You are currently on the new version of our website. Access the old version .

374 Results Found

  • Article
  • Open Access
2 Citations
2,242 Views
17 Pages

Normative Mineralogy of 1170 Soil Profiles across Canada

  • Margot Aldis,
  • Maximilian Posch and
  • Julian Aherne

12 April 2023

Weathering of soil minerals provides base cations that buffer against acidity, and nutrients that support plant growth. In general, direct observations of soil minerals are rare; however, their abundance can be determined indirectly through soil geoc...

  • Technical Note
  • Open Access
6 Citations
2,941 Views
9 Pages

28 April 2020

Soil mineralogy can be used to study changes in the environment affecting the soil surface, such as dust from the desert through Aeolian processes, which is one of the sources that determine the mineral nature of the soil. Ground- and field-based hyp...

  • Article
  • Open Access
3 Citations
4,075 Views
20 Pages

29 October 2019

The soil minerals determine essential soil properties such as the cation exchange capacity, texture, structure, and their capacity to form bonds with organic matter. Any alteration of these organo-mineral interactions due to the soil moisture variati...

  • Article
  • Open Access
8 Citations
3,810 Views
14 Pages

24 October 2021

The current classification of clayey soils does not entail information of pore fluid chemistry and particle size less than 75 µm. However, the pore fluid chemistry and particle size (at given mineralogy) are critical in the plasticity of clayey soils...

  • Article
  • Open Access
9 Citations
3,701 Views
18 Pages

14 September 2022

In the Mănăila alpine area, the soil layer developed in situ on top of the sericite-schists, which belong to the Tulghes 3 metamorphic unit. The aim of the present work was to determine the degree of soil formation using both mineralogical...

  • Article
  • Open Access
9 Citations
4,097 Views
17 Pages

Clay Fraction Mineralogy and Structural Soil Attributes of Two Soil Classes under the Semi-Arid Climate of Brazil

  • Thaís Cristina de Souza Lopes,
  • Jeane Cruz Portela,
  • Rafael Oliveira Batista,
  • Diego José da Costa Bandeira,
  • Isaque de Oliveira Leite,
  • Luirla Bento Ramalho,
  • Joaquim Emanuel Fernandes Gondim,
  • Joseane Dunga da Costa,
  • Marcelo Tavares Gurgel and
  • Francisco Vanies da Silva Sá
  • + 5 authors

3 December 2022

Mineralogical studies are incipient and necessary in the Apodi Plateau, Brazil. This study aimed to evaluate the interrelationship between the mineralogy of the clay fraction and its structural and chemical attributes and to differentiate two importa...

  • Article
  • Open Access
6 Citations
2,696 Views
19 Pages

Lime Stabilization of Tropical Soil for Resilient Pavements: Mechanical, Microscopic, and Mineralogical Characteristics

  • Bruna Calabria Diniz,
  • William Fedrigo,
  • Thaís Radünz Kleinert,
  • Giovanni dos Santos Batista,
  • Washington Peres Núñez,
  • Bethania Machado Correa and
  • Lélio Antônio Teixeira Brito

26 September 2024

Lime stabilization is a sustainable technique due to its use of local materials, increased durability, reduced maintenance, and improved resistance to water action. This paper examines the impact of lime stabilization on the mechanical, microscopic,...

  • Article
  • Open Access
39 Citations
10,752 Views
30 Pages

Soil Color and Mineralogy Mapping Using Proximal and Remote Sensing in Midwest Brazil

  • Raúl Roberto Poppiel,
  • Marilusa Pinto Coelho Lacerda,
  • Rodnei Rizzo,
  • José Lucas Safanelli,
  • Benito Roberto Bonfatti,
  • Nélida Elizabet Quiñonez Silvero and
  • José Alexandre Melo Demattê

8 April 2020

Soil color and mineralogy are used as diagnostic criteria to distinguish different soil types. In the literature, 350–2500 nm spectra were successfully used to predict soil color and mineralogy, but these attributes currently are not mapped for...

  • Article
  • Open Access
3 Citations
2,742 Views
24 Pages

14 September 2022

Increasing prevalence of cyanotoxins in surface water bodies worldwide threatens groundwater quality when contaminated water recharges an aquifer through natural or artificial means. The subsurface fate of anatoxin-a (ATX) is not well studied. Labora...

  • Article
  • Open Access
5 Citations
3,177 Views
22 Pages

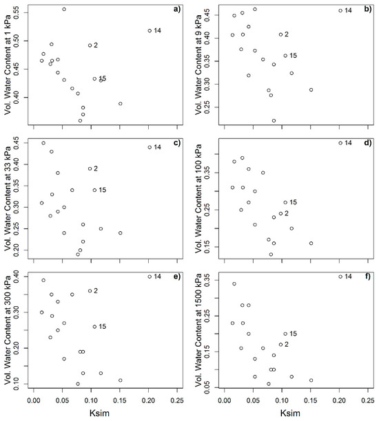
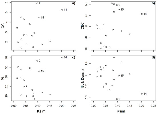
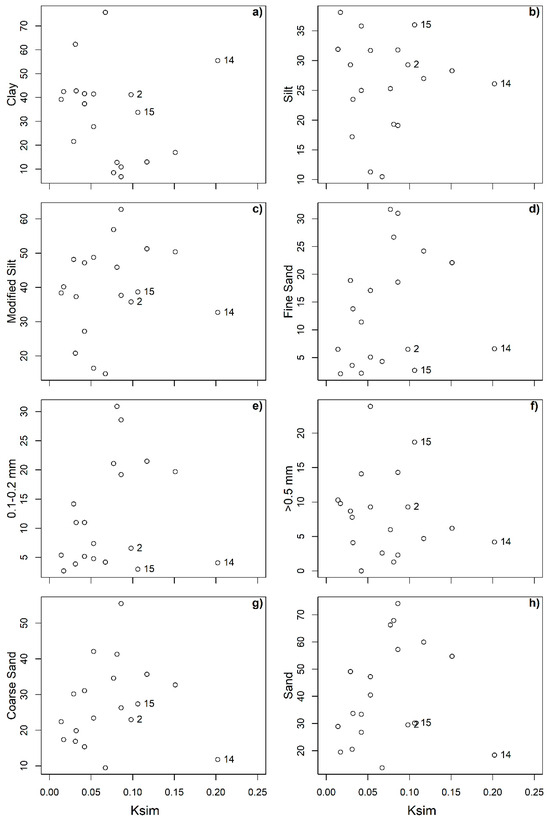
Saturated Hydraulic Conductivity of Nine Soils According to Water Quality, Soil Texture, and Clay Mineralogy

  • Clarissa Buarque Vieira,
  • Gabriel Henrique Maximo Clarindo Silva,
  • Brivaldo Gomes de Almeida,
  • Luiz Guilherme Medeiros Pessoa,
  • Fernando José Freire,
  • Valdomiro Severino de Souza Junior,
  • Hidelblandi Farias de Melo,
  • Luara Gabriella Gomes de Lima,
  • Rodrigo Francisco do Nascimento Paiva and
  • Maria Betânia Galvão dos Santos Freire
  • + 1 author

30 March 2025

Water quality affects soils by promoting their degradation by the accumulation of salts that will lead to salinization and sodification. However, the magnitude of these processes varies with soil attributes. Saturated hydraulic conductivity (Ksat) is...

  • Feature Paper
  • Article
  • Open Access
9 Citations
4,058 Views
21 Pages

Role of Clay Mineralogy in the Stabilization of Soil Organic Carbon in Olive Groves under Contrasted Soil Management

  • Julio Calero,
  • Roberto García-Ruiz,
  • Milagros Torrús-Castillo,
  • José L. Vicente-Vicente and
  • Juan M. Martín-García

29 December 2022

Cropland soils are key systems in global carbon budgets due to their high carbon-sequestration potential. It is widely accepted that clays are one of the soil components that have a significant effect on the stabilisation of soil organic carbon (SOC)...

  • Article
  • Open Access
10 Citations
6,240 Views
42 Pages

Soil Formation and Mass Redistribution during the Holocene Using Meteoric 10Be, Soil Chemistry and Mineralogy

  • Alessandra Musso,
  • Dmitry Tikhomirov,
  • Michael L. Plötze,
  • Konrad Greinwald,
  • Anne Hartmann,
  • Clemens Geitner,
  • Fabian Maier,
  • Fanny Petibon and
  • Markus Egli

Soil development and erosion are important and opposing processes in the evolution of high-mountainous landscapes, though their dynamics are not fully understood. We compared soil development between a calcareous and a siliceous chronosequence in the...

  • Article
  • Open Access
1 Citations
3,136 Views
18 Pages

The Different Roles of Mineralogy in Soil Organic Carbon Accumulation in Northern and Southern China

  • Yuedong Liu,
  • Yanan Huang,
  • Batande Sinovuyo Ndzelu,
  • Dongyu Xiao,
  • Futao Zhang,
  • Yueling Zhang and
  • Jiguang Zhang

9 November 2023

The sequestration of soil organic carbon (SOC) through mineral protection is an important approach to mitigating climate change. However, the effect of mineral composition on SOC stability is unclear at regional scales. In this study, we investigated...

  • Article
  • Open Access
2 Citations
2,274 Views
13 Pages

The Effect of Soil Mineralogy and Particle Breakage on the Impulse Generated from Shallow Buried Charges

  • Tommy Lodge,
  • Sam Clarke,
  • Ross Waddoups,
  • Sam Rigby,
  • Matt Gant and
  • Ian Elgy

3 May 2023

Historically, most testing with shallow buried charges has focussed on soils which are predominantly quartz (silica)-based. Particle size, moisture content and density have previously been investigated to ascertain their importance, along with other...

  • Article
  • Open Access
1,336 Views
18 Pages

The Effects of Burning Intensity on the Soil C-Related Properties and Mineralogy of Two Contrasting Forest Soils from Chilean National Parks

  • Karla Erazo,
  • Clara Martí-Dalmau,
  • David Badía-Villas,
  • Silvia Quintana-Esteras,
  • Blanca Bauluz and
  • Carolina Merino

12 July 2025

Forest fires alter multiple soil properties, from those related to the carbon cycle to mineralogy; however, the responses of various soils to thermal impact remain unclear. This study examined the impact of fire-induced heating (300, 600, and 900 &de...

  • Article
  • Open Access
427 Views
20 Pages

Impact of Soil Profile Mineralogy on the Elemental Composition of Chardonnay Grapes and Wines in the Anapa Region

  • Zaual Temerdashev,
  • Aleksey Abakumov,
  • Mikhail Bolshov,
  • Alexan Khalafyan,
  • Evgeniy Gipich,
  • Aleksey Lukyanov and
  • Alexander Vasilev

22 December 2025

The aim of this work is to study the correlations of the elemental composition in the “soil–grape–wine” chain to determine the regional origin of Chardonnay grapes and wine. Soil samples (n = 40) from five vineyards in the Ana...

  • Article
  • Open Access
15 Citations
4,179 Views
15 Pages

22 December 2022

The study involved the utilization of an industrial waste product, Phosphogypsum (PG) as an additive to lime for the stabilization of soil. Three lime dosages, viz. initial consumption of lime (ICL), optimum lime content (OLC) and less than ICL (LICL...

  • Letter
  • Open Access
13 Citations
6,029 Views
12 Pages

16 June 2019

Soil mineralogy is an important factor affecting chemical and physical processes in the soil. Most common minerals in soils—quartz, clay minerals and carbonates—present fundamental spectral features in the longwave infrared (LWIR) region....

  • Article
  • Open Access
33 Citations
6,534 Views
17 Pages

Organo-Mineral Interactions Are More Important for Organic Matter Retention in Subsoil Than Topsoil

  • Vincent Poirier,
  • Isabelle Basile-Doelsch,
  • Jérôme Balesdent,
  • Daniel Borschneck,
  • Joann K. Whalen and
  • Denis A. Angers

Decomposing crop residues contribute to soil organic matter (SOM) accrual; however, the factors driving the fate of carbon (C) and nitrogen (N) in soil fractions are still largely unknown, especially the influence of soil mineralogy and autochthonous...

  • Article
  • Open Access
2 Citations
1,673 Views
12 Pages

The Clay Minerals in the Soils of the Gypseous Belt of Barbastro, NE Spain

  • Juan Herrero,
  • Raimundo Jiménez-Ballesta and
  • Carmen Castañeda

2 September 2024

This article examines the clay mineralogy of twelve representative soils developed from gypsum-rich parent materials on several geomorphic positions. These soils were classified as Haploxerept, plus one profile as Humixerept and another as Xerorthent...

  • Article
  • Open Access
3 Citations
2,027 Views
35 Pages

14 December 2023

Evaluation of soil sustainability should take into account chemical and mineralogical changes due to cultivation. Potassium (K) application is a key farming practice that may potentially affect phyllosilicate composition and soil properties. Irrigati...

  • Article
  • Open Access
4 Citations
4,072 Views
29 Pages

Temporal changes in soil development were assessed on fluvial terraces of the Little River in the upper Coastal Plain of North Carolina. We examined five profiles from each of six surfaces spanning about 100,000 years. Soil-age relationships were eva...

  • Review
  • Open Access
51 Citations
6,817 Views
24 Pages

21 August 2019

Vegetation changes caused by fire events are visible instantly but changes in soils are less apparent, and could be short-term, long-term or permanent in nature. Research has shown that soils undergo changes in their mineralogical, geochemical, physi...

  • Article
  • Open Access
986 Views
12 Pages

30 May 2024

Soil-improvement techniques with binders are used in several geotechnical engineering applications as a sustainable solution for the reuse of waste soils. Due to their inherent complexity and their mechanical behaviour, pyroclastic soils are generall...

  • Article
  • Open Access
2 Citations
1,857 Views
23 Pages

A Local-Scale, Post-Fire Assessment in a Double-Burned Area: A Case Study from Peloponnisos, Greece

  • Dionisios Panagiotaras,
  • Ioannis P. Kokkoris,
  • Pavlos Avramidis,
  • Dimitrios Papoulis,
  • Dionysios Koulougliotis,
  • Eleni Gianni,
  • Dimitra Lekka,
  • Dionisis C. Christodoulopoulos,
  • Despoina Nifora and
  • Alexandra Skalioti
  • + 1 author

3 July 2024

In the summer of 2021, Greece experienced significant forest fires and mega-fires across multiple regions, leading to human casualties and damage to the natural environment, infrastructure, livestock, and agriculture. The current study aims to assess...

  • Article
  • Open Access
20 Citations
6,793 Views
14 Pages

Potential of Soil, Sludge and Sediment for Mineral Carbonation Process in Selinsing Gold Mine, Malaysia

  • Sharifah Nur Munirah Syed Hasan,
  • Faradiella Mohd Kusin,
  • Shamshuddin Jusop and
  • Ferdius Mohamat Yusuff

17 June 2018

Soil, sludge and sediment that are rich in alkaline earth silicates play significant roles as passive agents for removing carbon dioxide through mineral carbonation process. This study was conducted to characterize the mineralogical component and che...

  • Article
  • Open Access
10 Citations
2,628 Views
13 Pages

Arsenic in Soils Affected by Mining: Microscopic Studies vs. Sequential Chemical Extraction

  • Jessica Álvarez-Quintana,
  • Rodrigo Álvarez and
  • Almudena Ordóñez

Soil samples from three inactive mines, corresponding to different Arsenic-bearing mineralization types, were collected and studied. The aim was to determine the influence of mine wastes mineralogy/geochemistry and texture in As mobility and to compa...

  • Article
  • Open Access
12 Citations
5,747 Views
21 Pages

Impact of continuous cropping on clay mineralogy was assessed on a collection of unfertilized soil samples from the Morrow Plots experimental fields covering 110 years of long crop rotations. Evolution of mineralogy was quantitatively determined by f...

  • Article
  • Open Access
7 Citations
2,642 Views
18 Pages

Short-Term Effects of Experimental Fire on Physicochemical and Microbial Properties of a Mediterranean Cambisol

  • Jasna Hrenović,
  • Ivica Kisić,
  • Domina Delač,
  • Goran Durn,
  • Igor Bogunović,
  • Mateja Mikulec and
  • Paulo Pereira

13 April 2023

Little is known about the bonfire impact on microbial properties in soil. This work aimed to study moderate- to high-severity experimental burning (250 °C) compared to unburned Cambisol in a natural Mediterranean environment (Croatia) on selected...

  • Article
  • Open Access
28 Citations
6,219 Views
14 Pages

22 December 2018

Black cotton soil (BCS) forms a major soil group in Kenya and is characterized by high shrink/swell potential when exposed to water. A comprehensive series of laboratory tests were performed on BCS treated with lime (0–9%), volcanic ash (VA, 0&...

  • Article
  • Open Access
6 Citations
2,974 Views
24 Pages

Use of Biomass Ash in Reinforced Clayey Soil: A Multiscale Analysis of Solid-State Reactions

  • Maximiliano Fastelli,
  • Costanza Cambi,
  • Azzurra Zucchini,
  • Paola Sassi,
  • Elia Pandolfi Balbi,
  • Leonardo Pioppi,
  • Franco Cotana,
  • Gianluca Cavalaglio and
  • Paola Comodi

29 December 2022

Clayey soils are treated with binding agents to improve their mechanical properties, as these soils are widely used in construction. The production of binding agents is an energy-intensive process and emits significant amounts of CO2. In addition, th...

  • Article
  • Open Access
24 Citations
6,007 Views
23 Pages

Soils naturally emit gamma radiation that can be recorded using gamma spectrometry. Spectral features are correlated with soil mineralogy and texture. Recording spectra proximally and in real-time on heterogeneous agricultural fields is an option for...

  • Article
  • Open Access
10 Citations
5,059 Views
14 Pages

Soil Organic Carbon Stabilization: Influence of Tillage on Mineralogical and Chemical Parameters

  • Francesco De Mastro,
  • Andreina Traversa,
  • Claudio Cocozza,
  • Mauro Pallara and
  • Gennaro Brunetti

22 September 2020

The interaction of organic carbon (OC) with clay minerals and amorphous iron and aluminum oxides, especially in the finest soil fractions (<20 μm), represents a good method for its stabilization, and different tillage practices can improve or redu...

  • Feature Paper
  • Article
  • Open Access
48 Citations
7,345 Views
18 Pages

Effect of Clay Mineralogy and Soil Organic Carbon in Aggregates under Straw Incorporation

  • Bin Xue,
  • Li Huang,
  • Xiaokun Li,
  • Jianwei Lu,
  • Ruili Gao,
  • Muhammad Kamran and
  • Shah Fahad

21 February 2022

The interaction between soil organic carbon (SOC) and clay minerals is a critical mechanism for retaining SOC and protecting soil fertility and long-term agricultural sustainability. The SOC composition and minerals speciation in clay fractions (<...

  • Article
  • Open Access
2 Citations
1,752 Views
15 Pages

Cowpea (Vigna unguiculata) Water Relations, Growth, and Productivity as Affected by Salinity in Two Soils with Contrasting Mineralogies

  • Jaciane Rosa Maria de Souza,
  • Lucas Yago de Carvalho Leal,
  • Martha Katharinne Silva Souza Paulino,
  • José Alfredo Nunes,
  • Rafael Luís Silva de Medeiros,
  • Monaliza Alves dos Santos,
  • Cintia Maria Teixeira Lins,
  • Valdomiro Severino de Souza Júnior,
  • Bruce Schaffer and
  • Edivan Rodrigues de Souza

Soil salinity affects crop growth and production, especially in arid and semi-arid regions of the world. The interactions between salt ions and soil particles vary depending on soil texture, mineralogy, and ion composition. The relationship between s...

  • Article
  • Open Access
10 Citations
2,795 Views
13 Pages

Mineralogical and Geochemical Nature of Calcareous Vineyard Soils from Alcubillas (La Mancha, Central Spain)

  • Raimundo Jiménez-Ballesta,
  • Sandra Bravo,
  • Jose A. Amorós,
  • Caridad Pérez-de los Reyes,
  • Rosario García-Giménez,
  • Pablo Higueras and
  • Francisco J. García-Navarro

The mineralogical and geochemical patterns of calcareous vineyard soils located in Alcubillas (La Mancha, Central Spain) have been evaluated; also their variability has been studied. The information provided by this study supports the assessment of g...

  • Article
  • Open Access
1 Citations
1,100 Views
28 Pages

Mineralogical and Geochemical Features of Soil Developed on Rhyolites in the Dry Tropical Area of Cameroon

  • Aubin Nzeugang Nzeukou,
  • Désiré Tsozué,
  • Estelle Lionelle Tamto Mamdem,
  • Merlin Gountié Dedzo and
  • Nathalie Fagel

Petrological knowledge on weathering processes controlling the mobility of chemical elements is still limited in the dry tropical zone of Cameroon. This study aims to investigate the mobility of major and trace elements during rhyolite weathering and...

  • Article
  • Open Access
2 Citations
2,136 Views
24 Pages

14 May 2025

Black cotton soil (BCS) is unsuitable for construction due to its high plasticity, low shear strength, and significant volume changes upon wetting and drying. The present study investigates the effectiveness of an alkali-activated coconut husk ash (C...

  • Article
  • Open Access
1 Citations
2,928 Views
15 Pages

8 June 2021

The identification of paleosols is difficult when no buried horizons or lithification occur. Here, we described the identification of a possible paleosol, its characterization, and which features supported its positive diagnosis. In a construction si...

  • Article
  • Open Access
27 Citations
3,456 Views
17 Pages

13 September 2022

This study was conducted to examine the capability of topographic features and remote sensing data in combination with other auxiliary environmental variables (geology and geomorphology) to predict CEC by using different machine learning models ((ran...

  • Article
  • Open Access
93 Citations
17,850 Views
19 Pages

Sentinel-2 for Mapping Iron Absorption Feature Parameters

  • Harald Van der Werff and
  • Freek Van der Meer

25 September 2015

Iron is an indicator for soil fertility and the usability of an area for cultivating crops. Remote sensing is the only suitable tool for surveying large areas at a high temporal and spatial interval, yet a relative high spectral resolution is needed...

  • Article
  • Open Access
4 Citations
6,144 Views
12 Pages

Different Quartz Varieties Characterized by Proximal Sensing and Their Relation to Soil Attributes

  • Sérgio Henrique Godinho Silva,
  • Diego Ribeiro,
  • Thaís Santos Branco Dijair,
  • Fernanda Magno Silva,
  • Anita Fernanda dos Santos Teixeira,
  • Renata Andrade,
  • Marcelo Mancini,
  • Luiz Roberto Guimarães Guilherme and
  • Nilton Curi

9 April 2023

Quartz is one of the most common minerals in soils, mostly present in sand and silt fractions. Although quartz is basically formed of SiO2, other elements can be easily detected and assessed nowadays using a portable X-ray fluorescence (pXRF) spectro...

  • Article
  • Open Access
2 Citations
1,967 Views
11 Pages

Characteristics of Laterite Soil for Potential Geopolymer Applications

  • Zeyneb K. Nuru,
  • Walied A. Elsaigh and
  • Elsabe P. Kearsley

9 July 2025

Laterite soil is widely found in various tropical and subtropical regions. This study focuses on the physical and chemical properties of laterite soil as a precursor for geopolymer synthesis. The characteristics of the soil were determined through ex...

  • Article
  • Open Access
13 Citations
4,030 Views
17 Pages

24 May 2021

Land reclamation is a common practice leading to the restoration of areas affected by industrial activity. Soil studies in reclaimed areas are very useful to determine the effectiveness of reclamation works. The goal of the study was to investigate s...

  • Article
  • Open Access
22 Citations
5,854 Views
24 Pages

Mineralogy and Zn Chemical Speciation in a Soil-Plant System from a Metal-Extreme Environment: A Study on Helichrysum microphyllum subsp. tyrrhenicum (Campo Pisano Mine, SW Sardinia, Italy)

  • Maria Enrica Boi,
  • Daniela Medas,
  • Giuliana Aquilanti,
  • Gianluigi Bacchetta,
  • Giovanni Birarda,
  • Giovanna Cappai,
  • Ilaria Carlomagno,
  • Maria Antonietta Casu,
  • Alessandra Gianoncelli and
  • Giovanni De Giudici
  • + 6 authors

12 March 2020

Environmental contamination due to human activities is a worldwide problem that has led to the development of different remediation techniques, including biotechnological approaches such as phytoextraction and phytostabilization. These techniques tak...

  • Article
  • Open Access

26 January 2026

In vitro bioaccessibility tests are used to estimate the release of contaminants from environmental samples during simulated digestion, making them available for intestinal absorption. In most cases, the samples are fine-grained materials with varyin...

  • Article
  • Open Access
1 Citations
2,989 Views
18 Pages

Characterisation of Geotechnical Properties of Residual Tropical Soils Used for Road Infrastructure: French Guiana Experience

  • Ouahcène Nait-Rabah,
  • Flavio Germain,
  • Yannick Estevez,
  • James Guiraud,
  • Gildas Medjigbodo,
  • Daniel Dias and
  • Chadi Maalouf

6 July 2023

This paper presents the first laboratory study of four materials (three lateritic soils and one sandy soil) mainly used in road construction in French Guiana. The analysis of macroscopic behaviour by physical tests, following French standards, made i...

  • Article
  • Open Access
11 Citations
5,968 Views
23 Pages

This study compared the granulometric properties, mineralogical composition and concentrations of major and trace element oxides of commonly ingested soils (geophagic soil) collected from different countries with a view of understanding how varied th...

  • Editorial
  • Open Access
1,539 Views
2 Pages

27 September 2022

‘Nano Minerals Applications in Pollutants Removal: A New Open Special Issue in Materials’, aims to publish high-quality research and review articles on the basic and applied science of clay mineralogy and make great contributions to the u...

of 8