coupling in two-dimensional semiconductor materials. Semicond. Sci. Technol. 2018, 33, 093001. [Google Scholar] [CrossRef]
- Nourbakhsh, A.; Zubair, A.; Sajjad, R.N.; Tavakkoli KG, A.; Chen, W.; Fang, S.; Ling, X.; Kong, J.; Dresselhaus, M.S.; Kaxiras, E. MoS2 field-effect transistor with sub-10 nm channel length. Nano Lett. 2016, 16, 7798–7806. [Google Scholar] [CrossRef]
- Najmaei, S.; Liu, Z.; Ajayan, P.; Lou, J. Thermal effects on the characteristic Raman spectrum of molybdenum disulfide (MoS2) of varying thicknesses. Appl. Phys. Lett. 2012, 100, 013106. [Google Scholar] [CrossRef]
- Murray, R.; Evans, B. The thermal expansion of 2H-MoS2 and 2H-WSe2 between 10 and 320 K. J. Appl. Crystallogr. 1979, 12, 312–315. [Google Scholar] [CrossRef]
- Mitioglu, A.; Galkowski, K.; Surrente, A.; Klopotowski, L.; Dumcenco, D.; Kis, A.; Maude, D.K.; Plochocka, P. Magnetoexcitons in large area CVD-grown monolayer MoS2 and MoSe2 on sapphire. Phys. Rev. B 2016, 93, 165412. [Google Scholar] [CrossRef]
- Hoang, A.T.; Qu, K.; Chen, X.; Ahn, J.-H. Large-area synthesis of transition metal dichalcogenides via CVD and solution-based approaches and their device applications. Nanoscale 2021, 13, 615–633. [Google Scholar] [CrossRef] [PubMed]
- Lee, D.H.; Sim, Y.; Wang, J.; Kwon, S.-Y. Metal–organic chemical vapor deposition of 2D van der Waals materials—The challenges and the extensive future opportunities. Apl Mater. 2020, 8, 030901. [Google Scholar] [CrossRef]
- Savitzky, A.; Golay, M.J.E. Smoothing and differentiation of data by simplified least squares procedures. Anal. Chem. 1964, 36, 1627–1639. [Google Scholar] [CrossRef]
- Cardona, M. Modulation Spectroscopy; Academic Press: Cambridge, MA, USA, 1969. [Google Scholar]
- Kim, T.J.; Hwang, S.Y.; Byun, J.S.; Diware, M.S.; Choi, J.; Park, H.G.; Kim, Y.D. Temperature dependence of the dielectric functions and the critical points of InSb by spectroscopic ellipsometry from 31 to 675 K. J. Appl. Phys. 2013, 114, 103501. [Google Scholar]
- Pei, J.; Yang, J.; Xu, R.; Zeng, Y.H.; Myint, Y.W.; Zhang, S.; Zheng, J.C.; Qin, Q.; Wang, X.; Jiang, W. Exciton and trion dynamics in bilayer MoS2. Small 2015, 11, 6384–6390. [Google Scholar] [CrossRef]
- Lautenschlager, P.; Garriga, M.; Cardona, M. Temperature dependence of the interband critical-point parameters of InP. Phys. Rev. B 1987, 36, 4813. [Google Scholar] [CrossRef]
- Roch, J.G.; Froehlicher, G.; Leisgang, N.; Makk, P.; Watanabe, K.; Taniguchi, T.; Warburton, R.J. Spin-polarized electrons in monolayer MoS2. Nat. Nanotechnol. 2019, 14, 432–436. [Google Scholar] [CrossRef]
- Khan, M.; Leuenberger, M.N. Room-temperature superparamagnetism due to giant magnetic anisotropy in MoS defected single-layer MoS2. J. Phys. Condens. Matter 2018, 30, 155802. [Google Scholar] [CrossRef]
- Goswami, T.; Rani, R.; Hazra, K.S.; Ghosh, H.N. Ultrafast Carrier Dynamics of the Exciton and Trion in MoS2 Monolayers Followed by Dissociation Dynamics in Au@MoS2 2D Heterointerfaces. J. Phys. Chem. Lett. 2019, 10, 3057–3063. [Google Scholar] [CrossRef]
- Sebait, R.; Biswas, C.; Song, B.; Seo, C.; Lee, Y.H. Identifying defect-induced trion in monolayer WS2 via carrier screening engineering. ACS Nano 2021, 15, 2849–2857. [Google Scholar] [CrossRef]
- Hossen, M.F.; Shendokar, S.; Aravamudhan, S. Defects and Defect Engineering of Two-Dimensional Transition Metal Dichalcogenide (2D TMDC) Materials. Nanomaterials 2024, 14, 410. [Google Scholar] [CrossRef] [PubMed]
- Torres-Torres, C.; Perea-López, N.; Elías, A.L.; Gutiérrez, H.R.; Cullen, D.A.; Berkdemir, A.; López-Urías, F.; Terrones, H.; Terrones, M. Third order nonlinear optical response exhibited by mono-and few-layers of WS2. 2d Mater. 2016, 3, 021005. [Google Scholar] [CrossRef]
- Wu, K.; Guo, C.; Wang, H.; Zhang, X.; Wang, J.; Chen, J. All-optical phase shifter and switch near 1550nm using tungsten disulfide (WS2) deposited tapered fiber. Opt. Express 2017, 25, 17639–17649. [Google Scholar] [CrossRef] [PubMed]





| Exciton Energies | A−MoS2 | M−MoS2 | L−WS2 | M−WS2 1 | ||||
|---|---|---|---|---|---|---|---|---|
| 70 K | 300 K | 68 K | 300 K | 44 K | 300 K | 41 K | 300 K | |
| A− | 1.92 ± 0.01 | 1.85 ± 0.03 | 1.95 ± 0.01 | 1.86 ± 0.03 | -- | -- | 2.05 ± 0.01 | 1.96 ± 0.02 |
| A0 | -- | -- | 2.00 ± 0.02 | -- | 2.10 ± 0.02 | 2.01 ± 0.02 | 2.09 ± 0.01 | 2.00 ± 0.02 |
| B− | 2.08 ± 0.02 | 2.00 ± 0.04 | 2.10 ± 0.01 | 2.01 ± 0.02 | -- | -- | 2.44 ± 0.01 | 2.34 ± 0.02 |
| B0 | -- | -- | 2.14 ± 0.02 | -- | 2.48 ± 0.01 | 2.38 ± 0.04 | 2.48 ± 0.02 | -- |
| Sample | Exciton | EB (eV) | aB (meV) | Θ (K) | EL (eV) | λ (10−4 eVK−1) |
|---|---|---|---|---|---|---|
| A−MoS2 | A− | 1.99 ± 0.01 | 67 ± 3 | 318 ± 8 | -- | -- |
| B− | 2.16 ± 0.01 | 87 ± 5 | 361 ± 12 | -- | -- | |
| M−MoS2 | A− | 2.14 ± 0.03 | 191 ± 33 | 505 ± 42 | -- | -- |
| A0 | 2.06 ± 0.03 | 60 ± 34 | 249 ± 93 | -- | -- | |
| B− | 2.28 ± 0.03 | 186 ± 36 | 488 ± 47 | -- | -- | |
| B0 | -- | -- | -- | 2.14 ± 0.01 | 0.26 ± 0.01 | |
| L−WS2 | A0 | 2.17 ± 0.01 | 69 ± 3 | 287 ± 9 | -- | -- |
| B0 | 2.56 ± 0.03 | 73 ± 4 | 267 ± 9 | -- | -- | |
| M−WS2 1 | A− | 2.11 ± 0.01 | 63 ± 6 | 266 ± 17 | -- | -- |
| A0 | 2.16 ± 0.02 | 73 ± 22 | 314 ± 59 | -- | -- | |
| B− | 2.55 ± 0.02 | 112 ± 23 | 374 ± 42 | -- | -- | |
| B0 | -- | -- | -- | 2.49 ± 0.01 | 0.10 ± 0.01 |
Disclaimer/Publisher’s Note: The statements, opinions and data contained in all publications are solely those of the individual author(s) and contributor(s) and not of MDPI and/or the editor(s). MDPI and/or the editor(s) disclaim responsibility for any injury to people or property resulting from any ideas, methods, instructions or products referred to in the content. |
© 2024 by the authors. Licensee MDPI, Basel, Switzerland. This article is an open access article distributed under the terms and conditions of the Creative Commons Attribution (CC BY) license (https://creativecommons.org/licenses/by/4.0/).
Share and Cite
Nguyen, H.T.; Nguyen, X.A.; Hoang, A.T.; Kim, T.J. Spectroscopic Ellipsometry Study of the Temperature Dependences of the Optical and Exciton Properties of MoS2 and WS2 Monolayers. Materials 2024, 17, 5455. https://doi.org/10.3390/ma17225455
Nguyen HT, Nguyen XA, Hoang AT, Kim TJ. Spectroscopic Ellipsometry Study of the Temperature Dependences of the Optical and Exciton Properties of MoS2 and WS2 Monolayers. Materials. 2024; 17(22):5455. https://doi.org/10.3390/ma17225455
Chicago/Turabian StyleNguyen, Hoang Tung, Xuan Au Nguyen, Anh Tuan Hoang, and Tae Jung Kim. 2024. "Spectroscopic Ellipsometry Study of the Temperature Dependences of the Optical and Exciton Properties of MoS2 and WS2 Monolayers" Materials 17, no. 22: 5455. https://doi.org/10.3390/ma17225455
APA StyleNguyen, H. T., Nguyen, X. A., Hoang, A. T., & Kim, T. J. (2024). Spectroscopic Ellipsometry Study of the Temperature Dependences of the Optical and Exciton Properties of MoS2 and WS2 Monolayers. Materials, 17(22), 5455. https://doi.org/10.3390/ma17225455

