Properties of Dislocation Drag from Phonon Wind at Ambient Conditions
Abstract
1. Introduction
2. Phonon Wind in the Semi-Isotropic Approach
2.1. Steady State Dislocations and Slip Geometries
2.2. The Low Velocity Limit
2.3. High Velocity Limit
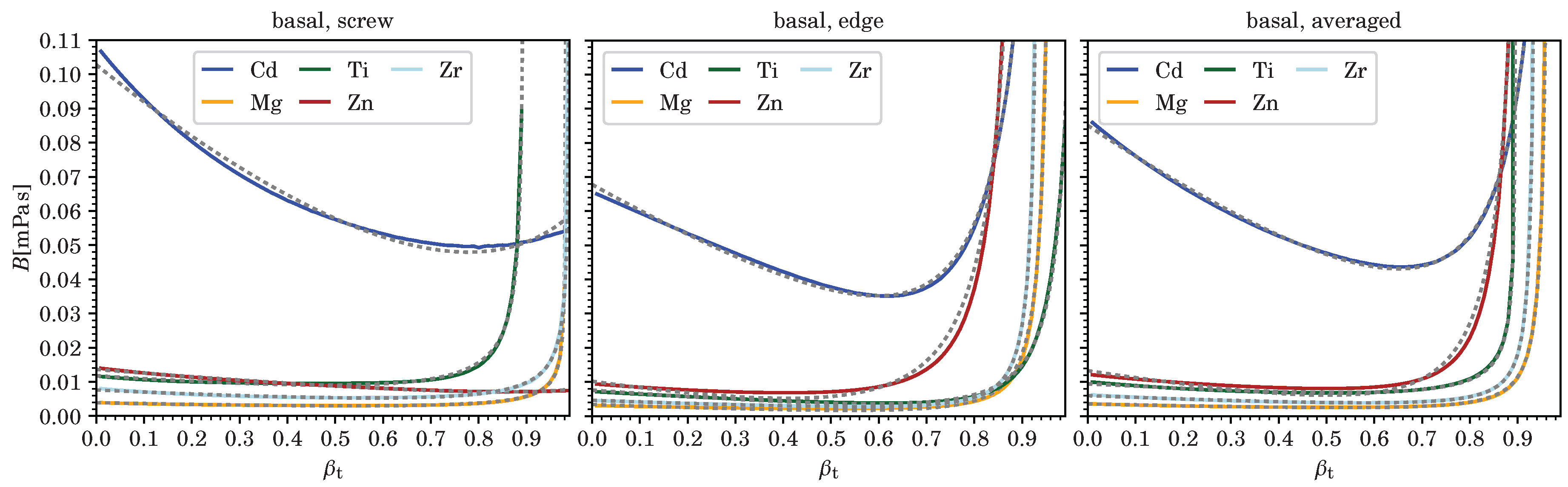
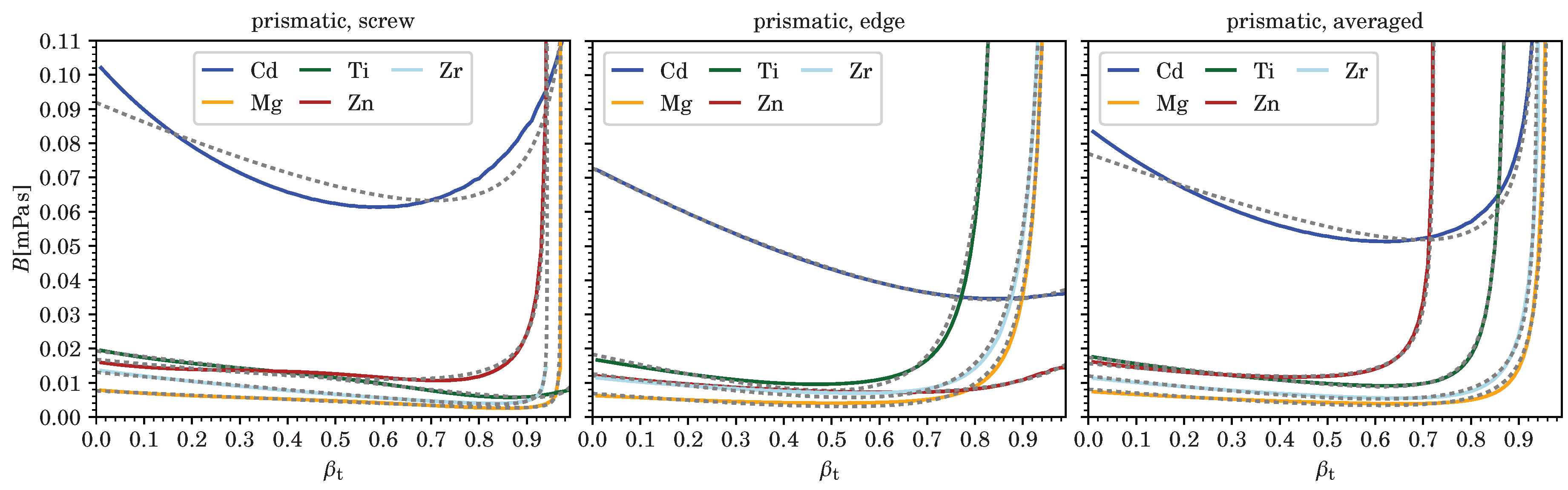
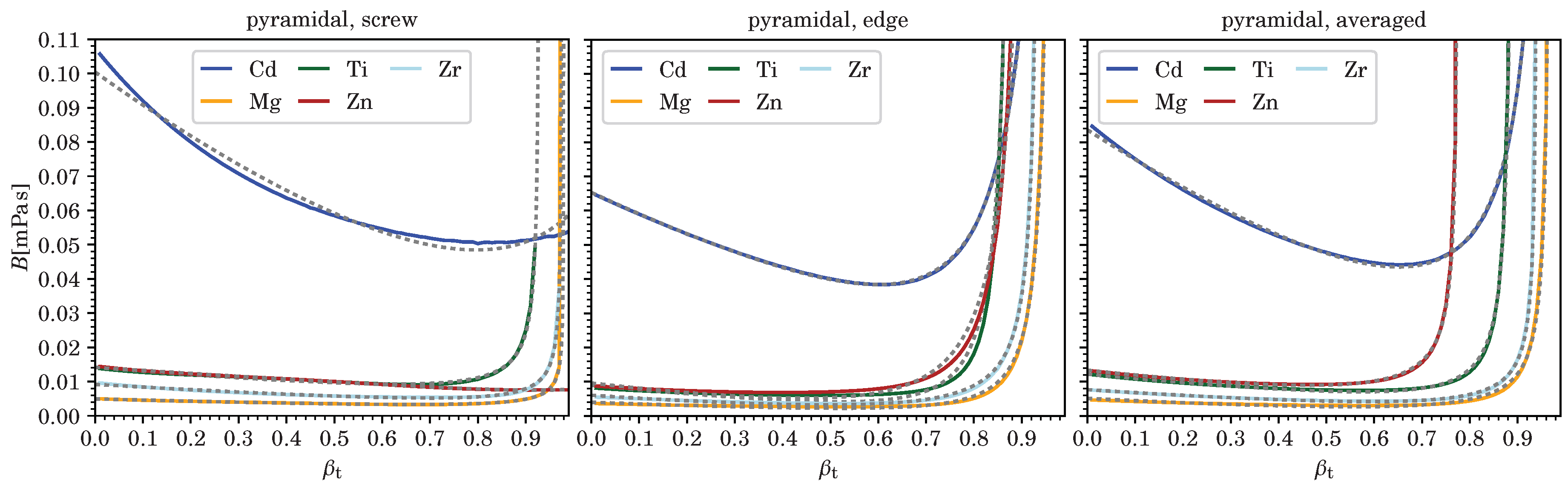
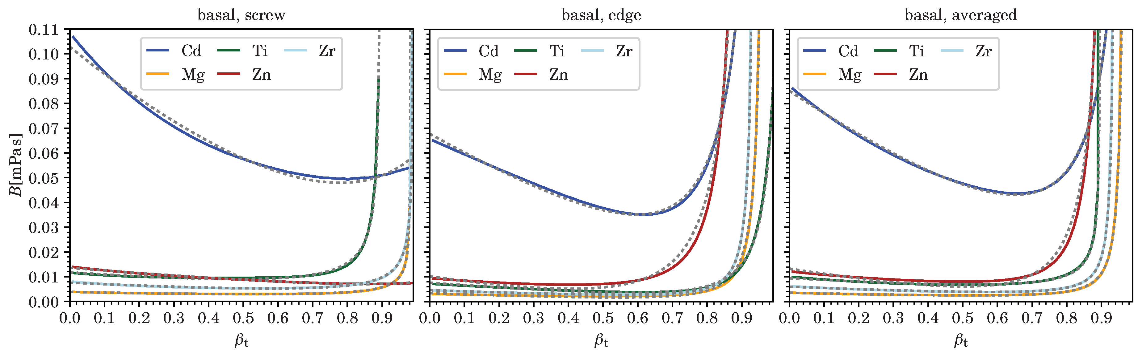
3. Results and Their Effective Functional Form
Funding
Acknowledgments
Conflicts of Interest
References
- Krasnikov, V.S.; Kuksin, A.Yu.; Mayer, A.E.; Yanilkin, A.V. Plastic deformation under high-rate loading: The multiscale approach. Phys. Solid State 2010, 52, 1386–1396. [Google Scholar] [CrossRef]
- Barton, N.R.; Bernier, J.V.; Becker, R.; Arsenlis, A.; Cavallo, R.; Marian, J.; Rhee, M.; Park, H.S.; Remington, B.A.; Olson, R.T. A multiscale strength model for extreme loading conditions. J. Appl. Phys. 2011, 109, 073501. [Google Scholar] [CrossRef]
- Hansen, B.L.; Beyerlein, I.J.; Bronkhorst, C.A.; Cerreta, E.K.; Dennis-Koller, D. A dislocation-based multi-rate single crystal plasticity model. Int. J. Plast. 2013, 44, 129–146. [Google Scholar] [CrossRef]
- Hunter, A.; Preston, D.L. Analytic model of the remobilization of pinned glide dislocations from quasi-static to high strain rates. Int. J. Plast. 2015, 70, 1–29. [Google Scholar] [CrossRef]
- Borodin, E.N.; Mayer, A.E. Structural model of mechanical twinning and its application for modeling of the severe plastic deformation of copper rods in Taylor impact tests. Int. J. Plast. 2015, 74, 141–157. [Google Scholar] [CrossRef]
- Luscher, D.J.; Mayeur, J.R.; Mourad, H.M.; Hunter, A.; Kenamond, M.A. Coupling continuum dislocation transport with crystal plasticity for application to shock loading conditions. Int. J. Plast. 2016, 76, 111–129. [Google Scholar] [CrossRef]
- Austin, R.A. Elastic precursor wave decay in shock-compressed aluminum over a wide range of temperature. J. Appl. Phys. 2018, 123, 035103. [Google Scholar] [CrossRef]
- Olmsted, D.L.; Hector, L.G. Jr.; Curtin, W.A.; Clifton, R.J. Atomistic simulations of dislocation mobility in Al, Ni and Al/Mg alloys. Mod. Simul. Mater. Sci. Eng. 2005, 13, 371. [Google Scholar] [CrossRef]
- Marian, J.; Caro, A. Moving dislocations in disordered alloys: Connecting continuum and discrete models with atomistic simulations. Phys. Rev. 2006, B74, 024113. [Google Scholar] [CrossRef]
- Wang, Z.Q.; Beyerlein, I.J. Stress orientation and relativistic effects on the separation of moving screw dislocations. Phys. Rev. 2008, B77, 184112. [Google Scholar] [CrossRef]
- Gilbert, M.R.; Queyreau, S.; Marian, J. Stress and temperature dependence of screw dislocation mobility in α-Fe by molecular dynamics. Phys. Rev. 2011, B84, 174103. [Google Scholar] [CrossRef]
- Daphalapurkar, N.P.; Wilkerson, J.W.; Wright, T.W.; Ramesh, K.T. Kinetics of a fast moving twin boundary in nickel. Acta Mater. 2014, 68, 82–92. [Google Scholar] [CrossRef]
- Blaschke, D.N. Velocity dependent dislocation drag from phonon wind and crystal geometry. J. Phys. Chem. Solids 2019, 124, 24–35. [Google Scholar] [CrossRef]
- Blaschke, D.N.; Mottola, E.; Preston, D.L. On the Velocity Dependence of the Dislocation Drag Coefficient from Phonon Wind; Technical Report LA-UR-16-24559; Los Alamos Natl. Lab.: Los Alamos, NM, USA, 2018. [Google Scholar]
- Alshits, V.I. The Phonon-Dislocation Interaction and its Role in Dislocation Dragging and Thermal Resistivity. In Elastic Strain Fields and Dislocation Mobility; Indenbom, V.L., Lothe, J., Eds.; Elsevier: Amsterdam, The Netherlands, 1992; pp. 625–697, Volume 31 of Modern Problems in Condensed Matter Sciences. [Google Scholar]
- Rosakis, P. Supersonic Dislocation Kinetics from an Augmented Peierls Model. Phys. Rev. Lett. 2001, 86, 95–98. [Google Scholar] [CrossRef] [PubMed]
- Li, Q.; Shi, S.Q. Dislocation jumping over the sound barrier in tungsten. Appl. Phys. Lett. 2002, 80, 3069–3071. [Google Scholar] [CrossRef]
- Jin, Z.; Gao, H.; Gumbsch, P. Energy radiation and limiting speeds of fast moving edge dislocations in tungsten. Phys. Rev. 2008, B77, 094303. [Google Scholar] [CrossRef]
- Ruestes, C.J.; Bringa, E.M.; Rudd, R.E.; Remington, B.A.; Remington, T.P.; Meyers, M.A. Probing the character of ultra-fast dislocations. Sci. Rep. 2015, 5, 16892. [Google Scholar] [CrossRef] [PubMed]
- Blaschke, D.N.; Szajewski, B.A. Line tension of a dislocation moving through an anisotropic crystal. Phil. Mag. 2018, 98, 2397–2424. [Google Scholar] [CrossRef]
- Markenscoff, X.; Huang, S. The energetics of dislocations accelerating and decelerating through the shear-wave speed barrier. Appl. Phys. Lett. 2009, 94, 021906. [Google Scholar] [CrossRef]
- Pellegrini, Y.P. Dynamic Peierls-Nabarro equations for elastically isotropic crystals. Phys. Rev. 2010, B81, 024101. [Google Scholar] [CrossRef]
- Pellegrini, Y.P. Causal Stroh formalism for uniformly-moving dislocations in anisotropic media: Somigliana dislocations and Mach cones. Wave Motion 2017, 68, 128–148. [Google Scholar] [CrossRef]
- Blaschke, D.N. PyDislocDyn. Available online: https://github.com/dblaschke-LANL/PyDislocDyn (accessed on 20 March 2019).
- Al’shits, V.I.; Mitlianskij, M.D.; Kotowski, R.K. The phonon wind as a non-linear mechanism of dislocation dragging. Arch. Mech. 1979, 31, 91–105. [Google Scholar]
- Brailsford, A.D. Anharmonicity Contributions to Dislocation Drag. J. Appl. Phys. 1972, 43, 1380–1393. [Google Scholar] [CrossRef]
- Bacon, D.J.; Barnett, D.M.; Scattergood, R.O. Anisotropic continuum theory of lattice defects. Prog. Mater. Sci. 1980, 23, 51–262. [Google Scholar] [CrossRef]
- Hirth, J.P.; Lothe, J. Theory of Dislocations, 2nd ed.; Wiley: New York, NY, USA, 1982. [Google Scholar]
- Clouet, E. Dislocation core field. I. Modeling in anisotropic linear elasticity theory. Phys. Rev. 2011, B84, 224111. [Google Scholar] [CrossRef]
- Szajewski, B.A.; Hunter, A.; Beyerlein, I.J. The core structure and recombination energy of a copper screw dislocation: A Peierls study. Phil. Mag. 2017, 97, 2143–2163. [Google Scholar] [CrossRef]
- Pellegrini, Y.P. Uniformly-moving non-singular dislocations with ellipsoidal core shape in anisotropic media. J. Micromech. Molec. Phys. 2018, 3, 1840004. [Google Scholar] [CrossRef]
- Boleininger, M.; Swinburne, T.D.; Dudarev, S.L. Atomistic-to-continuum description of edge dislocation core: Unification of the Peierls-Nabarro model with linear elasticity. Phys. Rev. Mater. 2018, 2, 083803. [Google Scholar] [CrossRef]
- Blaschke, D.N.; Szajewski, B.A. 2019; work in progress.
- Blaschke, D.N. Averaging of elastic constants for polycrystals. J. Appl. Phys. 2017, 122, 145110. [Google Scholar] [CrossRef]
- Rumble, J.R. (Ed.) CRC Handbook of Chemistry and Physics, 99th ed.; CRC Press: Boca Raton, FL, USA, 2018. [Google Scholar]
- Hertzberg, R.W.; Vinci, R.P.; Hertzberg, J.L. Deformation and Fracture Mechanics of Engineering Materials, 5th ed.; Wiley: Hoboken, NJ, USA, 2012. [Google Scholar]
- Kaye, G.W.C.; Laby, T.H. Tables of Physical and Chemical Constants. web edition. Available online: www.kayelaby.npl.co.uk/ (accessed on 24 September 2018).
- Thomas, J.F. Third-Order Elastic Constants of Aluminum. Phys. Rev. 1968, 175, 955–962. [Google Scholar] [CrossRef]
- Hiki, Y.; Granato, A.V. Anharmonicity in Noble Metals; Higher Order Elastic Constants. Phys. Rev. 1966, 144, 411–419. [Google Scholar] [CrossRef]
- Powell, B.E.; Skove, M.J. Linear and volume compressibilities and isothermal third-order elastic constants. J. Appl. Phys. 1984, 56, 1548–1549. [Google Scholar] [CrossRef]
- Voronov, F.F.; Prokhurov, V.M.; Gromnitskaya, E.L.; Ilina, G.G. Second- and third-order elastic moduli of a molybdenum single crystal. Phys. Met. Metallogr. 1978, 45, 123. [Google Scholar]
- Graham, L.J.; Nadler, H.; Chang, R. Third-Order Elastic Constants of Single-Crystal and Polycrystalline Columbium. J. Appl. Phys. 1968, 39, 3025–3033. [Google Scholar] [CrossRef]
- Riley, M.W.; Skove, M.J. Higher-Order Elastic Constants of Copper and Nickel Whiskers. Phys. Rev. 1973, B8, 466–474. [Google Scholar] [CrossRef]
- Brugger, K. Pure Modes for Elastic Waves in Crystals. J. Appl. Phys. 1965, 36, 759–768. [Google Scholar] [CrossRef]
- Saunders, G.A.; Yoğurtçu, Y.K. The effect of hydrostatic and uniaxial pressure on the elastic constants of cadmium. J. Phys. Chem. Solids 1986, 47, 421–427. [Google Scholar] [CrossRef]
- Naimon, E.R. Third-Order Elastic Constants of Magnesium. I. Experimental. Phys. Rev. 1971, B4, 4291–4296. [Google Scholar] [CrossRef]
- Ramji Rao, R.; Menon, C.S. Lattice Dynamics, Third-Order Elastic Constants, and Thermal Expansion of Titanium. Phys. Rev. 1973, B7, 644–650. [Google Scholar] [CrossRef]
- Swartz, K.D.; Elbaum, C. Third-Order Elastic Constants of Zinc. Phys. Rev. 1970, B1, 1512–1517. [Google Scholar] [CrossRef]
- Singh, A.; Rathore, R.P.S.; Agrawal, R.M. Phonons and elastic constants for scandium, zirconium and magnesium. Acta Phys. Hung. 1992, 72, 133–140. [Google Scholar]
- Blaschke, D.N.; Burakovsky, L.; Preston, D.L. 2019; work in progress.
- Hikata, A.; Johnson, R.A.; Elbaum, C. Interaction of Dislocations with Electrons and with Phonons. Phys. Rev. 1970, B2, 4856–4863. [Google Scholar] [CrossRef]
- Gorman, J.A.; Wood, D.S.; Vreeland Jr., T. Mobility of Dislocations in Aluminum. J. Appl. Phys. 1969, 40, 833–841. [Google Scholar] [CrossRef]
- Parameswaran, V.R.; Urabe, N.; Weertman, J. Dislocation Mobility in Aluminum. J. Appl. Phys. 1972, 43, 2982–2986. [Google Scholar] [CrossRef]
- Suzuki, T.; Ikushima, A.; Aoki, M. Acoustic attenuation studies of the frictional force on a fast moving dislocation. Acta Met. 1964, 12, 1231–1240. [Google Scholar] [CrossRef]
- Zaretsky, E.B.; Kanel, G.I. Response of copper to shock-wave loading at temperatures up to the melting point. J. Appl. Phys. 2013, 114, 083511. [Google Scholar] [CrossRef]
- Stern, R.M.; Granato, A.V. Overdamped resonance of dislocations in copper. Acta Met. 1962, 10, 358–381. [Google Scholar] [CrossRef]
- Greenman, W.F.; Vreeland Jr., T.; Wood, D.S. Dislocation Mobility in Copper. J. Appl. Phys. 1967, 38, 3595–3603. [Google Scholar] [CrossRef]
- Alers, G.A.; Thompson, D.O. Dislocation Contributions to the Modulus and Damping in Copper at Megacycle Frequencies. J. Appl. Phys. 1961, 32, 283–293. [Google Scholar] [CrossRef]
- Yanilkin, A.V.; Krasnikov, V.S.; Kuksin, A.Yu.; Mayer, A.E. Dynamics and kinetics of dislocations in Al and Al-Cu alloy under dynamic loading. Int. J. Plast. 2014, 55, 94–107. [Google Scholar] [CrossRef]
- Cho, J.; Molinari, J.F.; Anciaux, G. Mobility law of dislocations with several character angles and temperatures in FCC aluminum. Int. J. Plast. 2017, 90, 66–75. [Google Scholar] [CrossRef]
- Oren, E.; Yahel, E.; Makov, G. Dislocation kinematics: A molecular dynamics study in Cu. Mod. Simul. Mater. Sci. Eng. 2017, 25, 025002. [Google Scholar] [CrossRef]
- Urabe, N.; Weertman, J. Dislocation mobility in potassium and iron single crystals. Mater. Sci. Eng. 1975, 18, 41–49. [Google Scholar] [CrossRef]
- Pope, D.P.; Vreeland, T., Jr. Mobility of basal dislocations in zinc. Phil. Mag. 1969, 20, 1163–1176. [Google Scholar] [CrossRef]
- Jassby, K.M.; Vreeland, T., Jr. Investigation of pyramidal edge and screw dislocation mobility in zinc by a compressional stress pulse technique. Mater. Sci. Eng. 1977, 27. [Google Scholar] [CrossRef]
- Weinberger, C.R. Dislocation drag at the nanoscale. Acta Mater. 2010, 58, 6535–6541. [Google Scholar] [CrossRef]
- Bitzek, E.; Gumbsch, P. Atomistic study of drag, surface and inertial effects on edge dislocations in face-centered cubic metals. Mater. Sci. Eng. 2004, A387–A389, 11–15. [Google Scholar] [CrossRef]





| Ag | Al | Au | Cu | Fe | Mo | Nb | Ni | |
|---|---|---|---|---|---|---|---|---|
| a (Å) | 4.09 | 4.05 | 4.08 | 3.61 | 2.87 | 3.15 | 3.30 | 3.52 |
| (g/ccm) | 10.50 | 2.70 | 19.30 | 8.96 | 7.87 | 10.20 | 8.57 | 8.90 |
| (GPa) | 83.6 | 58.1 | 198.0 | 105.5 | 115.5 | 176.4 * | 144.5 | 126.1 |
| (GPa) | 30.3 | 26.1 | 27.0 | 48.3 | 81.6 | 125.0 * | 37.5 | 76.0 |
| 123.99 | 106.75 | 192.44 | 168.30 | 226.00 | 463.70 | 246.50 | 248.10 | |
| 93.67 | 60.41 | 162.98 | 121.20 | 140.00 | 157.80 | 134.50 | 154.90 | |
| 46.12 | 28.34 | 42.00 | 75.70 | 116.00 | 109.20 | 28.73 | 124.20 | |
| A | 3.04 | 1.22 | 2.85 | 3.21 | 2.70 | 0.71 | 0.51 | 2.67 |
| 189 | 36 | |||||||
| 56 | ||||||||
| 83 | 137 |
| (hcp) | Cd | Mg | Ti | Zn | Zr |
|---|---|---|---|---|---|
| a (Å) | 2.98 | 3.21 | 2.95 | 2.67 | 3.23 |
| c (Å) | 5.62 | 5.21 | 4.68 | 4.95 | 5.15 |
| (g/ccm) | 8.69 | 1.74 | 4.51 | 7.13 | 6.52 |
| (GPa) | 28.8 | 24.1 | 78.5 | 43.1 | 71.3 * |
| (GPa) | 19.2 | 17.3 | 43.8 | 43.4 | 36.0 * |
| 114.50 | 59.50 | 162.40 | 163.68 | 143.40 | |
| 39.50 | 26.12 | 92.00 | 36.40 | 72.80 | |
| 19.85 | 16.35 | 46.70 | 38.79 | 32.00 | |
| 39.90 | 21.80 | 69.00 | 53.00 | 65.30 | |
| 50.85 | 61.55 | 180.70 | 63.47 | 164.80 | |
| 37 | |||||
| 227 | 37 | ||||
| 30 | 17 | ||||
| 117 | 250 | ||||
| Ag | Al | Au | Cu | Fe | Mo | Nb | Ni | |
|---|---|---|---|---|---|---|---|---|
| 1699 | 3109 | 1183 | 2322 | 3220 | 3501 | 2092 | 2922 | |
| 0.707 | 0.942 | 0.739 | 0.698 | 0.852 | 1.033 | 1.026 | 0.783 | |
| 1202 | 2929 | 874 | 1621 | 2745 | 3615 | 2147 | 2288 | |
| 0.973 | 1.005 | 0.996 | 0.976 | 0.803 | 0.987 | 0.955 | 1.036 | |
| 1652 | 3126 | 1178 | 2267 | 2585 | 3457 | 1997 | 3027 | |
| 0.707 | 0.942 | 0.739 | 0.698 | 0.726 | 0.935 | 0.875 | 0.783 | |
| 1202 | 2929 | 874 | 1621 | 2337 | 3272 | 1831 | 2288 | |
| Basal | Cd | Mg | Ti | Zn | Zr |
|---|---|---|---|---|---|
| 1486 | 3153 | 3118 | 2466 | 2350 | |
| 1.017 | 0.972 | 1.033 | 0.943 | 0.943 | |
| 1511 | 3065 | 3219 | 2326 | 2215 | |
| 1.398 | 0.982 | 0.896 | 1.211 | 0.990 | |
| 2077 | 3097 | 2795 | 2987 | 2327 | |
| 1.017 | 0.972 | 0.896 | 0.943 | 0.943 | |
| 1511 | 3065 | 2795 | 2326 | 2215 | |
| Prismatic | Cd | Mg | Ti | Zn | Zr |
|---|---|---|---|---|---|
| 1486 | 3153 | 3118 | 2466 | 2350 | |
| 1.398 | 0.982 | 0.896 | 1.211 | 0.990 | |
| 2077 | 3097 | 2795 | 2987 | 2327 | |
| 1.017 | 0.972 | 1.033 | 0.945 | 0.943 | |
| 1511 | 3065 | 3219 | 2332 | 2215 | |
| 0.948 | 0.972 | 0.896 | 0.724 | 0.943 | |
| 1409 | 3065 | 2795 | 1786 | 2215 | |
| Pyramidal | Cd | Mg | Ti | Zn | Zr |
|---|---|---|---|---|---|
| 1486 | 3153 | 3118 | 2466 | 2350 | |
| 1.017 | 0.972 | 0.896 | 0.945 | 0.943 | |
| 1511 | 3065 | 2795 | 2332 | 2215 | |
| 1.278 | 0.979 | 0.930 | 1.132 | 0.976 | |
| 1900 | 3088 | 2898 | 2792 | 2294 | |
| 0.975 | 0.972 | 0.896 | 0.775 | 0.943 | |
| 1450 | 3065 | 2795 | 1911 | 2215 | |
© 2019 by the author. Licensee MDPI, Basel, Switzerland. This article is an open access article distributed under the terms and conditions of the Creative Commons Attribution (CC BY) license (http://creativecommons.org/licenses/by/4.0/).
Share and Cite
Blaschke, D.N. Properties of Dislocation Drag from Phonon Wind at Ambient Conditions. Materials 2019, 12, 948. https://doi.org/10.3390/ma12060948
Blaschke DN. Properties of Dislocation Drag from Phonon Wind at Ambient Conditions. Materials. 2019; 12(6):948. https://doi.org/10.3390/ma12060948
Chicago/Turabian StyleBlaschke, Daniel N. 2019. "Properties of Dislocation Drag from Phonon Wind at Ambient Conditions" Materials 12, no. 6: 948. https://doi.org/10.3390/ma12060948
APA StyleBlaschke, D. N. (2019). Properties of Dislocation Drag from Phonon Wind at Ambient Conditions. Materials, 12(6), 948. https://doi.org/10.3390/ma12060948

