Journal Description
Fluids
Fluids
is an international, peer-reviewed, open access journal on all aspects of fluids, published monthly online by MDPI. The Portuguese Society of Rheology (SPR) is affiliated with Fluids and its members receive discounts on the article processing charges.
- Open Access— free for readers, with article processing charges (APC) paid by authors or their institutions.
- High Visibility: indexed within Scopus, ESCI (Web of Science), Inspec, CAPlus / SciFinder, and other databases.
- Journal Rank: CiteScore - Q2 (Mechanical Engineering)
- Rapid Publication: manuscripts are peer-reviewed and a first decision is provided to authors approximately 21.7 days after submission; acceptance to publication is undertaken in 3.6 days (median values for papers published in this journal in the first half of 2025).
- Recognition of Reviewers: reviewers who provide timely, thorough peer-review reports receive vouchers entitling them to a discount on the APC of their next publication in any MDPI journal, in appreciation of the work done.
Impact Factor:
1.8 (2024);
5-Year Impact Factor:
1.9 (2024)
Latest Articles
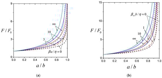
Slow Motion of a Spherical Particle Perpendicular to Two Planar Walls with Slip Surfaces
Fluids 2025, 10(11), 287; https://doi.org/10.3390/fluids10110287 - 3 Nov 2025
Abstract
The quasi-steady creeping flow of a viscous fluid around a slip sphere translating perpendicular to one or two large slip planar walls at arbitrary relative positions is analyzed. To solve the axisymmetric Stokes equation for the fluid flow, we construct a general solution
[...] Read more.
The quasi-steady creeping flow of a viscous fluid around a slip sphere translating perpendicular to one or two large slip planar walls at arbitrary relative positions is analyzed. To solve the axisymmetric Stokes equation for the fluid flow, we construct a general solution using fundamental solutions in spherical and cylindrical coordinate systems. Boundary conditions are first applied to the planar walls using the Hankel transform and then to the particle surface using a collocation method. Numerical results of the drag force exerted by the fluid on the particle are obtained for different values of the relevant stickiness/slip and configuration parameters. Our force results agree well with existing solutions for the motion of a slip sphere perpendicular to one or two nonslip planar walls. The hydrodynamic drag force acting on the particle is a monotonic increasing function of the stickiness of the planar walls and the ratio of its radius to distance from each planar wall. With other parameters remaining constant, this drag force generally increases with increasing stickiness of the particle surface. The influence of the slip planar walls on the axisymmetric translation of a slip sphere is significantly stronger than its axisymmetric rotation.
Full article
(This article belongs to the Section Flow of Multi-Phase Fluids and Granular Materials)
►
Show Figures
Open AccessReview
Modelling and Simulation of the Entrapment of Non-Wetting Fluids Within Disordered Porous Materials
by
Sean P. Rigby
Fluids 2025, 10(11), 286; https://doi.org/10.3390/fluids10110286 - 31 Oct 2025
Abstract
The phenomenon known as non-wetting phase (nwp) entrapment, and the multiphase fluid flow within porous media that gives rise to it, is important in several areas such as contaminant transport and subsequent remediation, subsurface energy storage, oil recovery, carbon dioxide sequestration, and pore
[...] Read more.
The phenomenon known as non-wetting phase (nwp) entrapment, and the multiphase fluid flow within porous media that gives rise to it, is important in several areas such as contaminant transport and subsequent remediation, subsurface energy storage, oil recovery, carbon dioxide sequestration, and pore structural characterisation. The aim of this review was to survey the various different modelling and simulation approaches used to predict the pore-scale processes involved in the entrapment of nwp in disordered porous media, and the impact of pore structural features on the level of entrapment. The various modelling and simulation approaches considered included empirical models, pore network models (PNMs), percolation models, models derived directly from imaging data, and thermodynamic and statistical mechanical techniques. Dynamic flow simulations within models derived from images have validated the quasi-static idealisation for low capillary number, often used with PNMs. Modelling using this approximation has demonstrated the importance of pore connectivity and macroscopic heterogeneities in the spatial distribution of pore sizes in determining entrapment. Dynamic simulations in image-derived models have also shown the need for proper representation of menisci configurations in the complex void spaces of mixed-wetting systems in order to accurately predict entrapment, something that is not always currently possible.
Full article
(This article belongs to the Special Issue Feature Reviews for Fluids 2025–2026)
►▼
Show Figures

Figure 1
Open AccessArticle
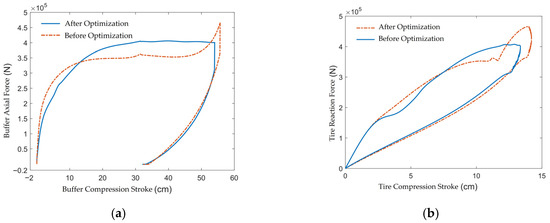
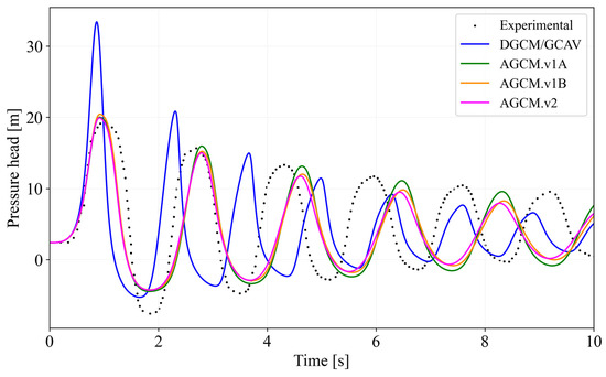
Modeling of the Nose Landing Gear Shock Absorber for Carrier-Based Aircraft and Optimization of Oil Orifice Area Configuration
by
Wenlin Liu, Boxing Zhao, Xiangning Pan, Zhijie Song and Ping Wang
Fluids 2025, 10(11), 285; https://doi.org/10.3390/fluids10110285 - 31 Oct 2025
Abstract
To optimize and improve the nose landing gear shock absorber of a fixed-wing carrier-based aircraft, the cross-sectional area of the oil needle in the main oil orifice and the cross-sectional area of the oil return orifice shall be reconfigured. Firstly, a dynamic analysis
[...] Read more.
To optimize and improve the nose landing gear shock absorber of a fixed-wing carrier-based aircraft, the cross-sectional area of the oil needle in the main oil orifice and the cross-sectional area of the oil return orifice shall be reconfigured. Firstly, a dynamic analysis of a single landing shock absorber system is conducted, with a focus on explaining the calculation methods for air spring force and oil damping force. Secondly, the shock absorber is modeled and its typical working processes are simulated, including calculations of shipboard landing buffering results under different sinking speeds and catapult extension results under different terminal drag speeds. Phenomena such as wheel transition oscillation and shock absorber hysteresis compression are interpreted. Finally, an orifice area configuration optimization scheme based on the work-energy diagram of the shock absorber system is proposed, with principles and necessary explanations for key steps in the scheme provided. The optimized scheme, which comprehensively considers buffering and extension performance, is applied to a single shock absorber system model for verification. The results show that the main orifice area should exhibit a slight increase near the critical stroke of the high and low pressure chambers. After optimizing the orifice area, under the ultimate sinking speed, the peak load of the shock absorber is reduced by 12.92%, the compression stroke is decreased by 2.91%, and the energy absorption efficiency is increased by 19.90%; the peak load of the tire is reduced by 12.17%, the compression stroke is decreased by 5.92%, and the energy absorption efficiency is increased by 12.28%.
Full article
(This article belongs to the Special Issue Multiphase Flow and Fluid Machinery)
►▼
Show Figures

Figure 1
Open AccessArticle
Computational Fluid Dynamics and Adjoint-Based Optimization of a Supersonic Combustor for Improved Efficiency
by
Carola Rovira Sala, Nazanin Jalaei Poustian, Jimmy-John O. E. Hoste and Tamás István Józsa
Fluids 2025, 10(11), 284; https://doi.org/10.3390/fluids10110284 - 31 Oct 2025
Abstract
Adjoint-based optimization methods, that were previously in the realm of computational fluid dynamics (CFD) research, are now available in commercial software. This work explores the use of adjoint-based optimization to maximize mixing and combustion efficiencies for a supersonic combustor. To this end, a
[...] Read more.
Adjoint-based optimization methods, that were previously in the realm of computational fluid dynamics (CFD) research, are now available in commercial software. This work explores the use of adjoint-based optimization to maximize mixing and combustion efficiencies for a supersonic combustor. To this end, a two-dimensional combustor was considered with parallel hydrogen injection. Simulations were carried out based on the steady Reynolds-Averaged Navier–Stokes equations and optimization was performed using a simplified passive scalar field instead of the full reactive flow problem. The optimization of a triangle-shaped mixing element is considered in addition to a case allowing the entire bottom of the combustor to deform. The relatively small mixing element could not boost efficiency significantly. By comparison, the optimization of the combustor wall resulted in both mixing and combustion efficiency gains accompanied by total pressure loss penalty. The optimization achieved higher efficiency compared to the baseline by extending the total volume of the reaction zone. The presented proof-of-concept results are relevant for the design of hypersonic vehicle propulsion systems, such as scramjets.
Full article
(This article belongs to the Special Issue Turbulence and Combustion)
►▼
Show Figures

Figure 1
Open AccessArticle
Vortex Dynamics Effects on the Development of a Confined Turbulent Wake
by
Ioannis D. Kalogirou, Alexandros Romeos, Athanasios Giannadakis, Giouli Mihalakakou and Thrassos Panidis
Fluids 2025, 10(11), 283; https://doi.org/10.3390/fluids10110283 - 31 Oct 2025
Abstract
In the present work, the turbulent wake of a circular cylinder in a confined flow environment at a blockage ratio of 14% is experimentally investigated in a wind tunnel consisting of a parallel test section followed by a constant-area distorting duct, under subcritical
[...] Read more.
In the present work, the turbulent wake of a circular cylinder in a confined flow environment at a blockage ratio of 14% is experimentally investigated in a wind tunnel consisting of a parallel test section followed by a constant-area distorting duct, under subcritical Re inlet conditions. The initial stage of wake development, extending from the bluff body to the end of the parallel section, is analyzed, with the use of hot-wire anemometry and laser-sheet visualization. The near field reveals partial similarity to unbounded wakes, with the principal difference being a modification of the Kármán vortex street topology, attributed to altered vortex dynamics under confinement. Further downstream, the mean and fluctuating velocity distributions of the confined wake gradually evolve toward channel-flow characteristics. To elucidate this transition, wake measurements are systematically compared with channel flow data obtained in the same configuration under identical inlet conditions and with reference channel-flow datasets from the literature. Experimental results show that a vortex-transportation mechanism exists due to confinement effect, resulting in the progressive crossing and realignment of counter-rotating vortices toward the tunnel centerline. Although wake flow characteristics are preserved, suppression of classical periodic shedding is clearly depicted. Furthermore, it is shown that the confined near-wake spectral peak persists up to x1/d~60 as in the free case and then vanishes as the spectra broadens. Coincidentally, the confined wake exhibits a narrower halfwidth than its free wake counterpart, while a centerline shift of the shed vortices is observed. Farfield wake-flow maintains strong anisotropy, while a weaker downstream growth of the streamwise integral scale is observed when compared to channel flow. Together, these findings explain how confinement reforms the nearfield topology and reorganizes momentum transport as the flow evolves to channel-like flow.
Full article
(This article belongs to the Special Issue Industrial CFD and Fluid Modelling in Engineering, 3rd Edition)
►▼
Show Figures

Figure 1
Open AccessArticle
A Fully Resolved Model of Compressible Flow with Phase Change Inside a Thermosyphon Heat Pipe: Validation and Predictive Analysis
by
Hammouda Mahjoub, Zied Lataoui, Adel M. Benselama, Yves Bertin and Abdelmajid Jemni
Fluids 2025, 10(11), 282; https://doi.org/10.3390/fluids10110282 - 30 Oct 2025
Abstract
Thermosyphon heat pipes (THPs) are increasingly employed in advanced thermal management applications due to their highly effective thermal conductivity, compact design, and passive operation. In this study, a numerical investigation was conducted on a copper or aluminum thermosyphon charged with different working fluids,
[...] Read more.
Thermosyphon heat pipes (THPs) are increasingly employed in advanced thermal management applications due to their highly effective thermal conductivity, compact design, and passive operation. In this study, a numerical investigation was conducted on a copper or aluminum thermosyphon charged with different working fluids, with methanol serving as a reference case. A two-dimensional compressible CFD model was implemented in OpenFOAM, coupling the Volume of Fluid (VOF) method with a hybrid phase-change formulation that integrates the Lee and Tanasawa approaches. It provides, indeed, a balance between computational efficiency and physical fidelity. The vapor flow, considered as an ideal gas, was assumed compressible. The isoAdvector algorithm was applied as a reconstruction technique in order to improve interface capturing, to reduce spurious oscillations and parasitic currents, and to ensure more realistic simulation of boiling and condensation phenomena. The performance dependency on operating parameters such as the inclination angle, liquid filling ratio, and thermophysical properties of the working fluid is analyzed. The numerical predictions were validated against experimental measurements obtained from a dedicated test bench, showing discrepancies below 3% under vertical operation. This work provides new insights into the coupled influence of orientation, fluid inventory, and working fluid properties on THP behavior. Beyond the experimental validation, it establishes a robust computational framework for predicting two-phase heat and mass transfer phenomena by linearizing and treating the terms involved in thebalances to be satisfied implicitly. The results reveal a strong interplay between the inclination angle and filling ratio in determining the overall thermal resistance. At low filling ratios, the vertical operation led to insufficient liquid return and increased resistance, whereas inclined orientations enhanced the liquid spreading and promoted more efficient evaporation. An optimal filling ratio range of 40–60% was identified, minimizing the thermal resistance across the working fluids. In contrast, excessive liquid charge reduced the vapor space and degraded the performance due toflow restriction and evaporationflooding.
Full article
(This article belongs to the Section Mathematical and Computational Fluid Mechanics)
►▼
Show Figures

Figure 1
Open AccessArticle
A Hybrid CFD and Potential Flow Motion Analysis of Spar Buoys with Damping-Enhanced Appendages
by
Murtala Nyako Musa and Deniz Bayraktar Bural
Fluids 2025, 10(11), 281; https://doi.org/10.3390/fluids10110281 - 30 Oct 2025
Abstract
►▼
Show Figures
This study investigates the hydrodynamic response of a spar-type buoy equipped with a solid, perforated, and novel corrugated plate appendage introduced here for the first time to enhance motion damping. A hybrid approach combining time-domain CFD simulations and frequency-domain potential-flow analysis was employed,
[...] Read more.
This study investigates the hydrodynamic response of a spar-type buoy equipped with a solid, perforated, and novel corrugated plate appendage introduced here for the first time to enhance motion damping. A hybrid approach combining time-domain CFD simulations and frequency-domain potential-flow analysis was employed, providing a framework to incorporate viscous effects that are often omitted in potential-flow models. In the first stage, free-decay simulations were carried out in ANSYS Fluent for a baseline spar and three appendage-equipped configurations. The resulting heave and pitch decay responses were analyzed to determine natural frequencies and viscous damping coefficients. Prior to that, the CFD solver was validated and verified against published experimental data, confirming the reliability of the numerical setup. In the second stage, frequency-domain hydrodynamic diffraction analysis was conducted in ANSYS AQWA, and the CFD-derived viscous damping coefficients were incorporated into the potential-flow model to improve motion predictions near resonance. The comparison between RAOs with and without viscous damping indicated reductions of approximately 55–62% in heave and 41–60% in pitch at resonance, with the perforated plate consistently yielding the highest damping and lowest RAO peaks. This work introduces the first corrugated plate appendage design for spar buoys and establishes a validated CFD–potential-flow hybrid framework that enables more realistic motion predictions and provides practical design guidance for damping-enhanced spar buoys in offshore energy applications.
Full article

Figure 1
Open AccessArticle
Vortex Stability in the Thermal Quasi-Geostrophic Dynamics
by
Xavier Carton, Yan Barabinot and Guillaume Roullet
Fluids 2025, 10(11), 280; https://doi.org/10.3390/fluids10110280 - 28 Oct 2025
Abstract
The stability of a circular vortex is studied in the thermal quasi-geostrophic (TQG) model. Several radial distributions of vorticity and buoyancy (temperature) are considered for the mean flow. First, the linear stability of these vortices is addressed. The linear problem is solved exactly
[...] Read more.
The stability of a circular vortex is studied in the thermal quasi-geostrophic (TQG) model. Several radial distributions of vorticity and buoyancy (temperature) are considered for the mean flow. First, the linear stability of these vortices is addressed. The linear problem is solved exactly for a simple flow, and two stability criteria are then derived for general mean flows. Then, the growth rate and most unstable wavenumbers of normal-mode perturbations are computed numerically for Gaussian and cubic exponential vortices, both for elliptical and higher mode perturbations. In TQG, contrary to usual QG, short waves can be linearly unstable on shallow vorticity profiles. Linearly, both stratification and bottom topography (under specific conditions) have a stabilizing role. In a second step, we use a numerical model of the nonlinear TQG equations. With a Gaussian vortex, we show the growth of small-scale perturbations during the vortex instability, as predicted by the linear analysis. In particular, for an unstable vortex with an elliptical perturbation, the final tripolar vortices can have a turbulent peripheral structure, when the ratio of mean buoyancy to mean velocity is large enough. The frontogenetic tendency indicates how small-scale features detach from the vortex core towards its periphery, and thus feed the turbulent peripheral vorticity. We confirm that stratification and topography have a stabilizing influence as shown by the linear theory. Then, by varying the vortex and perturbation characteristics, we classify the various possible nonlinear regimes. The numerical simulations show that the influence of the growing small-scale perturbations is to weaken the peripheral vortices formed by the instability, and by this, to stabilize the whole vortex. A finite radius of deformation and/or bottom topography also stabilize the vortex as predicted by linear theory. An extension of this work to stratified flows is finally recommended.
Full article
(This article belongs to the Collection Advances in Geophysical Fluid Dynamics)
►▼
Show Figures

Figure 1
Open AccessArticle
Box Model for Confined Power-Law Viscous Gravity Currents Including Surface Tension Effects
by
Marius Ungarish
Fluids 2025, 10(11), 279; https://doi.org/10.3390/fluids10110279 - 27 Oct 2025
Abstract
We consider the flow of a viscous fluid (power-law, non-Newtonian) injected into a gap of height H between two horizontal plates. When the viscosity of the ambient (displaced) fluid is negligible, the injected fluid forms a tail-slug in contact with both plates connected
[...] Read more.
We consider the flow of a viscous fluid (power-law, non-Newtonian) injected into a gap of height H between two horizontal plates. When the viscosity of the ambient (displaced) fluid is negligible, the injected fluid forms a tail-slug in contact with both plates connected (at a moving grounding line) to a leading gravity current (GC) whose interface does not touch the top of the gap. Surface tension menisci may appear at the grounding line and nose of the GC. Such systems, of interest in the injection molding industry, have been investigated recently in the framework of the lubrication theory for the volume (q and are positive constants and t is time). Similarity appears for certain values of . The similarity solution of the lubrication model requires manipulations and numerical calculations, which obscure the underlying mechanisms and defy reliable interpretation, because the flow is dependent on four coupled parameters: viscosity exponent n, as well as J, , and (the height ratio of the unconfined GC, grounding line meniscus, and nose meniscus to H, respectively). Here we present a significantly simpler box-model analysis, which provides straightforward insights and facilitates the quantitative predictions. Comparisons with the rigorous lubrication-model solution and with previously published data demonstrate that the box model provides a reliable physical description of the system, as well as a fairly accurate prediction of the propagation, for a wide range of parameters.
Full article
(This article belongs to the Section Geophysical and Environmental Fluid Mechanics)
►▼
Show Figures

Figure 1
Open AccessArticle
Effects of the Orifice and Absorber Grid Designs on Coolant Mixing at the Inlet of an RITM-Type SMR Fuel Assembly
by
Anton Riazanov, Sergei Dmitriev, Denis Doronkov, Aleksandr Dobrov, Aleksey Pronin, Dmitriy Solntsev, Tatiana Demkina, Daniil Kuritsin and Danil Nikolaev
Fluids 2025, 10(11), 278; https://doi.org/10.3390/fluids10110278 - 24 Oct 2025
Abstract
This article presents the results of an experimental study on the hydrodynamics of the coolant at the inlet of the fuel assembly in the RITM reactor core. The importance of these studies stems from the significant impact that inlet flow conditions have on
[...] Read more.
This article presents the results of an experimental study on the hydrodynamics of the coolant at the inlet of the fuel assembly in the RITM reactor core. The importance of these studies stems from the significant impact that inlet flow conditions have on the flow structure within a fuel assembly. A significant variation in axial velocity and local flow rates can greatly affect the heat exchange processes within the fuel assembly, potentially compromising the safety of the core operation. The aim of this work was to investigate the effect of different designs of orifice inlet devices and integrated absorber grids on the flow pattern of the coolant in the rod bundle of the fuel assembly. To achieve this goal, experiments were conducted on a scaled model of the inlet section of the fuel assembly, which included all the structural components of the actual fuel assembly, from the orifice inlet device to the second spacer grids. The test model was scaled down by a factor of 5.8 from the original fuel assembly. Two methods were used to study the hydrodynamics: dynamic pressure probe measurements and the tracer injection technique. The studies were conducted in several sections along the length of the test model, covering its entire cross-section. The choice of measurement locations was determined by the design features of the test model. The loss coefficient (K) of the orifice inlet device in fully open and maximally closed positions was experimentally determined. The features of the coolant flow at the inlet of the fuel assembly were visualized using axial velocity plots in cross-sections, as well as concentration distribution plots for the injected tracer. The geometry of the inlet orifice device at the fuel assembly has a significant impact on the pattern of axial flow velocity up to the center of the fuel bundle, between the first and second spacing grids. Two zones of low axial velocity are created at the edges of the fuel element cover, parallel to the mounting plates, at the entrance to the fuel bundle. These unevennesses in the axial speed are evened out before reaching the second grid. The attachment plates of the fuel elements to the diffuser greatly influence the intensity and direction of flow mixing. A comparative analysis of the effectiveness of two types of integrated absorber grids was performed. The experimental results were used to justify design modifications of individual elements of the fuel assembly and to validate the hydraulic performance of new core designs. Additionally, the experimental data can be used to validate CFD codes.
Full article
(This article belongs to the Special Issue Heat Transfer in the Industry)
►▼
Show Figures

Figure 1
Open AccessArticle
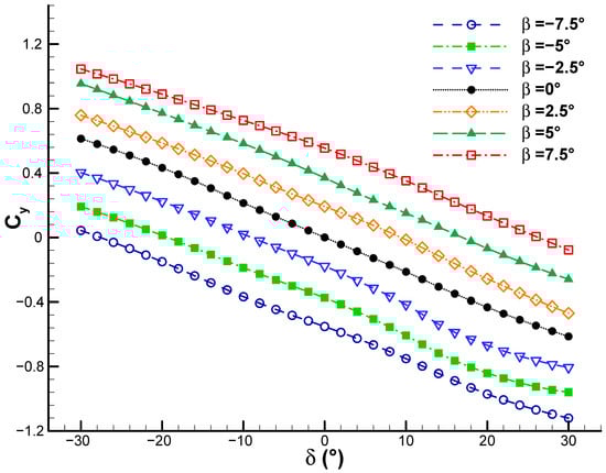
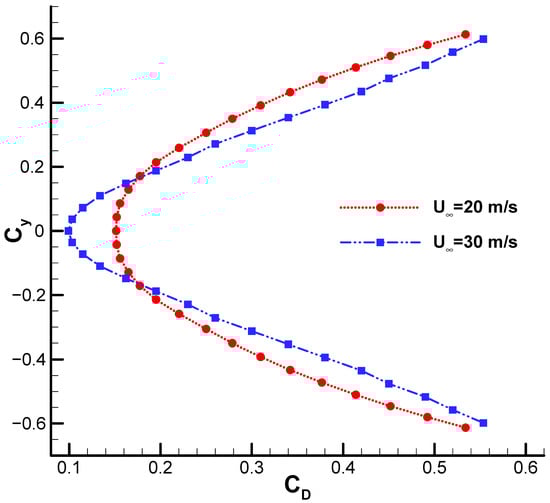
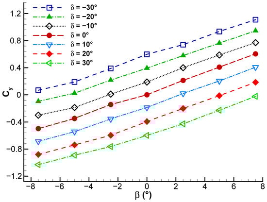
Experimental Study on the Effects of Sideslip and Rudder Deflection Angles on the Aerodynamics of an Aircraft Vertical Tail at Low Speeds
by
Arash Shams Taleghani, Saeid Yektaei, Vahid Esfahanian and Soheila Abdolahipour
Fluids 2025, 10(11), 277; https://doi.org/10.3390/fluids10110277 - 23 Oct 2025
Abstract
►▼
Show Figures
The vertical tail plays a crucial role in aircraft directional stability and lateral control, especially during low-speed operations such as takeoff and landing. This study examines the effect of aircraft mass on vertical tail geometry through a statistical analysis of 65 design parameters
[...] Read more.
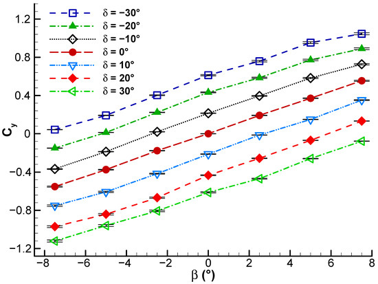
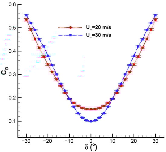
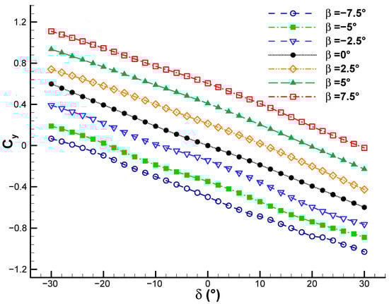
The vertical tail plays a crucial role in aircraft directional stability and lateral control, especially during low-speed operations such as takeoff and landing. This study examines the effect of aircraft mass on vertical tail geometry through a statistical analysis of 65 design parameters from civil jet aircraft. Aerodynamic performance of a sub-scale Boeing 777-200 vertical tail model was further investigated in a low-speed wind tunnel under rudder deflections and sideslip angles. Experiments were conducted at freestream speeds of 20 and 30 m/s, corresponding to Reynolds numbers of 5 × 105 and 7.5 × 105, with model blockage ratios below 2% in all configurations. Side force and drag coefficients were measured for rudder deflections from −30° to +30° and sideslip angles from −7.5° to +7.5°. Results show a nearly linear variation of side force with rudder deflection, while drag exhibits noticeable nonlinearity at higher deflections. At zero sideslip, increasing rudder deflection from 0° to 30° raised the side force coefficient from 0 to 0.65, with a maximum uncertainty of ±0.011, while drag coefficient uncertainty remained below ±0.0055. Furthermore, the application of positive or negative sideslip resulted in substantial variations in the side force coefficient, reaching values of up to ±1.1 depending on the direction. By integrating experimental data with statistical analysis of real aircraft geometries, this study provides reliable quantitative benchmarks and highlights the vertical tail’s aerodynamic importance.
Full article

Figure 1
Open AccessArticle
Structural Health Monitoring of a Lamina in Unsteady Water Flow Using Modal Reconstruction Algorithms
by
Gabriele Liuzzo, Stefano Meloni and Pierluigi Fanelli
Fluids 2025, 10(11), 276; https://doi.org/10.3390/fluids10110276 - 22 Oct 2025
Abstract
►▼
Show Figures
Ensuring the structural integrity of mechanical components operating in fluid environments requires precise and reliable monitoring techniques. This study presents a methodology for reconstructing the full-field deformation of a flexible aluminium plate subjected to unsteady water flow in a water tunnel, using a
[...] Read more.
Ensuring the structural integrity of mechanical components operating in fluid environments requires precise and reliable monitoring techniques. This study presents a methodology for reconstructing the full-field deformation of a flexible aluminium plate subjected to unsteady water flow in a water tunnel, using a structural modal reconstruction approach informed by experimental data. The experimental setup involves an aluminium lamina (200 mm × 400 mm × 2.5 mm) mounted in a closed-loop water tunnel and exposed to a controlled flow with velocities up to 0.5 m/s, corresponding to Reynolds numbers on the order of , inducing transient deformations captured through an image-based optical tracking technique. The core of the methodology lies in reconstructing the complete deformation field of the structure by combining a reduced number of vibration modes derived from the geometry and boundary conditions of the system. The novelty of the present work consists in the integration of the Internal Strain Potential Energy Criterion (ISPEC) for mode selection with a data-driven machine learning framework, enabling real-time identification of active modal contributions from sparse experimental measurements. This approach allows for an accurate estimation of the dynamic response while significantly reducing the required sensor data and computational effort. The experimental validation demonstrates strong agreement between reconstructed and measured deflections, with normalised errors below 15% and correlation coefficients exceeding 0.94, confirming the reliability of the reconstruction. The results confirm that, even under complex, time-varying fluid–structure interactions, it is possible to achieve accurate and robust deformation reconstruction with minimal computational cost. This integrated methodology provides a reliable and efficient basis for structural health monitoring of flexible components in hydraulic and marine environments, bridging the gap between sparse measurement data and full-field dynamic characterisation.
Full article

Figure 1
Open AccessReview
Machine Learning Reshaping Computational Fluid Dynamics: A Paradigm Shift in Accuracy and Speed
by
Aly Mousaad Aly
Fluids 2025, 10(10), 275; https://doi.org/10.3390/fluids10100275 - 21 Oct 2025
Abstract
Accurate and efficient CFD simulations are essential for a wide range of engineering and scientific applications, from resilient structural design to environmental analysis. Traditional methods such as RANS simulations often face challenges in capturing complex flow phenomena like separation, while high-fidelity approaches including
[...] Read more.
Accurate and efficient CFD simulations are essential for a wide range of engineering and scientific applications, from resilient structural design to environmental analysis. Traditional methods such as RANS simulations often face challenges in capturing complex flow phenomena like separation, while high-fidelity approaches including Large Eddy Simulations and Direct Numerical Simulations demand significant computational resources, thereby limiting their practical applicability. This paper provides an in-depth synthesis of recent advancements in integrating artificial intelligence and machine learning techniques with CFD to enhance simulation accuracy, computational efficiency, and modeling capabilities, including data-driven surrogate models, physics-informed methods, and ML-assisted numerical solvers. This integration marks a crucial paradigm shift, transcending incremental improvements to fundamentally redefine the possibilities of fluid dynamics research and engineering design. Key themes discussed include data-driven surrogate models, physics-informed methods, ML-assisted numerical solvers, inverse design, and advanced turbulence modeling. Practical applications, such as wind load design for solar panels and deep learning approaches for eddy viscosity prediction in bluff body flows, illustrate the substantial impact of ML integration. The findings demonstrate that ML techniques can accelerate simulations by up to 10,000 times in certain cases while maintaining or improving the accuracy, particularly in challenging flow regimes. For instance, models employing learned interpolation can achieve 40- to 80-fold computational speedups while matching the accuracy of baseline solvers with a resolution 8 to 10 times finer. Other approaches, like Fourier Neural Operators, can achieve inference times three orders of magnitude faster than conventional PDE solvers for the Navier–Stokes equations. Such advancements not only accelerate critical engineering workflows but also open unprecedented avenues for scientific discovery in complex, nonlinear systems that were previously intractable with traditional computational methods. Furthermore, ML enables unprecedented advances in turbulence modeling, improving predictions within complex separated flow zones. This integration is reshaping fluid mechanics, offering pathways toward more reliable, efficient, and resilient engineering solutions necessary for addressing contemporary challenges.
Full article
(This article belongs to the Special Issue Machine Learning and Artificial Intelligence in Fluid Mechanics)
►▼
Show Figures

Figure 1
Open AccessArticle
Numerical Prediction of the NPSH Characteristics in Centrifugal Pumps
by
Matej Štefanič
Fluids 2025, 10(10), 274; https://doi.org/10.3390/fluids10100274 - 21 Oct 2025
Abstract
This study focuses on the numerical analysis of a centrifugal pump’s suction capability, aiming to reliably predict its suction performance characteristics. The main emphasis of the research was placed on the influence of different turbulence models, the quality of the computational mesh, and
[...] Read more.
This study focuses on the numerical analysis of a centrifugal pump’s suction capability, aiming to reliably predict its suction performance characteristics. The main emphasis of the research was placed on the influence of different turbulence models, the quality of the computational mesh, and the comparison between steady-state and unsteady numerical approaches. The results indicate that steady-state simulations provide an unreliable description of cavitation development, especially at lower flow rates where strong local pressure fluctuations are present. The unsteady k–ω SST model provides the best overall agreement with experimental NPSH3 characteristics, as confirmed by the lowest mean deviation (within the ISO 9906 tolerance band, corresponding to an overall uncertainty of ±5.5%) and by multiple operating points falling entirely within this range. This represents one of the first detailed unsteady CFD verifications of NPSH prediction in centrifugal pumps operating at high rotational speeds (above 2900 rpm), achieving a mean deviation below ±5.5% and demonstrating improved predictive capability compared to conventional steady-state approaches. The analysis also includes an evaluation of the cavitation volume fraction and a depiction of pressure conditions on the impeller as functions of flow rate and inlet pressure. In conclusion, this study highlights the potential of advanced hybrid turbulence models (such as SAS or DES) as a promising direction for future research, which could further improve the prediction of complex cavitation phenomena in centrifugal pumps.
Full article
(This article belongs to the Section Mathematical and Computational Fluid Mechanics)
►▼
Show Figures

Figure 1
Open AccessArticle
Numerical Investigation of Gas Flow Rate Optimization for Enhanced Mixing in RH Degassing
by
Nihal Saji, Kiranchandru Lingeswaran, Xipeng Guo, Nicholas J. Walla, Rudolf Moravec and Chenn Zhou
Fluids 2025, 10(10), 273; https://doi.org/10.3390/fluids10100273 - 21 Oct 2025
Abstract
Optimizing the operational parameters of an RH degasser is essential for increasing the production of high-quality steel while reducing energy and resource consumption. This paper presents a study on the impact of different injection gas flow rates on the mixing characteristics of an
[...] Read more.
Optimizing the operational parameters of an RH degasser is essential for increasing the production of high-quality steel while reducing energy and resource consumption. This paper presents a study on the impact of different injection gas flow rates on the mixing characteristics of an industrial-scale RH degasser and evaluates the optimal flow rate for achieving the lowest mixing time. A 3D simulation model was developed using a VOF–DPM framework, with gas flow rates being varied from 18 to 72 SCFM to assess mixing time and associated flow behavior. The results indicate that the mixing time has a non-linear relationship with the gas flow rate, and increasing the flow rate does not always lead to a reduced mixing time. A flow rate of 45 SCFM (a 1.5-fold increase from 18 SCFM) provided the best mixing efficiency, reducing the mixing time by 52%. Additionally, beyond 36 SCFM, a saturation limit was observed in the circulation rate, where further increases in the gas flow rate resulted in a less than 5% improvement in steel flowing through the snorkels. These findings highlight the need for careful evaluation of injection gas flow rates in RH operations to identify the optimal value that maximizes mixing efficiency, minimizes resource consumption, and enhances productivity by enabling greater steel output in less time.
Full article
(This article belongs to the Special Issue Computational Fluid Dynamics Applied to Transport Phenomena)
►▼
Show Figures

Figure 1
Open AccessArticle
RIM-PIV Measurements of Solid–Liquid Flow in a Stirred Tank Used for Mesenchymal Stem Cell Culture
by
Mohamad Madani, Angélique Delafosse, Sébastien Calvo and Dominique Toye
Fluids 2025, 10(10), 272; https://doi.org/10.3390/fluids10100272 - 20 Oct 2025
Abstract
Mesenchymal stem cells are widely cultivated in stirred tank bioreactors. Due to their adhesion properties, they are attached to small spherical spheres called microcarriers. To understand the hydromechanical stresses encountered by the cells, it is essential to characterize the flow using the PIV
[...] Read more.
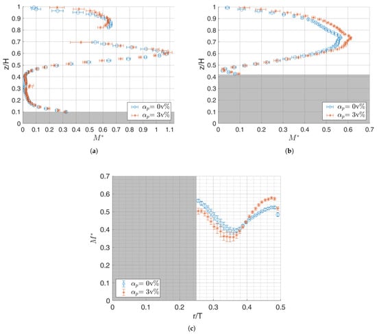
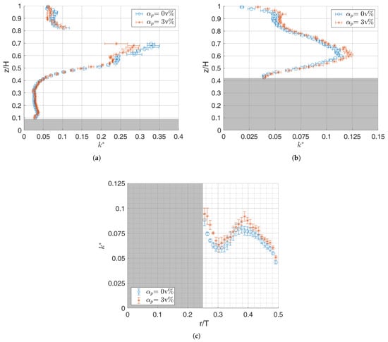
Mesenchymal stem cells are widely cultivated in stirred tank bioreactors. Due to their adhesion properties, they are attached to small spherical spheres called microcarriers. To understand the hydromechanical stresses encountered by the cells, it is essential to characterize the flow using the PIV technique. However, the usual solid–liquid system used in cell cultures has poor optical properties. Thus, shifting to one with better optical properties, while respecting the physical characteristics, is mandatory to achieve a relevant representation. PMMA microparticles suspended with 61 wt% ammonium thiocyanate solution NH4SCN were found to be a robust candidate. The refractive index (RI) of both sides is of the order of 1.491 with a density ratio of 0.96, and particle size averaged around 168 μm. Using the RIM-PIV (refractive index matched particle image velocimetry) technique for a 0.7 L volume stirred tank equipped with an HTPG down-pumping axial impeller and operating at full homogeneous speed rpm, mean and turbulence quantities of the liquid phase were measured as a function of PMMA particle volume fractions , which ranged from 0.5 to 3 v%. This corresponds to a particle number density of particles/mm3, which is considered original and challenging for the PIV technique. At 3 v%, the addition of particles dampened the turbulent kinetic energy (TKE) of the liquid phase locally by 20% near the impeller. This impact became trivial (<10%) at the local-average level. The structure and direction of the recirculation loop also shifted.
Full article
(This article belongs to the Special Issue Flow Visualization: Experiments and Techniques, 2nd Edition)
►▼
Show Figures

Figure 1
Open AccessArticle
Numerical Investigation on Flow Separation Control for Aircraft Serpentine Intake with Coanda Injector
by
Zhan Fu, Zhixu Jin, Wenqiang Zhang, Tao Yang, Jichao Li and Jun Shen
Fluids 2025, 10(10), 271; https://doi.org/10.3390/fluids10100271 - 20 Oct 2025
Abstract
Modern military aircraft integrate a large number of high-power-density electronic devices, which leads to a rapid increase in thermal load and poses significant challenges for heat dissipation. A promising thermal management approach is to intake ram air through a fuselage-mounted S-duct inlet and
[...] Read more.
Modern military aircraft integrate a large number of high-power-density electronic devices, which leads to a rapid increase in thermal load and poses significant challenges for heat dissipation. A promising thermal management approach is to intake ram air through a fuselage-mounted S-duct inlet and utilize it as a heat sink for the downstream heat exchanger. However, the S-duct’s geometry can induce significant flow separation and total pressure distortion, thereby limiting the mass flow rate. To address these challenges, this study investigates three flow-control strategies—vortex generators (VGs), Coanda injectors, and their combination—using high-fidelity three-dimensional numerical simulations validated against experimental data. The results indicate that VGs effectively suppress local separation and improve flow uniformity, although additional losses limit pressure recovery. The Coanda injector enhances boundary-layer momentum, substantially increasing mass flow throughput and pressure recovery. The combined VGs and Coanda injector approach achieves a lower distortion coefficient and provides a favorable balance between pressure recovery and flow uniformity. These findings demonstrate the potential of hybrid passive–active flow control in improving inlet aerodynamic quality and supporting integrated thermal management systems for future aircraft.
Full article
(This article belongs to the Section Mathematical and Computational Fluid Mechanics)
►▼
Show Figures

Figure 1
Open AccessArticle
Passive Control of Boundary-Layer Separation on a Wind Turbine Blade Using Varying-Parameter Flow Deflector
by
Xin Chen, Jiaqian Qiu, Junwei Zhong, Chaolei Zhang and Yufeng Gan
Fluids 2025, 10(10), 270; https://doi.org/10.3390/fluids10100270 - 16 Oct 2025
Abstract
Horizontal-axis wind turbines are widely used for wind energy harvesting, but they often encounter flow separation near the blade root, leading to power loss and structural fatigue. A varying-parameter flow deflector (FD) is proposed as a passive flow control method. The FD adopts
[...] Read more.
Horizontal-axis wind turbines are widely used for wind energy harvesting, but they often encounter flow separation near the blade root, leading to power loss and structural fatigue. A varying-parameter flow deflector (FD) is proposed as a passive flow control method. The FD adopts varying parameters along the blade spanwise direction to match the varying local angle of attack. Numerical simulation using the transition SST k-ω turbulence model combined with the response-surface methodology are used to investigate the effect of the varying-parameter FD on the flow structure and aerodynamic performance of the NREL Phase VI wind turbine. The results indicate that optimal performance can be achieved when the normal position of the FD increases from the blade root to the tip, and the install angle of the FD should be greater than 62° at blade section of r/R = 63.1%. Furthermore, response-surface methodology was employed to optimize the deflector parameters, with analysis of variance revealing the relative significance of geometric factors (l1 > l2 > θ1 > θ2). Compared with the original blade, the shaft torque of the controlled blade with the optimal FD is improved by 24.7% at 10 m/s.
Full article
(This article belongs to the Special Issue Industrial CFD and Fluid Modelling in Engineering, 3rd Edition)
►▼
Show Figures

Figure 1
Open AccessArticle
Influence of Bubble Shape on Mass Transfer in Multiphase Media: CFD Analysis of Concentration Gradients
by
Irina Nizovtseva, Pavel Mikushin, Ilya Starodumov, Ksenia Makhaeva, Margarita Nikishina, Sergey Vikharev, Olga Averkova, Dmitri Alexandrov, Dmitrii Chernushkin and Sergey Lezhnin
Fluids 2025, 10(10), 269; https://doi.org/10.3390/fluids10100269 - 16 Oct 2025
Abstract
Our study investigates how non-spherical bubble shapes influence gas–liquid mass transfer across the bubble interface. An analytical shape descriptor, namely Superformula, is used to parametrically define the bubble interface, enabling efficient CFD simulations over a range of Reynolds ( ) and
[...] Read more.
Our study investigates how non-spherical bubble shapes influence gas–liquid mass transfer across the bubble interface. An analytical shape descriptor, namely Superformula, is used to parametrically define the bubble interface, enabling efficient CFD simulations over a range of Reynolds ( ) and Eötvös ( ) numbers. By prescribing the bubble geometry analytically, we avoid expensive interface-capturing simulations and directly compute the concentration field without transient boundary shape pre-equilibration. The represented approach is computationally efficient and captures the impact of bubble shape and flow parameters on the dissolved gas concentration gradients in the surrounding liquid. Results show that bubble deformation alters the distribution of dissolved gas around the bubble and the overall mass transfer rate, with higher enhancing convective transport and higher (more deformed bubbles), leading to anisotropic concentration boundary layers. The developed framework not only advances a fundamental understanding of bubble-driven mass transfer mechanisms but also directly addresses industrial needs, particularly in optimizing oxygen delivery within bioreactors contour and similar aerated processes. The proposed efficient modeling strategy provides a basis for developing fast surrogate tools in hybrid modeling frameworks, where high-fidelity CFD insights are incorporated into larger-scale multiphase process simulations.
Full article
(This article belongs to the Special Issue Advances in Multiphase Flow Science and Technology, 2nd Edition)
►▼
Show Figures

Figure 1
Open AccessArticle
A Verification of the Two-Fluid Model with Interfacial Inertial Coupling
by
Raghav Ram, Martín López-de-Bertodano, James A. Howard and Alejandro Clausse
Fluids 2025, 10(10), 268; https://doi.org/10.3390/fluids10100268 - 14 Oct 2025
Abstract
The two-fluid model (TFM) has become a foundational tool in numerical codes used for engineering analyses of two-phase flows in energy systems. However, its completeness remains a topic of debate because improper modeling of interfacial inertial coupling can render the momentum conservation equations
[...] Read more.
The two-fluid model (TFM) has become a foundational tool in numerical codes used for engineering analyses of two-phase flows in energy systems. However, its completeness remains a topic of debate because improper modeling of interfacial inertial coupling can render the momentum conservation equations elliptic. This issue leads to short wavelength perturbations growing at an infinite rate. This paper demonstrates the practical feasibility of incorporating variational inertial-coupling terms into an industrial CFD TFM code to ensure it is well-posed without the need for regularization. For verification, two special cases with exact analytical solutions of the TFM equations are utilized, exhibiting convergence at a mesh resolution of 1 mm.
Full article
(This article belongs to the Special Issue Industrial CFD and Fluid Modelling in Engineering, 3rd Edition)
►▼
Show Figures

Figure 1
Journal Menu
► ▼ Journal Menu-
- Fluids Home
- Aims & Scope
- Editorial Board
- Topical Advisory Panel
- Instructions for Authors
- Special Issues
- Topics
- Sections & Collections
- Article Processing Charge
- Indexing & Archiving
- Editor’s Choice Articles
- Most Cited & Viewed
- Journal Statistics
- Journal History
- Journal Awards
- Society Collaborations
- Conferences
- Editorial Office
Journal Browser
► ▼ Journal BrowserHighly Accessed Articles
Latest Books
E-Mail Alert
News
Topics
Topic in
Applied Sciences, Energies, Fluids, Materials, Mathematics, Micromachines
Fluid Mechanics, 2nd Edition
Topic Editors: Sihui Hong, Chaobin Dang, Shuangfeng WangDeadline: 31 December 2025
Topic in
Entropy, Fluids, Mathematics, Dynamics, Applied Sciences, Physics
Advanced Multiscale Techniques and Wavelet Analysis in Turbulent Flow Studies
Topic Editors: Xiaojing Zheng, Youhe Zhou, Jizeng WangDeadline: 31 March 2026
Topic in
Applied Sciences, Energies, Fluids, Mathematics, Processes
Heat and Mass Transfer in Engineering
Topic Editors: Vasily Novozhilov, Xiaohu YangDeadline: 30 September 2026
Topic in
Applied Sciences, Energies, Fluids, Materials, Processes, Solar
Advanced Heat and Mass Transfer Technologies, 2nd Edition
Topic Editors: Xinjian Liu, Ziming ChengDeadline: 31 October 2026
Conferences
Special Issues
Special Issue in
Fluids
Convective Flows and Heat Transfer
Guest Editors: Abdelkader Mojtabi, Rachid BennacerDeadline: 30 November 2025
Special Issue in
Fluids
Flow Control Across Varying Length Scales: Nanofluidics, Microfluidics and Millifluidics
Guest Editors: Jinyuan Qian, Zhijiang Jin, Wenqing Li, Zhenhao LinDeadline: 20 December 2025
Special Issue in
Fluids
Quantum Computing for Flow Simulations
Guest Editors: Surya Vanka, Ramesh AgarwalDeadline: 30 December 2025
Special Issue in
Fluids
CFD Applications in Environmental Engineering
Guest Editors: Filiberto Hueyotl-Zahuantitla, Mario Aguirre LópezDeadline: 31 December 2025
Topical Collections
Topical Collection in
Fluids
Advances in Flow of Multiphase Fluids and Granular Materials
Collection Editors: Goodarz Ahmadi, Pouyan Talebizadeh Sardari
Topical Collection in
Fluids
Challenges and Advances in Heat and Mass Transfer
Collection Editor: D. Andrew S. Rees
Topical Collection in
Fluids
Advances in Geophysical Fluid Dynamics
Collection Editors: Jean Reinaud, Pavel Berloff



