Next Article in Journal
LSTM-Based Prediction of Solar Irradiance and Wind Speed for Renewable Energy Systems
Next Article in Special Issue
Hydrogen Carriers for Renewable Microgrid System Applications
Previous Article in Journal
Energy Transition in Greece: A Regional and National Media Analysis
Previous Article in Special Issue
An Evolutionary Deep Reinforcement Learning-Based Framework for Efficient Anomaly Detection in Smart Power Distribution Grids
 
 
Font Type:
Arial Georgia Verdana
Font Size:
Aa Aa Aa
Line Spacing:
Column Width:
Background:
Article

Research on Flexible Operation Control Strategy of Motor Operating Mechanism of High Voltage Vacuum Circuit Breaker

1
School of Electrical Engineering, Liaoning University of Technology, Jinzhou 121000, China
2
School of Electrical Engineering, Shenyang University of Technology, Shenyang 110000, China
*
Authors to whom correspondence should be addressed.
Energies 2025, 18(17), 4593; https://doi.org/10.3390/en18174593
Submission received: 22 July 2025 / Revised: 17 August 2025 / Accepted: 27 August 2025 / Published: 29 August 2025

Abstract

In order to solve the problem that it is difficult to take into account the performance constraints between the core functions of insulation, current flow and arc extinguishing of high-voltage vacuum circuit breakers at the same time, this paper proposes a flexible control strategy for the motor operating mechanism of high-voltage vacuum circuit breakers. The relationship between the rotation angle of the motor and the linear displacement of the moving contact of the circuit breaker is analyzed, and the ideal dynamic curve is planned. The motor drive control device is designed, and the phase-shifted full-bridge circuit is used as the boost converter. The voltage and current double closed-loop sliding mode control strategy is used to simulate and verify the realization of multi-stage and stable boost. The experimental platform is built and the experiment is carried out. The results show that under the voltage conditions of 180 V and 150 V, the control range of closing speed and opening speed is increased by 31.7% and 25.9% respectively, and the speed tracking error is reduced by 51.2%. It is verified that the flexible control strategy can meet the ideal action curve of the operating mechanism, realize the precise control of the opening and closing process and expand the control range. The research provides a theoretical basis for the flexible control strategy of the high-voltage vacuum circuit breaker operating mechanism, and provides new ideas for the intelligent operation technology of power transmission and transformation projects.

1. Introduction

With the large-scale access of renewable energy to the power grid and the advancement of new power system construction, the power system presents the complex characteristics of multi-source coupling, and the requirements for power supply reliability and safety are increasing. As an important electrical equipment in the development of new energy power grids, high-voltage circuit breakers play a role in breaking current in the power system [1,2,3,4]. At present, the traditional operating mechanisms of high-voltage circuit breakers include electromagnetic, spring, hydraulic and permanent magnet types, and their classification is mainly based on the energy source of the operating mechanism [5,6]. However, there are performance constraints between the core functions of insulation, current flow and arc extinguishing of high-voltage vacuum circuit breakers, which will make it difficult for traditional operating mechanisms to achieve optimal coordinated control under dynamic conditions. The motor operating mechanism composed of boost converter, motor drive control device, transmission structure, motor, and high-voltage circuit breaker has the advantages of a small number of mechanical components, simple transmission mechanism, and strong controllability. By accurately adjusting the speed and stroke of the moving contact, the constraints between the core functions of the circuit breaker can be optimized. At present, the motor operating mechanism has been widely used in the high-voltage switch industry. In 126 kV and above high-voltage circuit breakers, the proportion of motor operating mechanism has reached more than 50% [7,8].
At present, the research on the operating mechanism of high voltage circuit breaker shows a trend from single function optimization to multi-factor collaborative improvement. In the basic topology optimization stage, the forward-flyback converter realizes the accurate adjustment of the output voltage and the rapid identification of the short-circuit fault through the primary side detection technology, which improves the insulation protection and arc extinguishing performance of the circuit breaker, but the boost capacity decreases significantly under the nonlinear load [9]. In addition, the hybrid half-bridge converter utilizes the negative voltage turn-off characteristics of the thyristor to significantly improve the current carrying capacity and dynamic response capability of the circuit breaker, but there is a problem of efficiency fluctuation [10]. In terms of system-level integration, the full-bridge converter expands the functional dimension of the fault current regulation and configuration branch of the high-voltage circuit breaker through the bidirectional breaking design, but the circuit structure and control mechanism are more complicated [11]. The multi-level converter compresses the short-circuit breaking time to milliseconds through the collaborative design of inductors and power transistors, which improves the motion controllability of the operating mechanism under complex working conditions, but the cost of the converter is high [12]. By integrating the IGBT resistance and capacitance branch through the Boost converter, the surge voltage suppression and overcurrent protection capabilities are improved, and the action range of the circuit breaker moving contact is extended [13,14]. The converter topology performance comparison is shown in Table 1.
The research on the control strategy of motor operating mechanism shows a trend of progressive development in the direction of high precision. At the level of control method, the MFPC method realizes embedded real-time control by constructing SGUM and data set driver. Under steady-state conditions, the current tracking error can be achieved, but the immunity is poor [15]. Furthermore, PC-ESO enhances the state observation accuracy by adjusting the control period of the observer to improve the robustness of the system, but the parameters are sensitive [16]. NFTSMC introduces nonlinear control into isolated DC-DC converters, which significantly improves the dynamic response capability of isolated DC-DC converters, but there is serious chattering [17]. The phase difference control method realizes power transmission control by changing the trigger pulse of the switch tube in the bridge arm, but the control accuracy is insufficient [18]. The hybrid control strategy applies the soft start circuit and the buffer circuit to the full bridge circuit, and combines with the voltage/current control strategy to realize the smooth start and stable operation of the circuit, but the dynamic response lags behind [19]. In particular, the traditional control strategy performs poorly in high-speed dynamic scenarios. The PID/MPC combination strategy establishes the kinematic model of the double-break vacuum circuit breaker, and accurately controls the opening trajectory of the circuit breaker, but increases the speed tracking error [20,21]. The angle closed-loop control method optimizes the motor torque during the opening and closing process of the circuit breaker, but the overshoot is too large when the voltage fluctuates [22]. Sensorless control combines IOPID/FOPID controller and back-EMF detection technology to achieve multi-objective optimization of motor speed control system, but the current ripple exceeds the standard range [23]. The characteristics of the control method are shown in Table 2.
The research shows that the existing boost converter topology cannot take into account the requirements of circuit breaker insulation, current flow and arc extinguishing ability, and the improvement efficiency of circuit breaker moving contact action range and motion controllability is low. Moreover, in the case of non-linear load and port voltage mismatch, the existing control strategy will lead to a decrease in the boost capacity and power fluctuation of the boost converter, which will affect the operation performance and motion control accuracy of the circuit breaker.
Based on the above research background and technical requirements, this paper focuses on the optimization of the control system of the motor operating mechanism of the 126 kV high-voltage vacuum circuit breaker. On the basis of inheriting the advantages of traditional PSFB topology and SMC strategy, the following two aspects of creativity research are carried out: (1) The phase-shifted full-bridge topology with integrated resonant network structure is applied to the motor drive control device of 126 kV high-voltage vacuum circuit breaker to optimize the components of the filter network and improve the current capacity of the converter. By using the phase-shifted full-bridge topology to monitor the load voltage in real time and dynamically adjust the duty cycle of the boost converter, the problem of ZVS loss and serious chattering of the traditional PSFB under nonlinear load conditions is solved, and the dynamic response ability and control accuracy of the drive device are improved. (2) At the control strategy level, a double closed-loop sliding mode control architecture based on capacitor voltage outer loop and inductor current inner loop is proposed, which couples the inductor current error, capacitor voltage error and moving contact displacement, breaking through the limitation of traditional SMC only focusing on electrical quantities. Under different voltage conditions, it is verified that the scheme can not only accurately track the preset dynamic characteristic curve of the circuit breaker, but also significantly improve the control accuracy and controllable range of the opening and closing speed. In order to quantify the advanced nature of the research method proposed in this paper, under the voltage condition of 200 V, compared with the main control strategy, the comparison results are shown in Table 3.

2. Motor Operating Mechanism

2.1. Mechanical Structure Design

The structure and object of the motor operating mechanism are shown in Figure 1. When the motor drive control device receives the command, the drive motor rotates according to the preset stroke curve, and the moving contact moves linearly along the vertical direction through the transmission mechanism to realize the opening and closing operation [24,25].

2.2. Mechanical System Modeling

2.2.1. Derivation of Kinematics Relationship

The opening and closing characteristics of 126 kV vacuum circuit breaker are as shown in Table 4 [26]. According to the requirements of opening and closing characteristics, the motion process of each component of the transmission mechanism is analyzed. The closing motion process of the transmission mechanism is shown in Figure 2.
Figure 2 shows the motion process of the transmission mechanism. O represents the transmission spindle, OA and AB are the initial positions of the closing front arm and the transmission connecting rod respectively, and the moving contact is simplified to point B and represents its initial position. When the closing starts, the motor shaft drives the turning arm to rotate through the flange spindle. When the α angle is rotated, the turning arm reaches the OA1 position, and drives the transmission connecting rod and the insulation rod to the A1B1 position. The insulation connecting rod and the circuit breaker moving contact move upward in a straight line, and BB1 is the displacement of the moving contact during the movement. When the closing is completed, the transmission connecting rod and the turning arm are in the same straight line. The movement process of opening is opposite to that of closing [27]. Table 5 shows the length and mass of the moving parts.
The length of the crank arm is l1, the length of the transmission connecting rod and the insulation rod is l2, the displacement of the moving contact is x, the rotation angle of the spindle is θ, and the angle between the transmission connecting rod and the crank arm is β [28]. It is assumed that all the moving parts are rigid bodies and the elastic deformation is ignored. There is no clearance between the hinge points of the transmission parts and no slip. The trajectory of the moving contact is strictly perpendicular to the horizontal plane [29]. The moving parts satisfy the following relationship:
x = l 1 cos θ + l 2 cos β
l 1 sin θ = l 2 sin β
Combining (1) and (2), can be obtained:
x = l 1 cos θ + l 2 2 l 1 sin θ 2
From the Equation (4) and Table 5, the matching relationship between the rotation angle of the motor and the displacement of the moving contact is obtained, that is, the dynamic characteristic curve of the ideal opening and closing, as shown in Figure 3.
It can be seen from Figure 3 that the motor angle range is 0~64°, the moving contact stroke is 0–84 mm, the opening stage is 0~64 mm, the corresponding motor angle range is 0~36°, the over-travel stage is 64–84 mm, and the corresponding motor angle range is 36~64°.

2.2.2. Load Torque

Considering the opening and closing load characteristics of the circuit breaker, it is assumed that the moment of inertia J is concentrated on the main shaft, and the friction resistance Ff is a constant Coulomb friction [30]. The load torque TL satisfies:
T L = J d 2 ω d t 2 + F f d x d θ
Among them, J is 0.28 kg/m2, ω is the angular velocity of the motor, and the measured value of Ff is 120 N.

2.3. Electrical System Modeling

By analyzing the opening and closing curve, the load of the motor changes at the moment when the motor works at the closing point or the closing point. This mutation will directly affect the dynamic response characteristics of the motor drive system. Therefore, it is necessary to analyze the relationship between the motor rotation angle and the moving contact speed to generate the ideal dynamic curve of the operating mechanism. Assuming that the three-phase windings of the motor are symmetrical, the magnetic saturation and eddy current effects are ignored [31]. The mechanical equation of permanent magnet synchronous motor is as follows [32,33]:
U = R i + L d i d t + e e = k e n k e k t = π 30 T e m = k t i T e m = T L + J d ω d t ω = 2 π 60 n
Among them, U is the input voltage of the motor, R, i, L are the resistance, current and inductance of the stator winding of the motor, e is the back electromotive force, ke is the back electromotive force coefficient, n is the motor speed, kt is the torque coefficient, Tem is the electromagnetic torque, TL is the load torque, J is the moment of inertia, and ω is the motor angular velocity. Combining Equation (5), can get:
U = R T L + J d ω d t k t + L J d 2 ω d 2 t k t + k t ω

2.4. Modeling of Control Characteristics of Moving Contact

Substitute v = ωr into Equation (6) and calculate, where v is the vertical upward velocity of the moving contact, r is the effective radius of the circular motion. Based on the energy optimal trajectory planning method [34], the ideal velocity characteristics of moving contacts are planned, as shown in the following equation.
v = r U k t R T L k t 2 1 P 2 P 2 P 1 e P 1 t + P 1 P 2 P 1 e P 2 t P 1 = 1 2 τ + 1 2 τ 2 k 1 J L P 2 = 1 2 τ 1 2 τ 2 k 1 J L τ = U k t
It can be seen from the above formula that the relationship between the motor speed and the input voltage is linear, and the opening and closing speed of the circuit breaker can be adjusted by changing the voltage. The relationship between the moving contact speed v and the motor speed n can be obtained from (7):
v = 2 π n 60 r
The linear relationship between the angular velocity ω of the motor and the input voltage U is obtained by simplifying the mathematical relationship of (6).
ω = k U
where k is the proportional constant related to the motor parameters. The mathematical relationship between motor angle θ and angular velocity ω is established.
θ t = 0 t ω τ d τ = ω t
Combining (8) and (10), the relationship between the moving contact speed v and the motor rotation angle θ is
v t = ω r = d θ t d t r
According to the Equation (11), when the input voltage of the motor is 180 V, the ideal closing moving contact speed curve under this condition is established, as shown in Figure 4. The maximum speed of the moving contact is 2.2 m/s, and the motion speed curve is smooth without obvious mutation.

3. Motor Drive Control Device

The control requirements of the drive device are determined by the optimization objectives of the opening and closing speed and motion stability of the dynamic curve of the circuit breaker, and the response indexes such as the power output and dynamic adjustment accuracy of the motor drive device affect the realizability of the dynamic curve. Therefore, based on the kinematic relationship of the moving contact and the load mutation characteristics established above, this section designs a matching motor drive control device and ensures the accurate tracking of the dynamic curve through the phase-shifted full-bridge converter.

3.1. Hardware Design

The motor drive control device is shown in Figure 5. The working process of the control device is that the DC power supply charges the boost converter with the phase-shifted full-bridge circuit as the main circuit. For the high-voltage circuit breaker system, the phase-shifted full-bridge circuit needs to take into account both economy and dynamic response capability. IGBT has better cost performance at 20 kHz switching frequency, and its conduction loss is lower than that of MOSFET of the same specification in the medium load range. After the core processor receives the opening and closing instructions, it supplies power to the inverter circuit. The signal acquisition circuit collects the motor winding current and the rotor angular displacement signal in real time. After the core controller receives the feedback signal and analyzes the position information of the motor rotor, the generated pulse width modulation signal is amplified by the isolation drive circuit to determine the conduction phase sequence of the power tube in the inverter circuit and the phase-shifted full-bridge circuit, so as to accurately adjust the motor speed and make the moving contact movement fit the ideal action curve [35,36].

3.2. Phase-Shifted Full-Bridge Converter Topology Analysis

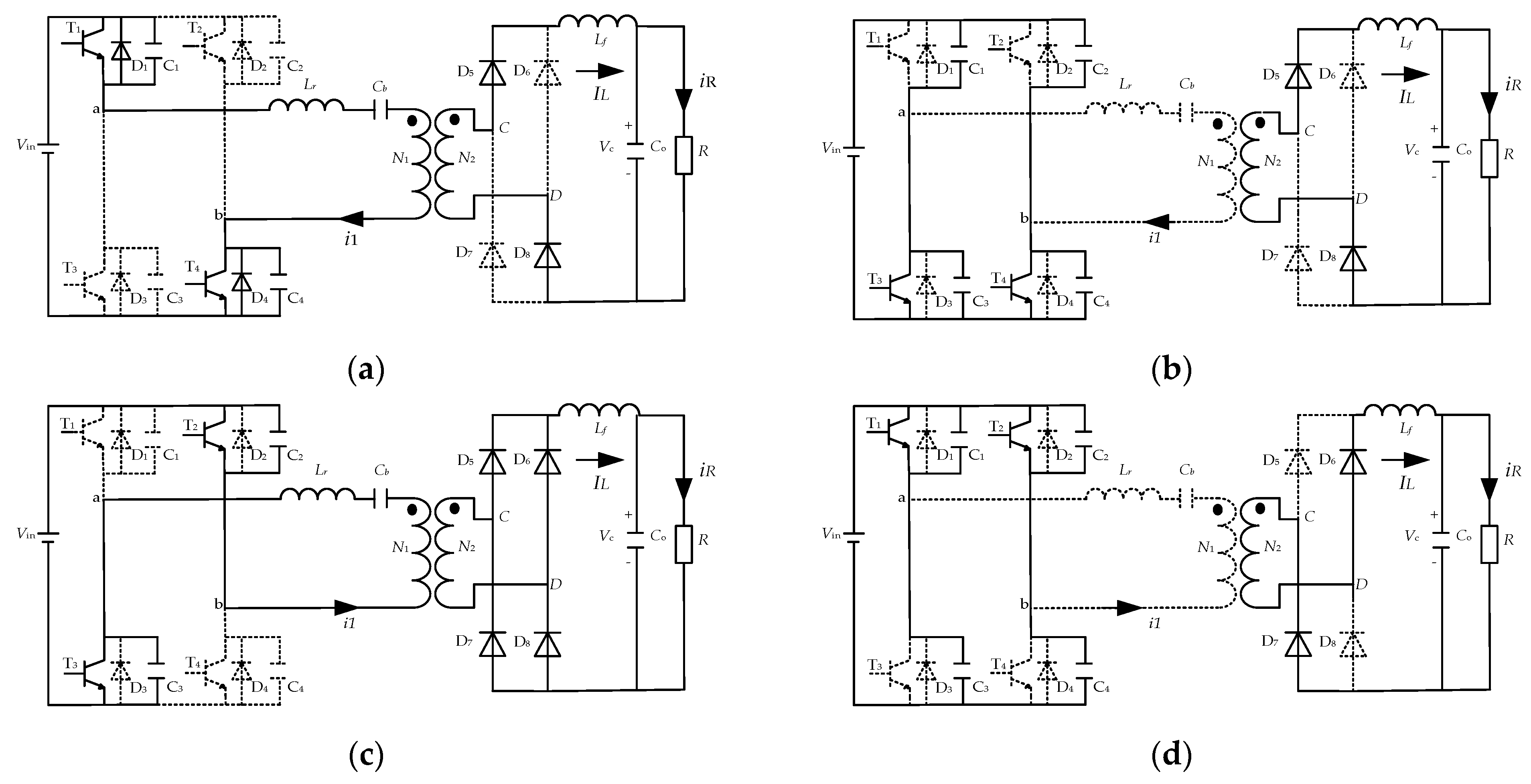
3.2.1. Topological Structure

The topology of the phase-shifted full-bridge circuit is shown in Figure 6 [37]. Vin is the input voltage, and the power tube T1 and T3, T2 and T4 respectively constitute the leading and lagging bridge arms of the full bridge on the primary side of the transformer. In order to realize the ZVS of the power tube, capacitance Cb and inductance Lr are added. Diodes D5–D8 form a rectifier bridge on the secondary side, and inductance Lf and capacitance Co form an output filter network to supply power to load R. The turn ratio n of the primary and secondary sides of the transformer is N1:N2.

3.2.2. Working Condition

As a typical resonant power converter, the phase-shifted full-bridge circuit is essentially a multi-mode switching system with complex dynamic characteristics. In each switching cycle, the circuit will go through a variety of working states according to the on-off state of the power tube, including power transmission stage, resonance transition stage and freewheeling stage [38]. The specific working status is shown in Table 6.
Through the analysis of the working state of the phase-shifted full-bridge circuit, the power transmission mainly occurs in the period when the primary side voltage vab of the transformer is not zero. The specific process is as follows: (1) When one tube of the leading bridge arm and the other tube of the lagging bridge arm are simultaneously turned on (such as T1, T4 or T2, T3), vab = Vin. At this time, if the current direction of the primary side is in the same direction as the vab, the input power transmits energy to the transformer, and the load and filter inductor Lf are supplied after the secondary side is rectified. (2) When two tubes of the same side of the two bridge arms (such as T1, T2 or T3, T4), that is, vab = 0. At this time, the primary side voltage of the transformer is zero, the secondary side rectifier bridge stops obtaining energy from the primary side, and the current in the filter inductor Lf is freewheeling through the rectifier diode to maintain the load current.
The control core of the phase-shifted full-bridge circuit is to introduce a phase shift angle α based on the complementary conduction of the same bridge arm switch tube (T1 and T2 are complementary, T3 and T4 are complementary). The phase shift angle α is defined as the phase delay of the driving signal of the lagging bridge arm (T2/T4) relative to the driving signal of the leading bridge arm (T1/T3), as shown in Figure 7. The influence of the phase shift angle on the output voltage of the converter is as follows: (1) When the phase shift angle α = 0°: the driving signals of the leading bridge arm and the lagging bridge arm are completely synchronized. At this time, the vab is a standard square wave, its duty cycle is close to 50%, and the output voltage is the highest. (2) The phase shift angle α increases: the switching action of the lagging bridge arm is delayed relative to the leading bridge arm, which leads to the shortening of the duration of the high or low level in the vab waveform, that is, the effective pulse width is narrowed. This is equivalent to reducing the effective voltage applied to the primary side of the transformer, thereby reducing the DC output voltage Vo after rectification and filtering. (3) The phase shift angle α decreases: the effective pulse width increases, the output voltage increases [39]. The working state of the phase-shifted full-bridge circuit is shown in Figure 7.
The phase-shifted full-bridge converter changes the effective pulse width of the primary side voltage vab by adjusting the phase shift angle α between the two bridge arms inside the primary side full-bridge, thereby achieving continuous adjustment of the output voltage. The magnitude of the output voltage Vo is inversely proportional to the phase shift angle α. Figure 8 shows the waveforms of the driving signal of T1–T4, the primary side voltage vab of the transformer and the input voltage of the secondary rectifier bridge. Ts is the switching period. The switching tube of each bridge arm is complementary to conduct about 180° after removing the dead time td, that is, half a switching cycle.
The inductor Lr is the key component to achieve ZVS, but it will cause duty cycle loss, which will lead to the effective duty cycle Deff of the converter less than the duty cycle D of the primary circuit. The relationship can be expressed as:
D e f f = D Δ D = D L r f s i L V i n
Among them, ΔD is the duty cycle loss and fs is the switching frequency.

3.2.3. Key Parameter Design

There is a nonlinear coupling between the control quantity D and the power transmission of the primary and secondary sides of the converter, and it is affected by the load change, which increases the complexity of the controller design. In order to achieve ZVS of the power transistor, the resonant inductor Lr satisfies [40,41]:
L r t d 2 V i n 2 8 E o s s
E o s s = 0 V i n V C o V d V
Among them, Eoss is the switch tube output capacitor energy storage. Based on the requirement of the primary output current ripple, Lf satisfies:
L f = V o 1 D e f f f s Δ I L
Among them, ΔIL is the output capacitor energy storage of the switch tube. According to the output voltage ripple ΔVo less than 0.01 Vo, the output capacitance Co:
C o Δ I L 8 f s Δ V o
The time constraint of td satisfies:
t d π 2 L r C o

3.3. Double Closed-Loop Sliding Mode Control Strategy

3.3.1. Equivalent Model

Based on the complex characteristics of the phase-shifted full-bridge circuit, the converter is simplified as a four-dimensional control input, that is, in a switching cycle, the input signal combination of four power transistors corresponds to four subsystems. Therefore, the switching state in a working cycle Ts is represented by the switching Boolean matrix Q as:
Q = 1 0 0 1 0 0 0 1 1 1 0 0 1 0 1 0
In the formula, the row vector represents the on-off state of the power switch T1–T4 from top to bottom (where 1 and 0 represent on-off and off-off, respectively) and the state of the primary output voltage vab (where 1, 0 and −1 represent Vin, 0 and −Vin, respectively), and the column vector represents the switching signal combination from left to right.
In order to represent the power transmission of the primary side and secondary side of the converter through the matrix, under the premise of ensuring the logical order of the actual signal, the equivalent control input u matrix is:
u = 1 , if   the   adjacent   switches   are   off 0 , if   the   adjacent   switches   are   on
The single closed-loop linear sliding mode control method of the phase-shifted full-bridge converter usually selects the capacitor voltage as the control variable to design the controller, and the output voltage of the converter is set by the constant voltage control strategy. The design process is as follows:
The voltage error is defined as ev = VrefVC, and the linear sliding surface is constructed:
s = e v = V r e f V C
where Vref is the reference value of the capacitor voltage. It can be seen from Equation (13) that when the phase-shifted full-bridge converter system reaches and maintains on the sliding mode surface, the capacitor voltage VC will gradually converge to the reference value Vref.
The linear sliding mode control law u is designed by Equation (20) and should satisfy the existence condition of sliding mode:
α = 90 + K s a t s Δ
Here, K is the sliding mode gain, Δ is the boundary layer thickness, and the saturation function sat(x) is expressed as:
s a t x = 1 , x 1 1 , x 1 x , x < 1
Considering that the switching frequency of the power tube in the phase-shifted full-bridge circuit is limited, the hysteresis modulation correction is adopted:
α = 160 , s > + Δ 20 , s < Δ
However, the design of the linear sliding mode controller with only the capacitor voltage VC as the control variable will lead to the inability to instantaneously control the convergence process of the inductor current IL, and there will be problems of slow system convergence and large steady-state error.
Therefore, based on the core idea of double closed-loop sliding mode control of Buck converter, this paper constructs an improved control architecture sustainable for phase-shifted full-bridge circuit [42,43]. The equivalent model of phase-shifted full-bridge circuit with double closed-loop sliding mode control strategy is shown in Figure 9.
The overall control system adopts the structure of voltage outer loop and current inner loop, and its main structure includes: (1) Voltage outer loop: terminal sliding mode controller is adopted, with output voltage tracking error evC as input, output inductance current given signal Iref, to accurately adjust the output voltage VC. (2) Current inner loop: The linear sliding mode controller is used to realize the fast tracking of the inductor current with the current tracking error eiL as the input and the control input signal u of the output power tube. (3) Duty cycle compensation mechanism: Based on the input voltage Vin and the inductance current IL, the ΔD is calculated in real time, and the duty cycle is dynamically compensated. (4) Load observer: The load Robs is estimated online to provide an adaptive feed-forward term.
According to Kirchhoff’s law, the filter capacitor voltage VC and filter inductor current IL are taken as state variables, and the unified differential equation of the converter in the switching state is established as follows:
C o d V C d t = I L V C R L f d I L d t = n V i n α π D e f f V C
Simplify (24) into the state average equation:
d V C d t d I L d t = 1 R C o 1 C o 1 L f 0 I L V C + 0 n V i n α π L f D e f f

3.3.2. Design of Voltage Outer Loop Terminal Sliding Mode Controller

As the dominant loop of the control system, the core goal of the voltage outer loop is to achieve finite-time convergence and high steady-state accuracy of the output voltage [44]. To this end, this study constructs a nonlinear sliding mode surface through terminal sliding mode control, so that the system state converges to the equilibrium point in finite time, and its mathematical model is simplified to Figure 10.
The voltage tracking error evC = VrefVC is defined by Figure 9, and the terminal sliding surface is designed as follows:
s v C = e v C + β s i g n q / p e v c
Here, β > 0 is the design gain coefficient, p and q are positive odd numbers, and 1 < p/q < 2. When the system reaches and maintains on the sliding mode surface svC, that is, svC = 0, by introducing the βsignq/pevC term, the terminal attractor effect is created, and the derivation of (26) is carried out. The dynamic performance of voltage tracking error is obtained as follows:
d s v C d t = β q / p e v C q / p s i g n e v C
Solving (27), the convergence time Tc is:
T c = p β q / p p q e v C 0 1 q / p
Equation (28) shows that the system state can converge to 0 within a finite convergence time Tc starting from any initial error evC(0)1−q/p, which satisfies the fast voltage recovery requirement of the phase-shifted full-bridge circuit when the load changes abruptly. Based on the inductor current IL and the capacitor voltage VC, the load observer is designed as:
d R o b s d t = V C I L R I R 2
where, IR = VC/Robs, Robs is the load resistance value estimated by the load observer. The voltage controller generates the inductor current instruction Iref, which is expressed as:
I r e f = C n V i n d V r e f d t + V C R o b s C + β q p e v C q / p 1 d e v C d t
The compensation terms in Equation (27) include:
(1) (dVref/dt): feed-forward term, providing advanced compensation for reference voltage change.
(2) VC/RobsC: load adaptive term, used to eliminate the load current disturbance.
(3) β(q/p)|evC|q/p−1(devC/dt): terminal attraction term, which ensures finite-time convergence.

3.3.3. Design of Current Inner Loop Linear Sliding Mode Controller

In order to accurately track the Iref generated by the voltage outer loop and suppress high-frequency switching disturbances, a linear sliding mode with fast response speed is used to track the current [45]. The mathematical model is simplified as Figure 11.
The current tracking error is defined as:
e i L = I r e f I L
The linear sliding mode surface siL = eiL is selected. Combined with (28), the inductance current error tracking system is designed as follows:
d s i L d t = d I r e f d t d I L d t = d I r e f d t + V C L f n V i n α π L f D e f f
In order to ensure that the system reaches the sliding mode surface in a finite time, that is, siL = 0, it is necessary to satisfy siL(dsiL/dt) < 0. Based on the phase-shifted full-bridge unified model, the switching law of the control signal u is derived:
u = 1 2 1 + s i g n s i L + Δ d s i L d t
where, Δ > 0 is the boundary layer width. According to the (31), (32):
d s i L d t = d I L d t
Substitute (24) into (34) to get:
d s i L d t = d d t 1 L f n V i n α π D e f f V C
It is divided into the following two cases for discussion: (1) When siL > 0, that is, the actual current is less than the command value, satisfying dsiL/dt < 0. At this time, the control signal u = 1, the system needs to increase the effective duty cycle to increase the inductor current IL. (2) When siL < 0, the actual current is greater than the command value, which satisfies dsiL/dt > 0. At this time, the control signal u = 0, the system needs to reduce the effective duty cycle to reduce the inductance current IL. And the control signal u needs to be compensated by the duty cycle, from (33) to (34):
D a = u D e f f = u D 4 L r f s I L V i n
Among them, Da is the actual duty cycle of the phase-shifted full-bridge circuit. Simplify (36) to obtain the expression of the inductor current IL:
I L = D V i n u V i n 4 L r f s D a

3.3.4. System Stability Analysis

In order to ensure that the system converges in a finite time and suppress the chattering caused by the state measurement error, the stability of the system under global nonlinear conditions is proved by constructing a Lyapunov function, and then the local linearization is verified by the transfer function.
Step 1: Construct a Lyapunov function to prove the global stability of the system, and define the function as follows:
V = 1 2 s i 2
Derivation of (38) and introduction of current inner loop linear sliding mode surface are given.
d V d t = s i d s i d t = s i d I r e f d t d i I L d t
Substituting into the IL equation in (24), can obtain:
d V d t = s i d I r e f d t 1 L n V i n D e f f V C
By changing the switching law and duty cycle loss of the control signal u, dV/dt ≤ −ζsi‖(ζ > 0).
n V i n D e f f = L d I r e f d t + K s a t s i Δ + V C
Step 2: Construct the boundary layer saturation function to suppress the smooth transition range. The expression is as follows:
s a t s i Δ = s i g n s i , i f s i > Δ s i Δ , i f s i < Δ
Step 3: Design dynamic adjustment sliding mode control gain K.
K = K 0 + λ s i
Among them, K0 is the reference gain and λ is the adaptive coefficient.
Step 4: The boundary layer saturation function and sliding mode control gain K are introduced to prove the suitability of the system under global nonlinear conditions. Substituting (42) and (43) into (37), can obtain:
d V d t = K s i s a t s i Δ ζ s i
It can be seen from equation (44) that when Kζ, dV/dt ≤ 0, the system is globally stable. When a sufficiently large sliding mode control gain K is selected, dV/dt < 0 can be satisfied to ensure global suitability. When the inner loop inductor current tracking error is in the sliding mode surface siL = 0, that is, eiL gradually converges to 0, the outer loop capacitor voltage tracking error system also enters the sliding mode state, that is, evC = 0.
Step 5: The transfer function is constructed by using the tracking error evC, eiL of the capacitor voltage and the inductor current, and the linearization is performed in the proved convergence domain to establish the local dynamic performance quantization. The system state equation is:
x = e v C e i L = V r e f V C I r e f I L
Linearize the equilibrium point of the system:
δ x . = A δ x + B δ x
A = 1 R C O 1 C O 1 L f 0 , B = 0 n V i n α π L f
The controller is linearized, and the gains of the voltage inner loop and the current inner loop are designed:
δ D e f f = K v , e q δ e v + K i , e q δ e i
of which:
K v , e q = β q p K v K i , e q = K i Δ
The open-loop transfer function of the voltage outer loop and the current inner loop is designed by (49):
G v ( s ) = K v , e q C O s 1 1 + s ω i
G i s = K i , e q n V i n L f s
The bandwidth angular frequency expression of the current loop is:
δ D e f f = K v , e q δ e v + K i , e q δ e i
Step 6: Conduct frequency domain analysis and establish the correlation between Lyapunov and Bode diagram [46,47]. The proved convergence domain is transformed into a frequency domain form, and a stable mapping is established.
R e s k ζ 2 λ max P
P satisfies the Lyapunov equation.
A T P + P A = Q Q > 0
In summary, the design objectives of Lyapunov constraints and frequency domain constraints and the key parameters of voltage loop and current loop are shown in Table 7 and Table 8.
Step 7: Optimize the design parameters. Calculate boundary parameters:
β min = p p q T e v 0 1 p / q C p / q
K i max = 2 π f s w Δ L f 10 V i n
Then iterative optimization is performed on (55) and (56).
β ( k + 1 ) = max β min , β k × P M r e q P M s i m
K i ( k + 1 ) = min K i max , 1.2 × V i n + V C L f
Therefore, the criterion of global stability of the system is as follows [48,49]:
ζ > Δ · V i n . max λ L f
Among them, Vin.max is the maximum input voltage. Iterative solution of (59):
ζ = K i k τ
K i k + 1 = K 0 k + γ ζ min + ζ k
β k + 1 = β k e β s i L
The convergence condition is:
β k + 1 = β k e β s i L
Through the previous design of double closed-loop sliding mode control strategy based on capacitor voltage and inductor current, through the analysis of Lyapunov function and transfer function in time domain and frequency domain, after global stability and local linearization verification, the controller parameters are calculated, and the simulation model is built and verified.

4. Experiment

Based on the previous design of motor drive control device and double closed-loop sliding mode control strategy, this section will verify the engineering applicability of the theoretical model and simulation results through the simulation and experiment of converter boost experiment and circuit breaker opening and closing.

4.1. Test Platform Construction

In this paper, a test platform for motor operating mechanism of high-voltage vacuum circuit breaker based on phase-shifted full-bridge converter is constructed. The step-up test and switching test of phase-shifted full-bridge converter of motor operating mechanism are carried out, and the working mode of power tube in DC converter and the switching characteristics of circuit breaker are monitored in real time. The test platform of the motor operating mechanism of the high-voltage vacuum circuit breaker is shown in Figure 12.
The relevant parameters are shown in Table 9. The design parameters in the double closed-loop sliding mode control are ki = 0.8, kv = 0.0025, β = 4.5 × 10−4, p = 5, q = 3, Δ = 0.8.
In Table 9, the switching frequency is selected to be 20 kHz, because the maximum switching frequency of the IGBT module used in the experiment is 50 kHz. 20 kHz can provide 100% safety margin, and higher than 100 kHz will lead to device limit and failure, while avoiding the risk of overheating. And the actual mechanical ringing process is less than 100 ms, do not need to use a higher frequency power switch [50].

4.2. Control System Baud Chart Analysis

In order to verify the performance of the phase-shifted full-bridge converter, the test site diagram is shown in Figure 13. The motor operating mechanism drive device proposed in this paper can increase the output voltage to 330 V when the input voltage is 100 V.
The Bode diagram of the double closed-loop sliding mode control system is shown in Figure 14. In Figure 14a, the amplitude-frequency characteristic of the current loop is −40 dB/dec slope straight line, and the crossing frequency is 1.99 kHz, which is lower than the fsw/10 limit line, showing typical integral link characteristics. The phase margin of the phase-frequency characteristics of the current loop in Figure 14c is 72.5°. The phase of the high frequency band is reduced due to the delay, and the current loop is stable. The amplitude-frequency characteristics of the voltage loop in Figure 14b are −40 dB/dec and −40 dB/dec slope in the low and high frequency bands, respectively, and the crossing frequency is 170 Hz, which is much lower than the fsw/100 limit line. The phase margin of the phase-frequency characteristics of the voltage loop in Figure 14d is 76.8°, which has a high stability margin. The results of Bode diagram analysis show that the control strategy can meet the dynamic performance requirements of the converter.

4.3. Simulation Research

4.3.1. Analysis of Primary and Secondary Side Voltage Waveform of Transformer

According to the IEC 62477-1:2023 standard, it is necessary to evaluate and verify the boost capability of the phase-shifted full-bridge converter [51]. Figure 15 shows the voltage simulation waveforms of the primary and secondary sides of the transformer. The details are as follows: The primary side voltage presents a standard 200 V PWM waveform, the duty cycle is stable at 50%, and the secondary side voltage peak reaches 600 V.Verification, phase shift control to achieve energy transmission, the converter can achieve 3 times boost, proving the actual effect of the turn ratio n = 1/3. The slope of the voltage rising edge is 40 V/us, and there is no overshoot/oscillation phenomenon, which proves the effectiveness of the parallel absorption capacitor design.

4.3.2. Driving Waveform Analysis

The IGBT module of FF200R12KE3 is used in the experimental platform. The maximum blocking voltage is 1200 V and the continuous working current is 200 A. The short-circuit withstand time of 6 μs can cover the switching transient current peak of 3 μs, which avoids the failure risk of MOSFET devices under the same working conditions. The waveform of the power tube drive signal is shown in Figure 16.
From Figure 16, it can be seen that the driving pulse phase of the leading bridge arm is higher than that of the lagging bridge arm, which indicates that the time-off conduction of the switch tube is realized by phase shift control. When the converter is working, the output voltage range can be controlled by adjusting the phase between the two bridge arms.

4.3.3. Soft Switching Waveform Analysis

By collecting the driving pulse and terminal voltage of the power tube, the design effect of the zero voltage turn-on of the power tube is verified. The terminal voltage of the power tube is affected by its switching frequency, which satisfies:
V D S . max = V i n + L p 2 π f s I P
Lp is the loop parasitic inductance, and Ip is the turn-off current. The voltage change rate of the switch tube satisfies:
d V D S d t = I p C o s s f s K T
KT is the topological coefficient, and the phase-shifted full-bridge circuit takes 0.7. The terminal voltage waveform and the power tube drive pulse are shown in Figure 17.
It can be seen from Figure 17 that the maximum voltage of the power tube between the two bridge arms is 200 V before conduction, and the voltage rises slowly from zero after switching off. According to the calculation formula of ZVS efficiency ηZVS:
η Z V S = 1 I 1 × R V T V i n × I 1 V C × I R × 100 %
The ηZVS under double closed-loop sliding mode control is 97.3%, which indicates that the resonant circuit design of Equation (64) ensures that the energy is transferred to the parallel capacitor Coss when the switch tube is turned off. Based on the dv/dt control of Equation (65), the voltage rise rate of the power tube is limited to 1000 V/μs, and the td = 3.3 μs in Table 9 matches the resonant period to ensure the zero voltage window. Ensure that the voltage at both ends of the switch tube is resonant to zero and then turned on, and use the capacitor in parallel to absorb the charge generated by the voltage spike when the switch is turned off, and delay the voltage rise through the resonant circuit.
The simulation and actual output voltage of the converter are shown in Figure 18. The simulation results of Figure 18a show that the double closed-loop sliding mode control can achieve no overshoot control. The applied voltage at both ends of the load is 400 V, the convergence time is about 6.7 ms, and the steady-state error is 0.56 V. The convergence speed and steady-state accuracy meet the output voltage requirements of the converter. Although the linear sliding mode control can also output the set voltage value, the convergence speed is slow, the convergence time is 12.4 ms, and the steady-state error is 2.3 V. Based on the above simulation results, the double closed-loop sliding mode control strategy shows better control performance in terms of convergence speed, steady-state accuracy and dynamic response. Figure 18b is the actual output voltage waveform of the converter. The convergence time of the double closed-loop sliding mode control method is 5.9 ms, and the convergence time of the linear sliding mode control method is 11.2 ms.
Figure 19 is the detailed waveform of the disturbance in the stable stage of the converter output voltage. In order to more clearly compare the optimization effect of the two control methods on the boost stability and eliminate the power supply impulse noise in the start-up phase (0–50 ms), the disturbance detail waveform in the voltage stationary phase is displayed from 50 ms, and the interception processing only affects the visualization and does not affect the data validity.
The output voltage fluctuation peak and fluctuation rate of the linear sliding mode control method are ±1.5 V, reflecting the existence of 0.33% voltage ripple, while the output voltage fluctuation peak of the double closed-loop sliding mode control method is ±0.3 V, and the voltage ripple is only 0.07%. The experimental results show that the phase-shifted full-bridge converter using the double closed-loop sliding mode control method can better meet the requirements of the power electronic system for the output voltage accuracy of 1%.
Due to the characteristics of the LC filter, the output voltage ripple peak ΔV of the converter has a significant negative correlation with the switching frequency fs. The voltage ripple ΔV and the relationship between the ripple rate and the frequency can be approximated as follows:
Δ V = Δ I L 8 π f s C o
Δ V V out 1 f s 2 L f C o
It can be seen from Equations (67) and (68) that increasing the switching frequency fs can significantly reduce the output voltage ripple ΔV. In order to verify this relationship and the effectiveness of double closed-loop sliding mode control at other frequencies, under the condition of keeping other control parameters in Table 4 unchanged, the boost experiments of different switching frequencies fs based on double closed-loop SMC method are carried out. The experimental results are shown in Figure 20 and Table 10.
According to the experimental results, the ripple peak ΔV decreases significantly with the increase of the switching frequency fs, which approximately satisfies the inverse relationship. At the high frequency band of 20 kHz, the voltage ripple peak is the lowest (0.3 V), which is 88% lower than the low frequency band (5 kHz). If you need to further reduce the low-frequency ripple, you need to optimize the LC filter circuit parameters, but it will increase the cost.
According to the boost experimental results of the phase-shifted full-bridge converter, it is found that compared with the linear SMC strategy, the double closed-loop SMC strategy can shorten the convergence time from 12.4 ms to 6.7 ms, and the steady-state error is reduced from 2.3 V to 0.56 V. The peak value of the output voltage ripple is reduced from ±1.5 V to ±0.3 V, and the ripple rate is reduced from 0.33% to 0.07%.

4.4. Circuit Breaker Opening and Closing Test

In order to verify that the phase-shifted full-bridge converter using the double closed-loop sliding mode control method improves the opening and closing performance of the motor operating mechanism of the high-voltage circuit breaker, the opening and closing tests of the circuit breaker are carried out under the input voltage of the control device of 180 V and 150 V respectively.

4.4.1. Closing Test

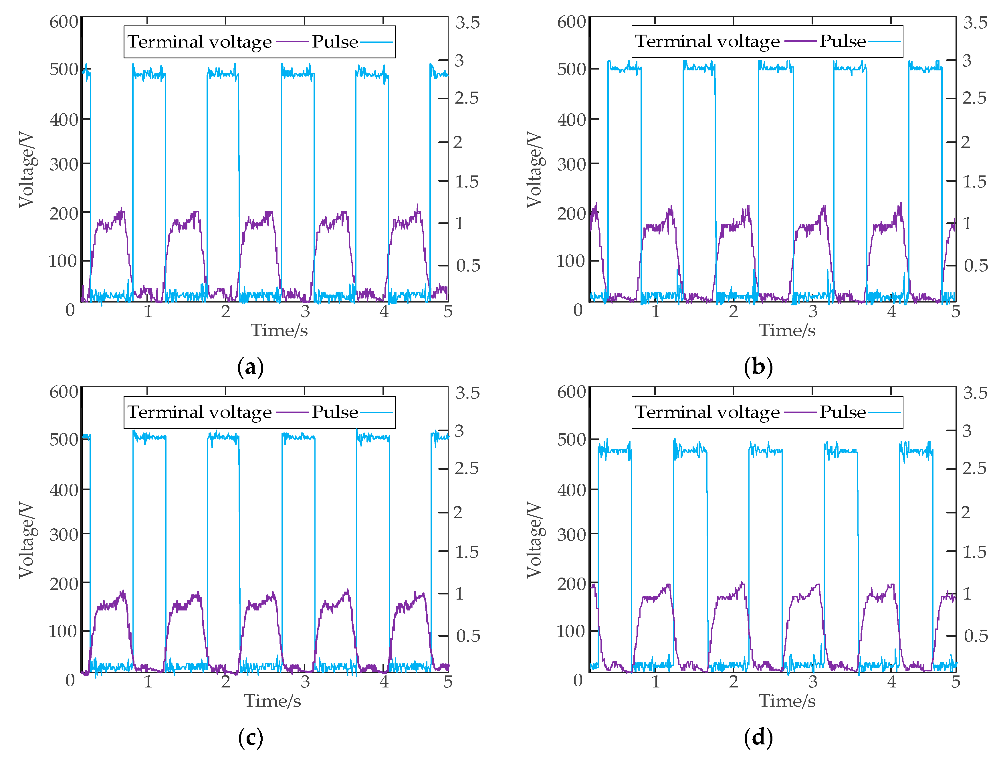
Under the condition that the input voltage of the control device is 180 V, the closing test is carried out, and the total closing time, closing time and closing speed are compared. The Scheme 1 is formulated as an energy storage capacitor step-up converter using a linear sliding mode control method. The Scheme 2 is a phase-shifted full-bridge converter using a double closed-loop sliding mode control method, in which the closing time is the contact time between the moving contact and the static contact of the circuit breaker. The closing test results of the circuit breaker are shown in Figure 21.
Through Figure 20, the main data of the closing experiment are shown in Table 11. It can be seen from Table 11 that the second scheme can shorten the closing time by 29.2% and the closing time by 27.1%.
According to the input voltage of the boost converter, the ideal action curve is set and compared with the actual action speed curve of the moving contact obtained by analyzing the angular displacement curve. The comparison results are shown in Figure 22. It can be seen from Figure 22a that the maximum closing speed of the circuit breaker using Scheme 1 is 2.24 m/s, and Scheme 2 in Figure 22b increases the maximum closing speed by 31.7% to 2.95 m/s.
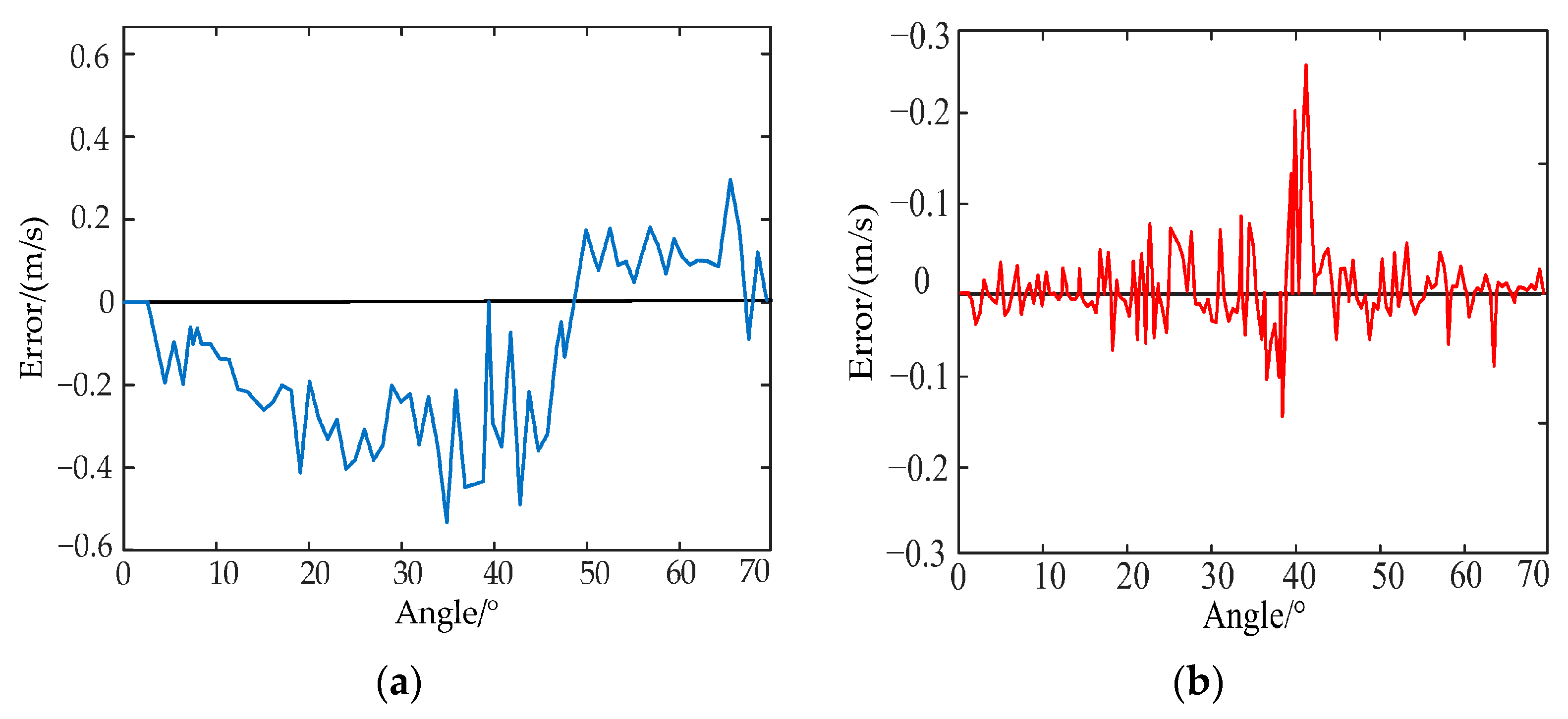
Through the actual action speed curve difference of the moving contact, the speed error tracking curve is analyzed, and the curve is shown in Figure 23. The results show that the overshoot of Schemes 1 and 2 is 12.5% and 3.8% respectively, and the improvement effect is 69.6%. The error of the first scheme is widely distributed, that is, between (−0.51~+0.35) m/s, while the error of the second scheme is concentrated in a small range, that is, between (−0.15~+0.27) m/s. The Scheme 2 adopts the double closed-loop SMC to dynamically adjust the duty cycle. Through the fast tracking of the current loop and the precise adjustment of the voltage loop, it shows stronger immunity in the acceleration stage, higher curve smoothness in the deceleration stage, and the speed tracking error is reduced by 51.2%. The second scheme better meets the comprehensive requirements of the rapidity and stability of high-voltage circuit breakers.

4.4.2. Opening Test

Because before the opening command is issued, the moving contact is affected by the contact spring, the transmission mechanism and its own gravity, there is no starting delay time of the motor, and the voltage level required to complete the opening operation is smaller than that of the closing operation. Now under the voltage condition of 150 V, the circuit breaker opening test using scheme one and scheme two is carried out respectively, and the same technical indexes as the above closing experiment are compared. The angular displacement curve and the rigid separation signal curve are shown in Figure 24.
By analyzing the opening test characteristic curve in Figure 24, the main technical parameters are shown in Table 12. It can be seen from Table 8 that the second scheme can shorten the closing time by 28.8% and the closing time by 28.3%.
Through the closing and opening test, it is verified that the control device of the phase-shifted full-bridge converter using the double closed-loop SMC strategy can improve the opening and closing performance and response ability of the motor operating mechanism.
According to the results of the circuit breaker opening and closing test, it is found that compared with the linear SMC strategy, the double closed-loop SMC strategy can shorten the closing time from 73.6 ms to 52.1 ms, the maximum closing speed from 2.24 m/s to 2.95 m/s, and the speed tracking error from (−0.51–+0.35) m/s to (−0.15~+0.27) m/s. The opening time is shortened from 64.2 ms to 45.7 ms, and the maximum opening speed is increased from 2.63 m/s to 3.31 m/s.

5. Conclusions

In this study, the phase-shifted full-bridge circuit is used as a step-up converter for the motor drive control device of 126 kV high-voltage vacuum circuit breaker, and a double closed-loop sliding mode control strategy based on the capacitor voltage outer loop and the inductor current inner loop is adopted. The main results are as follows:
(1) Soft switching and voltage control performance. The ZVS of the power tube is realized, and the output voltage ripple peak and ripple rate are reduced by 80% and 78.8% respectively, which meets the requirement of <1% ripple in power electronic system.
(2) Dynamic response capability improvement, as shown in the Table 13.
(3) Control precision optimization. The steady-state error is reduced from 2.3 V to 0.56 V, the overshoot is reduced from 12.5% to 3.8%, and the speed tracking error is reduced by 51.2%.
However, the current experimental verification is limited to 126 kV system, and the next step will be extended to higher voltage levels to re-evaluate the influence of parasitic parameters on ZVS. In the future, other types of processors based on DSP will realize real-time control, compress the execution cycle of the algorithm, and explore the combination with LSTM network to realize the adaptive predictive control of the opening and closing speed and improve the adaptability of complex working conditions. This study not only realizes the flexible control strategy of the high-voltage vacuum circuit breaker operating mechanism, significantly improves the dynamic performance of the opening and closing, but also provides a new idea for the intelligent operation of the multi-source coupling integrated power system.

Author Contributions

Conceptualization, D.H. and Z.C.; methodology, D.H.; software, D.H.; validation, D.H., W.C. and Z.C.; formal analysis, W.C.; investigation, D.H.; resources, D.H.; data curation, W.C.; writing—original draft preparation, D.H.; writing—review and editing, D.H. and Z.C.; visualization, W.C.; supervision, Z.C.; project administration, D.H.; funding acquisition, D.H. All authors have read and agreed to the published version of the manuscript.

Funding

This research was funded by National Natural Science Foundation (Grant No: 61773189), Liaoning Provincial Doctoral Research Start-up Fund Project (2025-BS-0298), Liaoning Provincial Department of Education Fund (Grant No: LJKZZ20230084), 2024 Fundamental Research Funding of the Educational Department of Liaoning Province, Liaoning Provincial Department of Education Project (New Energy Vehicle Intelligent Control Technology Laboratory).

Data Availability Statement

All data included in this study are available upon request by contact with the authors.

Conflicts of Interest

The authors declare no conflicts of interest.

References

  1. Liu, X.Q.; Chen, Y.; Zhou, Y.; Mou, S.J.; Liu, Z.Z.; Dong, B.Q. Large-scale power-hydrogen coupling systems: Technical perspective analysis and prospect of large energy companies in China and Europe. Proc. CSEE 2023, 43, 7003–7010. [Google Scholar]
  2. Lin, X. Modern High Voltage Electrical Apparatus Technology, 2nd ed; China Machine Press: Beijing, China, 2011; pp. 84–86. [Google Scholar]
  3. Węgierek, P.; Kostyła, D.; Lech, M. Directions of Development of Diagnostic Methods of Vacuum Medium-Voltage Switchgear. Energies 2023, 16, 2087. [Google Scholar] [CrossRef]
  4. Xia, Y.; Cheng, H.; Wang, J.; Wei, W. Power Management for Off-grid Hydrogen-Electric Coupling System Considering Electrolyzer Temperature-varying Characteristics. IEEE Trans. Power Electron. 2025, 40, 7385–7397. [Google Scholar] [CrossRef]
  5. Sun, P.; Ma, S. Electrical Appliances, 2nd ed; Science Press: Beijing, China, 2011; pp. 4–8. [Google Scholar]
  6. Liu, Y.; Zhang, G.; Zhao, C.; Lei, S.; Qin, H.; Yang, J. Mechanical condition identification and prediction of spring operating mechanism of high voltage circuit breaker. IEEE Access 2020, 8, 210328–210338. [Google Scholar] [CrossRef]
  7. Huang, Y.; Wang, J.; Zhang, W.; Al-Dweikat, M.; Li, D.; Yang, T.; Shao, S. A motor-drive-based operating mechanism for high-voltage circuit breaker. IEEE Trans. Power Deliv. 2013, 28, 2602–2609. [Google Scholar] [CrossRef]
  8. Bosma, A.; Thureson, P.O. A new reliable operating mechanism for HVAC circuit-breakers. In Proceedings of the IEEE/PES Transmission and Distribution Conference and Exposition, Atlanta, GA, USA, 28 October–2 November 2001. [Google Scholar]
  9. Ma, T.T.H.; Tran, T.K.; Yahoui, H.; Siauve, N.; Vu, H.G. Design of a forward-flyback converter based drive with gate voltage limitation for a DC circuit breaker using normally-on SiC JFET. In Proceedings of the IEEE Second International Conference on DC Microgrids (ICDCM), Nuremburg, Germany, 27–29 June 2017. [Google Scholar]
  10. Zhang, F.; Ren, Y.; Shi, Z.; Yang, X.; Chen, W. Novel hybrid DC circuit breaker based on series connection of thyristors and IGBT half-bridge submodules. IEEE Trans. Power Electron. 2020, 36, 1506–1518. [Google Scholar] [CrossRef]
  11. Taherzadeh, E.; Radmanesh, H.; Javadi, S.; Gharehpetian, G.B. Development of a bidirectional HVDC circuit breaker combining a thyristor full-bridge circuit and coupled inductor. Iran. J. Sci. Technol. Trans. Electr. Eng. 2024, 48, 317–324. [Google Scholar] [CrossRef]
  12. Suzuki, A.; Akagi, H. HVDC circuit breakers combining mechanical switches and a multilevel PWM converter: Verification by downscaled models. IEEE Trans. Power Electron. 2018, 34, 4259–4269. [Google Scholar] [CrossRef]
  13. Liu, Y.; Wang, Y.; Ding, S.; Tao, Y.; Li, W. A Boost Converter Integrated with DC Circuit Breaker. In Proceedings of the 47th Annual Conference of the IEEE Industrial Electronics Society (IECON), Toronto, ON, Canada, 13–16 October 2021; pp. 1–6. [Google Scholar]
  14. Ludin, G.A.; Amin, M.A.; Matayoshi, H.; Rangarajan, S.S.; Hemeida, A.M.; Takahashi, H.; Senjyu, T. Solid-state dc circuit breakers and their comparison in modular multilevel converter based-hvdc transmission system. Electronics 2021, 10, 1204. [Google Scholar] [CrossRef]
  15. Li, S.; Li, Z.; Meng, W.; He, J. A hardware-simplified soft-start scheme for current-fed full-bridge DC-DC converter. Electronics 2023, 13, 180. [Google Scholar] [CrossRef]
  16. Babayomi, O.; Zhang, Z.; Li, Z.; Heldwein, M.L.; Rodriguez, J. Robust predictive control of grid-connected converters: Sensor noise suppression with parallel-cascade extended state observer. IEEE Trans. Ind. Electron. 2023, 71, 3728–3740. [Google Scholar] [CrossRef]
  17. Xu, B.; Zhang, L.; Ji, W. Improved non-singular fast terminal sliding mode control with disturbance observer for PMSM drives. IEEE Trans. Transp. Electrif. 2021, 7, 2753–2762. [Google Scholar] [CrossRef]
  18. Li, J.; Luo, Q.; Mou, D.; Wei, Y.; Zhang, X. Comprehensive optimization modulation scheme of low current level and wide ZVS range for dual active bridge converter with dead-zone control. IEEE Trans. Power Electron. 2021, 37, 2731–2748. [Google Scholar] [CrossRef]
  19. Wu, Z.; Liu, A. Research on New Control Algorithm of Permanent Magnet Synchronous Motor Actuator. Electr. Drive 2024, 54, 3. [Google Scholar]
  20. Ma, M.; Wu, J.; Zhao, W.; Xu, T.; He, Y. Research on the Operating Mechanism of 220 kV Circuit Breaker Motor Controlled by MPC+ PID. IEEE Trans. Power Deliv. 2025, 40, 1305–1317. [Google Scholar] [CrossRef]
  21. Su, Y.; Zhou, K.; Huang, W.; Lu, Y.; Peng, Y.; Hong, G. Review on control algorithm of drive system of permanent magnet synchronous motor for high voltage circuit breaker. In Proceedings of the 6th International Conference on Energy, Power and Grid (ICEPG), Guangzhou, China, 27–29 September 2024; pp. 1545–1550. [Google Scholar]
  22. Yang, R.; Li, D.; Wei, H.; Ma, Y.; Ding, J.; Niu, P.; Ding, Y. Optimization Analysis of Control Strategy for Electrically Driven Circuit Breakers. In Proceedings of the 7th Asia Energy and Electrical Engineering Symposium (AEEES), Chengdu, China, 28–31 March 2025; pp. 58–61. [Google Scholar]
  23. Kumarasamy, V.; KarumanchettyThottam Ramasamy, V.; Chandrasekaran, G.; Chinnaraj, G.; Sivalingam, P.; Kumar, N.S. A review of integer order PID and fractional order PID controllers using optimization techniques for speed control of brushless DC motor drive. Int. J. Syst. Assur. Eng. Manag. 2023, 14, 1139–1150. [Google Scholar] [CrossRef]
  24. Zhao, W.; Xu, T.; Ma, M.; Wu, J. Design and Simulation Analysis of Motor Operating Mechanism of 252kV Double-Break Vacuum Circuit Breaker. In Proceedings of the Annual Conference of China Electrotechnical Society, Nanchang, China, 15–17 September 2023; pp. 257–270. [Google Scholar]
  25. Wang, Y.; Xu, J.; Li, W.; Liu, J. Research on dynamic modeling and control strategy of motor driven operating mechanism for 126 kV high voltage vacuum circuit breaker. Sci. Rep. 2025, 15, 17039. [Google Scholar] [CrossRef]
  26. Wang, Y.; Lin, X.; Xu, J.; Li, W. Research on motor drive technology for an operating device of 126 kV vacuum circuit breaker. IEEJ Trans. Electr. Electron. Eng. 2023, 18, 970–979. [Google Scholar] [CrossRef]
  27. Zeng, G.; Yang, X.; Zhao, S.; Yin, H.; Pei, Y.; Cao, J. Analysis, design and dynamic simulation of novel limited swing angle torque permanent magnet motor for high voltage circuit breaker application. Energies 2018, 11, 2652. [Google Scholar] [CrossRef]
  28. Jiang, J.; Lin, H.; Fang, S. Optimization design of a permanent magnet actuator for 126-kV vacuum circuit breaker. IEEE Trans. Appl. Supercond. 2017, 28, 1–5. [Google Scholar] [CrossRef]
  29. Li, X.F.; Zhao, D.; Yi, L.; Wu, Z.; Zhang, Y.; Shuai, C.G. A co-simulation model for the operating mechanism of a high-voltage circuit breaker. Int. J. Simul. Model. 2024, 23, 149–160. [Google Scholar] [CrossRef]
  30. Aoyama, Y.; Hasegawa, Y.; Shiraishi, H.E.D. Development of a circuit breaker system using a linear motor with opposite magnetic poles. Electr. Eng. Jpn. 2022, 215, e23388. [Google Scholar] [CrossRef]
  31. Wang, T.; Luo, G.; Chen, Z.; Tu, W.; Liu, C. An improved robust model predictive speed control with inertia identification for PMSM drives in the electrohydrostatic actuator. IEEE Trans. Power Electron. 2023, 38, 13825–13841. [Google Scholar] [CrossRef]
  32. Wang, X.; Wu, X.; Xiao, X. Study on Speed Loop Improvement Strategy Based on the Fusion of Repetitive Controller and Negative Feedback. In Proceedings of the 2024 IEEE 10th International Power Electronics and Motion Control Conference (IPEMC), Chengdu, China, 17–20 May 2024; pp. 4553–4558. [Google Scholar]
  33. Wang, L. Application of Intelligent Sensors in the Collection of Electrical Engineering Automation Equipment. Informatica 2025, 49. [Google Scholar] [CrossRef]
  34. Tringali, A.; Cocuzza, S. Finite-horizon kinetic energy optimization of a redundant space manipulator. Appl. Sci. 2021, 11, 2346. [Google Scholar] [CrossRef]
  35. Li, Y.X.; Zhang, Y.G.; Lin, X.; Zhang, H.K.; Qiao, C.Y.; Xu, J.Y. Experimental system research on permanent magnet motor operating mechanism of high voltage circuit breaker. In Proceedings of the 2011 International Conference on Electrical Machines and Systems, Beijing, China, 20–23 August 2011; pp. 1–4. [Google Scholar]
  36. Huang, Y.; Hao, L.; Mohmmad, A.D.; Tang, C.; Gao, S.; Yang, Z. Research on the motor drive based operating mechanism for high voltage circuit breaker. In Proceedings of the 2015 International Industrial Informatics and Computer Engineering Conference, Xi’an, China, 10–11 January 2015; Atlantis Press: Paris, France; pp. 959–962. [Google Scholar]
  37. Park, D.R.; Kim, Y. Design and implementation of improved high step-down DC-DC converter for electric vehicles. Energies 2021, 14, 4206. [Google Scholar] [CrossRef]
  38. Benites Quispe, J.B.; Mezaroba, M.; Batschauer, A.L.; de Souza Ribeiro, J.M. A Reconfigurable Phase-Shifted Full-Bridge DC-DC Converter with Wide Range Output Voltage. Energies 2024, 17, 3483. [Google Scholar] [CrossRef]
  39. Roja, P.; John, V. Asymmetrical phase-shifted full-bridge converters in input-parallel output-parallel configuration. IEEE Trans. Ind. Appl. 2024, 60, 6435–6445. [Google Scholar] [CrossRef]
  40. Guo, X.; Meng, R.; Bai, X.; Li, H.; Zhang, J.; He, X. Study of Improved Active Clamp Phase-Shifted Full-Bridge Converter. Electronics 2025, 14, 834. [Google Scholar] [CrossRef]
  41. Escudero, M.; Kutschak, M.A.; Meneses, D.; Rodriguez, N.; Morales, D.P. A practical approach to the design of a highly efficient PSFB DC-DC converter for server applications. Energies 2019, 12, 3723. [Google Scholar] [CrossRef]
  42. Bian, F.; Chien, Y.R. PMSM Speed Control Based on Improved Adaptive Fractional-Order Sliding Mode Control. Symmetry 2025, 17, 736. [Google Scholar] [CrossRef]
  43. Mo, M.; Wu, J.; Wu, W. Adaptive backstep sliding mode control for single-inductor double-output boost converter. ISA Trans. 2024, 155, 454–462. [Google Scholar] [CrossRef]
  44. Zhang, H.; Xie, R.; Li, Y.; Song, J.; Yuan, C.; Xu, L.; Huangfu, Y. Fast terminal sliding mode control of DC–DC boost converters with enhanced disturbance rejection. IEEE J. Emerg. Sel. Top. Power Electron. 2023, 12, 531–542. [Google Scholar] [CrossRef]
  45. Huang, T.W.; Chiu, H.J.; Wang, G.C.; Chang, Y.C. Current-fed phase-shifted full-bridge converter with secondary harmonic current reduction for two-stage inverter in energy storage system. IEEE Trans. Power Electron. 2023, 38, 10716–10728. [Google Scholar] [CrossRef]
  46. Cholahan, V.; Wongvanich, N.; Tangsrirat, W. Robust constant exponent coefficient fixed-time control based on finite-time extended sliding mode observer of permanent magnet synchronous motors. Energies 2023, 16, 7454. [Google Scholar] [CrossRef]
  47. Ding, S.; Mei, K.; Yu, X. Adaptive second-order sliding mode control: A Lyapunov approach. IEEE Trans. Autom. Control 2021, 67, 5392–5399. [Google Scholar] [CrossRef]
  48. Li, Y.; Liu, Y.; Ai, Y.; Chen, X.; Feng, L.; Yao, D.; Ren, P. Explore the Novel Relationship of Time-Frequency Domains in Multivariate Signals: A Dynamic System Perspective. IEEE Trans. Biomed. Eng. 2025, 72, 1872–1885. [Google Scholar] [CrossRef]
  49. Li, C.; Zhou, W.; Yang, Q.; Ji, F. A Pulse Width Modulation Based Sliding Mode Controller for Phase-Shifted Full-Bridge Converter with Diodes in Series on the Lagging Leg. IEEE Access 2024, 12, 174006–174016. [Google Scholar] [CrossRef]
  50. Moon, D.; Bai, C.; Jung, A.; Kim, M. Split Complementary Modulation for Switching Loss Balancing of Phase-Shifted Full-Bridge Converter. IEEE Trans. Ind. Electron. 2024, 72, 330–344. [Google Scholar] [CrossRef]
  51. EN IEC 62477-1:2023; Safety Requirements for Power Electronic Converter Systems and Equipment—Part 1: General. Dansk Standard: Copenhagen, Denmark, 2023.
Figure 1. Motor operating mechanism structure. (a) Structure diagram; (b) Physical diagram.
Figure 1. Motor operating mechanism structure. (a) Structure diagram; (b) Physical diagram.
Energies 18 04593 g001
Figure 2. Motion process of transmission mechanism.
Figure 2. Motion process of transmission mechanism.
Energies 18 04593 g002
Figure 3. The relationship between the rotation angle of the motor and the linear displacement of the insulation rod. (a) Closing stage; (b) Opening stage.
Figure 3. The relationship between the rotation angle of the motor and the linear displacement of the insulation rod. (a) Closing stage; (b) Opening stage.
Energies 18 04593 g003
Figure 4. Conversion curve of motor rotation angle and moving contact speed.
Figure 4. Conversion curve of motor rotation angle and moving contact speed.
Energies 18 04593 g004
Figure 5. Motor drive control device.
Figure 5. Motor drive control device.
Energies 18 04593 g005
Figure 6. Phase-shifted full-bridge circuit topology.
Figure 6. Phase-shifted full-bridge circuit topology.
Energies 18 04593 g006
Figure 7. Working state of phase-shifted full-bridge circuit. (a) T1, T4 are on. (b) T3, T4 are on. (c) T2, T3 are on. (d) T1, T2 are on.
Figure 7. Working state of phase-shifted full-bridge circuit. (a) T1, T4 are on. (b) T3, T4 are on. (c) T2, T3 are on. (d) T1, T2 are on.
Energies 18 04593 g007
Figure 8. The working state waveform of the converter.
Figure 8. The working state waveform of the converter.
Energies 18 04593 g008
Figure 9. Circuit equivalent model.
Figure 9. Circuit equivalent model.
Energies 18 04593 g009
Figure 10. Simplified mathematical model of voltage outer loop terminal sliding mode controller.
Figure 10. Simplified mathematical model of voltage outer loop terminal sliding mode controller.
Energies 18 04593 g010
Figure 11. Simplified mathematical model of current inner loop linear sliding mode controller.
Figure 11. Simplified mathematical model of current inner loop linear sliding mode controller.
Energies 18 04593 g011
Figure 12. Test platform.
Figure 12. Test platform.
Energies 18 04593 g012
Figure 13. Boost experimental results of phase-shifted full-bridge converter.
Figure 13. Boost experimental results of phase-shifted full-bridge converter.
Energies 18 04593 g013
Figure 14. Bode diagram of double closed-loop sliding mode control system (Vin = 200 V, fs = 20 kHz). (a) Amplitude-frequency characteristics of current loop (unit: dB/Hz); (b) Amplitude-frequency characteristics of voltage loop (unit: dB/Hz); (c) Phase-frequency characteristics of current loop (unit: deg/Hz); (d) Phase-frequency characteristics of voltage loop (unit: deg/Hz).
Figure 14. Bode diagram of double closed-loop sliding mode control system (Vin = 200 V, fs = 20 kHz). (a) Amplitude-frequency characteristics of current loop (unit: dB/Hz); (b) Amplitude-frequency characteristics of voltage loop (unit: dB/Hz); (c) Phase-frequency characteristics of current loop (unit: deg/Hz); (d) Phase-frequency characteristics of voltage loop (unit: deg/Hz).
Energies 18 04593 g014
Figure 15. The primary and secondary side voltage of the converter.
Figure 15. The primary and secondary side voltage of the converter.
Energies 18 04593 g015
Figure 16. Power tube drive signal waveform. (a) T1 and T3; (b) T2 and T4.
Figure 16. Power tube drive signal waveform. (a) T1 and T3; (b) T2 and T4.
Energies 18 04593 g016
Figure 17. ZVS implementation effect verification waveform (Vin = 200 V, fs = 20 kHz). (a) Lead bridge arm upper tube T1 drive signal and terminal voltage; (b) Lead bridge arm lower tube T3 drive signal and terminal voltage; (c) Lag bridge arm upper tube T2 drive signal and terminal voltage. (d) Lag bridge arm lower tube T4 drive signal and terminal voltage.
Figure 17. ZVS implementation effect verification waveform (Vin = 200 V, fs = 20 kHz). (a) Lead bridge arm upper tube T1 drive signal and terminal voltage; (b) Lead bridge arm lower tube T3 drive signal and terminal voltage; (c) Lag bridge arm upper tube T2 drive signal and terminal voltage. (d) Lag bridge arm lower tube T4 drive signal and terminal voltage.
Energies 18 04593 g017
Figure 18. Output voltage dynamic response of converter linear SMC and double closed-loop SMC. (a) Simulation results; (b) Experimental results.
Figure 18. Output voltage dynamic response of converter linear SMC and double closed-loop SMC. (a) Simulation results; (b) Experimental results.
Energies 18 04593 g018
Figure 19. Comparison of the output voltage ripple of the converter in the steady-state phase (t = 50–60 ms).
Figure 19. Comparison of the output voltage ripple of the converter in the steady-state phase (t = 50–60 ms).
Energies 18 04593 g019
Figure 20. The relationship between output voltage ripple peak and switching frequency.
Figure 20. The relationship between output voltage ripple peak and switching frequency.
Energies 18 04593 g020
Figure 21. Closing test results. (a) Scheme 1; (b) Scheme 2.
Figure 21. Closing test results. (a) Scheme 1; (b) Scheme 2.
Energies 18 04593 g021
Figure 22. The actual action speed curve of moving contact. (a) Scheme 1; (b) Scheme 2.
Figure 22. The actual action speed curve of moving contact. (a) Scheme 1; (b) Scheme 2.
Energies 18 04593 g022
Figure 23. Velocity tracking error curve. (a) Scheme 1; (b) Scheme 2.
Figure 23. Velocity tracking error curve. (a) Scheme 1; (b) Scheme 2.
Energies 18 04593 g023
Figure 24. Opening test results. (a) Scheme 1; (b) Scheme 2.
Figure 24. Opening test results. (a) Scheme 1; (b) Scheme 2.
Energies 18 04593 g024
Table 1. Comparison of converter topology performance.
Table 1. Comparison of converter topology performance.
Topological TypeInsulationCurrent FlowArc ExtinctionMain Limitations
Forward-flyback converter1.2 kV50 A5 msPoor immunity
Hybrid half-bridge converter200 kV2 kA2 msEfficiency fluctuates greatly
Full-bridge converter100 kV3 kA3 msCircuit structure and control mechanism are complex
Multilevel converter80 kV5 kA1.5 msHigh cost
Boost converter integrates IGBT resistance-capacitance branch60 kV5.5 kA1 msDynamic performance is susceptible to port voltage
Table 2. Characteristics of the control method.
Table 2. Characteristics of the control method.
Control MethodResponse Speed/msSpeed Error/%RobustnessMain Limitations
PID284.5FeeblenessPoor immunity
NFTSMC182.8MiddleSerious chattering
MPC223.2MiddleComputation complexity
Table 3. The comparison results between the proposed method and the main control strategies.
Table 3. The comparison results between the proposed method and the main control strategies.
Performance IndexPIDMFPCNFTSMCMethod of This Article
Stability (phase margin)/°42587276.8
Speed error/%14.813.28.33.8
Response time/ms3.225184.8
ZVS efficiency/%79868997.3
Table 4. Requirements of opening and closing characteristics of 126 kV vacuum circuit breaker.
Table 4. Requirements of opening and closing characteristics of 126 kV vacuum circuit breaker.
ProjectUnitReference Value
Contact opening distancemm60 ± 2
Contact over travelmm24 ± 2
Opening timems42 ± 2
Average opening speedm/s3.5 ± 0.2
Average closing speedm/s1.3 ± 0.2
Closing timems70 ± 20
Contact opening distancemm60 ± 2
Table 5. Length and mass of moving parts.
Table 5. Length and mass of moving parts.
Mass of Mechanism PartsQuality (kg) Length (mm)
Moving contact19.21/
Contact spring20.14/
Driving connecting rod1.37140
Insulating tie rod11.6284
Crutch arm3.36109.2
Table 6. Phase-shifted full-bridge circuit status.
Table 6. Phase-shifted full-bridge circuit status.
Working ConditionFunction Specification
Power transmission phaseWhen one tube of the leading bridge arm and the other tube of the lagging bridge arm are simultaneously turned on (such as T1, T4 or T2, T3), the input voltage Vin is coupled to the secondary side N2 through the primary side N1 of the transformer, and then provides power to the load through the rectifier circuit.
Resonance transition stageThe power tube T1 and T2 are turned off, Cb and Lr form a resonance, so that the tube voltage drop of T2 is reduced to 0, the zero voltage conduction of T2 is realized, and the switching loss is reduced.
Continuation phaseWhen two tubes of the same side tubes of the two bridge arms are turned on (such as T1, T2 or T3, T4), that is, vab = 0, the rectifier circuit enters the freewheeling state, and the inductor current IL flows through the inductor Lf and the load R freewheeling.
Table 7. Design objectives of Lyapunov constraints and frequency domain.
Table 7. Design objectives of Lyapunov constraints and frequency domain.
Design ObjectiveLyapunov ConstraintSpectral Domain Constrained
Astringencyζωi
RobustnessΔPM
BuffetingKiGM
Table 8. Key parameters of voltage loop and current loop.
Table 8. Key parameters of voltage loop and current loop.
ParameterElectric Current LoopVoltage Control Loop
Crossover frequency ω i = K i n V i n L f ω v = K v C O
Phase margin P M i = 90 ° P M v = 90 ° tan 1 ω v ω i
Table 9. Simulation circuit parameters.
Table 9. Simulation circuit parameters.
Parameter NameSignNumerical ValueUnit
Input voltageVin200V
Switching frequencyfs20kHz
Ratio of transformern1/3/
Primary side inductanceLr8uH
Primary side capacitanceCb0.05uF
Filter inductanceLf2.3uH
Smoothing capacitanceCo2200uF
LoadR50Ω
Parallel absorption capacitorC1C40.01uF
Duty cycle of power switchd0.5/
Phasing angleα10%
Dead timetd3.3us
IGBT thermal resistanceRds0.12K/W
Table 10. Experimental data of output voltage ripple peak at different switching frequencies.
Table 10. Experimental data of output voltage ripple peak at different switching frequencies.
Switching Frequency (kHz)Peak Voltage Fluctuation ΔV (V)
52.5
101.2
150.44
200.3
Table 11. Main data of closing tes.
Table 11. Main data of closing tes.
Experimental ParametersScheme 1Scheme 2
Closing time/ms73.652.1
Rigid closing time/ms53.839.2
Starting delay time/ms11.14.8
Table 12. Main technical parameter data of opening test.
Table 12. Main technical parameter data of opening test.
Experimental ParametersScheme 1Scheme 2
Total gate time/ms64.245.7
Rigid opening time/ms31.122.3
Maximum opening speed/(m/s)2.633.31
Table 13. Comparison of dynamic response indicators.
Table 13. Comparison of dynamic response indicators.
Performance IndexSpecific Numerical ChangesIncrease (%)
Closing time73.6 → 52.1 ms−29.2
Opening time73.6 → 52.1 ms+31.7
Maximum Closing speed2.24 → 2.95 m/s−28.8
Maximum opening speed2.63 → 3.31 m/s+25.9
Disclaimer/Publisher’s Note: The statements, opinions and data contained in all publications are solely those of the individual author(s) and contributor(s) and not of MDPI and/or the editor(s). MDPI and/or the editor(s) disclaim responsibility for any injury to people or property resulting from any ideas, methods, instructions or products referred to in the content.

Share and Cite

MDPI and ACS Style

Han, D.; Chen, W.; Cui, Z. Research on Flexible Operation Control Strategy of Motor Operating Mechanism of High Voltage Vacuum Circuit Breaker. Energies 2025, 18, 4593. https://doi.org/10.3390/en18174593

AMA Style

Han D, Chen W, Cui Z. Research on Flexible Operation Control Strategy of Motor Operating Mechanism of High Voltage Vacuum Circuit Breaker. Energies. 2025; 18(17):4593. https://doi.org/10.3390/en18174593

Chicago/Turabian Style

Han, Dongpeng, Weidong Chen, and Zhaoxuan Cui. 2025. "Research on Flexible Operation Control Strategy of Motor Operating Mechanism of High Voltage Vacuum Circuit Breaker" Energies 18, no. 17: 4593. https://doi.org/10.3390/en18174593

APA Style

Han, D., Chen, W., & Cui, Z. (2025). Research on Flexible Operation Control Strategy of Motor Operating Mechanism of High Voltage Vacuum Circuit Breaker. Energies, 18(17), 4593. https://doi.org/10.3390/en18174593

Note that from the first issue of 2016, this journal uses article numbers instead of page numbers. See further details here.

Article Metrics

Back to TopTop