Sign in to use this feature.

Years

Between: -

Subjects

remove_circle_outline
remove_circle_outline
remove_circle_outline
remove_circle_outline
remove_circle_outline
remove_circle_outline
remove_circle_outline
remove_circle_outline
remove_circle_outline

Journals

remove_circle_outline
remove_circle_outline
remove_circle_outline
remove_circle_outline
remove_circle_outline
remove_circle_outline
remove_circle_outline
remove_circle_outline
remove_circle_outline

Article Types

Countries / Regions

remove_circle_outline
remove_circle_outline
remove_circle_outline
remove_circle_outline
remove_circle_outline

Search Results (865)

Search Parameters:
Keywords = flexible loop

Order results
Result details
Results per page
Select all
Export citation of selected articles as:
23 pages, 7016 KB  
Article
Robust H Fault-Tolerant Control with Mixed Time-Varying Delays
by Jinxia Wu, Yahui Geng and Juan Wang
Actuators 2026, 15(2), 73; https://doi.org/10.3390/act15020073 - 25 Jan 2026
Abstract
This paper investigates the robust fault-tolerant control (FTC) problem for interval type-2 fuzzy systems (IT2FS) with simultaneous time-varying input and state delays. In order to more comprehensively capture system uncertainties, an Interval Type-2 (IT2) fuzzy model is constructed, which, compared to the conventional [...] Read more.
This paper investigates the robust fault-tolerant control (FTC) problem for interval type-2 fuzzy systems (IT2FS) with simultaneous time-varying input and state delays. In order to more comprehensively capture system uncertainties, an Interval Type-2 (IT2) fuzzy model is constructed, which, compared to the conventional Interval Type-1 model, better captures the uncertainty information of the system. A premise-mismatched fault-tolerant controller is designed to ensure system stability in the presence of actuator faults, while providing greater flexibility in the selection of membership functions. In the stability analysis, a novel Lyapunov–Krasovskii functional is formulated, incorporating membership-dependent matrices and delay-product terms, leading to sufficient conditions for closed-loop stability based on linear matrix inequalities (LMIs). A numerical simulation and a practical physical model are used, respectively, to illustrate the effectiveness of the proposed method. Comparative experiments further reveal the impact of input delays and actuator faults on closed-loop performance, verifying the effectiveness and robustness of the designed controller, as well as the superiority of interval type-2 over interval type-1. Full article
(This article belongs to the Section Control Systems)
26 pages, 2502 KB  
Article
Improving the Efficiency of Collaboration Between Humans and Embodied AI Agents in 3D Virtual Environments
by Seowon Han and Kang Hoon Lee
Appl. Sci. 2026, 16(2), 1135; https://doi.org/10.3390/app16021135 - 22 Jan 2026
Viewed by 31
Abstract
This study proposes a human-in-the-loop dynamic graph-based planning framework designed to elevate LLM-based Embodied Agents from simple tools to trustworthy collaborative partners. To achieve this, we address the trade-off between the structural rigidity of plan-centric approaches and the instability of reactive methods. The [...] Read more.
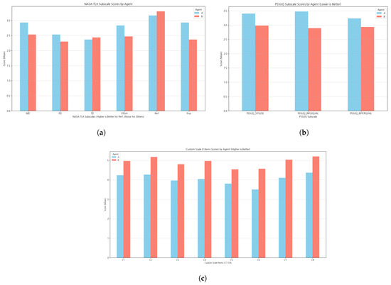
This study proposes a human-in-the-loop dynamic graph-based planning framework designed to elevate LLM-based Embodied Agents from simple tools to trustworthy collaborative partners. To achieve this, we address the trade-off between the structural rigidity of plan-centric approaches and the instability of reactive methods. The framework utilizes a Directed Acyclic Graph (DAG) with AND/OR nodes to ensure robustness while maintaining flexibility. Critically, the agent features an Automated Recovery Mechanism for self-correction and a Dynamic Modification Mechanism that employs Relevance Analysis to effectively translate human interventions (Switch, Add, Delete) into graph updates. Comparative experiments in Minecraft with 30 participants validated the method’s effectiveness. The proposed agent (Agent B) outperformed the reactive baseline (Agent A), reducing mission completion time by 9.3%. Notably, the agent demonstrated high instruction compliance and reduced user frustration by approximately 20%, leading to statistically higher satisfaction scores (PSSUQ). These results confirm that by ensuring planning robustness and responsiveness, the proposed framework successfully enables agents to function as trustworthy partners in complex environments. Full article
(This article belongs to the Special Issue Augmented and Virtual Reality for Smart Applications)
Show Figures

Figure 1

29 pages, 5664 KB  
Article
Dynamic Event-Triggered Control for Unmanned Aerial Vehicle Swarm Adaptive Target Enclosing Mission
by Wanjing Zhang and Xinli Xu
Sensors 2026, 26(2), 655; https://doi.org/10.3390/s26020655 - 18 Jan 2026
Viewed by 231
Abstract
Multi-UAV (unmanned aerial vehicle) target enclosing control is one of the key technologies for achieving cooperative tasks. It faces limitations in communication resources and task framework separation. To address this, a distributed cooperative control strategy is proposed based on dynamic time-varying formation description [...] Read more.
Multi-UAV (unmanned aerial vehicle) target enclosing control is one of the key technologies for achieving cooperative tasks. It faces limitations in communication resources and task framework separation. To address this, a distributed cooperative control strategy is proposed based on dynamic time-varying formation description and event-triggering mechanism. Firstly, a formation description method based on a geometric transformation parameter set is established to uniformly describe the translation, rotation, and scaling movements of the formation, providing a foundation for time-varying formation control. Secondly, a cooperative architecture for adaptive target enclosing tasks is designed. This architecture achieves an organic combination of formation control and target enclosing in a unified framework, thereby meeting flexible transitions between multiple formation patterns such as equidistant surrounding and variable-distance enclosing. Thirdly, a distributed dynamic event-triggered cooperative enclosing controller is developed. This strategy achieves online adjustment of communication thresholds through internal dynamic variables, significantly reducing communication while strictly ensuring system performance. By constructing a Lyapunov function, the stability and Zeno free behavior of the closed-loop system are proven. The simulation results verify this strategy, showing that this strategy can significantly reduce communication frequency while ensuring enclosing accuracy and formation consistency and effectively adapt to uniform and maneuvering target scenarios. Full article
(This article belongs to the Special Issue Dynamics and Control System Design for Robotics)
Show Figures

Figure 1

21 pages, 7192 KB  
Article
A Flying Capacitor Zero-Sequence Leg Based 3P4L Converter with DC Second Harmonic Suppression and AC Three-Phase Imbalance Compensation Abilities
by Yufeng Ma, Chao Zhang, Xufeng Yuan, Wei Xiong, Zhiyang Lu, Huajun Zheng, Yutao Xu and Zhukui Tan
Electronics 2026, 15(2), 412; https://doi.org/10.3390/electronics15020412 - 16 Jan 2026
Viewed by 142
Abstract
In flexible DC distribution systems, the three-phase four-leg (3P4L) converter demonstrates excellent performance in addressing three-phase load imbalance problems, but suffers from DC-side second harmonics and complex multi-parameter control coordination. In this paper, a flying capacitor zero-sequence leg-based 3P4L (FCZS-3P4L) converter is proposed, [...] Read more.
In flexible DC distribution systems, the three-phase four-leg (3P4L) converter demonstrates excellent performance in addressing three-phase load imbalance problems, but suffers from DC-side second harmonics and complex multi-parameter control coordination. In this paper, a flying capacitor zero-sequence leg-based 3P4L (FCZS-3P4L) converter is proposed, which introduces the three-level flying capacitor structure into the fourth zero-sequence leg, making it possible to suppress the DC-side second harmonics by using the flying capacitor for energy buffering. Meanwhile, a modulated model predictive control (MMPC) strategy for proposed FCZS-3P4L is presented. This strategy utilizes a dual-layer control strategy based on a phase-split power outer loop and a model predictive current inner loop to simultaneously achieve AC three-phase imbalance current compensation and the energy buffering of the flying capacitor, thereby eliminating the complex parameter coordination among multiple control loops in conventional control structures. A MATLAB-based simulation model and Star-Sim hardware-in-the-loop (HIL) semi-physical experimental platforms are built. The results show that the proposed FCZS-3P4L converter and corresponding MMPC control can effectively reduces three-phase current unbalance by 19.57%, and reduce the second harmonic amplitude by 57%, i.e., decreasing from 14.74 V to 6.31 V, simultaneously realizing DC-side second harmonic and AC-side three-phase unbalance suppression. Full article
Show Figures

Figure 1

15 pages, 1108 KB  
Article
Fixed-Time Path Tracking Control of Uncertain Robotic Manipulator Based on Adaptive Deviation Correction and Compensation Mechanism Neural Network
by Dongsheng Ma, Li Ren, Tianli Li, Mahmud Iwan Solihin and Juchen Li
Processes 2026, 14(2), 278; https://doi.org/10.3390/pr14020278 - 13 Jan 2026
Viewed by 134
Abstract
A fixed-time sliding mode controller based on an adaptive neural network is developed for the path tracking problem of robotic manipulators with model uncertainty and external nonlinear interference. Firstly, a fixed-time sliding surface and sliding mode reaching law are designed based on the [...] Read more.
A fixed-time sliding mode controller based on an adaptive neural network is developed for the path tracking problem of robotic manipulators with model uncertainty and external nonlinear interference. Firstly, a fixed-time sliding surface and sliding mode reaching law are designed based on the dynamic model of the robotic manipulator, which ensures that the error signal converges along the sliding surface within a fixed time. The speed of the state approaching the sliding surface can be flexibly adjusted through the reaching law, and it has strong robustness to parameter perturbations and external disturbances. Then, the uncertainty of model parameters and external disturbances is regarded as composite interference, and an adaptive neural network is utilized to approximate the disturbance online for adaptive fitting. This does not require precise modelling, the control input jitter is reduced, the composite disturbance is compensated in real time, and the system tracking accuracy is improved. Subsequently, the fixed-time stability characteristics of the closed-loop system are demonstrated through Lyapunov stability theory. Finally, the effectiveness and robustness of the proposed control strategy are verified through simulation. Full article
(This article belongs to the Section Automation Control Systems)
Show Figures

Figure 1

23 pages, 1822 KB  
Article
Design and Implementation of Battery Charger Using Buck Converter in Constant Current and Voltage Modes for Educational Experiment Kits
by Pokkrong Vongkoon, Chaowanan Jamroen and Alongkorn Pirayawaraporn
Symmetry 2026, 18(1), 147; https://doi.org/10.3390/sym18010147 - 13 Jan 2026
Viewed by 329
Abstract
This study presents a modular battery charging system based on a DC–DC buck converter with proportional–integral (PI) control, developed to support hands-on learning in power electronics education. In response to the need for flexible experimental platforms, the system is designed to bridge theoretical [...] Read more.
This study presents a modular battery charging system based on a DC–DC buck converter with proportional–integral (PI) control, developed to support hands-on learning in power electronics education. In response to the need for flexible experimental platforms, the system is designed to bridge theoretical concepts of power conversion and control with practical implementation. The proposed setup employs cascaded current and voltage control loops to achieve constant current (CC) and constant voltage (CV) charging modes, while its modular hardware architecture allows modification of key parameters such as inductance, capacitance, and circuit topology. The control algorithms are implemented on a microcontroller, and real-time data acquisition is integrated using the ThingSpeak platform for monitoring system behaviour. Experimental results show that the current control loop recovers to its reference value within approximately 6 ms under abrupt load variations, whereas the voltage control loop settles within approximately 15 ms, demonstrating stable closed-loop performance. In addition, the system successfully charges a 12 V lead-acid battery following a standard CC–CV charging profile. Overall, the proposed experiment kit provides an effective educational platform and a practical basis for further exploration of battery charging strategies and power converter control. Full article
Show Figures

Figure 1

25 pages, 4490 KB  
Article
A Bi-Level Intelligent Control Framework Integrating Deep Reinforcement Learning and Bayesian Optimization for Multi-Objective Adaptive Scheduling in Opto-Mechanical Automated Manufacturing
by Lingyu Yin, Zhenhua Fang, Kaicen Li, Jing Chen, Naiji Fan and Mengyang Li
Appl. Sci. 2026, 16(2), 732; https://doi.org/10.3390/app16020732 - 10 Jan 2026
Viewed by 201
Abstract
The opto-mechanical automated manufacturing process, characterized by stringent process constraints, dynamic disturbances, and conflicting optimization objectives, presents significant control challenges for traditional scheduling and control approaches. We formulate the scheduling problem within a closed-loop control paradigm and propose a novel bi-level intelligent control [...] Read more.
The opto-mechanical automated manufacturing process, characterized by stringent process constraints, dynamic disturbances, and conflicting optimization objectives, presents significant control challenges for traditional scheduling and control approaches. We formulate the scheduling problem within a closed-loop control paradigm and propose a novel bi-level intelligent control framework integrating Deep Reinforcement Learning (DRL) and Bayesian Optimization (BO). The core of our approach is a bi-level intelligent control framework. An inner DRL agent acts as an adaptive controller, generating control actions (scheduling decisions) by perceiving the system state and learning a near-optimal policy through a carefully designed reward function, while an outer BO loop automatically tunes the DRL’s hyperparameters and reward weights for superior performance. This synergistic BO-DRL mechanism facilitates intelligent and adaptive decision-making. The proposed method is extensively evaluated against standard meta-heuristics, including Genetic Algorithm (GA) and Particle Swarm Optimization (PSO), on a complex 20-jobs × 20-machines flexible job shop scheduling benchmark specific to opto-mechanical automated manufacturing. The experimental results demonstrate that our BO-DRL algorithm significantly outperforms these benchmarks, achieving reductions in makespan of 13.37% and 25.51% compared to GA and PSO, respectively, alongside higher machine utilization and better on-time delivery. Furthermore, the algorithm exhibits enhanced convergence speed, superior robustness under dynamic disruptions (e.g., machine failures, urgent orders), and excellent scalability to larger problem instances. This study confirms that integrating DRL’s perceptual decision-making capability with BO’s efficient parameter optimization yields a powerful and effective solution for intelligent scheduling in high-precision manufacturing environments. Full article
Show Figures

Figure 1

24 pages, 2860 KB  
Review
Integrating Sensory Perception and Wearable Monitoring to Promote Healthy Aging: A New Frontier in Nutritional Personalization
by Alessandro Tonacci, Francesca Gorini, Francesco Sansone and Francesca Venturi
Nutrients 2026, 18(2), 214; https://doi.org/10.3390/nu18020214 - 9 Jan 2026
Viewed by 224
Abstract
Aging involves progressive changes in sensory perception, appetite regulation, and metabolic flexibility, which together affect dietary intake, nutrient adequacy, and health-related outcomes. Meanwhile, current wearable technologies allow continuous, minimally invasive monitoring of physiological and behavioral markers relevant to metabolic health, such as physical [...] Read more.
Aging involves progressive changes in sensory perception, appetite regulation, and metabolic flexibility, which together affect dietary intake, nutrient adequacy, and health-related outcomes. Meanwhile, current wearable technologies allow continuous, minimally invasive monitoring of physiological and behavioral markers relevant to metabolic health, such as physical activity, sleep, heart rate variability, glycemic patterns, and so forth. However, digital nutrition approaches have largely focused on physiological signals while underutilizing the sensory dimensions of eating—taste, smell, texture, and hedonic response—that strongly drive dietary intake and adherence. This narrative review synthesizes evidence on the following: (1) age-related sensory changes and their nutritional consequences, (2) metabolic adaptation and markers of resilience in older adults, and (3) current and emerging wearable technologies applicable to nutritional personalization. Following this, we propose an integrative framework linking subjective (implicit) sensory perception and objective (explicit) wearable-derived physiological responses into adaptive feedback loops to support personalized dietary strategies for healthy aging. In this light, we discuss practical applications, technological and methodological challenges, ethical considerations, and research priorities to validate and implement sensory–physiological integrated models. Merging together sensory science and wearable monitoring has the potential to enhance adherence, preserve nutritional status, and bolster metabolic resilience in aging populations, moving nutrition from one-size-fits-all prescriptions toward dynamic, person-centered, sensory-aware interventions. Full article
(This article belongs to the Special Issue Nutrient Interaction, Metabolic Adaptation and Healthy Aging)
Show Figures

Figure 1

17 pages, 2536 KB  
Article
A Portable Dual-Mode Microfluidic Device Integrating RT-qPCR and RT-LAMP for Rapid Nucleic Acid Detection in Point-of-Care Testing
by Baihui Zhang, Xiao Li, Mengjie Huang, Maojie Jiang, Leilei Du, Peng Yin, Xuan Fang, Xiangyu Jiang, Feihu Qi, Yanna Lin and Fuqiang Ma
Biosensors 2026, 16(1), 51; https://doi.org/10.3390/bios16010051 - 8 Jan 2026
Viewed by 495
Abstract
Point-of-care testing (POCT) has emerged as a vital diagnostic approach in emergency medicine, primary care, and resource-limited environments because of its convenience, affordability, and capacity to provide immediate results. Here, we present a multifunctional portable nucleic acid detection platform integrating reverse transcription polymerase [...] Read more.
Point-of-care testing (POCT) has emerged as a vital diagnostic approach in emergency medicine, primary care, and resource-limited environments because of its convenience, affordability, and capacity to provide immediate results. Here, we present a multifunctional portable nucleic acid detection platform integrating reverse transcription polymerase chain reaction (RT-qPCR) and reverse transcription loop-mediated isothermal amplification (RT-LAMP) within a unified microfluidic device. The system leverages Tesla-valve-based passive flow control to enhance reaction efficiency and operational simplicity. A four-channel optical detection unit allows for multiplex fluorescence quantification (CY5, FAM, VIC, ROX) and has high sensitivity and reproducibility for RT-LAMP. The compact design reduces the overall size by approximately 90% compared with conventional qPCR instruments. For RT-PCR, the system achieves a detection limit of 2.0 copies μL−1 and improves analytical efficiency by 27%. For RT-LAMP, the detection limit reaches 2.95 copies μL−1 with a 14% enhancement in analytical efficiency. Compared with commercial qPCR instruments, the device maintains equivalent quantitative accuracy despite significant miniaturization, ensuring reliable performance in decentralized testing. Furthermore, the total RT-LAMP assay time is reduced from more than two hours to 42 min, enabling truly rapid molecular diagnostics. This dual-mode platform offers a flexible, scalable strategy for bridging laboratory-grade molecular assays with real-time POCT applications, supporting early disease detection and epidemic surveillance. Full article
(This article belongs to the Section Nano- and Micro-Technologies in Biosensors)
Show Figures

Figure 1

27 pages, 2128 KB  
Article
Lowering the Threshold for Integration of Big Data Services into Closed-Loop Supply Chain: Necessary Conditions Based on the Variational Inequality Approach
by Yanhong Yuan and Liqin Shi
Systems 2026, 14(1), 50; https://doi.org/10.3390/systems14010050 - 1 Jan 2026
Viewed by 245
Abstract
Big data service providers (BDSPs) play a critical role in supporting the digital transformation of closed-loop supply chains (CLSCs). However, as the number of CLSC members increases, traditional coordination contracts become complex in the big data era, which challenges effective collaboration and contract [...] Read more.
Big data service providers (BDSPs) play a critical role in supporting the digital transformation of closed-loop supply chains (CLSCs). However, as the number of CLSC members increases, traditional coordination contracts become complex in the big data era, which challenges effective collaboration and contract implementation. To address this issue, this paper investigates the profit coordination problem in a CLSC with a BDSP, with the aim of lowering the contract implementation threshold and facilitating flexible adjustment of contract terms. This study applies the variational inequality method to derive the necessary conditions under which a CLSC with the participation of a BDSP achieves maximum system profit. The results indicate that these necessary conditions are as follows. First, the wholesale price is equal to the unit cost of new products. Second, the optimal payment level is positively correlated with production volume, unit cost savings, the BDSP marketing effort sensitivity coefficient, and the BDSP recycling effort sensitivity coefficient, while it is negatively correlated with the retail price sensitivity coefficient, the recycling price sensitivity coefficient, and the big data service cost coefficient. Full article
(This article belongs to the Section Supply Chain Management)
Show Figures

Figure 1

34 pages, 2842 KB  
Review
Emerging Smart and Adaptive Hydrogels for Next-Generation Tissue Engineering
by Soheil Sojdeh, Amirhosein Panjipour, Miranda Castillo, Zohreh Arabpour and Ali R. Djalilian
Bioengineering 2026, 13(1), 50; https://doi.org/10.3390/bioengineering13010050 - 31 Dec 2025
Viewed by 532
Abstract
Tissue engineering is entering a new era, one defined not by passive scaffolds but by smart, adaptive biomaterials that can sense, think, and respond to their surroundings. These next-generation materials go beyond simply providing structure; they interact with cells and tissues in real [...] Read more.
Tissue engineering is entering a new era, one defined not by passive scaffolds but by smart, adaptive biomaterials that can sense, think, and respond to their surroundings. These next-generation materials go beyond simply providing structure; they interact with cells and tissues in real time. Recent advances in mechanically responsive hydrogels and dynamic crosslinking have demonstrated how materials can adjust their stiffness, repair themselves, and transmit mechanical cues that directly influence cell behavior and tissue growth. Meanwhile, in vivo studies are demonstrating how engineered materials can harness the body’s own mechanical forces to activate natural repair programs without relying on growth factors or additional ligands, paving the way for minimally invasive, force-based therapies. The emergence of electroactive and conductive biomaterials has further expanded these capabilities, enabling two-way electrical communication with excitable tissues such as the heart and nerves, supporting more coordinated and mature tissue growth. Meanwhile, programmable bioinks and advanced bioprinting technologies now allow for precise spatial patterning of multiple materials and living cells. These printed constructs can adapt and regenerate after implantation, combining architectural stability with flexibility to respond to biological changes. This review brings together these cross-cutting advances, dynamic chemical design, mechanobiology-guided engineering, bioelectronic integration, and precision bio-fabrication to provide a comprehensive view of the path forward in this field. We discuss key challenges, including scalability, safety compliance, and real-time sensing validation, alongside emerging opportunities such as in situ stimulation, personalized electromechanical sites, and closed loop “living” implants. Taken together, these adaptive biomaterials represent a transformative step toward information-rich, self-aware scaffolds capable of guiding regeneration in patient-specific pathways, blurring the boundary between living tissue and engineered material. Full article
Show Figures

Graphical abstract

29 pages, 8788 KB  
Article
A Data Prediction and Physical Simulation Coupled Method for Quantifying Building Adjustable Margin
by Bangpeng Xie, Liting Zhang, Wenkai Zhao, Yiming Yuan, Xiaoyi Chen, Xiao Luo, Chaoran Fu, Jiayu Wang, Fanyue Qian, Yongwen Yang and Sen Lin
Buildings 2026, 16(1), 170; https://doi.org/10.3390/buildings16010170 - 30 Dec 2025
Viewed by 272
Abstract
Buildings account for nearly 32% of global energy consumption and serve as key demand-side flexibility resources in power systems with high renewable penetration. However, their utilization is constrained by the lack of an integrated framework that can jointly quantify energy-adjustable margin (BAM) and [...] Read more.
Buildings account for nearly 32% of global energy consumption and serve as key demand-side flexibility resources in power systems with high renewable penetration. However, their utilization is constrained by the lack of an integrated framework that can jointly quantify energy-adjustable margin (BAM) and response duration (RD) under realistic operational and thermal comfort constraints. This study presents a coupled data–physical simulation framework integrating a Particle Swarm Optimization–Long Short-Term Memory–Random Forest (PSO-LSTM-RF) hybrid load forecasting model with EnergyPlus(24.1.0)-based building simulation. The PSO-LSTM-RF model achieves high-accuracy short-term load prediction, with an average R2 of 0.985 and mean absolute percentage errors of 1.92–5.75%. Predicted load profiles are mapped to physically consistent baseline and demand-response scenarios using a similar-day matching mechanism, enabling joint quantification of BAM and RD under explicit thermal comfort constraints. Case studies on offices, shopping malls, and hotels reveal significant heterogeneity: hotels exhibit the largest BAM (up to 579.27 kWh) and longest RD (up to 135 min), shopping malls maintain stable high flexibility, and offices show moderate BAM with minimal operational disruption. The framework establishes a closed-loop link between data-driven prediction and physics-based simulation, providing interpretable flexibility indicators to support demand-response planning, virtual power plant aggregation, and coordinated optimization of source–grid–load interactions. Full article
(This article belongs to the Section Building Energy, Physics, Environment, and Systems)
Show Figures

Figure 1

31 pages, 1641 KB  
Article
Transforming the Supply Chain Operations of Electric Vehicles’ Batteries Using an Optimization Approach
by Ghadeer Alsanie, Syeda Taj Unnisa and Nada Hamad Al Hamad
Sustainability 2026, 18(1), 367; https://doi.org/10.3390/su18010367 - 30 Dec 2025
Viewed by 292
Abstract
The increasing popularity of electric vehicles (EVs) as green alternatives to traditional internal combustion engine cars has highlighted the need for sustainable and environmentally friendly supply chain models. In particular, the handling of EV batteries, which are environmentally unfriendly and logistically critical due [...] Read more.
The increasing popularity of electric vehicles (EVs) as green alternatives to traditional internal combustion engine cars has highlighted the need for sustainable and environmentally friendly supply chain models. In particular, the handling of EV batteries, which are environmentally unfriendly and logistically critical due to their hazardous nature and short life cycle, requires a well-designed closed-loop supply chain (CLSC). This study proposes a new multi-objective optimization model of the CLSC, explicitly tailored to EV batteries under demand and return rate uncertainty. The proposed model incorporates three primary objectives that are typically in conflict with one another: minimizing the total cost, reducing carbon emissions throughout the entire supply chain network, and maximizing the recycling and reuse of batteries. The model employs a neutrosophic goal programming (NGP) methodology to address the uncertainties associated with demand and battery return quantities. The NGP model translates multiple objectives into non-monolithic goals with crisp aspiration levels (i.e., prescribed ideal levels for achieving the best of each goal) and thresholds that capture tolerances, thereby accounting for uncertainty. The efficiency of the proposed method is illustrated by a numerical example, solved using a IBM ILOG CPLEX Optimization Studio 22.1.2 solver. The findings demonstrate that the NGP can offer cost-effective, low-impact, and environmentally friendly solutions, thereby enhancing system robustness and flexibility to adapt to uncertainties. This study contributes to the emerging literature on sustainable operations research by developing a decision-making tool for EV-HV battery supply chain management. It also offers relevant suggestions for policymakers and industrialists who seek to co-optimize economic benefits, ecological sustainability, and logical feasibility in the emerging green society. Full article
Show Figures

Figure 1

17 pages, 3101 KB  
Article
Design and Primary Investigations of a Double Ring Loop Antenna for Ice, Frost and Wildfire Detection in Early Warning Systems
by Rula Alrawashdeh
Sensors 2026, 26(1), 155; https://doi.org/10.3390/s26010155 - 25 Dec 2025
Viewed by 383
Abstract
In this paper, a flexible rectangular loop antenna is designed and proposed for ice, frost and wildfire detection. The antenna is composed of two concentric rings made of a flexible conductor. The proposed antenna was responsive to different materials based on distinct shifts [...] Read more.
In this paper, a flexible rectangular loop antenna is designed and proposed for ice, frost and wildfire detection. The antenna is composed of two concentric rings made of a flexible conductor. The proposed antenna was responsive to different materials based on distinct shifts in the resonant frequency, which was employed to differentiate between these materials. The antenna provides a wide response and sensitivity range to detect ice or frost with relative permittivity close to 3 and water with relative permittivity close to 72 at the same time. This wide sensitivity level is attributed to the internal loop which works with the external ring to form a capacitor with a capacitance varying with the relative permittivity of the material under test. The internal loop also enhances coupling with the material under test and fine-tunes the antenna’s response. The antenna achieved a maximum radiation efficiency of 97.1% and gain of 2.83 dBi at 2.45 GHz across the tested scenarios involving frost and ice. It also obtains a maximum radiation efficiency and gain of up to 6.67% and −8.27 dBi, respectively, for water at 40 °C and 50 °C, respectively. Additionally, the antenna preserves the same direction of maximum radiation for all of the investigated materials, which minimizes constraints on the receiving antenna’s radiation pattern requirements. The proposed antenna features simplicity, robust performance and a wide sensitivity range over temperatures between 0 and 50 °C, which makes it a good candidate for environmental monitoring. Full article
(This article belongs to the Section Environmental Sensing)
Show Figures

Figure 1

27 pages, 22270 KB  
Article
Research on Modeling and Differential Steering Control System for Battery-Electric Autonomous Tractors
by Wentao Xia, Shuzhen Hu, Binchao Chen, Mengrong Liu and Ming Li
Actuators 2026, 15(1), 12; https://doi.org/10.3390/act15010012 - 25 Dec 2025
Viewed by 258
Abstract
To tackle the challenges faced by traditional wheeled tractors, whose steering systems have low flexibility and a large turning radius, and thus make turning hard in small fields and greenhouses, this paper proposes a differential steering control technology for battery-electric unmanned tractors. This [...] Read more.
To tackle the challenges faced by traditional wheeled tractors, whose steering systems have low flexibility and a large turning radius, and thus make turning hard in small fields and greenhouses, this paper proposes a differential steering control technology for battery-electric unmanned tractors. This innovative approach enables zero-radius turning while delivering environmental and economic advantages. Firstly, the system architecture and key components of the battery-electric unmanned tractor with differential steering are designed, including the mechanical structure, wheel-drive system, electrical system, and power battery. Based on the proposed system architecture, a multi-physics coupled model is established, covering the motor, reducer, battery, driver, vehicle body, and the relationship between tires and road surfaces. A multi-closed-loop control algorithm, regulating both the motor speed and yaw angular velocity of the tractor, is developed for differential steering control. The validation, conducted via a digital simulation platform, yields critical state curves for motor current, torque, speed, and vehicle rotation. This study establishes a novel theoretical framework for unmanned tractor control, with prototype development guided by the proposed methodology. Experimental validation of zero-radius steering confirms the efficacy of differential steering in battery-electric platforms. The research outcomes provide theoretical basis and technical references for advancing intelligent and electric agricultural equipment. Full article
(This article belongs to the Section Actuators for Surface Vehicles)
Show Figures

Figure 1

Back to TopTop