Sign in to use this feature.

Years

Between: -

Subjects

remove_circle_outline
remove_circle_outline
remove_circle_outline
remove_circle_outline
remove_circle_outline
remove_circle_outline
remove_circle_outline
remove_circle_outline
remove_circle_outline

Journals

Article Types

Countries / Regions

remove_circle_outline
remove_circle_outline
remove_circle_outline
remove_circle_outline

Search Results (315)

Search Parameters:
Keywords = wind drag coefficient

Order results
Result details
Results per page
Select all
Export citation of selected articles as:
19 pages, 2091 KB  
Article
An Investigation of Atmospheric Icing Effects on Wind Turbine Blade Aerodynamics and Power Output: A Case Study of the NREL 5 MW Turbine
by Berkay Öztürk and Eyup Koçak
Appl. Sci. 2026, 16(6), 2991; https://doi.org/10.3390/app16062991 - 20 Mar 2026
Viewed by 304
Abstract
This study presents a numerical investigation of the effects of atmospheric icing on the aerodynamic performance and power output of the NREL 5 MW reference wind turbine. In cold climate regions, ice accretion on wind turbine blades significantly alters the airfoil geometry, leading [...] Read more.
This study presents a numerical investigation of the effects of atmospheric icing on the aerodynamic performance and power output of the NREL 5 MW reference wind turbine. In cold climate regions, ice accretion on wind turbine blades significantly alters the airfoil geometry, leading to aerodynamic degradation characterized by increased drag, reduced lift, and substantial power losses. Understanding these effects is therefore essential for reliable performance prediction and efficient turbine operation under icing conditions. To address this problem, numerical simulations were conducted on six representative blade sections using the FENSAP-ICE framework, which integrates flow field calculations, droplet transport, and ice accretion modeling within a unified computational environment. The analyses were performed under different atmospheric icing conditions, considering liquid water content values of 0.22 g/m3 and 0.50 g/m3 and ambient temperatures of −2.5 °C and −10 °C. The median volumetric diameter was fixed at 20 µm, and the icing duration was set to one hour for all cases, allowing for both glaze and rime ice formations to be systematically examined. The results reveal that ice accretion becomes increasingly pronounced toward the blade tip, mainly due to higher relative velocities and increased collection efficiency in the outer sections. Glaze icing conditions produce irregular horn-shaped ice formations and lead to severe aerodynamic degradation, whereas rime ice forms more compact structures near the leading edge and results in comparatively lower performance losses. The degraded aerodynamic coefficients obtained from the iced airfoils were subsequently incorporated into BEM-based power calculations, indicating that total power losses can reach up to 40% under severe icing conditions, with the outer blade sections contributing most significantly to this reduction. Furthermore, an economic assessment based on annual energy losses highlights the substantial impact of atmospheric icing on wind turbine performance and operational costs. Full article
(This article belongs to the Section Mechanical Engineering)
Show Figures

Figure 1

23 pages, 10517 KB  
Article
Effect of Trailing-Edge Thickening on Aerodynamic and Flow-Field Characteristics of Wind Turbine Airfoil
by Xiaobo Zheng, Peng Qin and Sheng Xu
J. Mar. Sci. Eng. 2026, 14(6), 555; https://doi.org/10.3390/jmse14060555 - 16 Mar 2026
Viewed by 415
Abstract
The trailing-edge design of a wind turbine airfoil is critical for balancing the aerodynamic performance and structural robustness of a wind turbine blade. In this paper, the S809 airfoil and its blunt trailing-edge variant, the S809-100 airfoil, are taken as the research objects. [...] Read more.
The trailing-edge design of a wind turbine airfoil is critical for balancing the aerodynamic performance and structural robustness of a wind turbine blade. In this paper, the S809 airfoil and its blunt trailing-edge variant, the S809-100 airfoil, are taken as the research objects. The aerodynamic and flow-field characteristics of both airfoils are analyzed by computational fluid dynamics, which is validated by U.S. National Renewable Energy Laboratory experiments and wind tunnel particle image velocimetry. The results show that the S809-100 airfoil achieves a higher lift coefficient across the entire angle of attack (α) range 0–18°, with a superior lift-to-drag ratio within 8–12°. Three distinct states of aerodynamic response are identified for both airfoils, based on time series and spectral features of lift and drag coefficients, and flow-field structures: steady convergence state, periodic fluctuation state, and irregular fluctuation state. The two airfoils differ significantly in aerodynamic response transition with respect to α: for the S809 airfoil, the aerodynamic response remains in a steady convergence state up to α=16° before shifting to a periodic fluctuation state, while for the S809-100 airfoil, it exhibits a periodic fluctuation state from α=0° and transitions to an irregular fluctuation state beyond α=14.2°. This difference stems from trailing-edge thickening, which induces flow unsteadiness in the S809-100 airfoil. This shift in the aerodynamic response from the periodic fluctuation state to the irregular fluctuation state is attributed to the transition from single-frequency large-scale vortex shedding to a multi-scale vortex interaction, confirmed via spectral and flow-field analyses. This study focuses on the correlated flow structures of wind turbine airfoils and deepens the understanding of unsteady aerodynamic responses; the combined analysis of enhanced aerodynamic performance and induced unsteady fluctuation due to trailing-edge thickening offers a valuable reference for wind turbine blade design. Full article
(This article belongs to the Topic Advances in Wind Energy Technology: 2nd Edition)
Show Figures

Figure 1

22 pages, 10478 KB  
Article
Trionda: Enhanced Surface Roughness Relative to Previous FIFA World Cup Match Balls
by John Eric Goff, Sungchan Hong, Richong Liu and Takeshi Asai
Appl. Sci. 2026, 16(6), 2808; https://doi.org/10.3390/app16062808 - 14 Mar 2026
Viewed by 596
Abstract
Wind-tunnel experiments were conducted on Trionda, the official match ball of the 2026 FIFA World Cup. Aerodynamic force coefficients derived from these measurements were incorporated into numerical trajectory simulations of kicked balls. The resulting aerodynamic characteristics and simulated flight behavior were compared with [...] Read more.
Wind-tunnel experiments were conducted on Trionda, the official match ball of the 2026 FIFA World Cup. Aerodynamic force coefficients derived from these measurements were incorporated into numerical trajectory simulations of kicked balls. The resulting aerodynamic characteristics and simulated flight behavior were compared with those of the four previous World Cup match balls: Al Rihla (2022), Telstar 18 (2018), Brazuca (2014), and Jabulani (2010). Relative to its predecessors, Trionda exhibits a drag crisis at lower flow speeds, consistent with an apparently rougher surface. Although its turbulent-regime drag coefficient is more stable than those of earlier designs, its magnitude is modestly larger. Trajectory simulations therefore indicate the potential for small but perceptible reductions in range for long kicks. This study therefore provides the first aerodynamic characterization of the 2026 FIFA World Cup match ball (Trionda) and places its drag-crisis behavior and flight characteristics in direct quantitative comparison with those of recent World Cup balls examined under identical experimental conditions. Full article
(This article belongs to the Special Issue Sport Biomechanics and Sport Medicine)
Show Figures

Figure 1

20 pages, 3358 KB  
Article
CFD Simulation of a Vertical-Axis Savonius-Type Micro Wind Turbine Using Meteorological Data from an Educational Environment
by José Cabrera-Escobar, Carlos Mauricio Carrillo Rosero, César Hernán Arroba Arroba, Santiago Paúl Cabrera Anda, Catherine Cabrera-Escobar and Raúl Cabrera-Escobar
Clean Technol. 2026, 8(2), 40; https://doi.org/10.3390/cleantechnol8020040 - 12 Mar 2026
Viewed by 597
Abstract
This study presents a two-dimensional computational fluid dynamics analysis of a vertical-axis Savonius-type wind turbine under atmospheric conditions representative of an educational environment located in the Ecuadorian Andean region. Unlike previous studies conducted under sea-level meteorological conditions, this research is performed under high-altitude [...] Read more.
This study presents a two-dimensional computational fluid dynamics analysis of a vertical-axis Savonius-type wind turbine under atmospheric conditions representative of an educational environment located in the Ecuadorian Andean region. Unlike previous studies conducted under sea-level meteorological conditions, this research is performed under high-altitude conditions (2723 m a.s.l.). The unsteady flow around the rotor was simulated using a two-dimensional approach based on the Unsteady Reynolds-Averaged Navier–Stokes (URANS) equations, discretized with the finite volume method and coupled with the k–ω Shear Stress Transport (SST) turbulence model. The rotor rotation was modeled using sliding mesh technique, employing a second-order implicit time scheme to ensure numerical stability and adequate temporal resolution. The numerical model was configured for a tip speed ratio of 0.8 and a wind speed of 3.9 m/s. The time step was defined based on a constant angular advancement of the rotor per time iteration, ensuring numerical stability and adequate temporal resolution. The aerodynamic torque was obtained by integrating the pressure and viscous forces acting on the blades, allowing the calculation of the mechanical power generated and the power coefficient. The results showed a periodic and stable torque behavior after the initial transient cycles, yielding an average torque of 0.7687 N·m and a mechanical power of 5.17 W, while the power coefficient reached a value of 0.2102. Analysis of the flow fields revealed the formation of a low-velocity wake downstream of the rotor, regions of high turbulent kinetic energy associated with periodic vortex shedding, and a significant pressure difference between the advancing and returning blades, confirming that turbine operation is dominated by drag forces. The numerical results were validated through comparison with previous studies, showing good agreement and demonstrating the reliability of the proposed Computational Fluid Dynamics (CFD) approach. This study highlights the potential of Savonius turbines for low-power applications in urban and educational environments, as well as the usefulness of CFD as a tool for evaluating and optimizing their aerodynamic performance. Full article
Show Figures

Figure 1

25 pages, 4054 KB  
Article
Performance Analysis and Power Prediction of Iced Wind Turbines Based on CFD-OpenFAST-Stacking
by Jinchao Wen, Yue Yu, Li Jia, Xuemao Guo and Yan Jin
Energies 2026, 19(5), 1194; https://doi.org/10.3390/en19051194 - 27 Feb 2026
Viewed by 309
Abstract
Blade icing in cold climates poses significant risks to operational stability and results in substantial power generation deficits. This study establishes and validates an integrated multiscale framework, CFD-OpenFAST-Stacking, to characterize the complex aeroelastic behavior of iced wind turbines and facilitate high-fidelity power forecasting. [...] Read more.
Blade icing in cold climates poses significant risks to operational stability and results in substantial power generation deficits. This study establishes and validates an integrated multiscale framework, CFD-OpenFAST-Stacking, to characterize the complex aeroelastic behavior of iced wind turbines and facilitate high-fidelity power forecasting. The methodology utilizes high-fidelity CFD to quantify the aerodynamic degradation of simulated iced airfoils. These data are subsequently coupled with the OpenFAST aeroelastic platform for full-scale turbine simulations to evaluate the system’s dynamic response. A Stacking ensemble learning model is developed by synthesizing these simulation results with historical SCADA data through an innovative data-fusion approach. Numerical findings indicate that icing severely compromises aerodynamic efficiency, inducing a 17.65% reduction in the maximum lift coefficient and a 34.07% escalation in drag at the aerodynamically sensitive blade tip. Consequently, the rated power point is shifted from 10.5 m/s to 13 m/s, with performance degradation most prominent in the low-to-medium wind speed regime. Model validation demonstrates that the data-fusion technique significantly improves predictive robustness, increasing the R2 from 0.75 to 0.84 while reducing the RMSE from 37.69 to 17.04. SHAP analysis further identifies generator speed and wind speed as the primary determinants of power variability. This research substantiates the efficacy of bridging physical simulations with data-driven methodologies, providing a robust theoretical framework for performance evaluation in extreme weather environments. Full article
Show Figures

Figure 1

30 pages, 5435 KB  
Article
A Study on Enhancing the Accuracy of Wave Prediction Models Through SWAN (Simulating WAves Nearshore) Model Sensitivity Experiments: Focusing on Wind Input and Whitecapping Dissipation
by Ho-sik Eum and Jong-Jip Park
J. Mar. Sci. Eng. 2026, 14(5), 435; https://doi.org/10.3390/jmse14050435 - 26 Feb 2026
Viewed by 403
Abstract
Accurate wave prediction in coastal waters is essential for marine safety and engineering, yet it is significantly influenced by uncertainties in wind forcing and dissipation parameterization. This study evaluates the sensitivity of the SWAN model around the Korean Peninsula using 2021 data from [...] Read more.
Accurate wave prediction in coastal waters is essential for marine safety and engineering, yet it is significantly influenced by uncertainties in wind forcing and dissipation parameterization. This study evaluates the sensitivity of the SWAN model around the Korean Peninsula using 2021 data from 138 observation stations. To address structural biases in wind fields, the Drag Coefficient Scaling Factor (CDFAC) was implemented alongside the Komen and ST6 physics packages. While the Komen scheme provided stable performance under normal conditions, the ST6 + CDFAC configuration exhibited superior physical consistency during extreme events. Notably, applying CDFAC to the ST6 package reduced the high-wave (Hs > 3 m) RMSE by approximately 32.7%, decreasing from 0.52 m to 0.35 m. Bathymetric stratified analysis further confirmed that the ST6 scheme maintains robust performance in offshore and deep-water regions (depth > 50 m), achieving a correlation of 0.94 and an RMSE of 0.20 m. This is attributed to ST6’s frequency-dependent saturation approach, which effectively decouples wind-sea and swell components in environments where whitecapping dissipation is the governing energy sink. In contrast, improvements in coastal waters (depth < 50 m) were moderated by topographical dissipation mechanisms such as bottom friction and depth-induced breaking. These findings demonstrate that integrating wind input bias correction with frequency-dependent dissipation physics is vital for reliable wave forecasting and coastal disaster mitigation. Full article
(This article belongs to the Special Issue Advances in Modelling Coastal and Ocean Dynamics)
Show Figures

Figure 1

14 pages, 3034 KB  
Article
Transport Dynamics and Multiscale Turbulence Analysis of Vegetation Canopies Based on Wind Tunnel Experiments
by Guoliang Chen, Fei Li, Ruiqi Wang, Chun-Ho Liu and Ziwei Mo
Atmosphere 2026, 17(2), 226; https://doi.org/10.3390/atmos17020226 - 23 Feb 2026
Viewed by 506
Abstract
The momentum transport and scale-dependent motion characteristics within vegetation canopies play a crucial role in shaping near-surface turbulent structures and exchange processes, yet the interactions among different turbulent scales and their statistical representations remain insufficiently understood. Based on a series of controlled wind [...] Read more.
The momentum transport and scale-dependent motion characteristics within vegetation canopies play a crucial role in shaping near-surface turbulent structures and exchange processes, yet the interactions among different turbulent scales and their statistical representations remain insufficiently understood. Based on a series of controlled wind tunnel experiments, this study identifies coherent turbulent structures using a phase-space algorithm constructed from streamwise velocity fluctuation u′, acceleration a, and jerk j, and compares transport efficiency (exuberance η). This study uses scale-wise (cut-off frequency) momentum flux contribution analysis, natural visibility graph (NVG), and large–small-scale amplitude modulation to examine transport and multiscale behaviors across different canopy densities, array layouts, and inflow conditions. Results show that canopy density (different Cd drag coefficient) is a primary factor governing transport efficiency. Under low-wind staggered configurations, increasing canopy density strengthens the contribution of low-frequency large-scale motions to total momentum flux. In contrast, high-wind aligned configurations intensify canopy-top shear, enhancing small-scale motions and thereby reducing the relative contribution of large-scale motions. NVG analysis further reveals that in high-density canopies, large-scale acceleration and deceleration events tend toward equilibrium, whereas deceleration events dominate consistently in low- and medium-density cases. Amplitude modulation results indicate that high-density cases exhibit highly consistent modulation behavior, followed by low-density cases, while medium-density cases display a pronounced height-dependent variation, characterized by a distinct modulation critical point. This study proposes a unified analytical framework integrating coherent structure detection, graph-theoretic analysis, multiscale transport characterization, and large–small-scale modulation, providing a comprehensive description of momentum transport and scale motions within canopy flows, and it offers new insight into the mechanisms governing complex vegetation canopy turbulence. Full article
Show Figures

Figure 1

24 pages, 5354 KB  
Article
Integrated Aerodynamic–Propulsion Optimization for Gas-Powered Fan VTOL Systems via CFD and Genetic Algorithms
by Mohammad Javad Pour Razzaghi, Guoping Huang and Yuanzhao Zhu
Aerospace 2026, 13(2), 184; https://doi.org/10.3390/aerospace13020184 - 13 Feb 2026
Viewed by 415
Abstract
Vertical takeoff and landing (VTOL) aircraft must balance the conflicting demands of hover and cruise performance. To address the lack of integrated design methodologies in the existing literature, a unified design-optimization framework is presented, coupling high-fidelity CFD simulations with a genetic algorithm to [...] Read more.
Vertical takeoff and landing (VTOL) aircraft must balance the conflicting demands of hover and cruise performance. To address the lack of integrated design methodologies in the existing literature, a unified design-optimization framework is presented, coupling high-fidelity CFD simulations with a genetic algorithm to refine a gas-driven thrust fan (GDTF) VTOL nacelle. Key geometric parameters—fan pressure ratio pressure ratio, fan tilt, nozzle angle, tail inclination, and tip shape—were varied in a comprehensive parametric study to maximize lift-to-drag ratio and maintain constant mass flow. The optimization reveals that a nearly horizontal fan axis maximizes cruise efficiency (LD  2.98), a nozzle angle of about 22° offers the best lift-vs-drag compromise during transition, and refining the tip geometry yields a 1020% performance boost. To validate the numerical predictions, a 1:1.05 scale VTOL nacelle model (fan diameter D = 0.42 m) was fabricated and tested in a low-speed wind tunnel at 52 ms (Re  5 × 106, turbulence intensity ≈ 2%). Total-pressure probes at the intake exit plane and static taps along the inner cowl wall provided detailed pressure distributions, from which exit Mach number, velocity and the equivalent flow coefficient φ (≈0.68 under test conditions) were derived. Oil-flow visualization on the external cowl surface confirmed smooth, attached streamlines with no large separation bubbles. This dual validation combining surface-flow visualization and pressure-recovery mapping demonstrates the accuracy and reliability of the proposed simulation methodology. By successfully bridging detailed CFD with genetic-algorithm-driven design and validating against comprehensive wind-tunnel measurements, this integrated approach paves the way for next-generation VTOL configurations with longer range and lower fuel consumption. Full article
(This article belongs to the Special Issue Advanced Aircraft Structural Design and Applications)
Show Figures

Figure 1

28 pages, 4547 KB  
Article
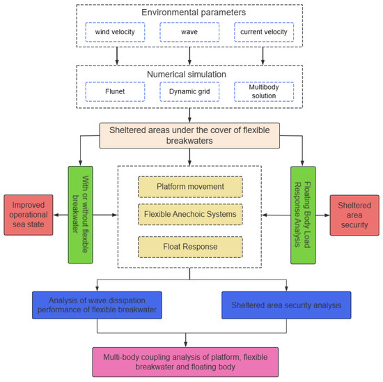
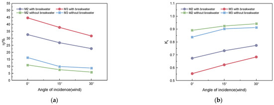
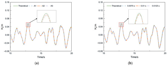
Investigation of Floating-Body Motion Responses in a Flexible Wave-Dissipating System Under Combined Wind–Wave–Current Action
by Haihua Zhang, Yan Yang, Jiang Lü, Feng Diao, Tianyu Liu, Qijie Liu and Gang Xu
J. Mar. Sci. Eng. 2026, 14(3), 248; https://doi.org/10.3390/jmse14030248 - 24 Jan 2026
Viewed by 506
Abstract
To address the lack of efficient flexible protection measures for ocean engineering equipment operating in complex coupled wind–wave–current environments, this study develops a coupled “flexible wave-dissipating system” numerical model based on a validated three-dimensional numerical wave tank. The model is used to investigate, [...] Read more.
To address the lack of efficient flexible protection measures for ocean engineering equipment operating in complex coupled wind–wave–current environments, this study develops a coupled “flexible wave-dissipating system” numerical model based on a validated three-dimensional numerical wave tank. The model is used to investigate, under both regular and irregular wave conditions, the influence of different wind and current incidence angles and the presence or absence of the breakwater on wave propagation and hydrodynamic responses. By comparing the significant wave height, transmission coefficient and wave dissipation efficiency in the sheltered region along with the drag force and free-surface pressure, the wave-attenuation and load-reduction performance of the flexible breakwater is quantitatively evaluated. The results demonstrate that deploying a flexible breakwater can significantly attenuate wave energy in the sheltered region, enhance wave dissipation efficiency, and reduce the transmission coefficient, thereby concurrently decreasing both the drag force and free-surface pressure. Under both wind and current conditions, the maximum loads occur at 0° head-on incidence. However, under 30° oblique wind–wave action, the flexible breakwater yields the most pronounced increase in dissipation efficiency compared to the case without a breakwater. A stable correlation is observed between dissipation efficiency and hydrodynamic loads, which can serve as a unified evaluation metric for assessing the protective performance of flexible breakwaters in ocean engineering applications. Full article
(This article belongs to the Section Coastal Engineering)
Show Figures

Figure 1

21 pages, 2949 KB  
Article
Numerical Simulations and Experimental Tests for Tailored Tidal Turbine Design
by Pietro Scandura, Stefano Mauro, Michele Messina and Sebastian Brusca
J. Mar. Sci. Eng. 2026, 14(3), 236; https://doi.org/10.3390/jmse14030236 - 23 Jan 2026
Viewed by 426
Abstract
This paper outlines the design and testing of a horizontal-axis tidal turbine (HATT) at a scale of 1:20, employing numerical simulations and experimental validation. The design employed an in-house code based on the Blade Element Momentum (BEM) theory. As reliable lift and drag [...] Read more.
This paper outlines the design and testing of a horizontal-axis tidal turbine (HATT) at a scale of 1:20, employing numerical simulations and experimental validation. The design employed an in-house code based on the Blade Element Momentum (BEM) theory. As reliable lift and drag coefficients for this scale are not present in the literature due to the low Reynolds number of the airfoil, Computational Fluid Dynamics (CFD) simulations were conducted to generate accurate polar diagrams for the NACA 4412 airfoil. The turbine was then 3D-printed and the rotor tested in a subsonic wind tunnel at various fixed rotational speeds to determine the power coefficient. Fluid dynamic similarity was achieved by matching the Reynolds number and tip-speed ratio in air to their values in water. Three-dimensional CFD simulations were also performed, yielding turbine efficiency results that agreed fairly well with the experimental data. However, both the experimental and numerical simulation results indicated a higher power coefficient than that predicted by BEM theory. The CFD results revealed the presence of radial velocity components and vortex structures that could reduce flow separation. The BEM model does not capture these phenomena, which explains why the power coefficient detected by experiments and numerical simulations is larger than that predicted by the BEM theory. Full article
(This article belongs to the Section Marine Energy)
Show Figures

Figure 1

10 pages, 2300 KB  
Proceeding Paper
On the Aerodynamic Characteristics of the Aurel Persu Car
by Adrian Clenci, Amélie Danlos, Ivan Dobrev and Victor Iorga-Simăn
Eng. Proc. 2026, 121(1), 29; https://doi.org/10.3390/engproc2025121029 - 21 Jan 2026
Viewed by 415
Abstract
This study investigates the aerodynamics of Romanian engineer Aurel Persu’s car through wind tunnel experiments involving force measurements, Particle Image Velocimetry (PIV), and CFD simulations. Tests using scale models revealed significant flow separation behind the cabin. The measured drag coefficient is CD [...] Read more.
This study investigates the aerodynamics of Romanian engineer Aurel Persu’s car through wind tunnel experiments involving force measurements, Particle Image Velocimetry (PIV), and CFD simulations. Tests using scale models revealed significant flow separation behind the cabin. The measured drag coefficient is CD = 0.364 at 33 m/s, showing moderate sensitivity to Reynolds number. CFD simulations using the unsteady STAR CCM+ solver with a k-ω SST turbulence model produced a slightly lower drag coefficient (CD = 0.353) due to delayed separation. The good agreement between experimental and numerical results validates the modeling approach and highlights aerodynamic limitations around the front and roof. Despite these limitations, the model achieved aerodynamic performance that was exceptional for its time and remained competitive with mainstream production vehicles well into the latter half of the 20th century. Full article
Show Figures

Figure 1

21 pages, 4135 KB  
Article
Numerical Modeling of Wind-Induced Deformation in Eastern Red Cedar Tree Forms Using Fluid–Structure Interaction Analysis
by Ahmet Ayaz and Mahdi Tabatabaei Malazi
Symmetry 2026, 18(1), 203; https://doi.org/10.3390/sym18010203 - 21 Jan 2026
Viewed by 422
Abstract
This research aims to investigate wind-induced effects numerically in full-scale Eastern Red Cedar tree (ERCT) forms under various wind speeds. A total of 72 model cases were carefully analyzed for variations in crown lengths (CLs), canopy diameters (CDs), bole lengths (BLs), and trunk [...] Read more.
This research aims to investigate wind-induced effects numerically in full-scale Eastern Red Cedar tree (ERCT) forms under various wind speeds. A total of 72 model cases were carefully analyzed for variations in crown lengths (CLs), canopy diameters (CDs), bole lengths (BLs), and trunk diameters (TDs) at wind speeds ranging from 15 m/s to 30 m/s. The realizable k–ε turbulence model is employed to resolve the flow region and obtain drag force (FD), velocity, and pressure distributions within the computational fluid domain. The resulting aerodynamic loads are then transferred to ERCT models using a one-way fluid–structure interaction (one-way FSI) approach to predict deformation, stress, and strain in the solid zone. The accuracy of these findings was validated by comparing drag coefficient (CD) results with those from previously conducted studies. Research results reveal that wind speed and the geometric dimensions of the tree notably influence the FD, deformation, strain, and stress experienced by the tree. When wind speed rises from 15 to 30 m/s, the amount of FD, deformation, strain, and stress increases on the ERCT. The present research helps improve the understanding of tree patterns impacted by wind, which is essential for urban design and planning. It provides guidance on how to choose and arrange necessary real trees for efficient windbreaks and comfortable surroundings in life. Full article
(This article belongs to the Special Issue Symmetry in Computational Fluid Dynamics)
Show Figures

Figure 1

22 pages, 16377 KB  
Article
Effects of Wheel-Ground Conditions on Racing Car Aerodynamics Under Ride-Height-Related Attitude Variations
by Xiaojing Ma, Jie Li, Kun Zhang, Yi Zou and Matteo Massaro
Appl. Sci. 2026, 16(2), 874; https://doi.org/10.3390/app16020874 - 14 Jan 2026
Viewed by 935
Abstract
In racing cars, a low ride height is crucial for inverted wings and ground-effect systems to function effectively, significantly enhancing aerodynamic performance but also increasing sensitivity to pitch and roll variations. However, the specific impact of wheel-ground conditions on racing cars under ride-height-related [...] Read more.
In racing cars, a low ride height is crucial for inverted wings and ground-effect systems to function effectively, significantly enhancing aerodynamic performance but also increasing sensitivity to pitch and roll variations. However, the specific impact of wheel-ground conditions on racing cars under ride-height-related attitude variations has not received attention. This study employed numerical simulations (compared with wind tunnel test data) to investigate these effects on racecar aerodynamic characteristics, analyzing three specific wheel-ground combinations: moving ground with rotating wheels (MR), moving ground with stationary wheels (MS), and stationary ground with stationary wheels (SS). A systematic analysis was conducted on aerodynamic changes associated with wheel-plane total pressure coefficient differences, upper-lower surface pressure coefficient variations, and front-rear axle aerodynamic force distributions, elucidating individual component contributions to overall performance changes induced by wheel-ground alterations. Results indicate that wheel conditions, especially rear wheels and their localized interactions with the diffuser-equipped body predominantly influence drag. In contrast, ground conditions primarily affect the body and front wing to alter downforce, with induced drag variations further amplifying total drag differences. Moreover, ground conditions’ impact on the front wing is modulated by vehicle attitude, resulting in either increased or decreased front wing downforce and thus altering aerodynamic balance. These insights highlight that ride-height related attitudes are critical variables when evaluating combined wheel-ground effects, and while wheel rotation is significant, the aerodynamic force and balance changes induced by ground conditions (as modulated by attitude) warrant greater attention. This understanding provides valuable guidance for racecar aerodynamic design. Full article
(This article belongs to the Section Fluid Science and Technology)
Show Figures

Figure 1

32 pages, 31698 KB  
Article
Sub-Scale Flight Testing of Drag Reduction Features for Amphibious Light Sport Aircraft
by Jackson Tenhave, Keith Joiner and Dominic Hill
Aerospace 2026, 13(1), 59; https://doi.org/10.3390/aerospace13010059 - 7 Jan 2026
Viewed by 540
Abstract
Amphibious light sport aircraft (LSA) combine the versatility of land and water operations but suffer aerodynamic penalties from their inherent design requirements, limiting cruise performance. This study investigates two drag reduction features for a proposed high-performance amphibious LSA developed by Altavia Aerospace. The [...] Read more.
Amphibious light sport aircraft (LSA) combine the versatility of land and water operations but suffer aerodynamic penalties from their inherent design requirements, limiting cruise performance. This study investigates two drag reduction features for a proposed high-performance amphibious LSA developed by Altavia Aerospace. The concept targets a cruise speed of 140 KTAS, using retractable wingtip pontoons and a novel retractable hull step fairing. A 1/5-scale flying model was built and flight tested to assess the aerodynamic benefits of these features and evaluate sub-scale flight testing as a tool for drag measurement. Estimated propulsive power and GPS-based speed data corrected for wind were used to compute an estimated 17% reduction in drag coefficient by retracting the pontoons. The hull step fairing showed no measurable gains, likely due to inconsistent battery voltage, despite literature indicating potential 5% drag savings. Drag measurement precision of 7–9% was achieved using the power-based method, with potential precision better than 3% achievable if the designed thrust data system were fully validated and an autopilot integrated. A performance estimation for Altavia Aerospace’s concept predicts a cruise speed of 134 KTAS at 10,000 ft. Achieving the target of 140 KTAS may require further aerodynamic refinement, with investigation of a tandem seating configuration to reduce frontal area recommended. The study provides an initial drag assessment of retractable wingtip pontoons and demonstrates the potential of sub-scale flight testing for comparative drag analysis—two novel contributions to the field. Full article
(This article belongs to the Special Issue Recent Advances in Applied Aerodynamics (2nd Edition))
Show Figures

Figure 1

21 pages, 4796 KB  
Article
Experimental and Theoretical Study on the Stability of Submarine Cable Covered by Articulated Concrete Mattresses on Flat Hard Seabed Under the Action of Currents
by Ke Chen, Huakun Wang, Chiyuan Xu, Dawei Guan, Guokai Yuan, Chengyu Liu, Hongqing Wang and Can Zheng
J. Mar. Sci. Eng. 2026, 14(1), 104; https://doi.org/10.3390/jmse14010104 - 5 Jan 2026
Viewed by 670
Abstract
The safe and stable operation of submarine cables is a critical issue in offshore wind power engineering. This study presents an experimental and theoretical study on the stability of submarine cable protected by a sleeve (SCPS) with Articulated Concrete Mattresses (ACMs) protection on [...] Read more.
The safe and stable operation of submarine cables is a critical issue in offshore wind power engineering. This study presents an experimental and theoretical study on the stability of submarine cable protected by a sleeve (SCPS) with Articulated Concrete Mattresses (ACMs) protection on a flat hard seabed under current conditions. The instability modes of the SCPS–ACMs were identified, and the effects of the number of spans, cover spacing, and ACMs length on the critical instability velocity were investigated. The experimental results indicate that the primary instability mode of the SCPS–ACMs is the overall slip mode. An increase in cover spacing enlarges the exposure scale of the SCPS in the flow environment, thereby reducing the critical velocity. Employing at least two spans effectively mitigates the boundary effect induced by the flow past the SCPS at its ends, thus ensuring the reliability of the experimental model. The critical velocity is fundamentally determined by the dimensionless parameter—the ACMs coverage ratio (incorporating both the ACMs length and cover spacing). Based on the experimental results and force analysis, a theoretical equation reflecting the intrinsic relationship between the ACMs’ cover spacing and critical velocity was established. Key parameters in the equation, such as the friction coefficient, hydrodynamic coefficients (including the lift coefficient and drag coefficient), and weight distribution coefficients, were determined. Finally, the theoretical results were validated against the experimental data, showing a good agreement and verifying the reliability of the theoretical formula. The findings of this research can provide crucial support for the optimal design of ACMs protection schemes for submarine cables on the hard seabed. Full article
Show Figures

Figure 1

Back to TopTop