Assessment of Wind and Vegetation Interactions in Constructed Wetlands
Abstract
1. Introduction
2. Materials and Methods
2.1. Data Collection
2.2. Wind Stress
2.3. Wind Drag Coefficients
2.3.1. Power Law Wind Profile
2.3.2. Log Wind Profile
2.4. Wind Setup
2.5. Wind Stress
2.6. Data Analysis
3. Results
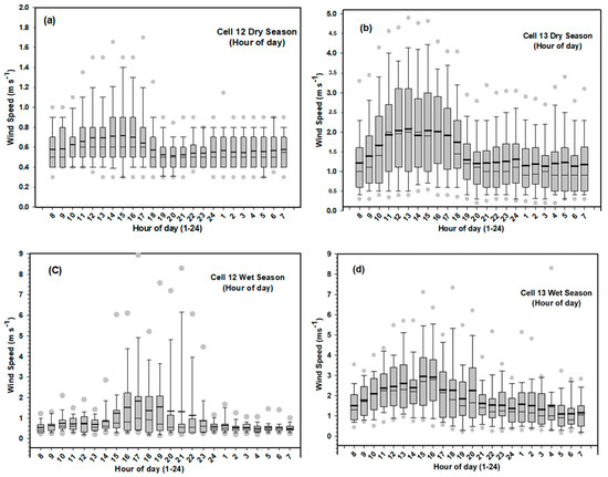
3.1. Wind Speed and Direction
3.2. Wind Stress and Wind Drag Coefficients
3.3. Air Temperature, Relative Humidity, Dew Point, and Barometric Pressure
4. Discussion
4.1. Wind Speed and Direction
4.2. Wind Stress and Drag Coefficients
4.3. Winds Impact on Wetland Hydrology
5. Conclusions
Author Contributions
Funding
Acknowledgments
Conflicts of Interest
References
- Kadlec, R.H.; Knight, R.L. Treatment Wetlands; CRC Press: Boca Raton, FL, USA, 1996. [Google Scholar]
- Moustafa, M.Z. Nutrient retention dynamics of the Everglades Nutrient Removal Project. Wetlands 1999, 19, 689–704. [Google Scholar] [CrossRef]
- Moustafa, M.Z. Analysis of phosphorus retention in free-water surface treatment wetlands. Hydrobiologia 1999, 392, 41–53. [Google Scholar] [CrossRef]
- Moustafa, M.Z.; White, J.R.; Coghlan, C.C.; Reddy, K.R. Influence of hydropattern and vegetation type on phosphorus dynamics in flow-through wetland treatment systems. Ecol. Eng. 2011, 37, 1369–1378. [Google Scholar] [CrossRef]
- Moustafa, M.Z.; White, J.R.; Coghlan, C.C.; Reddy, K.R. Influence of hydropattern and vegetation type on phosphorus reduction in a constructed wetland under high and low mass loading rates. Ecol. Eng. 2012, 42, 134–145. [Google Scholar] [CrossRef]
- Gillies, J.A.; Nickling, W.G.; King, J. Drag coefficient and plant form response to wind speed in three plant species: Burning Bush (Euonymus alatus), Colorado Blue Spruce (Picea pungens galauca), and Fountain Grass (Pennisetum setaceum). J. Geophys. Res. 2002, 107, 4769. [Google Scholar] [CrossRef]
- Lal, A.M.W.; Moustafa, M.Z.; Wilcox, W.M. The use of discharge perturbations to understand in situ vegetation resistance in wetlands. Water Resour. Res. 2015, 51, 2477–2497. [Google Scholar] [CrossRef]
- Reed, S.; Crites, R.W.; Middlebrooks, E.J. Natural Systems for Waste Management and Treatment, 2nd ed.; McGraw-Hill, Inc.: New York, NY, USA, 1998. [Google Scholar]
- Dierberg, F.E.; DeBusk, T.A.; Jackson, S.D.; Chimney, M.J.; Pietro, K. Submerged aquatic vegetation-based treatment wetland for removing phosphorus from agricultural runoff: Response to hydraulic and nutrient loading. Water Res. 2002, 36, 1409–1422. [Google Scholar] [CrossRef]
- Conn, R.M.; Fiedler, F.R. Increasing Hydraulic Residence Time in Constructed Stormwater Treatment Wetlands with Designed Bottom Topography. Water Environ. Res. 2006, 78, 2514–2523. [Google Scholar] [CrossRef] [PubMed]
- Poindexter, C.; Variano, E.A. Gas exchange in wetlands with emergent vegetation: The effects of wind and thermal convection at the air-water interface. J. Geophys. Res. Biogeosci. 2013, 118, 1297–1306. [Google Scholar] [CrossRef]
- Deng, Y.; Solo-Gabriele, H.M.; Lass, M.; Leonard, L.; Childers, D.L.; He, G.; Engel, V. Impacts of hurricanes on surface water flow within a wetland. J. Hydrol. 2010, 392, 164–173. [Google Scholar] [CrossRef][Green Version]
- Dieter, C.D. The importance of emergent vegetation in reducing sediment resuspension in wetlands. J. Freshw. Ecol. 1990, 5, 467–473. [Google Scholar] [CrossRef]
- Grant, P.F.; Nicking, W.G. Direct field measurement of wind drags on vegetation for application to windbreak design and modeling. Land Degrad. Dev. 1998, 9, 57–66. [Google Scholar] [CrossRef]
- Hammond, D.S.; Chapman, L.; Thornes, J.E. Roughness length estimation along road transects using airborne LIDAR data. Meteorol. Appl. 2012, 19, 420–426. [Google Scholar] [CrossRef]
- Luers, J.K.; Macarthur, C.D.; Haines, P.A. The Roughness Lengths Associated with Regions of Heterogeneous Vegetation and Elevation; Contract DAAD07-80-D-0206; University of Dayton Research Institute: Dayton, OH, USA, 1981. [Google Scholar]
- Lugo, A.E. Effects and outcomes of Caribbean hurricanes in a climate change scenario. Sci. Total Environ. 2000, 262, 243–251. [Google Scholar] [CrossRef]
- Large, W.; Pond, S. Open ocean momentum flux measurements in moderate to strong winds. J. Phys. Oceanogr. 1981, 11, 324–336. [Google Scholar] [CrossRef]
- Peterson, E.W.; Hennessey, J.P., Jr. On the use of power laws for estimates of wind power potential. J. Appl. Meteorol. 1978, 17, 390–394. [Google Scholar] [CrossRef]
- Elliott, D.L.; Holladay, C.G.; Barchet, W.R.; Foote, H.P.; Sandusky, W.F. Wind Energy Resource Atlas of the United States; Pacific Northwest Laboratory: Richland, WA, USA, 1986.
- Robeson, S.M.; Shein, K.A. Spatial coherence and decay of wind speed and power in the north-central United States. Phys. Geogr. 1997, 18, 479–495. [Google Scholar] [CrossRef]
- Beychok, M.R. Fundamentals of Stack Gas Dispersion, 4th ed.; McGraw-Hill: New York, NY, USA, 2005; ISBN 0-9644588-0-2. [Google Scholar]
- Oke, T.R. Street design and urban canopy layer climate. Energy Build. 1988, 11, 103–113. [Google Scholar] [CrossRef]
- Kadlec, R.H.; Wallace, S.D. Treatment Wetlands, 2nd ed.; Taylor and Francis Group: Boca Raton, FL, USA, 2009. [Google Scholar]
- Ippen, A.T. Estuary and Coastline Hydrodynamics; McGraw-Hill: New York, NY, USA, 1966; p. 744. [Google Scholar]
- McCartney, B.L. Wave Runup and Wind Setup on Reservoir Embankment; ETL 1110-2-221; U.S. Army Corps of Engineers, Office of the Chief of Engineers: Washington, DC, USA, 1976. [Google Scholar]
- Walker, W.W.; Kadlec, R.H. Critical Reviews in Environmental Science and Technology; Taylor & Francis Group, LLC: Abingdon, UK, 2005; Volume 41, pp. 430–446. ISSN 1064-3389 print/1547-6537 online. [Google Scholar] [CrossRef]
- Chow, V.T.; Maidment, D.R.; Mays, L.W. Applied Hydrology; McGraw-Hill: New York, NY, USA, 1988. [Google Scholar]
- Stedinger, J.R.; Vogel, R.M.; Foufoula-Georgious, E. Frequency Analysis of Extreme Events in Handbook of Hydrology. In Handbook of Hydrology; Maidment, D.R., Ed.; McGraw-Hill: New York, NY, USA, 1993. [Google Scholar]
- Stoesser, T.; Kim, S.J.; Diplas, P. Turbulent flow through idealized emergent vegetation. J. Hydraul. Eng. 2010, 136, 1003–1017. [Google Scholar] [CrossRef]
- Baptist, M.J. A flume experiment on sediment transport with flexibles, submerged vegetation 2003. In Proceedings of the International Workshop on Riparian Forest Vegetated Channels: Hydraulic, Morphological and Ecological Aspects, Trento, Italy, 20–22 February 2003. [Google Scholar]
- Holton, J.R. An Introduction to Dynamic Meteorology; Academic Press: Cambridge, MA, USA, 2004; p. 18. ISBN 0-12-354015-1. [Google Scholar]
- SFWMD. Chapter 6 of the Everglades Consolidated Report; South Florida Water Management District: West Palm Beach, FL, USA, 2000.
- Baldocchi, D. Canopy-atmosphere water vapor exchange: Can we scale from a leaf to a canopy? In Estimation of Areal Evapotranspiration, Proceedings of the XIXth General Assembly of the International Union of Geodesy and Geophysics, Vancouver, BC, Canada, 9–22 August 1987; IAHS Press, Institute of Hydrology: Wallingford, UK, 1989; Volume 177, pp. 21–41. [Google Scholar]
- Wieringa, J.; Davenport, A.G.; Grimmond, C.S.B.; Oke, T.R. New Revision of Davenport Roughness Classification. In Proceedings of the 3rd European and African Conference on Wind Engineering, Eindoven, The Netherlands, 2–6 July 2001; pp. 285–292. [Google Scholar]
- Holmes, J.D. Wind Loading of Structures; Spon Press: New York, NY, USA, 2001. [Google Scholar]
- Hansen, F.V. Surface Roughness Lengths, ARL Technical; Report (ARL-TR-61); U.S. Army Research Laboratory: Adelphi, MD, USA, August 1993. [Google Scholar]








| Statistic | wind (U), X-axis 1 | wind (V); Y-axis 2 | Stress (U); X-axis 3 | Stress (V); Y-axis 4 | wind (U), X-axis | wind (V); Y-axis | Stress (U); X axis | Stress (V); Y axis |
|---|---|---|---|---|---|---|---|---|
| June–July 2014 (Wet Season) | ||||||||
| Vegetated Cell 12 | Open Water Cell 13 | |||||||
| Mean | −0.02850 | −0.29500 | 0.0017 5 | 0.0019 5 | −0.44150 5 | −0.36430 5 | 0.00380 | 0.00440 |
| Median | 0.00000 | −0.24630 | 0.0002 5 | 0.0002 5 | −0.46885 5 | −0.30467 5 | 0.00113 | 0.00122 |
| Mode | 0.39850 | −0.04880 | 0.00010 | 0.00020 | 0.00000 | 0.00000 | 0.00054 | 0.00000 |
| Standard Error | 0.01980 | 0.02040 | 0.00020 | 0.00020 | 0.02863 | 0.03127 | 0.00018 | 0.00018 |
| Standard Deviation | 1.02770 | 1.05800 | 0.00760 | 0.00910 | 1.48486 | 1.62170 | 0.00910 | 0.00919 |
| Minimum | −8.49470 | −9.42390 | 0.00000 | 0.00000 | −9.99391 | −7.37184 | 0.00000 | 0.00000 |
| Maximum | 6.86070 | 6.17180 | 0.11450 | 0.14090 | 7.82518 | 12.17352 | 0.15841 | 0.23504 |
| Range | 15.35540 | 15.59560 | 0.11450 | 0.14095 | 17.81909 | 19.54536 | 0.15841 | 0.23504 |
| Size | 2689 | 2689 | 2689 | 2689 | 2689 | 2689 | 2689 | 2689 |
| November 2014–March 2015 (Dry Season) | ||||||||
| Mean | 0.26252 | 0.06584 | 0.00050 5 | 0.00038 5 | 0.48068 5 | 0.14330 5 | 0.00412 | 0.00147 |
| Median | 0.39392 | 0.10396 | 0.00029 5 | 0.00014 5 | 0.56732 5 | 0.09421 5 | 0.00134 | 0.00021 |
| Mode | 0.39392 | 0.16278 | 0.00025 | 0.00004 | 0.59088 | 0.00000 | 0.00055 | 0.00000 |
| Standard Error | 0.00440 | 0.00430 | 0.00002 | 0.00003 | 0.01377 | 0.00853 | 0.00006 | 0.00003 |
| Standard Deviation | 0.49166 | 0.48026 | 0.00252 | 0.00341 | 1.53806 | 0.95335 | 0.00719 | 0.00352 |
| Minimum | −5.93339 | −14.55484 | 0.00000 | 0.00000 | −7.56200 | −7.59884 | 0.00000 | 0.00000 |
| Maximum | 12.21296 | 4.44495 | 0.23656 | 0.33598 | 7.28222 | 5.79160 | 0.09069 | 0.09158 |
| Range | 18.14635 | 18.99980 | 0.23656 | 0.33598 | 14.84422 | 13.39044 | 0.09069 | 0.09158 |
| Size | 12,482 | 12,482 | 12,482 | 12,482 | 12,483 | 12,483 | 12,483 | 12,483 |
| Wet Season: 12 June through 10 July 2014 | ||||||||||||
| Descriptive Statistics | Vegetated Cell 12 | Open Water Cell 13 | ||||||||||
| Air Temp. | Relative Humid. | Dew Point | Wind Dir. | Wind Sp | Baro. Pressure | Air Temp. | Relative Humid. | Dew Point | Wind Dir. | Wind Sp | Baro. Pressure | |
| °C | °C | °C | Deg. | m s−1 | millibar | °C | % | °C | Deg. | m s−1 | millibar | |
| Mean | 26.38 | 77.96 | 21.82 | 213.23 1 | 0.90 2 | 1020.82 | 25.93 | 77.76 | 21.45 | 190.57 1 | 1.85 2 | 1020.49 |
| Median | 25.03 | 84.00 | 21.93 | 236.00 | 0.60 2 | 1022.69 | 25.20 | 82.00 | 21.60 | 198.00 | 1.50 2 | 1021.10 |
| Standard Deviation | 4.06 | 13.89 | 1.56 | 98.82 | 1.21 | 2.50 | 3.06 | 11.36 | 1.52 | 86.89 | 1.33 | 2.28 |
| Standard Error | 0.08 | 0.27 | 0.03 | 1.90 | 0.02 | 0.05 | 0.07 | 0.22 | 0.03 | 1.68 | 0.02 | 0.04 |
| Min | 19.00 | 41.00 | 16.80 | 1.00 | 0.10 | 1012.53 | 19.10 | 41.00 | 16.50 | 0.00 | 0.10 | 1012.80 |
| Max | 36.70 | 95.00 | 26.10 | 358.00 | 11.80 | 1046.40 | 33.80 | 93.00 | 26.10 | 358.00 | 12.80 | 1038.80 |
| 0.25 | 23.20 | 67.00 | 20.83 | 131.00 | 0.40 | 1019.31 | 23.60 | 70.00 | 20.50 | 121.00 | 0.90 | 1019.30 |
| 0.75 | 29.57 | 89.00 | 22.90 | 292.00 | 0.90 | 1022.69 | 28.30 | 87.00 | 22.60 | 258.00 | 2.40 | 1022.10 |
| Size | 2695 | 2695 | 2695 | 2695 | 2695 | 2695 | 2689 | 2689 | 2689 | 2689 | 2689 | 2689 |
| Missing | 0.00 | 0.00 | 0.00 | 0.00 | 0.00 | 1.00 | 0.00 | 0.00 | 0.00 | 0.00 | 2.00 | 0.00 |
| Dry Season: 2 November 2014 through 12 March 2015 | ||||||||||||
| Mean | 19.48 | 75.70 | 14.59 | 157.27 1 | 0.622 2 | 1022.22 | 19.92 | 74.68 | 14.89 | 164.36 1 | 1.52 2 | 1021.74 |
| Median | 19.57 | 83.00 | 15.47 | 122.00 | 0.50 2 | 1022.69 | 20.20 | 79.00 | 15.60 | 140.00 | 1.20 2 | 1022.69 |
| Standard Deviation | 5.62 | 15.84 | 4.77 | 131.42 | 0.41 | 3.96 | 5.36 | 13.94 | 4.74 | 134.34 | 1.17 | 3.88 |
| Standard Error | 0.05 | 0.14 | 0.04 | 1.18 | 0.00 | 0.04 | 0.05 | 0.13 | 0.04 | 1.20 | 0.01 | 0.04 |
| Min | 1.00 | 27.00 | –5.27 | 0.00 | 0.10 | 1009.15 | 1.80 | 31.00 | –3.50 | 0.00 | 0.00 | 1009.15 |
| Max | 34.27 | 96.00 | 24.27 | 359.00 | 19.00 | 1032.85 | 37.20 | 94.00 | 23.90 | 359.00 | 8.10 | 1029.47 |
| 0.25 | 15.80 | 64.00 | 11.53 | 30.00 | 0.40 | 1019.31 | 16.30 | 64.00 | 11.60 | 32.00 | 0.70 | 1019.31 |
| 0.75 | 23.43 | 89.00 | 18.33 | 317.00 | 0.70 | 1026.08 | 23.50 | 86.00 | 18.70 | 325.00 | 2.10 | 1026.08 |
| Size | 12,483 | 12,483 | 12,483 | 12,483 | 12,483 | 12,483 | 12,483 | 12,483 | 12,483 | 12,483 | 12,483 | 12,483 |
| Missing | 1.00 | 1.00 | 1.00 | 1.00 | 1.00 | 1.00 | 0.00 | 0.00 | 0.00 | 0.00 | 1.00 | 0.00 |
| Sources | Wieringa et al., 2001 | Holmes, 2001 | STA (This Study) | |||||
|---|---|---|---|---|---|---|---|---|
| Class | Name | Landscape Features | Roughness Length (m) | Drag Coefficient | Roughness Length (m) | Drag Coefficient | ||
| Dry Season | Wet Season | Dry Season | Wet Season | |||||
| 1 | sea | open water, tidal flat | 0.0002 | 0.002–0.003 | ||||
| 2 | smooth | featureless land with negligible vegetation | 0.005 | |||||
| 3 | open | flat terrain with very low vegetation (grass) | 0.03 | 0.003–0.006 | 0.0384 open water | 0.005 open water | ||
| 4 | roughly open | area with low crops or plant covers | 0.1 | 0.0075–0.02 | 0.1366 open water | 0.009 open water | ||
| 5 | rough | area with high crops or plant covers of varying height | 0.25 | 0.2267 Cattail | 0.012 Cattail | |||
| 6 | very rough | landscape with bushes, young dense forest etc. | 0.5 | 0.3889 Cattail | 0.016 Cattail | |||
| 7 | closed | mature forest, low-rise built-up area | 1 | 0.03–0.3 | ||||
| 8 | chaotic | city center, large forest of irregular height | over 2.0 | |||||
© 2020 by the authors. Licensee MDPI, Basel, Switzerland. This article is an open access article distributed under the terms and conditions of the Creative Commons Attribution (CC BY) license (http://creativecommons.org/licenses/by/4.0/).
Share and Cite
Moustafa, M.; Wang, N. Assessment of Wind and Vegetation Interactions in Constructed Wetlands. Water 2020, 12, 1937. https://doi.org/10.3390/w12071937
Moustafa M, Wang N. Assessment of Wind and Vegetation Interactions in Constructed Wetlands. Water. 2020; 12(7):1937. https://doi.org/10.3390/w12071937
Chicago/Turabian StyleMoustafa, Mohamed, and Naiming Wang. 2020. "Assessment of Wind and Vegetation Interactions in Constructed Wetlands" Water 12, no. 7: 1937. https://doi.org/10.3390/w12071937
APA StyleMoustafa, M., & Wang, N. (2020). Assessment of Wind and Vegetation Interactions in Constructed Wetlands. Water, 12(7), 1937. https://doi.org/10.3390/w12071937

