Journal Description
Soil Systems
Soil Systems
- formerly Soils - is an international, scientific, peer-reviewed, open access journal on soil science, published monthly online by MDPI. The Italian Society of Soil Science (SISS) is affiliated with Soil Systems and its members receive discounts on the article processing charges.
- Open Access— free for readers, with article processing charges (APC) paid by authors or their institutions.
- High Visibility: indexed within Scopus, ESCI (Web of Science), AGRIS, PubAg, GeoRef, CAPlus / SciFinder, and other databases.
- Journal Rank: JCR - Q2 (Soil Science) / CiteScore - Q1 (Earth-Surface Processes)
- Rapid Publication: manuscripts are peer-reviewed and a first decision is provided to authors approximately 31.6 days after submission; acceptance to publication is undertaken in 4.6 days (median values for papers published in this journal in the first half of 2025).
- Recognition of Reviewers: reviewers who provide timely, thorough peer-review reports receive vouchers entitling them to a discount on the APC of their next publication in any MDPI journal, in appreciation of the work done.
Impact Factor:
3.5 (2024);
5-Year Impact Factor:
3.8 (2024)
Latest Articles
Phytoavailability and Leachability of Heavy Metals and Metalloids in Agricultural Soils Ameliorated with Coal Fly Ash (CFA) and CFA-Treated Biosolids
Soil Syst. 2026, 10(1), 5; https://doi.org/10.3390/soilsystems10010005 - 23 Dec 2025
Abstract
Application of CFA-treated biosolids (NVS) offers multiple benefits to agricultural soils, including fertilizer replacement, soil rehabilitation, and disinfection. It also poses a heavy metal(loid)s threat to the agro-environment. NVS (and CFA to some extent) was tested in lysimeter and field trials, using soils
[...] Read more.
Application of CFA-treated biosolids (NVS) offers multiple benefits to agricultural soils, including fertilizer replacement, soil rehabilitation, and disinfection. It also poses a heavy metal(loid)s threat to the agro-environment. NVS (and CFA to some extent) was tested in lysimeter and field trials, using soils differing in physicochemical properties and a large selection of crops. Consistently, As, Pb, and Cd concentrations in leachate were at or below detection limit, and these and other heavy metal(loid)s (and P) were within the permitted range in plant tissue. Foliage Mo (occasionally also Se, P) concentrations often increased significantly, especially in crops (legumes, potatoes) grown on marginal soils, which also displayed significantly higher yields. CFA and NVS reduced lettuce and legumes foliage Mn (and occasionally Zn) concentrations, which remained, however, adequate. NVS (214 and 642 mT ha−1), digested sewage sludge (ADS) and its compost (24 and 72 mT ha−1), temporarily increased the DTPA-extractability of some elements (NVS: B, Cr; ADS: Cu, Ni, Zn; Compost: Zn) 10–30-fold. The extractabilities of Fe and P increased by up to six times. These increases vanished soon after additive application, supporting the hypothesis of ‘self-attenuation’ by applied biosolids. Our data indicate that long-term application of NVS (and CFA) to calcareous soils poses no heavy metal(loid)s-related threat to the agro-environment.
Full article
(This article belongs to the Special Issue Research on Trace and Hazardous Elements and Emerging Pollutants in Soils and Sediments)
►
Show Figures
Open AccessArticle
Carbon Forms and Their Dynamics in Soils of the Carbon Supersite at the Black Sea Coast
by
Sergey N. Gorbov, Nadezhda V. Salnik, Suleiman S. Tagiverdiev, Marina V. Slukovskaya, Margarita V. Kochkina, Svetlana A. Tishchenko, Elena V. Gershelis, Vyacheslav V. Kremenetskiy and Alexander V. Olchev
Soil Syst. 2026, 10(1), 4; https://doi.org/10.3390/soilsystems10010004 - 23 Dec 2025
Abstract
►▼
Show Figures
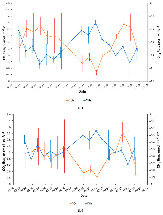
This study is one of the first comprehensive assessments of soil carbon dynamics on the Black Sea coast of Russia, focusing on the role of soils in the terrestrial carbon cycle and the greenhouse gas balance of sub-Mediterranean ecosystems. Our integrated approach combined
[...] Read more.
This study is one of the first comprehensive assessments of soil carbon dynamics on the Black Sea coast of Russia, focusing on the role of soils in the terrestrial carbon cycle and the greenhouse gas balance of sub-Mediterranean ecosystems. Our integrated approach combined soil classification with the analysis of the distribution of organic and inorganic carbon, as well as the measurement of microbial biomass and respiration. Soil respiration components, including substrate-induced respiration (SIR) and basal respiration (BR), as well as greenhouse gas (carbon dioxide (CO2) and methane (CH4)) dynamics, were evaluated using a combination of laboratory and field measurements. Our results revealed significant differences between natural Rendzic Leptosols and terraced Skeletic Rendzic Leptosols (Technic and Transportic types). The latter contained higher organic carbon stocks (up to 25 kg m−2) associated with buried humus horizons, whereas the former were dominated by inorganic carbon accumulation. Microbial biomass carbon (MBC) ranged from 113 to 1119 µg C g−1 of soil and decreased with depth. Basal respiration averaged 0.39 ± 0.30 µg C–CO2 g−1 h−1. CO2 emissions were strongly correlated with soil temperature (r = 0.65, p < 0.05) and negatively correlated with soil moisture, reflecting the predominant influence of abiotic factors. Seasonal chamber observations confirmed that these soils consistently function as CH4 sinks, with negative CH4 fluxes recorded across all seasons. Thus, Rendzic Leptosols on the Black Sea coast serve as significant CO2 sources and stable CH4 sinks simultaneously, and anthropogenic terracing enhances their potential for organic carbon sequestration. These findings refine our understanding of the carbon balance in sub-Mediterranean forest soils and highlight their dual role in greenhouse gas dynamics under changing climate conditions.
Full article

Figure 1
Open AccessArticle
Influence of Humic Acid and Gypsum on Phosphorus Dynamics and Rice Yield in an Acidic Paddy Soil of Thailand
by
Hartina, Tidarat Monkham, Worachart Wisawapipat, Patma Vityakon and Tanabhat-Sakorn Sukitprapanon
Soil Syst. 2026, 10(1), 3; https://doi.org/10.3390/soilsystems10010003 - 21 Dec 2025
Abstract
Managing phosphorus (P) in acidic paddy soils is crucial for sustaining rice yields. However, the effects of combined humic acid (HA) and flue gas desulfurization gypsum (FG), a by-product of coal-fired power plants, on P forms remain poorly understood. This study examined P
[...] Read more.
Managing phosphorus (P) in acidic paddy soils is crucial for sustaining rice yields. However, the effects of combined humic acid (HA) and flue gas desulfurization gypsum (FG), a by-product of coal-fired power plants, on P forms remain poorly understood. This study examined P forms using a sequential extraction procedure and XANES spectroscopy following the application of HA, FG, and HA + FG. HA increased organic labile P, while FG and HA + FG promoted HCl-extractable Pi and humic Po, respectively. XANES data revealed that P associated with aluminum (Al) (hydr)oxides was dominant in acidic paddy soils. Brushite (CaHPO4·2(H2O)) accounted for 25% and 19% of total P in the FG- and HA + FG-treated soil, respectively. Iron (Fe)-bound P was absent in control and FG-treated soils but was present as strengite (FePO4·2H2O) in HA- and HA + FG-treated soils (23% and 30% of the total P, respectively). Inositol hexakisphosphate (IHP), a non-labile Po, was in HA- and HA + FG-treated soil (12% and 31% of the total P, respectively). Archerite (KH2PO4) was 40% and 20% of the total P in HA- and HA + FG-treated soil, respectively. HA alone is an effective soil amendment that enhances P cycling and availability by increasing organic P mineralization, boosting rice yield in acidic paddy soil.
Full article
(This article belongs to the Special Issue Biogeochemical Processes of Nutrients in Soil and Sediments: C, N, and P Cycling)
►▼
Show Figures

Graphical abstract
Open AccessReview
Impacts of Micro/Nanoplastics on Crop Physiology and Soil Ecosystems: A Review
by
Aaron Ohene Boanor, Rose Nimoh Serwaa, Jin Hee Park and Jwakyung Sung
Soil Syst. 2026, 10(1), 2; https://doi.org/10.3390/soilsystems10010002 - 19 Dec 2025
Abstract
►▼
Show Figures
Long-term exposure of plastics to the environment causes them to disintegrate, resulting in the formation of micro/nanoplastics as well as the release of additives and chemicals into the soil. The micro/nanoplastics are able to readily migrate into the soil, destabilize the soil microbiota,
[...] Read more.
Long-term exposure of plastics to the environment causes them to disintegrate, resulting in the formation of micro/nanoplastics as well as the release of additives and chemicals into the soil. The micro/nanoplastics are able to readily migrate into the soil, destabilize the soil microbiota, and finally enter crop plants. Endocytosis, apoplastic transport, root adsorption, transpiration pull, stomatal entry, and crack-entry mode are well-known pathways by which microplastics enter into plants. Roots of vegetable crops were able to transfer 0.2 µm–1.0 µm of microplastics through root adsorption and by transpiration pull to the xylem and then further transported them to the plant tissues through apoplastic pathways. Beads of 1000 nm size were also engulfed by BY-2 protoplast cells through endocytosis. Micro and nanoplastics that enter crops affected the physiological and biochemical activities of the plants. Aquaporins were needed to aid the symplastic pathway which made the symplastic pathway difficult for MPs/NPs transport. Microplastics block seed capsules and roots of seedlings, thereby negatively affecting the uptake and efficient use of nutrients supplied. Photosynthesis of plants was affected due to the reduction in chlorophyll contents. Exposing soils to MPs/NPs drastically affected the pH, EC, and bulk density of the soil. This review focused on bridging the knowledge gap with understanding how microplastics prevent nutrient uptake and nutrient use efficiency in plants. This understanding is essential for assessing the broader ecological impacts of plastic contamination and for developing effective mitigation strategies. Further research is needed on microorganisms capable of degrading plastics, as well as on developing analytical methods for detecting plastics in soil and plant tissues. Also, further research on how to replace plastic mulching and still provide the same benefits as plastic mulch is needed.
Full article

Figure 1
Open AccessArticle
Restoring Soil and Ecosystem Functions in Hilly Olive Orchards in Northwestern Syria by Adopting Contour Tillage and Vegetation Strips in a Mediterranean Environment
by
Zuhair Masri, Francis Turkelboom, Chi-Hua Huang, Thomas E. Schumacher and Venkataramani Govindan
Soil Syst. 2026, 10(1), 1; https://doi.org/10.3390/soilsystems10010001 - 19 Dec 2025
Abstract
Steep olive orchards in northwest Syria are experiencing severe land degradation as a result of unsustainable uphill–downhill tillage, which accelerates erosion and reduces productivity. To address this problem, three tillage systems, no-till natural vegetation strips (NVSs), contour tillage, and uphill–downhill tillage, were evaluated
[...] Read more.
Steep olive orchards in northwest Syria are experiencing severe land degradation as a result of unsustainable uphill–downhill tillage, which accelerates erosion and reduces productivity. To address this problem, three tillage systems, no-till natural vegetation strips (NVSs), contour tillage, and uphill–downhill tillage, were evaluated at two research sites, Yakhour and Tel-Hadya, NW Syria. The adoption of no-till NVSs significantly increased soil organic matter (SOM) at both sites, outperforming uphill–downhill tillage. While contour tillage resulted in lower SOM levels than NVSs, it still performed better than the conventional uphill–downhill practice. Contour soil flux (CSF) was lower in Yakhour, where mule-drawn tillage on steep slopes (31–35%) was practiced, compared to higher CSF values in Tel-Hadya, where tractor tillage was applied on gentler slopes (11–13%), which highlights the influence of slope steepness on soil fluxes. Over four years, net soil flux (NSF) indicated greater soil loss under tractor tillage, confirming that mule-drawn tillage is less disruptive. Olive trees with no-till NVSs benefited from protected root systems, improved soil structure through SOM accumulation, reduced erosion risk, and improved surface runoff buffering, which resulted in increased water infiltration and soil water retention. This study was carried out using a participatory technology development (PTD) framework, which guided the entire research process, from diagnosing problems to co-designing, field testing, and refining soil conservation practices. In Yakhour, farmers actively identified the challenges of degradation. They collaboratively chose no-till natural vegetation strips (NVSs) and contour tillage as key interventions, valuing NVSs for their ability to conserve moisture, suppress weeds and pests, and increase olive productivity. The farmer–scientist co-learning network positioned PTD not only as an outreach tool but also as a core research method, enabling locally relevant and scalable strategies to restore soil functions and combat land degradation in northwest Syria’s hilly olive orchards.
Full article
(This article belongs to the Special Issue Soil Erosion, Mass Movements and Pedoclimatic Disequilibrium in Aggradational Landforms)
►▼
Show Figures

Graphical abstract
Open AccessArticle
Fingerprinting of Bulk and Water-Extractable Soil Organic Matter of Chernozems Under Different Tillage Practices for Twelve Years: A Case Study
by
Yulian Farkhodov, Natalia Danchenko, Igor Danilin, Irina Grigoreva, Natalia Matveeva, Aliia Ziganshina, Nikita Ermolaev, Sergey Yudin, Ivan Nadutkin, Sergey Kambulov and Vladimir Kholodov
Soil Syst. 2025, 9(4), 138; https://doi.org/10.3390/soilsystems9040138 - 15 Dec 2025
Abstract
Soil conservation technologies are widely studied for their effects on soil organic carbon (SOC) preservation, yet their impact on the composition of soil organic matter (SOM) remains underinvestigated. This study evaluated the effects of two non-inversion tillage systems, MP and NT, on agro-physical
[...] Read more.
Soil conservation technologies are widely studied for their effects on soil organic carbon (SOC) preservation, yet their impact on the composition of soil organic matter (SOM) remains underinvestigated. This study evaluated the effects of two non-inversion tillage systems, MP and NT, on agro-physical and chemical properties and SOM composition (including water-extractable matter) in Haplic Chernozem Pachic. After 12 years, non-inversion tillage showed no significant differences in SOC, WEOC, and soil structure condition compared to MP. Only NT treatment distinctly enhanced the coefficient of soil structuring (Kstr) and mean diameter of water-stable aggregates (MWDWSA), by 1.5 and 2 times, respectively. Differences in SOM composition were clearly pronounced between treatments in the 0–10 cm layer. Non-inversion tillage favored microbial-derived stable SOM, whereas NT enriched SOM with fresh plant material. Our findings revealed that non-inversion tillage shifts the composition of SOM toward recalcitrant components even more than MP due to limited fresh OM input and enhanced mineralization of unprotected SOM during tillage. This poses carbon loss risks. Periodic moldboard plowing may be a way to improve carbon retention in non-inversion tillage, as it allows plant residues to be incorporated into the soil profile and replenish organic matter.
Full article
(This article belongs to the Special Issue Land Use and Management on Soil Properties and Processes: 2nd Edition)
►▼
Show Figures

Graphical abstract
Open AccessReview
Phytoremediation of Co-Contaminated Environments: A Review of Microplastic and Heavy Metal/Organic Pollutant Interactions and Plant-Based Removal Approaches
by
Pavlos Tziourrou and Evangelia E. Golia
Soil Syst. 2025, 9(4), 137; https://doi.org/10.3390/soilsystems9040137 - 15 Dec 2025
Abstract
The increasing presence of microplastics (MPs) in terrestrial ecosystems, particularly when combined with organic pollutants and heavy metals, presents a considerable environmental challenge. This review examines the intricate interactions between MPs, co-contaminants (both organic and inorganic), and plants involved in phytoremediation processes. A
[...] Read more.
The increasing presence of microplastics (MPs) in terrestrial ecosystems, particularly when combined with organic pollutants and heavy metals, presents a considerable environmental challenge. This review examines the intricate interactions between MPs, co-contaminants (both organic and inorganic), and plants involved in phytoremediation processes. A literature search was performed across the databases Scopus, ScienceDirect, and Google Scholar, covering the timeframe from 2015 to 2025. The studies selected specifically addressed the synergistic and antagonistic effects of microplastics in conjunction with heavy metals or organic pollutants (such as PAHs and pesticides) within plant–soil systems. The findings reveal that MPs influence pollutant mobility, bioavailability, and toxicity through adsorption and desorption mechanisms, leading to varied implications for plant growth, microbial communities, and contaminant uptake. Depending on the physicochemical characteristics of MPs and co-pollutants, the effects can range from increased phytotoxicity to diminished contaminant accumulation in plants. Additionally, physiological and molecular disruptions, including oxidative stress, hormonal imbalances, and impaired enzymatic activity, were frequently noted in co-contamination scenarios. Recent developments, such as the creation of genetically modified hyperaccumulator plants and the use of nanotechnology and microbial consortia, demonstrate potential to enhance phytoremediation efficiency in complex polluted soils. This review underscores the pressing need for integrated, multidisciplinary strategies to overcome the limitations of existing phytoremediation methods in co-contaminated environments. Future research should focus on standardized methodologies, a mechanistic understanding, and the safe implementation of emerging biotechnologies for sustainable soil remediation.
Full article
(This article belongs to the Special Issue Research on Trace and Hazardous Elements and Emerging Pollutants in Soils and Sediments)
►▼
Show Figures

Figure 1
Open AccessArticle
Heavy Metal Contamination in Homestead Agricultural Soils of Bangladesh: Industrial Influence, Human Exposure and Ecological Risk Assessment
by
Afia Sultana, Qingyue Wang, Miho Suzuki, Christian Ebere Enyoh, Md. Sohel Rana, Yugo Isobe and Weiqian Wang
Soil Syst. 2025, 9(4), 136; https://doi.org/10.3390/soilsystems9040136 - 11 Dec 2025
Abstract
Heavy metal contamination in agricultural soils poses serious threats to food safety, ecosystem integrity, and public health. This study investigates the concentrations, ecological risks, and human health impacts of nine heavy metals Cr, Mn, Co, Ni, Cu, Zn, Pb, As, and V in
[...] Read more.
Heavy metal contamination in agricultural soils poses serious threats to food safety, ecosystem integrity, and public health. This study investigates the concentrations, ecological risks, and human health impacts of nine heavy metals Cr, Mn, Co, Ni, Cu, Zn, Pb, As, and V in homestead agricultural soils collected from two depths, surface (0–20 cm) and subsurface (21–50 cm), across industrial and non-industrial regions of Bangladesh, using inductively coupled plasma mass spectrometry (ICP-MS). Results revealed that surface soils from industrial areas exhibited the highest metal concentrations in order of Mn > Zn > Cr > Pb > V > Ni > Cu > As > Co. However, maximum As levels were detected in non-industrial areas, suggesting combined influences of local geology, intensive pesticide application, and prolonged irrigation with As-contaminated groundwater. Elevated concentrations in surface soils indicate recent contamination with limited downward migration. Multivariate statistical analyses indicated that industrial and urban activities are the major sources of contamination, whereas Mn remains primarily geogenic, controlled by natural soil forming processes. Contamination factor (CF) and pollution load index (PLI) analyses identified Pb and As as the principal pollutants, with hotspots in Nairadi, Majhipara (Savar), Gazipur sadar, and Chorkhai (Mymensingh). Ecological risk (ER) assessment highlighted As and Pb as the dominant environmental stressors, though overall risk remained low. Human health risk analysis showed that ingestion is the primary exposure pathway, with children being more susceptible than adults. Although the hazard index (HI) values were within the acceptable safety limits, the estimated carcinogenic risks for As and Cr exceeded the USEPA thresholds, indicating potential long term health concerns. Therefore, the cumulative carcinogenic risk (CCR) results demonstrate that As is the primary driver of lifetime carcinogenic risk in homestead soils, followed by Cr, while contributions from other metals are minimal. These findings emphasize the urgent need for continuous monitoring, improved industrial waste management, and targeted mitigation strategies to ensure safe food production, a cleaner environment, and better public health.
Full article
(This article belongs to the Special Issue Challenges and Future Trends of Soil Ecotoxicology)
►▼
Show Figures

Figure 1
Open AccessArticle
Volatile Organic Compounds from Candelilla-Associated PGPR Enhance Arabidopsis thaliana Seedling Growth Under Salinity Stress
by
María Teresa Salazar-Ramírez, Rubén Palacio-Rodríguez, Jesús Josafath Quezada-Rivera, Tania Elizabeth Velásquez-Chávez, Gisela Muro-Pérez, Hortencia Ivone Ortega-Reyes, Jorge Arnaldo Orozco-Vidal, Antonio Gerardo Yescas-Coronado, Gerardo Antonio Verástegui-Hernández and Jorge Sáenz-Mata
Soil Syst. 2025, 9(4), 135; https://doi.org/10.3390/soilsystems9040135 - 10 Dec 2025
Abstract
Soil salinity imposes a critical constraint on plant productivity, highlighting the need for sustainable biological strategies to enhance stress tolerance. This study assessed the effects of volatile organic compounds (VOCs) emitted by ten plant-growth-promoting rhizobacteria (PGPR) isolated from the rhizosphere of Euphorbia antisyphilitica
[...] Read more.
Soil salinity imposes a critical constraint on plant productivity, highlighting the need for sustainable biological strategies to enhance stress tolerance. This study assessed the effects of volatile organic compounds (VOCs) emitted by ten plant-growth-promoting rhizobacteria (PGPR) isolated from the rhizosphere of Euphorbia antisyphilitica on the growth of Arabidopsis thaliana seedlings exposed to 0, 50, and 100 mM NaCl. A divided Petri dish system was used to quantify biomass, root architecture, proline accumulation, sodium content, and chlorophyll concentration. Three strains—Siccibacter colletis CASEcto12, Enterobacter quasihormaechei NFbEcto18, and Bacillus wiedmannii NFbEndo12—significantly enhanced seedling development under saline and non-saline conditions (p ≤ 0.05). At 50 mM NaCl, S. colletis CASEcto12 increased primary root length from 40.25 to 64.81 mm and fresh weight from 45.05 to 133.33 mg, while E. quasihormaechei NFbEcto18 elevated lateral root number from 10 to 24, compared to the uninoculated control. Under 100 mM NaCl, E. quasihormaechei NFbEcto18 increased proline accumulation (0.564–1.378 mmol g−1 FW) and reduced Na+ content (0.146–0.084 mmol g−1 FW), indicating improved osmotic and ionic regulation. VOC profiling using SPME-GC-MS revealed aldehydes, ketones, and alcohols as predominant classes. Overall, these findings demonstrate the potential of candelilla-associated PGPR VOCs as promising biostimulants for enhancing plant performance in salt-affected soils.
Full article
(This article belongs to the Topic Microbe-Induced Abiotic Stress Alleviation in Plants)
►▼
Show Figures

Figure 1
Open AccessArticle
Monitoring Soil Biodiversity and Biological Resilience in Disturbed Ecosystems: First Application of the BSR Index
by
Giambattista Maria Altieri, Josefina Garrido, Salustiano Mato, Benedicto Soto, Vito Santarcangelo, Giuseppe Bari and Eustachio Tarasco
Soil Syst. 2025, 9(4), 134; https://doi.org/10.3390/soilsystems9040134 - 9 Dec 2025
Abstract
►▼
Show Figures
Soil biodiversity is crucial for maintaining biological soil resilience, understood as a temporal property and as the ability of soils to uphold or recover their ecological functions under stress thanks to the diversity and complementarity of their biological communities. To evaluate this property,
[...] Read more.
Soil biodiversity is crucial for maintaining biological soil resilience, understood as a temporal property and as the ability of soils to uphold or recover their ecological functions under stress thanks to the diversity and complementarity of their biological communities. To evaluate this property, we developed the Biological Soil Resilience Index (BSR), conceived as an evolution of the QBS-ar approach by integrating additional key bioindicators—entomopathogenic nematodes, entomopathogenic fungi, and earthworms—together with microarthropod eco-morphological adaptation scores. This multi-taxon framework provides a more comprehensive assessment of soil biological conditions than single-group indices and is specifically designed to be applied repeatedly over time to detect resilience trajectories. The Biodiversity Soil Resilience (BSR) Index was applied across nine sites subject to low, medium, and high anthropogenic disturbance, spanning urban, industrial, and airport environments. Results revealed not a resilience gradient but a clear disturbance gradient: low-impact sites achieved the highest BSR values (52–59), reflecting diverse and functionally complementary assemblages; medium-impact sites maintained moderate BSR value (27–42), but displayed imbalances among faunal groups; and high-impact sites showed the lowest values, including a critically low score at C_HI (17.86), where entomopathogens were absent and earthworm populations reduced. Entomopathogenic organisms proved particularly sensitive, disappearing entirely under severe disturbance. The BSR was sensitive to environmental gradients and effective in distinguishing ecologically meaningful differences among soil communities. Because it can be repeatedly applied over time, BSR provides the basis for monitoring long-term resilience dynamics, detecting early warning signals, and support timely mitigation or restoration measures. Overall, the study highlights the pivotal role of biodiversity in sustaining soil resilience and supports the BSR Index as a simple yet integrative tool for soil health assessment and for future resilience monitoring in disturbed landscapes.
Full article

Graphical abstract
Open AccessArticle
Assessment of the Accuracy of ISRIC and ESDAC Soil Texture Data Compared to the Soil Map of Greece: A Statistical and Spatial Approach to Identify Sources of Differences
by
Stylianos Gerontidis, Konstantinos X. Soulis, Alexandros Stavropoulos, Evangelos Nikitakis, Dionissios P. Kalivas, Orestis Kairis, Dimitrios Kopanelis, Xenofon K. Soulis and Stergia Palli-Gravani
Soil Syst. 2025, 9(4), 133; https://doi.org/10.3390/soilsystems9040133 - 25 Nov 2025
Abstract
Soil maps are essential for managing Earth’s resources, but the accuracy of widely used global and pan-European digital soil maps in heterogeneous landscapes remains a critical concern. This study provides a comprehensive evaluation of two prominent datasets, ISRIC-SoilGrids and the European Soil Data
[...] Read more.
Soil maps are essential for managing Earth’s resources, but the accuracy of widely used global and pan-European digital soil maps in heterogeneous landscapes remains a critical concern. This study provides a comprehensive evaluation of two prominent datasets, ISRIC-SoilGrids and the European Soil Data Centre (ESDAC), by comparing their soil texture predictions against the detailed Greek National Soil Map, which is based on over 10,000 field samples. The results from statistical and spatial analyses reveal significant discrepancies and weak correlations, with a very low overall accuracy for soil texture class prediction (19–21%) and high Root Mean Square Error (RMSE) values ranging from 13% to 19%. The global models failed to capture local variability, showing very low explanatory power (R2 < 0.2) and systematically underrepresenting soils with extreme textures. Furthermore, these prediction errors are not entirely random but are significantly clustered in hot spots linked to distinct parent materials and geomorphological features. Our findings demonstrate that while invaluable for large-scale assessments, the direct application of global soil databases for regional policy or precision agriculture in a geologically complex country like Greece is subject to considerable uncertainty, highlighting the critical need for local calibration and the integration of national datasets to improve the reliability of soil information.
Full article
(This article belongs to the Special Issue Use of Modern Statistical Methods in Soil Science)
►▼
Show Figures

Figure 1
Open AccessArticle
Effects of Long-Term Soil Management Under Alfalfa Cultivation on Soil Fertility and Salinity in Arid Agroecosystems of the Ziban Region, Algeria
by
Fatima Zohra Batoul Touati, Abdelbasset Boumadda, Fouzi Benbrahim, Abderraouf Benslama and Jose Navarro-Pedreño
Soil Syst. 2025, 9(4), 132; https://doi.org/10.3390/soilsystems9040132 - 20 Nov 2025
Abstract
In arid regions, the soil degradation from salinization, low organic matter content, and compaction severely limits agricultural productivity. Leguminous perennials such as alfalfa (Medicago sativa L.) have the potential to restore soil quality, but their long-term effects remain underexplored in North African
[...] Read more.
In arid regions, the soil degradation from salinization, low organic matter content, and compaction severely limits agricultural productivity. Leguminous perennials such as alfalfa (Medicago sativa L.) have the potential to restore soil quality, but their long-term effects remain underexplored in North African drylands. This study aimed to evaluate the impacts of long-term (7–8 years) alfalfa cultivation on soil fertility and salinity in the Ziban region of Algeria. Ninety topsoil samples (0–30 cm) from cultivated and adjacent uncultivated plots were collected and analyzed, determining organic matter (OM), soil organic carbon (SOC), soil nitrogen stock (SNS), electrical conductivity (EC), sodium adsorption ratio (SAR), pH, major cations (Ca2+, Mg2+, Na+), sulfate (SO42−), bulk density (BD), and texture. Compared with uncultivated soils, alfalfa cultivation increased OM by 82.26%, SOC by 78.38%, and SNS by 102.99%, while reducing EC by 40.36%, SAR by 28.94% and BD by 6.16% (p < 0.05), indicating significant improvements in fertility, structure and reductions in sodicity. PCA revealed distinct gradients separating fertility–salinity parameters from compaction–sodicity in cultivated and uncultivated soils. These results confirm that alfalfa systems enhance nutrient cycling, reduce salt stress, and improve structural stability in arid agroecosystems through reduced bulk density and increased organic matter in arid agroecosystems. Integrating alfalfa into land management strategies could promote sustainable restoration of degraded soils in drylands. Further research should optimize irrigation and organic inputs to maximize these benefits under climate-stress conditions.
Full article
(This article belongs to the Special Issue Integrated Soil Management: Food Supply, Environmental Impacts, and Socioeconomic Functions: 2nd Edition)
►▼
Show Figures

Figure 1
Open AccessArticle
Soil Properties Governing Erodibility of Cuban Soils: A Univariate Erodibility Equation
by
Gustavo R. Alonso, Javier Casalí, Miguel Ángel Campo-Bescós and Jorge Díaz
Soil Syst. 2025, 9(4), 131; https://doi.org/10.3390/soilsystems9040131 - 19 Nov 2025
Abstract
Accelerated water erosion is a major soil degradation process that affects soil and water quality. In Cuba, specifically, more than 40% of agricultural lands are affected by severe erosion problems. Estimating accurate erodibility values is a crucial step for the calibration and proper
[...] Read more.
Accelerated water erosion is a major soil degradation process that affects soil and water quality. In Cuba, specifically, more than 40% of agricultural lands are affected by severe erosion problems. Estimating accurate erodibility values is a crucial step for the calibration and proper application of erosion models. Several equations have been developed to estimate erodibility from soil properties; however, these are often soil- or site-specific, limiting their application. This study aims to (1) identify soil properties governing the erodibility of tropical soils from western Cuba, (2) find suitable regression models to estimate erodibility from these properties, and (3) test widely applied erodibility equations. To achieve these goals, rainfall simulation experiments were conducted on runoff plots, and erosion-related physical, chemical, and mechanical soil properties were determined for 19 different soils. The main results indicated that good correlations between erodibility and certain soil properties were achieved after clustering soils based on their cation exchange capacity (CEC) values and clay content. Soils characterized by more than 30% of clay and 40 cmol+ kg−1 of CEC were excluded from the main analysis. Generally, clay content controls the erodibility of these tropical soils, exhibiting an inverse relationship. However, in the excluded soils, the clay fraction showed a positive relationship with erodibility. Soil water retention at the lowest matric potentials demonstrated the strongest correlation with soil erodibility, as this variable encompasses compound information related to clay, mineralogy, and organic matter. A new regression model to estimate erodibility based solely on the volumetric water content at 1500 kPa is presented. The optimal fitted logarithmic model accounts for 64% of the predictand variability in the studied soils. When testing known erodibility models, the nomograph was found to best mimic the erodibility trend of these soils, although it exhibited marked uncertainty and underestimation biases.
Full article
(This article belongs to the Special Issue Soil Erosion, Mass Movements and Pedoclimatic Disequilibrium in Aggradational Landforms)
►▼
Show Figures

Figure 1
Open AccessArticle
Washing Procedure with Several Reagents for Ecological Rehabilitation of Soil Polluted with Heavy Metals
by
Ioana Monica Sur, Vasile Calin Prodan, Valer Micle, Mircea Nasui, Andreea Hegyi, Veronica Simona Pop and Liviu Iacob Scurtu
Soil Syst. 2025, 9(4), 130; https://doi.org/10.3390/soilsystems9040130 - 16 Nov 2025
Abstract
Soil contamination by heavy metals poses serious risks to human health and the environment. This study investigates the removal of Pb, Cu, Zn, Cd, and Cr from heavily contaminated slightly acidic to neutral soil (pH 6.5) using organic washing agents (humus, malic acid,
[...] Read more.
Soil contamination by heavy metals poses serious risks to human health and the environment. This study investigates the removal of Pb, Cu, Zn, Cd, and Cr from heavily contaminated slightly acidic to neutral soil (pH 6.5) using organic washing agents (humus, malic acid, and gluconic acid) at concentrations of 1% and 3% and a solid-to-liquid ratio (S/L) of 1:8. The results reveal that metal mobilization depends strongly on the type and concentration of the extraction agent, the target metal, and soil properties. Cd was highly mobilized, reaching more than 90% with 3% gluconic acid, whereas Cu and Pb remained largely immobile (<3%), and Cr (40–78%) and Zn (8–26%) showed intermediate extraction. This study establishes a clear hierarchy of metal mobility (Cd > Cr > Zn > Cu ≈ Pb) and demonstrates that metal speciation, soil chemistry, pH, and S/L ratio critically govern extraction efficiency. These findings provide mechanistic insights into metal–ligand interactions and practical guidance for optimizing soil remediation strategies using organic acids.
Full article
(This article belongs to the Special Issue Research on Trace and Hazardous Elements and Emerging Pollutants in Soils and Sediments)
►▼
Show Figures

Figure 1
Open AccessArticle
Fungi and Potentially Toxic Elements (PTEs): Exploring Mycobiota in Serpentinite Soils
by
Laura Canonica, Grazia Cecchi, Sebastiano Comba, Simone Di Piazza, Fedra Gianoglio, Pietro Marescotti, Samuele Voyron and Mirca Zotti
Soil Syst. 2025, 9(4), 129; https://doi.org/10.3390/soilsystems9040129 - 14 Nov 2025
Abstract
Serpentinite soils represent extreme environments characterized by deficiencies in essential nutrients (Ca, K, P, N), an unfavorable Ca/Mg ratio, low water retention, and elevated concentrations of several geogenic potentially toxic elements (PTEs). In particular, the study site, located in Sassello (Liguria, Italy) within
[...] Read more.
Serpentinite soils represent extreme environments characterized by deficiencies in essential nutrients (Ca, K, P, N), an unfavorable Ca/Mg ratio, low water retention, and elevated concentrations of several geogenic potentially toxic elements (PTEs). In particular, the study site, located in Sassello (Liguria, Italy) within the serpentinites of the High-Pressure–Low-Temperature (HP–LT) metaophiolites of the Voltri Massif, exhibited concentrations of chromium, nickel and cobalt exceeding Italian legal thresholds by up to one order of magnitude. This study aimed to assess fungal diversity and to isolate culturable strains naturally adapted to these challenging conditions for potential use in bioremediation. Culturable-dependent analyses allowed for the isolation of viable fungal strains, with Penicillium (52%), Umbelopsis (17.9%), and Aspergillus (11.6%) found as dominant genera. Additionally, metabarcoding analyses provided a broader view of fungal community composition, revealing the presence and distribution of both culturable and non-culturable taxa. The combined approach highlighted the richness of the serpentinite soil mycobiota and its role as a reservoir of PTE-resistant organisms. These findings offer new insights into the ecology of metal-rich soils and identify promising candidates for sustainable remediation strategies in PTE-contaminated environments.
Full article
(This article belongs to the Special Issue Research on Trace and Hazardous Elements and Emerging Pollutants in Soils and Sediments)
►▼
Show Figures

Figure 1
Open AccessArticle
Soil De-Sealing and Recycled Aggregates Application: One Year of Monitoring
by
Gaia Mascetti, Roberto Comolli, Francesca Pittino, Isabella Gandolfi and Chiara Ferré
Soil Syst. 2025, 9(4), 128; https://doi.org/10.3390/soilsystems9040128 - 14 Nov 2025
Abstract
►▼
Show Figures
De-sealing, or depaving, is increasingly adopted to restore soil permeability and support green infrastructure, yet its potential to recover soil functions remains insufficiently understood. This study reports one year of soil monitoring following the de-sealing of a brownfield site in Milan (Italy). It
[...] Read more.
De-sealing, or depaving, is increasingly adopted to restore soil permeability and support green infrastructure, yet its potential to recover soil functions remains insufficiently understood. This study reports one year of soil monitoring following the de-sealing of a brownfield site in Milan (Italy). It compares the evolution of pedoclimatic parameters in sealed and de-sealed soils and assesses the suitability of recycled aggregates (RAs) from demolition waste as a soil-forming material. Buried sensors continuously recorded pedoclimatic parameters, temperature, water content, and oxygen concentration, while periodic sampling was carried out to analyse soil chemical properties, bacterial community composition, and the quality of percolation water (heavy metal content). De-sealing immediately improved pedoclimatic conditions, enhancing soil aeration, water regulation, and heat exchange capacity. No significant variation was detected in soil chemical properties, apart from pH fluctuations linked to the leaching of alkaline ions from concrete-based RAs. The presence of RAs caused no adverse effects on either soil or percolation water. Bacterial community composition was strongly associated with soil organic carbon, C:N ratio, and soil water content, without showing clear temporal trends. Overall, the study demonstrates that de-sealing rapidly triggers soil functional recovery and that, when properly characterised for composition and contamination risk, RAs pose no evident threat to the surrounding environment.
Full article

Figure 1
Open AccessFeature PaperArticle
Development of Immunoenzyme Assay of Herbicide Acetochlor and Its Application to Soil Testing with Comparison of Sample Preparation Techniques
by
Anna N. Berlina, Anatoly V. Zherdev and Boris B. Dzantiev
Soil Syst. 2025, 9(4), 127; https://doi.org/10.3390/soilsystems9040127 - 13 Nov 2025
Abstract
Acetochlor is a selective herbicide affecting weeds of cereal plants. Its analysis in soils allows accessing their suitability for crops and risks of contamination of agricultural products. The aim of this study was to develop a microplate enzyme immunoassay for the determination of
[...] Read more.
Acetochlor is a selective herbicide affecting weeds of cereal plants. Its analysis in soils allows accessing their suitability for crops and risks of contamination of agricultural products. The aim of this study was to develop a microplate enzyme immunoassay for the determination of acetochlor in soil extracts. For the development, rabbit antibodies specific to acetochlor were obtained by immunization with a conjugate of carrier protein with a derivative of acetochlor with mercaptopropionic acid. Another derivative with mercaptosuccinic acid was applied for immobilization on the solid phase. In the study, organic extracts have been obtained from soil varying solvents and their ratios, and using QuEChERS protocol. The extracts have been tested to estimate residual influences of the sample matrix. Optimal conditions for the immunoassay were selected, appropriate sample preparation techniques, and the composition of the medium for competitive immune interaction. The most effective approach involved dichloromethane extraction, followed by careful evaporation and subsequent reconstitution of the dry residue in a 10 mM phosphate-buffer solution supplemented with 0.1% gelatin. The resulting analytical system exhibited a detection limit of 59.4 ng/mL for acetochlor, with a working range spanning from 112 to 965 ng/mL. Taking into account the soil sample preparation, the LOD was estimated as 0.3 µg/g with the working range from 0.66 to 5.7 µg/g of soil. Analysis of prepared extracts from gray forest soil demonstrated a revealing of acetochlor between 74% and 124%.
Full article
(This article belongs to the Special Issue Research on Trace and Hazardous Elements and Emerging Pollutants in Soils and Sediments)
►▼
Show Figures

Figure 1
Open AccessArticle
Characterizing the Effects of Compaction on Agricultural Tilled Soil Macropore Characteristics Using X-Ray Computed Tomography
by
Zhuohuai Guan, Tao Jiang, Haitong Li, Min Zhang, Mei Jin and Dong Jiang
Soil Syst. 2025, 9(4), 126; https://doi.org/10.3390/soilsystems9040126 - 12 Nov 2025
Abstract
►▼
Show Figures
The risk of soil compaction by agricultural machinery threatens the structure and productivity of tilled soils. However, a quantitative understanding of how specific compaction loads alter the three-dimensional (3D) macropore architecture of tilled soil is still limited. This study employed X-ray computed tomography
[...] Read more.
The risk of soil compaction by agricultural machinery threatens the structure and productivity of tilled soils. However, a quantitative understanding of how specific compaction loads alter the three-dimensional (3D) macropore architecture of tilled soil is still limited. This study employed X-ray computed tomography (CT) to quantitatively characterize the evolution of the 3D macropore network in clay soil under a series of controlled compaction pressures (0, 30, 60, 90, and 120 kPa). Our results revealed a non-monotonic response of macropore number to compaction, which initially increased due to the fragmentation of large pores before declining, peaking at 90 kPa. Most critically, we identified 90 kPa as a critical threshold, beyond which macroporosity and the volume of elongated beneficial pores underwent drastic reductions of 64.8% and 46.6%, respectively. Compaction significantly reduced pore connectivity and surface area, with larger macropores (>1000 μm) proving most vulnerable. The study establishes a quantitative link between applied pressure and specific pore-scale damage, providing a scientific basis for designing agricultural machinery with ground pressures below this critical threshold to preserve soil structure and function after tillage.
Full article

Figure 1
Open AccessArticle
Effects of Different Tillage Systems on Soil Properties and Crop Yield in a Mollisol After 9, 22, and 25 Years of Implementation in Chapingo, Mexico
by
Francisco González-Breijo, Antonio Fidel Santos-Hernández, Alejandra Sahagún-García, Luis Antonio Hernández-Pedraza, Juan Fernando Gallardo-Lancho and Joel Pérez-Nieto
Soil Syst. 2025, 9(4), 125; https://doi.org/10.3390/soilsystems9040125 - 12 Nov 2025
Abstract
Sustainable soil management is crucial for balancing agricultural productivity and soil health in Mollisols under long-term tillage systems. This study evaluated the effects of no-tillage (NT), minimum conservation tillage (MCT), and conventional tillage (CT) on soil properties and maize yield in an irrigated
[...] Read more.
Sustainable soil management is crucial for balancing agricultural productivity and soil health in Mollisols under long-term tillage systems. This study evaluated the effects of no-tillage (NT), minimum conservation tillage (MCT), and conventional tillage (CT) on soil properties and maize yield in an irrigated Mollisol in Chapingo, Mexico, over 9, 22, and 25 yr, using a Latin square design with three replications. MCT significantly enhanced soil organic carbon (SOC), total nitrogen (TN), available phosphorus (AP), and exchangeable potassium (EK) compared to NT and CT, achieving the highest maize grain yield (7.21 t ha−1). NT exhibited the greatest SOC and EK in the surface layer. Physical properties, such as bulk density and porosity, remained stable across systems, reflecting Mollisol resilience. Although MCT optimized fertility and productivity, nutrient declines from 2021 to 2024 highlight the need for adaptive management strategies to sustain long-term productivity, supporting global soil conservation and sustainable agriculture goals.
Full article
(This article belongs to the Special Issue Research on Soil Management and Conservation: 2nd Edition)
►▼
Show Figures

Figure 1
Open AccessArticle
A Framework Based on Isoparameters for Clustering and Mapping Geophysical Data in Pedogeomorphological Studies
by
Gustavo Vieira Veloso, Danilo César de Mello, Heitor Paiva Palma, Murilo Ferre Mello, Lucas Vieira Silva, Elpídio Inácio Fernandes-Filho, Márcio Rocha Francelino, Tiago Osório Ferreira, José Cola Zanuncio, Davi Feital Gjorup, Roney Berti de Oliveira, Marcos Rafael Nanni, Renan Falcioni and José A. M. Demattê
Soil Syst. 2025, 9(4), 124; https://doi.org/10.3390/soilsystems9040124 - 8 Nov 2025
Abstract
Understanding soil variability supports improved land use and soil security. This study aimed to generate uniform geophysical classes by integrating data from three proximal geophysical sensors with synthetic soil and satellite images using machine learning, proposing a soil survey protocol. Geophysical data—natural gamma-ray
[...] Read more.
Understanding soil variability supports improved land use and soil security. This study aimed to generate uniform geophysical classes by integrating data from three proximal geophysical sensors with synthetic soil and satellite images using machine learning, proposing a soil survey protocol. Geophysical data—natural gamma-ray emissions (eU, eTh, K40), magnetic susceptibility (κ), and apparent electrical conductivity (ECa)—were collected in Piracicaba, Brazil, and clustered into homogeneous geophysical-isoparameter classes. These classes were modeled alongside Synthetic Soil Images (SYSIs), Sentinel-2 (0.45–2.29 μm), Landsat (0.43–12.51 μm) imagery, and morphometric variables. Empirical validation compared the resulting geophysical-isoparameter map with conventional pedological and lithological maps. The Support Vector Machine (SVM) algorithm exhibited the best classification performance. Results demonstrated that geophysical sensors quantitatively and qualitatively capture soil attributes linked to formation processes and types. The geophysical-isoparameter map correlated well with pedological and lithological patterns. The proposed protocol offers soil scientists a practical tool to delineate soil and lithological units using combined sensor data. Promoting collaboration among pedologists, pedometric mappers, and remote sensing experts, this approach presents a novel framework to enhance soil survey accuracy and efficiency.
Full article
(This article belongs to the Special Issue Use of Modern Statistical Methods in Soil Science)
►▼
Show Figures

Figure 1
Highly Accessed Articles
Latest Books
E-Mail Alert
News
Topics
Topic in
Agriculture, Agronomy, Crops, Horticulturae, Sustainability, Grasses, Plants, Soil Systems
Soil Fertility and Plant Nutrition for Sustainable Agriculture—2nd Edition
Topic Editors: Othmane Merah, Purushothaman Chirakkuzhyil Abhilash, Hailin Zhang, Dionisios GasparatosDeadline: 31 December 2025
Topic in
Agriculture, Agronomy, Ecologies, IJPB, Plants, Soil Systems
The Role of Plant-Soil Interactions on Crop Yields and Carbon Sequestration
Topic Editors: Jifu Ma, Meng Zhou, Caiqing QinDeadline: 31 July 2026
Topic in
Agriculture, Agronomy, Crops, Soil Systems, Agrochemicals
Soil Health and Nutrient Management for Crop Productivity
Topic Editors: Na Li, Dorcas H. FranklinDeadline: 30 September 2026
Topic in
Agronomy, Environments, Processes, Soil Systems, Pollutants
Soil Quality: Monitoring Attributes and Productivity
Topic Editors: Antonio Fernandes, Wendel Valter Da Silveira PereiraDeadline: 31 October 2026
Conferences
Special Issues
Special Issue in
Soil Systems
Advances in the Prediction and Remediation of Soil Salinization: 2nd Edition
Guest Editors: Mandana Shaygan, Mansour EdrakiDeadline: 31 December 2025
Special Issue in
Soil Systems
Peatlands: Properties, Values and Recent Advances
Guest Editors: Samantha Grover, Fereshteh Shahriari, Sabine Jordan, Örjan BerglundDeadline: 31 December 2025
Special Issue in
Soil Systems
Soil Erosion, Mass Movements and Pedoclimatic Disequilibrium in Aggradational Landforms
Guest Editors: Antônio José Teixeira Guerra, Antonio Carlos de Barros CorreaDeadline: 15 January 2026
Special Issue in
Soil Systems
Microbial Community Structure and Function in Soils
Guest Editors: Roberta Pastorelli, Sara Del DucaDeadline: 30 January 2026




