Next Article in Journal
Late Paleozoic–Mesozoic Tectonic Evolution of the Mudanjiang Ocean: Constraints from the Zircon U-Pb and Ar-Ar Chronology of the Heilongjiang Complex, NE China
Previous Article in Journal
Technosol Micromorphology Reveals the Early Pedogenesis of Abandoned Rare Earth Element Mining Sites Undergoing Reclamation in South China
Previous Article in Special Issue
Effects of Expansive Clay Content on the Hydromechanical Behavior of Liners Under Freeze-Thaw Conditions
 
 
Font Type:
Arial Georgia Verdana
Font Size:
Aa Aa Aa
Line Spacing:
Column Width:
Background:
Article

Microstructural Characterization of Expansive Soil Stabilized with Coconut Husk Ash: A Multi-Technique Investigation into Mineralogy, Pore Architecture, and Surface Interactions

1
Department of Civil Engineering, BITS-Pilani Hyderabad Campus, Secunderabad 500078, India
2
Department of Civil and Environmental Engineering, Hiroshima University, 1-4-1 Kagamiyama, Higashi Hiroshima City 739-8527, Hiroshima, Japan
3
Department of Engineering, La Trobe University, Melbourne, VIC 3086, Australia
*
Author to whom correspondence should be addressed.
Minerals 2025, 15(5), 516; https://doi.org/10.3390/min15050516
Submission received: 28 February 2025 / Revised: 5 May 2025 / Accepted: 9 May 2025 / Published: 14 May 2025

Abstract

Black cotton soil (BCS) is unsuitable for construction due to its high plasticity, low shear strength, and significant volume changes upon wetting and drying. The present study investigates the effectiveness of an alkali-activated coconut husk ash (CHA) binder in improving the geotechnical properties of BCS. CHA is derived from coconut husk and serves as a sustainable binder. Microstructural characterization of untreated and CHA-treated BCS was carried out using scanning electron microscopy (SEM), energy dispersive spectroscopy (EDS), and Fourier transform infrared spectroscopy (FTIR). The specific surface area (SSA) and porosity were evaluated using nitrogen gas adsorption methods based on the Brunauer–Emmett–Teller (BET) and Langmuir techniques. The Barrett–Joyner–Halenda (BJH) method demonstrated a decrease in mean pore diameter from 6.7 nm to 6.2 nm following CHA treatment. The SSA diminished from 40.94 m2/g to 25.59 m2/g, signifying the development of calcium silicate hydrate (C-S-H) gels that occupied the pore spaces. The formation of pozzolanic reaction products enhanced the microstructural integrity of the treated soil. Unconfined compressive strength (UCS) test results at 24 h and 28 days of curing for CHA-treated soil have been incorporated to analyze the optimum binder content. The UCS values enhanced significantly from 182 kPa to 305 kPa and 1030 kPa, respectively, at 9% binder content after 24 h and 28 days of curing. The microstructural and mechanical strength test analysis results indicated that CHA is a feasible and environmentally sustainable substitute for BCS stabilization. CHA-based AAB will be an eco-friendly alternative to cement and lime, reducing CO2 emissions and construction costs.

1. Introduction

Black cotton soil (BCS) presents significant challenges in geotechnical engineering due to its high swelling-shrinkage behavior, low bearing capacity, and moisture sensitivity. Embankments and subgrade layers constructed on BCS are prone to degradation, as the continuous shrinking and swelling due to the high montmorillonite content of the soil can lead to the formation of ruts, potholes, and cracks [1,2].
Several industrial wastes, such as phosphogypsum, cement dust, blast furnace slag, and fly ash, have been explored for soil stabilization, each offering unique benefits and limitations [3,4,5]. Phosphogypsum, for instance, contains naturally occurring radioactive elements such as uranium and radium, which limit its widespread applicability due to health and environmental safety concerns [6]. In contrast, coconut husk ash (CHA) is completely non-radioactive, making it a safer and more sustainable alternative [7,8].
Cement waste dust and fly ash have also been used to stabilize black cotton soil, with studies reporting improvements in geotechnical properties such as maximum dry density (MDD) and optimum moisture content (OMC) [9,10,11]. However, exposure to cement dust can lead to serious respiratory issues, including coughing, shortness of breath, asthma, and skin and eye irritation from prolonged contact [12].
Ground granulated blast furnace slag (GGBS) has shown the potential to enhance the fatigue life of stabilized soil under repeated traffic loads, indicating its suitability for road construction [10]. However, its delayed setting time can be a drawback for projects that require quick strength gain and faster construction timelines [13].
Traditional stabilization techniques using cement or lime contribute significantly to carbon emissions and are increasingly being replaced by sustainable alternatives such as rice husk ash (RHA), groundnut shell ash (GNSA), jute fiber, coir fiber, and sugarcane bagasse ash (SCBA) [14,15,16,17,18,19,20]. Soil stabilization using agricultural waste products offers a sustainable and cost-effective solution to improve the engineering properties of expansive soils [18,21,22,23]. One such alternative is coconut husk ash (CHA), an agro-waste by-product derived from the combustion of coconut husks [7].
Coconut production is widespread in tropical regions, with India alone generating over 9871 million nuts/hectare annually (Ministry of Agriculture and Farmers Welfare, Government of India). Approximately 90% of the coconut cultivation area in India is concentrated in the southern states, namely Kerala, Karnataka, Tamil Nadu, Telangana, and Andhra Pradesh [24]. The husk constitutes about 35% of the whole fruit and forms a substantial volume of agricultural waste generated annually in India [25].
One major problem with coconut production in India is the significant volume of coconut husk generated, which often remains underutilized and leads to waste management challenges. Controlled combustion of coconut husks at temperatures around 700 °C yields CHA, a silica-rich ash that, upon alkali activation, forms a binder with pozzolanic properties comparable to conventional cementitious materials [8]. CHA has been found to improve the geotechnical properties of BCS, including load-bearing capacity, shear strength, and reduction in plasticity [26,27,28]. However, limited studies have explored the microstructural characteristics of CHA-treated BCS [29].
In the Southern region of India, BCS creates several geotechnical problems due to its expansive nature. It shows high swell-shrink behavior, which leads to cracks in roads and pavements [30]. The soil has a low bearing capacity, making it challenging to support heavy structures without proper treatment [31]. Its poor shear strength increases the risk of slope failures and weak foundations [32]. Such challenges are common in Telangana, Andhra Pradesh, Tamil Nadu, and parts of Karnataka, where BCS is widely found [33].
The treatment of agricultural waste materials using alkali-activated binders has gained significant attention in recent years due to its potential to address environmental and geotechnical challenges [34]. Conventional soil stabilization techniques often rely on cement or lime, which are associated with high carbon dioxide (CO2) emissions during production [20,35]. Alkali activation of agricultural wastes such as rice husk ash, coconut husk ash, and other pozzolanic residues offers a sustainable alternative by utilizing agricultural and organic by-products [34,36]. This approach reduces the dependency on conventional binders and contributes to substantial CO2 emission reduction [37]. Chemical analysis shows that CHA yields amorphous silica when activated with alkaline solutions, such as sodium hydroxide (NaOH) and sodium silicate (Na2SiO3) [8], which enhance soil structure and makes it more durable under loading conditions [38,39,40].
Considering the widespread presence of coconut plantations in Southern India, CHA’s chemical suitability, and its reactivity under alkali activation, CHA represents a feasible and sustainable binder for improving expansive soils. The present study integrates Brunauer–Emmett–Teller (BET), Barrett–Joyner–Halenda (BJH), and Langmuir techniques using nitrogen gas adsorption to evaluate the monolayer adsorption capacity and specific surface area of treated soil. The present study aims to evaluate the effectiveness of alkali-activated CHA in stabilizing expansive soil through microstructural and surface characterization techniques such as BET, BJH, and adsorption isotherms. Mechanical strength test results of CHA-treated soil have also been incorporated to determine the optimum binder content.

2. Materials

2.1. Black Cotton Soil

The BCS used in the present study was sourced from the Narsampet region located in the Warangal district of the southern Indian state of Telangana. Soil samples were collected carefully, avoiding contaminated areas. Heavy metals, oils, acids, or industrial chemicals can alter the soil’s particle bonding and structure properties. Contamination may reduce shear strength, making the soil more prone to failure under load. Samples were stored in plastic bags to maintain moisture content during transportation.
During transportation, excessive handling and vibrations were avoided to maintain the integrity of the collected soil. Samples were then stored in a cool, dry place to prevent physical and chemical alterations before testing. BCS from the Warangal-Narsampet region, rich in montmorillonite, has significant swelling and shrinkage properties, which makes it a suitable choice for investigating soil stabilizing techniques [2,41,42]. BCS exhibits a layered and porous structure, reflecting its high moisture retention capacity (Figure 1). The geotechnical properties of BCS obtained from laboratory tests are mentioned in Table 1.

2.2. Coconut Husk Ash

The CHA used in the present study was collected from Kasturi Coconut Processing in Channapatna, Karnataka. The physical properties of CHA are mentioned in Table 2. The chemical composition of BCS and CHA, obtained from X-ray fluorescence (XRF) analysis, is mentioned in Table 3.

3. Methodology

The alkaline activating solution was prepared using food-grade sodium hydroxide (NaOH) pellets with 99% purity and industrial-grade sodium silicate (Na2SiO3) containing 29.5% SiO2 and 14.7% Na2O by weight. The chemicals were obtained from Hychem Chemicals Limited. An alkali-activated binder (AAB) was synthesized by reacting the alkaline activating solution with dry coconut husk ash. The activating solution was prepared by mixing sodium silicate (1 M), sodium hydroxide (2.5 M), and water until a clear and homogeneous solution was obtained. The water content in the activating solution was adjusted to achieve water-to-solid (w/s) ratios of 0.3, 0.4, and 0.5 to identify the optimal mix. Raw materials (binders, activators, and water) were stored in a temperature-controlled room or incubator, and controlled heating was conducted at 27 °C or ambient room temperature to maintain a consistent temperature. Consistent pH was ensured using the same water-to-solid ratio with controlled mixing time.
Water-to-solid ratios of 0.3, 0.4, and 0.5, along with CHA contents in the range from 3% to 15% (at an interval of 3%) by dry weight of BCS, were analyzed using the unconfined compressive strength (UCS) test on a twenty-eight-day cured sample. The combinations were analyzed to determine the optimum mix proportion needed to obtain the maximum UCS strength of treated soil.
The testing procedure included XRF, SEM, EDS, BET, adsorption isotherms, and FTIR analyses. UCS tests were conducted on samples cured for 28 days. The dry BCS was treated with 3%–15% CHA-based AAB at varying water-to-solid (w/s) ratios of 0.3, 0.4, and 0.5. In the present study, the nomenclature BxCy is used throughout, where x denotes the mass percentage of BCS and y indicates the mass percentage of AAB solution relative to the dry weight of soil. The prepared samples were cured for 28 days under controlled conditions for the UCS test. Each sample was wrapped in plastic to prevent moisture loss and placed in an airtight container to maintain a consistent humidity level. Storage ensured proper curing of the AAB within the soil matrix, promoting strength development over the 28 days.
XRF Epsilon-1 equipment was used for the quantification of different oxides. For the XRF analysis, samples were prepared as pressed tablets. The sample subjected to the UCS test was first oven-dried and finely ground to ensure uniform particle size. Approximately 4 g of powder was mixed with 1 g of binder boric acid to prepare the tablets, maintaining an 80:20 ratio by weight. The mixture was thoroughly blended to ensure the binder was evenly distributed.
The prepared mixture was then placed in a steel die and pressed under a hydraulic press at a pressure of around 2–5 tons for about 30 s to form compact, smooth pellets. Each batch included three parallel samples to ensure the accuracy of results. The XRF instrument operated at a voltage of 60 kV and a current of 50 mA. The measurements were carried out using wavelength-dispersive XRF, and the data were processed using the instrument’s built-in Epsilon 3 software.
For SEM sample preparation, C-tape (conductive carbon tape) was used to mount the powdered sample onto the SEM stub. The sample was oven-dried before mounting to eliminate residual moisture, which could interfere with vacuum conditions inside the SEM chamber. The use of carbon tape ensured firm adhesion of the fine particles to the stub. A nitrogen gun was used to gently blow off any loose particles or dust from the sample surface before SEM analysis. This ensured that the powdered sample remained clean and well-adhered to the carbon tape during imaging. The use of nitrogen, being inert, also helped avoid any introduction of moisture to the sample.
SEM micrographs of CHA and AAB-treated soil were captured using the Thermo Scientific Apreo SEM. The setup was provided by Field Electron and Ion Company (FEI). While performing the SEM test, the samples were provided with a gold coating to avoid charging. The SEM was operated with a working distance (WD) of 9.9 mm. Micrographs were taken at the same magnification, 6500×, for treated and untreated samples. The operating voltage was varied between 5 and 20 kV. The horizontal field width (HFW) was adjusted to 50 μm. The chamber pressure was maintained at 4.96 × 10−4 Pa for a high vacuum. A silicon drift detector was used in the EDS analysis.
The BET analysis measured the SSA of the untreated and treated samples. A sample weighing 0.0955 g was prepared by degassing to remove any pre-adsorbed gases or moisture. Nitrogen gas (N2) was used as the adsorptive gas at a temperature of 77 K to analyze adsorption behavior. The saturated vapor pressure of nitrogen at this temperature was maintained at 95.506 kPa. Nitrogen gas was incrementally introduced during the analysis, and the pressure was recorded at various stages to monitor adsorption. A total of 23 adsorption data points were collected. A dead volume of 17.152 cm3 and a standard volume of 10.414 cm3 were considered in the calculations. The adsorption cross-sectional area of nitrogen was 0.162 nm2 and was used in determining the total surface area of the sample. Adsorption data were used to construct the BET plot, and the monolayer volume (Vm) was calculated from the slope and intercept of the plot. The calculated monolayer volume was then used to compute the total surface area, and the sample weight was normalized to obtain the SSA. An experimental error margin of approximately 5% was observed across the different BET samples analyzed. The preloaded sample used for BET analysis was subsequently utilized for Langmuir surface area calculations, BJH pore size distribution, and adsorption isotherm studies to obtain comprehensive information on the material’s surface and porosity characteristics. The methodology for preparing the AAB with an alkaline solution of sodium hydroxide and sodium silicate at different water-to-solid ratios is illustrated in Figure 2.
X-ray diffraction analysis was carried out using the Rigaku Ultima IV X-ray diffractometer. The UCS samples were oven-dried at 105 °C to 110 °C for 24 h to eliminate all moisture content, which is essential to prevent interference during XRD analysis. After drying, the sample was cooled to room temperature in a desiccator to avoid moisture reabsorption. The dried sample was finely ground using a mortar and pestle to achieve a fine particle size, and the ground powder was passed through a 425 µm sieve to remove coarse particles and enhance peak resolution. The powdered sample was carefully mounted onto an XRD specimen holder by gently pressing and leveling it with a glass slide to form a smooth, flat surface. Finally, the prepared sample was stored in a desiccator until analysis to maintain its dry and stable condition. X-ray diffraction analysis was conducted using Cu-Kα radiation over a 2θ range of 5° to 70° to analyze the peaks of the mineral phases present in the sample. The scan was performed with a step width of 0.01° and a scan speed of 2° per minute.
The UCS test was conducted following IS 2720 (Part 10)—1991 [49] to evaluate the strength of cohesive soils without lateral confinement. Cylindrical specimens of 38 mm diameter and 76 mm height were prepared by compaction of soil samples in three split molds. The initial dimensions and weights of the specimens were recorded, and the samples were placed centrally on the UCS testing machine. Axial load was applied at a constant strain rate of 1.25 mm/min until failure occurred. Load and deformation readings were taken continuously. The corrected area at failure was calculated, and the unconfined compressive strength was determined using the ratio of peak load to the corrected area.
The free heave test was performed as per IS 2720 (Part 15)—1965 [52] to evaluate the heaving behavior of expansive soil when subjected to moisture ingress. A compacted soil specimen was prepared in a rigid cylindrical mold with 60 mm diameter and 20 mm height dimensions at optimum moisture content and maximum dry density. The mold containing the soil was then placed in a container filled with water to allow moisture to infiltrate from the bottom and sides. The soil was left undisturbed for 24 to 96 h, during which the vertical heave was measured using a dial gauge or fixed above the specimen. The increase in height due to swelling was recorded and expressed as free heave in millimeters.

4. Results

4.1. Scanning Electron Microscopy

SEM micrographs of BCS showed noticeable improvements in the texture and morphology of the treated soil, indicating the effects of the pozzolanic reaction. With the addition of AAB, the SEM micrograph demonstrates a reduction in visible cracks and a denser, more compact matrix, indicating improved particle bonding and reduced void spaces (Figure 3a). The pozzolanic reaction played a significant role in enhancing the soil matrix by reacting with calcium hydroxide to form additional cementitious compounds, such as calcium silicate hydrate (C-S-H) and calcium aluminate hydrate (C-A-H) (Figure 3b). The reaction helped fill the pores within the soil matrix, thereby reducing its porosity and developing a denser and more compact soil fabric. Additionally, BCS’s naturally occurring multiple layers and porous structure were further improved, as the reaction products effectively bound the particles together, enhancing the overall compactness (Figure 3b,c). These observations align with strength improvement trends seen in mechanical tests, confirming the effectiveness of stabilization in modifying BCS microstructure.

4.2. Energy Dispersive Spectroscopy

The elemental composition of BCS changed with the addition of AAB (Figure 4). In the untreated BCS, silicon (Si) content was recorded at 34.2%, which steadily increased with increasing AAB content, reaching a maximum of 59.5% at 15% AAB (Table 4). This significant rise in Si content reflects the contribution of silicate-rich components in the binder and the enhanced formation of cementitious compounds. Similarly, the sodium (Na) content increased from 0.22% in untreated soil to 1.84% at 15% AAB, indicating the presence of sodium-based activators in the mix.
Aluminum (Al) content enhanced from 6.31% to 23.8%, indicating the development and formation of calcium aluminate hydrate (C-A-H) phases. This increase suggests enhanced aluminosilicate gel formation, which is significant for strength development in alkali-activated systems. Magnesium (Mg) and calcium (Ca) contents also increased significantly, with Mg peaking at 2.93% at 12% AAB before slightly decreasing at 15% AAB. In comparison, Ca increased consistently from 0.77% to 9.2%, considering the development of calcium-based binding phases such as calcium silicate hydrate (C-S-H). The increase in Si, Al, and Ca contents with increasing AAB content highlights the active participation of these elements in pozzolanic and alkali-activation reactions, leading to the improved microstructure of the treated black cotton soil.

4.3. Monolayer Adsorption Capacity

The monolayer adsorption capacity indicates the amount of nitrogen (N2) gas needed to form a single layer on the surface of CHA, which directly relates to its reactive surface area [53]. A higher monolayer capacity means more sites are available for water and cementitious compounds to interact, enhancing the pozzolanic reaction. Enhanced reaction will lead to better bonding with soil particles, increased strength, and improved stabilization. Non-swelling clays like kaolinites generally exhibit low to moderate adsorption capacities compared to swelling clays such as montmorillonites [54]. This is primarily because swelling clays possess a larger specific surface area and more accessible interlayer spaces, providing more adsorption sites [55].
When the soil was treated with AAB binder, its monolayer adsorption capacity (Vm) decreased, as observed through BET and Langmuir analyses (Figure 5). This reduction primarily occurred due to the pozzolanic reaction between silica in CHA and soil minerals, which formed cementitious compounds such as calcium silicate hydrates (C-S-H) and calcium aluminate hydrates (C-A-H). These compounds filled the micropores of the soil matrix, reducing the available surface area for adsorption.
The decrease in Vm indicated a reduction in the soil’s surface reactivity, suggesting improved stability and lower swelling potential. The observed trend confirmed that the AAB binder effectively modified the microstructure of the expansive soil. The Langmuir theory assumes that gas molecules are adsorbed onto a solid surface in a single layer (monolayer) and that each adsorption site can hold only one molecule. It also assumes uniform adsorption sites, no interaction between adsorbed molecules, and that adsorption reaches equilibrium. The Langmuir model helps determine the monolayer adsorption capacity, which reflects the maximum amount of gas that can be adsorbed in a single layer on the surface [53]. On the other hand, BET analysis accounts for multilayer adsorption, and it may overestimate the monolayer capacity.
A significant pozzolanic reaction occurs at 6% AAB binder content, forming substantial cementitious compounds such as C-S-H and C-A-H. The reaction products fill the pore spaces and densify the soil structure, resulting in a notable reduction of 30% and 25% in monolayer adsorption capacity through BET and Langmuir techniques, respectively, due to the decreased availability of active surface sites.
In contrast, at 3% AAB content, the pozzolanic reaction is relatively limited, producing fewer reaction products and thus causing only a marginal impact on the soil’s adsorption behavior. Beyond 6% AAB, although the pozzolanic activity continues, the reduction rate in monolayer adsorption capacity becomes more gradual. This is likely due to the saturation of reactive sites within the soil matrix and the formation of a more compact structure, which limits further significant changes in surface characteristics. The monolayer adsorption does not increase after the B85C15 mix, as confirmed by both BET and Langmuir analyses. Therefore, the study focuses on B85C15 as the upper limit for effective optimization. B91C9 was chosen as the optimum mix, considering the mechanical test results. For monolayer adsorption capacity, the Langmuir method is considered more accurate than the BET analysis. Langmuir analysis is specifically designed to model monolayer adsorption on a homogeneous surface with no interactions between adsorbed molecules, making its monolayer capacity (Vm) more accurate for multilayered surfaces. BET, while useful for SSA, assumes multilayer adsorption, so its monolayer capacity is less precise and overestimated for truly monolayer systems.

4.4. Adsorption Isotherm, Pore Volume, Pore Diameter and SSA

4.4.1. Adsorption Isotherm

Figure 6 illustrates the trend in N2 gas adsorption with increasing binder percentages derived from adsorption isotherms. At lower relative pressure ( p p o < 0.1), adsorption was high because more active sites were available for gas molecules to adsorb, resulting in a steep rise in the isotherm. In the intermediate pressure range (0.1 < p p o < 0.8), the isotherm showed a gradual curve after forming the first adsorption layer. The adsorbate gas molecules occupied less energetically active sites, reducing the adsorption rate [56]. The adsorption initially occurs at high-energy active sites (such as surfaces with functional groups with strong affinity). As these are progressively occupied, subsequent adsorption occurs at sites with lower binding energy and weaker interaction potential [57].
At higher relative pressures ( p p o > 0.8 ), the steepness of the isotherm increased sharply, which indicates the initiation of multilayer adsorption and capillary condensation. This behavior was influenced by interactions between subsequent layers and gas confinement in the small soil pores [58].
The incorporation of CHA densified the soil structure, and the calcium silicate hydrate (C-S-H) gel formed due to pozzolanic reactions reduced the adsorption capacity. The formation of additional silicate and aluminate phases created a more compact soil matrix, reducing adsorbed gas with increasing percentages of AAB. Beyond 9% CHA, a higher reduction in adsorption was observed because most pores were sealed with C-S-H gel, leaving fewer available adsorption sites, as evidenced by SEM micrographs (Figure 3). Although the formation of C-S-H gel restricted gas adsorption at higher CHA percentages, this reduction became insignificant because excessive CHA compromised soil strength and weakened interparticle cohesion, preventing further densification. This prevented further improvements in soil performance. At 12% AAB content, although the densification continued and there was a further reduction in adsorbed gases, no significant strength gain was observed. The adsorption isotherms exhibit a progressive reduction in N2 gas uptake with increasing binder content, indicating decreased surface area and reduced adsorption capacity due to pore filling and surface coverage by the binder.

4.4.2. Total Pore Volume

As CHA content increased, the fine particles of CHA gradually filled the existing voids in the soil matrix (Figure 7). This led to a progressive reduction in total pore volume as fewer, higher-diameter pores remained open. CHA contained higher percentages of silica, which reacted with soil minerals in the presence of moisture. Adding CHA improved particle packing, making the soil structure more compact. A significant reduction in total pore volume occurred between 6% and 9% CHA. CHA efficiently filled the larger voids in this range, rapidly reducing total pore volume. After 9% CHA, most of the available pores were already filled, and adding additional CHA only led to particle agglomeration, which slightly reduced the pore volume but was less effective than the initial filling process due to the initiation of the pozzolanic reaction.

4.4.3. Mean Pore Diameter

The mean pore diameter reduced with increasing CHA percentages (Figure 8). This was evident through BET and BJH pore size distribution analysis. The BET plot showed a higher reduction in mean pore diameter than the BJH plot due to differences in how each method calculated pore size. BET analysis estimated the mean pore diameter assuming a uniform pore model [59,60]. BET technique applied to SSA and the volume of adsorbed gas to estimate the mean pore diameter [59]. The BET technique considers an overall average rather than the actual pore distribution. BJH analysis used desorption isotherms and the Kelvin equation to calculate the pore size distribution [61]. It provided a more realistic view by capturing variations in different pore size ranges rather than giving a single average value. The Kelvin equation used in the BJH method relates the pore radius to the relative pressure at which capillary condensation occurs.
BJH accounted for the retention of larger pores and the formation of new, smaller ones. As a result, the reduction in pore size appeared less pronounced in BJH analysis. At lower CHA percentages, the fine CHA particles partially filled the larger soil pores, whereas, beyond 9% CHA, the particles occupied most of the void spaces, leading to a sharp decrease in pore size.

4.4.4. Specific Surface Area

In the 6%–9% range, CHA particles effectively filled larger pores, reducing the available surface for gas adsorption (Figure 9). A significant pozzolanic reaction occurs at 6% AAB binder content, forming substantial amounts of cementitious compounds such as calcium silicate hydrate (C-S-H) and calcium aluminate hydrate (C-A-H). These reaction products effectively fill the pore spaces and refine the soil structure, resulting in a noticeable decrease in specific surface area (SSA) due to the reduced availability of accessible surface sites for adsorption [62].
At a lower binder content of 3%, the extent of the pozzolanic reaction is minimal, producing fewer binding phases and causing only a slight reduction in SSA. Beyond 6% AAB, although pozzolanic reactions continue, the decline in SSA becomes more gradual. This can be attributed to the progressive saturation of reactive sites and the development of a denser, more compact matrix, which restricts further surface texture and porosity changes. Hence, 6% AAB can be considered a point where the most significant structural changes and reductions in SSA are observed. The BET method is considered better for determining the SSA of porous materials compared to the Langmuir method, as Langmuir analysis assumes monolayer adsorption on a homogeneous surface, which is more idealized and often underestimates surface area for porous solids in underlying layers.

4.5. XRD

The X-ray diffraction (XRD) analysis of the sample revealed the presence of multiple mineral phases, as evidenced by distinct diffraction peaks at specific 2θ values. Peaks observed at 5.3°, 20.8°, 36.5°, and 62.5° correspond to Montmorillonite (M), an expansive clay mineral associated with high swell-shrink potential (Figure 10). Quartz was identified by peak intensities at 20.76°, 26.7°, 39.36°, 40.19°, and 50.05° within the sample. The presence of Muscovite (Ms) was confirmed by peaks at 27.3° and 45.8°, while Mullite (Mu) was detected at 28.36°, 42°, and 61°, suggesting the existence of alumino-silicate phases. Diffraction peaks at 36.9° and 67° were attributed to Augite (Au), and Portlandite (P) was identified by reflections at 29°, 36°, and 68°, indicative of calcium hydroxide, resulting from pozzolanic reactions. Identifying these phases highlights the mineralogical changes and potential of CHA for chemical reactivity and stabilization performance in geotechnical applications. The flatter regions in the XRD pattern indicate amorphous phases formed during the geopolymerization process. With increasing AAB content in the soil, new crystalline phases such as Mullite and Portlandite appear, in addition to the original Montmorillonite present in BCS, indicating an enhanced soil matrix due to the pozzolanic reaction. The interpretation of the XRD results is consistent with findings reported in previous literature, where the formation of crystalline phases such as Mullite and Portlandite has been similarly observed in alkali-activated systems [63,64,65,66].

4.6. FTIR

FTIR spectroscopy was conducted to elucidate the chemical interactions and bond formations in BCS stabilized with AAB-treated CHA (Figure 11). The spectrum revealed functional groups indicative of chemical transformations contributing to soil stabilization (Table 5). Broad absorption bands at 3619.73 cm−1 and 3424.96 cm−1 correspond to O-H stretching vibrations of alcohols, suggesting the presence of hydroxyl groups derived from hydrated phases or residual water content, and indicating the formation of calcium silicate hydrate (C-S-H) and calcium aluminate hydrate (C-A-H) gels, which are by-products of pozzolanic activity [66,67,68,69]. A distinct peak at 2513.76 cm−1 was attributed to S-H stretching of thiol groups, which may arise from organic matter in the CHA [66]. Vibration at 1639.2 cm−1 is associated with H-O-H bending, confirming the presence of bound water molecules within the reaction products [67]. The peak at 2357.55 cm−1 represents O=C=O asymmetric stretching, possibly due to entrapped atmospheric CO2 or carbonation products during the alkali activation process [68,69,70]. The appearance of a peak at 784.886 cm−1 corresponds to Si-H vibrations, indicative of silicate activity and potential geopolymerization [70]. The peak at 1430.92 cm−1 corresponds to C-H bending in alkanes, pointing to residual organic compounds from the CHA [71]. A band at 1077.05 cm−1 was identified as overlapping -OH and Si-O-Si (silanol) stretching vibrations, which are characteristic of the formation of C-S-H or C-A-H gels, both essential binding phases in geopolymer stabilization. The widening of the band at 1077.05 cm−1 shows enhancement in the pozzolanic reaction. The low-frequency band at 466.689 cm−1 reflects the presence of the -OH group, suggesting the formation of stable hydration products. The FTIR analysis confirms the chemical interaction between the soil matrix and AAB-treated CHA, with the formation of cementitious gels and functional groups contributing to enhanced soil strength and durability. The findings are consistent with previous research, which also reported the formation of functional groups such as Si-O-Si, C-S-H, and C-A-H gels as indicators of polymerization and improved stabilization performance in alkali-activated systems [66,68,70,71,72,73,74].

5. Geotechnical Characterization

5.1. Basic Geotechnical Tests

The specific gravity (G) gradually decreased from 2.60 in untreated BCS to 1.98 in B15C, indicating the replacement of heavier soil particles with lighter ash particles. The free swell index (FSI) significantly reduced from 80% in BCS to 10% in B85C15, reflecting a considerable improvement in swelling behavior. Similarly, the liquid limit (LL) and plasticity index (PI) decreased with increasing binder content, suggesting enhanced workability and reduced plasticity (Table 6). At 9% AAB content, the MDD increased from 1.66 to 1.86 g/cm3, while the OMC rose from 23.12% to 24.69%, indicating enhanced compaction with binder addition. Overall, incorporating CHA improved the geotechnical characteristics of BCS, making it more stable and suitable for construction-related applications.

5.2. Free Heaving

CHA reacted with alkaline activators (sodium hydroxide and sodium silicate) to form cementitious compounds, calcium-silicate hydrates (C-S-H), and calcium aluminate hydrates (C-A-H). The gel fills the micropores and binds the soil particles together, significantly reducing the ingress of water within the matrix BCS, thereby reducing excessive swelling of BCS upon exposure to moisture.
Upon treatment, the reduction in heave can be analyzed in the context of improvement in the soil’s microstructure. SEM analysis revealed a denser matrix and reduced pore spaces in treated samples. The denser packing hinders the ingress and movement of water, primarily contributing to heaving in expansive soils. The alkali-activated binder reduced the soil’s tendency to absorb water significantly (Figure 12).

5.3. UCS

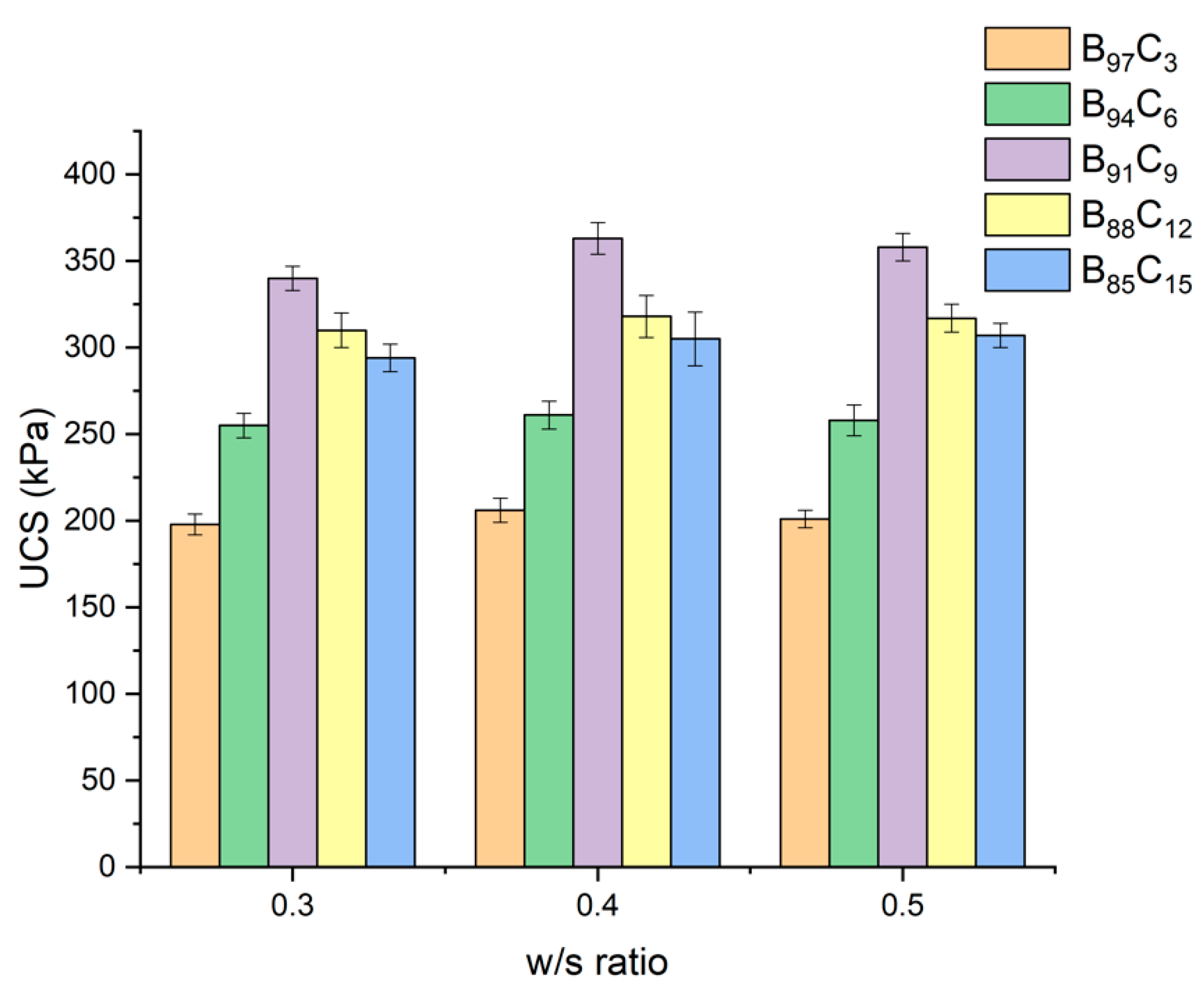
The UCS of the treated soil exhibited significant improvement at the 9% CHA-based alkali-activated binder content, which was identified as the optimum content. The increase in strength can be attributed to the formation of stable cementitious gels, calcium silicate hydrate (C-S-H), and calcium-aluminate-hydrate (C-A-H), which are the primary products of the geo-polymerization reaction between the amorphous silica/alumina in CHA and the alkali activator. The highest UCS was achieved at 9% binder content with a water-to-solid (w/s) ratio of 0.4, indicating that the combination is the most effective for soil stabilization (Figure 13).
The UCS values enhanced significantly from 182 kPa to 305 kPa and 1030 kPa, respectively, at 9% binder content after 24 h and 28 days of curing (Figure 14)). The reaction products fill the voids between soil particles, reduce porosity, and improve the soil’s load-bearing capacity post 28 days of curing (Figure 15).
The microstructural analysis revealed a compacted and cohesive matrix at 9% binder content, contributing to a substantial increase in shear strength parameters. Beyond the 9% threshold, the UCS began to decline, possibly due to the saturation of reactive sites from excessive binder content. This suggests that while CHA-based AAB is highly effective up to a specific limit, overdosage may hinder strength development by affecting the mix homogeneity. Therefore, 9% was established as the optimum content for maximizing the UCS of treated soil 1.

6. Discussion

SEM micrographs showed significant changes in soil morphology. The untreated soil showed a layered and porous structure. After the pozzolanic reaction, the soil particles became denser. The formation of cementitious compounds filled the voids and confirmed enhanced bonding between soil particles and cementitious products. EDS analysis indicated a reduction in the Si peak intensity after stabilization. The calcium content increased due to the formation of C-S-H and C-A-H gels. The untreated soil exhibited a higher adsorption capacity due to expansive clay minerals like montmorillonite. After stabilization, the reaction products occupied available adsorption sites and reduced the capacity.
A significant reduction in monolayer adsorption capacity occurred at 6% AAB due to the formation of pozzolanic reaction products. For monolayer adsorption capacity, the Langmuir method is considered more accurate due to its basis in monolayer formation on homogeneous surfaces, whereas BET, though useful for surface area analysis, overestimates monolayer capacity due to its multilayer adsorption assumption.
Adsorption isotherms showed reduced adsorption intensity after the pozzolanic reaction. The formation of cementitious products covered the active sites and reduced the number of available adsorption sites. BET analysis showed a decline in SSA after the pozzolanic reaction. The cementitious compounds filled the pores and led to a reduction in available surface area. Total pore volume and mean pore diameter decreased after the pozzolanic reaction. After the pozzolanic reaction, the cementitious compounds filled the pores, resulting in a more dense and non-porous soil matrix. BET analysis showed a higher reduction in mean pore diameter than BJH because it assumed a simplified pore structure with a single average value, whereas BJH provided a detailed distribution of pores. Hence, the BJH method should be preferred to analyze the mean pore diameter over the BET analysis as it gives a clearer picture of pore size variations compared to the average values from the BET.
XRD analysis identified mineral phases in the sample, including Montmorillonite, Quartz, Muscovite, Mullite, Augite, and Portlandite. The formation of Mullite and Portlandite indicated active pozzolanic reactions and improved soil stabilization with increasing AAB content, consistent with previous studies on alkali-activated systems.
The FTIR analysis provided insights into the stabilization of black cotton soil BCS using AAB-treated CHA. The presence of functional groups such as -OH, Si-O-Si, and Si-H vibrations suggests active pozzolanic and geopolymerization reactions. The detection of O-H stretching bands at 3619.73 cm−1 and 3424.96 cm−1 is indicative of hydroxyl-rich hydration products, such as C-S-H and C-A-H, known to contribute to strength gain and microstructural densification. The identification of Si-O-Si and Si-H bonds further confirms the formation of geopolymeric gels. Minor peaks attributed to S-H and C-H bonds reflect the presence of organic residues from CHA. The results align with previous studies, which similarly documented the formation of cementitious gels and silicate matrix as indicators of successful alkali activation.
The free heaving of BCS reduced from 1.21 mm to 0.25 mm at 9% binder content, resulting in an approximate reduction of 79.34%, indicating a significant improvement in the swelling behavior of untreated soil. The w/s ratio of 0.4 showed the highest UCS at 9% binder content after 28 days of curing. Therefore, a w/s ratio of 0.4 at 9% binder content was chosen as optimal for subsequent improvement of untreated soil. The enhancement in the geotechnical properties of expansive soil treated with CHA-based AAB can be primarily attributed to the combined effects of pozzolanic and geopolymerization reactions. Overall, the pozzolanic reaction effectively reduced soil expansiveness and proved a viable solution for soil improvement.

7. Conclusions

When activated with alkaline solutions, CHA demonstrates high pozzolanic reactivity, forming stable cementitious gels such as calcium-silicate hydrate and calcium aluminate hydrate. SEM analysis confirmed the densification of the soil matrix due to the formation of cementitious compounds. EDS analysis showed an enhancement in Si and Ca content, indicating the formation of C-S-H and C-A-H gels. Adsorption studies revealed decreased monolayer adsorption capacity since AAB treatment reduced the treated soil’s total pore volume and mean pore diameter.
BET and Langmuir’s analyses further confirmed the reduction in SSA, available adsorption sites, and hence adsorption affinity. The application of the Langmuir analysis allowed for the estimation of the monolayer adsorption capacity, confirming changes in surface coverage due to pozzolanic gel formation. BET and BJH analyses highlighted a densified soil matrix, with BJH offering a clearer picture of pore size distribution. XRD and FTIR analyses confirmed the presence of key mineral phases and functional groups, indicating active pozzolanic and geopolymerization reactions that enhance soil strength and microstructure. These findings support the effectiveness of CHA in stabilizing BCS, contributing to sustainable soil improvement through alkali activation.
The study opens new pathways for future research to enhance the application of coconut husk ash-based alkali-activated binder for soil stabilization. Future work could explore a broader range of binder contents to identify the optimal amount for different soil types. Investigating the long-term durability of CHA-AAB-treated soils under varying environmental conditions, such as freeze-thaw cycles and wet-dry conditions, will help assess its effectiveness in real-world applications. Field trials are essential to verify the performance of CHA-AAB in large-scale applications. Comparing the effectiveness of CHA-AAB with other stabilizing agents, such as lime, cement, fly ash, and GGBS, will help determine its relative advantages in terms of cost, performance, and environmental impact.

Author Contributions

Conceptualization, A.A. and A.G.; methodology, A.A.; investigation, A.A.; resources, A.G.; data curation, A.A.; writing—original draft preparation, A.A., A.G., T.H, and H.A.-N.; writing—review and editing, A.G., and T.H.; visualization, A.G.; supervision, A.G.; project administration, A.G.; funding acquisition, A.G. All authors have read and agreed to the published version of the manuscript.

Funding

This research was funded by the Department of Science and Technology (DST), International Bilateral Cooperation Division, and Govt. of India through an Indo-Japan DST-JSPS bilateral grant (Project ID: DST/INT/JSPS/P-357/2022).

Data Availability Statement

Data used to support the findings of this study are available from the corresponding author upon request.

Acknowledgments

The authors extend their appreciation to the Central Laboratory Facility provided by BITS-Pilani, Hyderabad Campus, to carry out sensitive microstructural analysis tests.

Conflicts of Interest

The authors declare that they have no known competing financial interests or personal relationships that could have appeared to influence the work reported in this paper.

References

  1. Raji, A.K.; Karthika, R.; Amruthalekshmi, G.R.; Peter, A.K.; Sajeer, M.M. Study of Rut Behaviour of Coir Reinforced Black Cotton Soil Using Wheel Tracking Apparatus. In Proceedings of the Indian Geotechnical Conference, Kochi, India, 15–17 December 2011; p. J-258. [Google Scholar]
  2. Mehta, B.; Sachan, A. Effect of Mineralogical Properties of Expansive Soil on Its Mechanical Behavior. Geotech. Geol. Eng. 2017, 35, 2923–2934. [Google Scholar] [CrossRef]
  3. Malkawi, D.A.; Rabab’ah, S.R.; AlSyouf, M.M.; Aldeeky, H. Utilizing Expansive Soil Treated with Phosphogypsum and Lime in Pavement Construction. Results Eng. 2023, 19, 101256. [Google Scholar] [CrossRef]
  4. Mansour, E.; Kinuthia, J.; Oti, J.; Al-Waked, Q. Sulfate Soil Stabilisation with Binary Blends of Lime–Silica Fume and Lime–Ground Granulated Blast Furnace Slag. Transp. Geotech. 2022, 37, 100888. [Google Scholar] [CrossRef]
  5. Niraula, U.; Dahal, B.K.; Acharya, S.; Phuyal, P. High-Plasticity Silt Stabilization: Role of Waste Stone Dust, Cement, and Curing Time. Results Eng. 2025, 26, 104877. [Google Scholar] [CrossRef]
  6. Wei, Z.; Deng, Z. Research Hotspots and Trends of Comprehensive Utilization of Phosphogypsum: Bibliometric Analysis. J. Environ. Radioact. 2022, 242, 106778. [Google Scholar] [CrossRef]
  7. Mazlan, S.A.; Abang Hasbollah, D.Z.; Legiman, M.K.A.; Mohd Taib, A.; Ibrahim, A.; Ramli, A.B.; Jusoh, S.N.; Abdul Rahman, N.; Md Dan, M.F.; Zukri, A. Effectiveness of Coffee Husk Ash and Coconut Fiber in Improving Peat Properties. Phys. Chem. Earth 2023, 130, 103361. [Google Scholar] [CrossRef]
  8. Anuar, M.F.; Fen, Y.W.; Zaid, M.H.M.; Matori, K.A.; Khaidir, R.E.M. Synthesis and Structural Properties of Coconut Husk as Potential Silica Source. Results Phys. 2018, 11, 1–4. [Google Scholar] [CrossRef]
  9. Oza, J.B.; Gundaliya, P.J. Study of Black Cotton Soil Characteristics with Cement Waste Dust and Lime. Procedia Eng. 2013, 51, 110–118. [Google Scholar] [CrossRef]
  10. Puneeth, A.; Nagaraj, A.; Sagar, A.B. Stabilization of Black Cotton Soil Using Portland Pozzolana Cement and GGBS—A Case Study. Int. J. Sci. Res. Civ. Eng. 2021, 7, 7–13. [Google Scholar] [CrossRef]
  11. Zha, F.; Liu, S.; Du, Y.; Cui, K. Behavior of Expansive Soils Stabilized with Fly Ash. Nat. Hazards 2008, 47, 509–523. [Google Scholar] [CrossRef]
  12. Kim, T.; Lim, M.-N.; Kim, W.J.; Ho, T.T.; Lee, C.H.; Chae, K.J.; Bak, S.H.; Jin, G.Y.; Park, E.K.; Choi, S. Structural and Functional Alterations of Subjects with Cement Dust Exposure: A Longitudinal Quantitative Computed Tomography-Based Study. Sci. Total Environ. 2022, 837, 155812. [Google Scholar] [CrossRef] [PubMed]
  13. Dave, N.; Misra, A.K.; Srivastava, A.; Kaushik, S.K. Setting Time and Standard Consistency of Quaternary Binders: The Influence of Cementitious Material Addition and Mixing. Int. J. Sustain. Built Environ. 2017, 6, 30–36. [Google Scholar] [CrossRef]
  14. Jiang, X.; Huang, Z.; Luo, X. An Improved Mechanistic-Empirical Creep Model for Unsaturated Soft and Stabilized Soils. Materials 2021, 14, 4146. [Google Scholar] [CrossRef]
  15. Khushbu, B.; Parmar, N.B. Use of Ground Nut Shell Ash and Coal Ash To Modify the Properties of Soil. Int. J. Adv. Eng. Res. Dev. 2017, 4, 991–994. [Google Scholar]
  16. Krishna, T.M.; Beebi, S.S. Soil Stabilization by Groundnut Shell Ash and Waste Fiber Material. Int. J. Innov. Eng. Technol. 2015, 5, 52–57. Available online: http://ijiet.com/wp-content/uploads/2015/06/811.pdf (accessed on 8 May 2025).
  17. Sharma, G.; Kaur, M.; Punj, S.; Singh, K. Biomass as a Sustainable Resource for Value-Added Modern Materials: A Review. Biofuels, Bioprod. Biorefin. 2020, 14, 673–695. [Google Scholar] [CrossRef]
  18. Gupta, A.; Kumar, M. Clayey Soil Stabilization Using Flyash and Jute Fibre. Mater. Today Proc. 2021, 48, 1205–1210. [Google Scholar] [CrossRef]
  19. Syed, M.; GuhaRay, A. Effect of Natural Fiber Reinforcement on Strength Response of Alkali Activated Binder Treated Expansive Soil: Experimental Investigation and Reliability Analysis. Constr. Build. Mater. 2021, 273, 121743. [Google Scholar] [CrossRef]
  20. Hills, T.P.; Sceats, M.; Rennie, D.; Fennell, P. LEILAC: Low Cost CO2 Capture for the Cement and Lime Industries. Energy Procedia 2017, 114, 6166–6170. [Google Scholar] [CrossRef]
  21. Lankaran, Z.E.; Nik Daud, N.N.; Rostami, V.; Yusoff, Z.M. Consolidated Drained Triaxial Test on Treated Coastal Soil and Finite Element Analysis Using PLAXIS 2D. Adv. Mater. Sci. Eng. 2022, 2022, 7263333. [Google Scholar] [CrossRef]
  22. Ahmed, I.; Sharma, A. Use of Coir Fiber And Wheat Husk Ash To Improve the Characteristics of Clayey Soil. Int. J. Eng. Trends Technol. 2019, 67, 85–89. [Google Scholar] [CrossRef]
  23. Onyelowe, K.C.; Onyia, M.E.; Van, D.B.; Firoozi, A.A.; Uche, O.A.; Kumari, S.; Oyagbola, I.; Amhadi, T.; Dao-Phuc, L. Shrinkage Parameters of Modified Compacted Clayey Soil for Sustainable Earthworks. J. Kejuruter. 2021, 33, 133–140. [Google Scholar] [CrossRef]
  24. Maruthi, I.; Peter, P. A Comprehensive Study on the Issue of Coconut Production in Karnataka; Agricultural Development and Rural Transformation Centre: Bengaluru, India, 2019; pp. 1–82. Available online: https://desagri.gov.in/aer/2018-19-a-comprehensive-study-on-the-issue-of-coconut-production-in-karnataka/ (accessed on 8 May 2025).
  25. Foo, K.Y.; Hameed, B.H. Coconut Husk Derived Activated Carbon via Microwave Induced Activation: Effects of Activation Agents, Preparation Parameters and Adsorption Performance. Chem. Eng. J. 2012, 184, 57–65. [Google Scholar] [CrossRef]
  26. Oluremi, J.R.; Adedokun, S.I.; Osuolale, O.M. Stabilization of Poor Lateritic Soils with Coconut Husk Ash. Int. J. Eng. Res. Technol. 2012, 1, 1–9. [Google Scholar]
  27. Yusuf, I.T. Investigating the Suitability of Coconut Husk Ash as a Road Soil Stabilizer. Int. J. Technol. 2020, 10, 27–35. [Google Scholar] [CrossRef]
  28. Bheel, N.; Mahro, S.K.; Adesina, A. Influence of Coconut Shell Ash on Workability, Mechanical Properties, and Embodied Carbon of Concrete. Environ. Sci. Pollut. Res. 2021, 28, 5682–5692. [Google Scholar] [CrossRef]
  29. Anuar, M.F.; Fen, Y.W.; Zaid, M.H.M.; Matori, K.A.; Khaidir, R.E.M. The Physical and Optical Studies of Crystalline Silica Derived from the Green Synthesis of Coconut Husk Ash. Appl. Sci. 2020, 10, 2128. [Google Scholar] [CrossRef]
  30. Jain, A.K.; Jha, A.K. Shivanshi Geotechnical Behaviour and Micro-Analyses of Expansive Soil Amended with Marble Dust. Soils Found. 2020, 60, 737–751. [Google Scholar] [CrossRef]
  31. Malgotra, H.; Deb, P. Characterization of Black Cotton Soil by Using Granulated Blast Furnace Slags. Mater. Today Proc. 2023, 12, 30. [Google Scholar] [CrossRef]
  32. Ashiru, A.M.; Sanni, J.E.; Mohammed, S. Slope Stability Analysis Using Computer Software for Black Cotton Soil of North-Eastern Nigeria. J. Sci. Multidiscip. Res. 2014, 6, 60–77. [Google Scholar]
  33. Gobinath, R.; Raja, G.; Prasath, E.; Shyamala, G.; Viloria, A.; Varela, N. Studies on Strength Characteristics of Black Cotton Soil by Using Novel SiO2 Combination as a Stabilizing Agent. Mater. Today Proc. 2020, 27, 657–663. [Google Scholar] [CrossRef]
  34. Nanda, B.; Mishra, J.; Patro, S.K. Synthesis of Rice Husk Ash-Based Alkaline Activators for Geopolymer Binder Systems: A Review. J. Build. Eng. 2024, 91, 109694. [Google Scholar] [CrossRef]
  35. Supriya; Chaudhury, R.; Sharma, U.; Thapliyal, P.C.; Singh, L.P. Low-CO2 Emission Strategies to Achieve Net Zero Target in Cement Sector. J. Clean. Prod. 2023, 417, 137466. [Google Scholar] [CrossRef]
  36. Pu, B.-C.; Liu, B.; Li, L.; Jiang, L.; Zhou, J.; Ding, P. Using Rice Husk Ash in Alkali-Activated Ultra-High-Performance Concrete: Flowability, Early Age Strength and Elasticity Modulus. Constr. Build. Mater. 2024, 443, 137771. [Google Scholar] [CrossRef]
  37. Mavroulidou, M.; Gray, C.; Gunn, M.J.; Pantoja-Muñoz, L. A Study of Innovative Alkali-Activated Binders for Soil Stabilisation in the Context of Engineering Sustainability and Circular Economy. Circ. Econ. Sustain. 2022, 2, 1627–1651. [Google Scholar] [CrossRef]
  38. Lin, Y.; Alengaram, U.J.; Ibrahim, Z. Effect of Treated and Untreated Rice Husk Ash, Palm Oil Fuel Ash, and Sugarcane Bagasse Ash on the Mechanical, Durability, and Microstructure Characteristics of Blended Concrete—A Comprehensive Review. J. Build. Eng. 2023, 78, 107500. [Google Scholar] [CrossRef]
  39. Aziz, M.; Saleem, M.; Irfan, M. Engineering Behavior of Expansive Soils Treated with Rice Husk Ash. Geomech. Eng. 2015, 8, 173–186. [Google Scholar] [CrossRef]
  40. Salimzadehshooiili, M. Investigation of the Effect of Frequency on Shear Strength and Damping of Pure Sand and Sand Stabilised with Rice Husk Ash Using Cyclic Triaxial Tests. Adv. Civ. Archit. Eng. 2023, 14, 25–39. [Google Scholar] [CrossRef]
  41. Darsi, B.P.; Molugaram, K.; Madiraju, S.V.H. Subgrade Black Cotton Soil Stabilization Using Ground Granulated Blast-Furnace Slag (GGBS) and Lime, an Inorganic Mineral. Environ. Sci. Proc. 2021, 6, 15. [Google Scholar] [CrossRef]
  42. Gingine, V.; Mohammad, W.; Sudheer, Y.; Krishna, P.H. Electrokinetic Treatment on Black Cotton Soil of Warangal, India. In Proceedings of the Indian Geotechnical Conference, Roorkee, India, 22–24 December 2013. [Google Scholar] [CrossRef]
  43. IS 2720 (Part 4); Indian Standard, Methods of Test for Soils, Grain Size Analysis. Bureau of Indian Standards: New Delhi, India, 1985; pp. 1–38. Available online: https://ia600808.us.archive.org/31/items/gov.in.is.2720.4.1985/is.2720.4.1985.pdf (accessed on 8 May 2025).
  44. IS 2720 (Part 3); Indian Standard, Determination of Specific Gravity, Fine, Medium and Coarse Grained Soils. Bureau of Indian Standards: New Delhi, India, 1980; pp. 1–8. Available online: https://law.resource.org/pub/in/bis/S03/is.2720.3.2.1980.pdf (accessed on 8 May 2025).
  45. IS 2720 (Part XL); Indian Standard, Determination of Free Swell Index of Soils. Bureau of Indian Standards: New Delhi, India, 1977; pp. 1–6. Available online: https://ia600206.us.archive.org/17/items/gov.in.is.2720.40.1977/is.2720.40.1977.pdf (accessed on 8 May 2025).
  46. IS 2720 (Part 5); Indian Standard, Determination of Liquid Limit and Plastic Limit of Soil. Bureau of Indian Standards: New Delhi, India, 1985; pp. 1–16. Available online: https://ia600207.us.archive.org/21/items/gov.in.is.2720.5.1985/is.2720.5.1985.pdf (accessed on 8 May 2025).
  47. IS 2720 (Part 7); Indian Standard, Determination of Water Content-Dry Density Relation Using Light Compaction. Bureau of Indian Standards: New Delhi, India, 1980. Available online: https://archive.org/details/gov.in.is.2720.7.1980 (accessed on 8 May 2025).
  48. IS 2720 (Part 20); Indian Standard, Determination of Linear Shrinkage. Bureau of Indian Standards: New Delhi, India, 1997. Available online: https://dn790002.ca.archive.org/0/items/gov.in.is.2720.20.1992/is.2720.20.1992.pdf (accessed on 8 May 2025).
  49. IS 2720 (Part 10); Indian Standard, Methods of Test for Soils, Determination of Unconfined Compressive Strength. Bureau of Indian Standards: New Delhi, India, 1991; pp. 1–6. Available online: https://law.resource.org/pub/in/bis/S03/is.2720.10.1991.pdf (accessed on 8 May 2025).
  50. IS 2720 (Part 16); Indian Standard, Method of Test for Soils, Laboratory Determination of CBR. Bureau of Indian Standards: New Delhi, India, 2002; pp. 1–10. Available online: https://dn790008.ca.archive.org/0/items/gov.in.is.2720.16.1987/is.2720.16.1987.pdf (accessed on 8 May 2025).
  51. IS 27270-41; Indian Standard, Methods of Test for Soils, Measurement of Swelling Pressure of Soils. Bureau of Indian Standards: New Delhi, India, 1977. Available online: https://law.resource.org/pub/in/bis/S03/is.2720.41.1977.pdf (accessed on 8 May 2025).
  52. IS 2720 (Part 15); Indian Standard, Methods of Test for Soils, Determination of Consolidation Properties. Bureau of Indian Standards: New Delhi, India, 1965. Available online: https://law.resource.org/pub/in/bis/S03/is.2720.15.1965.pdf (accessed on 8 May 2025).
  53. Shimizu, S.; Matubayasi, N. Surface Area Estimation: Replacing the Brunauer-Emmett-Teller Model with the Statistical Thermodynamic Fluctuation Theory. Langmuir 2022, 38, 7989–8002. [Google Scholar] [CrossRef]
  54. De Mastro, F.; Cacace, C.; Traversa, A.; Pallara, M.; Cocozza, C.; Mottola, F.; Brunetti, G. Influence of Chemical and Mineralogical Soil Properties on the Adsorption of Sulfamethoxazole and Diclofenac in Mediterranean Soils. Chem. Biol. Technol. Agric. 2022, 9, 34. [Google Scholar] [CrossRef]
  55. Awad, A.M.; Shaikh, S.M.R.; Jalab, R.; Gulied, M.H.; Nasser, M.S.; Benamor, A.; Adham, S. Adsorption of Organic Pollutants by Natural and Modified Clays: A Comprehensive Review. Sep. Purif. Technol. 2019, 228, 115719. [Google Scholar] [CrossRef]
  56. Muliwa, A.M.; Oyewo, O.A.; Maity, A. Recent Progress on the Removal of Aqueous Mercury by Carbon-Based Adsorbents: A Review. Inorg. Chem. Commun. 2023, 156, 111207. [Google Scholar] [CrossRef]
  57. Xiao, W.; Jiang, X.; Liu, X.; Zhou, W.; Garba, Z.N.; Lawan, I.; Wang, L.; Yuan, Z. Adsorption of Organic Dyes from Wastewater by Metal-Doped Porous Carbon Materials. J. Clean. Prod. 2021, 284, 124773. [Google Scholar] [CrossRef]
  58. Lin, G.; Zeng, B.; Liu, X.; Li, J.; Zhang, B.; Zhang, L. Enhanced Performance of Functionalized MOF Adsorbents for Efficient Removal of Anthropogenic Hg(II) from Water. J. Clean. Prod. 2022, 381 Pt 1, 134766. [Google Scholar] [CrossRef]
  59. Dollimore, D.; Spooner, P.; Turner, A. The Bet Method of Analysis of Gas Adsorption Data and Its Relevance to the Calculation of Surface Areas. Surf. Technol. 1976, 4, 121–160. [Google Scholar] [CrossRef]
  60. Jaroniec, M.; Kruk, M.; Sayari, A. Recent Advances in Adsorption Characterization of Mesoporous Molecular Sieves. Stud. Surf. Sci. Catal. 2000, 129, 587–596. [Google Scholar] [CrossRef]
  61. Haghighatju, F.; Rafsanjani, H.H.; Esmaeilzadeh, F. Estimation of the Dimension of Micropores and Mesopores in Single Walled Carbon Nanotubes Using the Method Horvath-Kawazoe, Saito and Foley and BJH Equations. Micro Nano Lett. 2017, 12, 1–5. [Google Scholar] [CrossRef]
  62. Awad, M.A.; Khalaf, M.M.; Arbili, M.M. Experimental Measurement of Undrained Shear Strength of Fine Grained Soil-Crude Oil Mixtures Using Different Techniques. J. Eng. Sci. Technol. 2022, 17, 3128–3148. [Google Scholar]
  63. Sivapullaiah, P.V.; Prasad, B.G.; Allam, M.M. Effect of Sulfuric Acid on Swelling Behavior of an Expansive Soil. Soil Sediment Contam. 2009, 18, 121–135. [Google Scholar] [CrossRef]
  64. Lin, B.; Cerato, A.B.; Andrew, S.M.; Madden, M.E.E. Effect of Fly Ash on the Behavior of Expansive Soils: Microscopic Analysis. Environ. Eng. Geosci. 2013, 19, 85–94. [Google Scholar] [CrossRef]
  65. Suluguru, A.K.; Surana, S.R.; GuhaRay, A.; Kar, A.; Muktinutalapati, J. Experimental Investigations on Building Derived Materials in Chemically Aggressive Environment as a Partial Replacement of Soil in Geotechnical Applications. Geotech. Geol. Eng. 2019, 37, 947–963. [Google Scholar] [CrossRef]
  66. Syed, M.; GuhaRay, A.; Kar, A. Stabilization of Expansive Clayey Soil with Alkali Activated Binders. Geotech. Geol. Eng. 2020, 38, 6657–6677. [Google Scholar] [CrossRef]
  67. Ping, Y.; Kirkpatrick, R.J.; Brent, P.; McMillan, P.F.; Cong, X. Structure of Calcium Silicate Hydrate (C-S-H): Near-, Mid-, and Far-Infrared Spectroscopy. J. Am. Ceram. Soc. 1999, 82, 742–748. [Google Scholar] [CrossRef]
  68. Abou-Mesalam, M.M. Sorption Kinetics of Copper, Zinc, Cadmium and Nickel Ions on Synthesized Silico-Antimonate Ion Exchanger. Colloids Surfaces A Physicochem. Eng. Asp. 2003, 225, 85–94. [Google Scholar] [CrossRef]
  69. Kamseu, E.; Beleuk à Moungam, L.M.; Cannio, M.; Billong, N.; Chaysuwan, D.; Melo, U.C.; Leonelli, C. Substitution of Sodium Silicate with Rice Husk Ash-NaOH Solution in Metakaolin-Based Geopolymer Cement Concerning Reduction in Global Warming. J. Clean. Prod. 2017, 142, 3050–3060. [Google Scholar] [CrossRef]
  70. Chandrasekhar, S.; Satyanarayana, K.G.; Pramada, P.N.; Raghavan, P. Review Processing, Properties and Applications of Reactive Silica from Rice Husk—An Overview. Outlook Agric. 2019, 48, 117–125. [Google Scholar] [CrossRef]
  71. Dávila-Jiménez, M.M.; Elizalde-González, M.P.; Peláez-Cid, A.A. Adsorption Interaction between Natural Adsorbents and Textile Dyes in Aqueous Solution. Colloids Surfaces A Physicochem. Eng. Asp. 2005, 254, 107–114. [Google Scholar] [CrossRef]
  72. Nakbanpote, W.; Goodman, B.A.; Thiravetyan, P. Copper Adsorption on Rice Husk Derived Materials Studied by EPR and FTIR. Colloids Surfaces A Physicochem. Eng. Asp. 2007, 304, 7–13. [Google Scholar] [CrossRef]
  73. Nakbanpote, W.; Thiravetyan, P.; Kalambaheti, C. Preconcentration of Gold by Rice Husk Ash. Miner. Eng. 2000, 13, 391–400. [Google Scholar] [CrossRef]
  74. Joni, I.M.; Nulhakim, L.; Vanitha, M.; Panatarani, C. Characteristics of Crystalline Silica (SiO2) Particles Prepared by Simple Solution Method Using Sodium Silicate (Na2SiO3) Precursor. Available online: https://iopscience.iop.org/article/10.1088/1742-6596/1080/1/012006 (accessed on 8 May 2025).
  75. Chandrasekhar, S.; Pramada, P.N.; Praveen, L. Effect of Organic Acid Treatment on the Properties of Rice Husk Silica. J. Mater. Sci. 2005, 40, 6535–6544. [Google Scholar] [CrossRef]
  76. Wattez, T.; Patapy, C.; Frouin, L.; Waligora, J.; Cyr, M. Interactions between Alkali-Activated Ground Granulated Blast Furnace Slag and Organic Matter in Soil Stabilization/Solidification. Transp. Geotech. 2021, 26, 100412. [Google Scholar] [CrossRef]
Figure 1. SEM micrograph showing the layered and porous structure of BCS.
Figure 1. SEM micrograph showing the layered and porous structure of BCS.
Minerals 15 00516 g001
Figure 2. Methodology for the preparation of AAB using CHA.
Figure 2. Methodology for the preparation of AAB using CHA.
Minerals 15 00516 g002
Figure 3. SEM micrographs of (a) untreated BCS, (b) BCS treated with 6% CHA-based AAB at 0.4 w/s ratio, and (c) BCS treated with 9% CHA-based AAB at 0.4 w/s ratio.
Figure 3. SEM micrographs of (a) untreated BCS, (b) BCS treated with 6% CHA-based AAB at 0.4 w/s ratio, and (c) BCS treated with 9% CHA-based AAB at 0.4 w/s ratio.
Minerals 15 00516 g003
Figure 4. EDS analysis of BCS treated with different percentages of CHA-based AAB, viz. (a) BCS, (b) B97C3, (c) B94C6, (d) B91C9, and (e) B88C12.
Figure 4. EDS analysis of BCS treated with different percentages of CHA-based AAB, viz. (a) BCS, (b) B97C3, (c) B94C6, (d) B91C9, and (e) B88C12.
Minerals 15 00516 g004
Figure 5. Variation of monolayer adsorption capacity of treated soil samples with increasing percentages of CHA binder as obtained using BET and Langmuir techniques.
Figure 5. Variation of monolayer adsorption capacity of treated soil samples with increasing percentages of CHA binder as obtained using BET and Langmuir techniques.
Minerals 15 00516 g005
Figure 6. Variation of the amount of adsorbed N2 gas with increasing percentages of CHA binder as obtained from the adsorption isotherms.
Figure 6. Variation of the amount of adsorbed N2 gas with increasing percentages of CHA binder as obtained from the adsorption isotherms.
Minerals 15 00516 g006
Figure 7. Variation of total pore volume with increasing percentages of CHA binder as obtained using BET analysis.
Figure 7. Variation of total pore volume with increasing percentages of CHA binder as obtained using BET analysis.
Minerals 15 00516 g007
Figure 8. Variation of average pore diameter with increasing percentages of CHA binder as obtained using BET and BJH analyses.
Figure 8. Variation of average pore diameter with increasing percentages of CHA binder as obtained using BET and BJH analyses.
Minerals 15 00516 g008
Figure 9. Variation of SSA with increasing percentages of CHA binder as obtained using BET and Langmuir analyses.
Figure 9. Variation of SSA with increasing percentages of CHA binder as obtained using BET and Langmuir analyses.
Minerals 15 00516 g009
Figure 10. XRD analysis of BCS was treated with increasing percentages of binder content at a 0.4 w/s ratio.
Figure 10. XRD analysis of BCS was treated with increasing percentages of binder content at a 0.4 w/s ratio.
Minerals 15 00516 g010
Figure 11. FTIR spectrum of BCS treated with increasing percentages of binder content at 0.4 w/s ratio.
Figure 11. FTIR spectrum of BCS treated with increasing percentages of binder content at 0.4 w/s ratio.
Minerals 15 00516 g011
Figure 12. Variation of free heaving with increasing percentages of AAB at 0.4 w/s ratio.
Figure 12. Variation of free heaving with increasing percentages of AAB at 0.4 w/s ratio.
Minerals 15 00516 g012
Figure 13. Variation in 28-day cured UCS with increasing percentages at 0.4 w/s ratio.
Figure 13. Variation in 28-day cured UCS with increasing percentages at 0.4 w/s ratio.
Minerals 15 00516 g013
Figure 14. Variation of 24 h cured UCS with increasing percentages of AAB at 0.4 w/s ratio.
Figure 14. Variation of 24 h cured UCS with increasing percentages of AAB at 0.4 w/s ratio.
Minerals 15 00516 g014
Figure 15. Variation in 28-day cured UCS with increasing percentages of AAB at 0.4 w/s ratio.
Figure 15. Variation in 28-day cured UCS with increasing percentages of AAB at 0.4 w/s ratio.
Minerals 15 00516 g015
Table 1. Geotechnical properties of BCS as obtained from laboratory results.
Table 1. Geotechnical properties of BCS as obtained from laboratory results.
Soil Properties ValuesStandard
Soil classification (ISSCS) CHIS 2720-4 (1985) [43]
Specific gravity (G) 2.6IS 2720-3-2 (1980) [44]
Free swell index (%) 80IS 2720-40 (1977) [45]
Liquid limit (%) 67IS 2720-5 (1985) [46]
Plasticity index (%) 42IS 2720-5 (1985) [46]
Light compaction testOMC (%)23.12IS 2720-7 (1980) [47]
MDD (g/cc)1.66
Linear shrinkage (%) 16.4IS 2720-20 (1997) [48]
UCS (kN/m2) 187IS 2720-10 (1991) [49]
CBR (%)Unsoaked1.93IS 2720-16 (1987) [50]
Soaked0.91
Swell pressure (kN/m2) 112IS 2720-41 (1977) [51]
Table 2. Physical properties of CHA.
Table 2. Physical properties of CHA.
PropertyCHA
ColorBlack
Specific Gravity1.83
FSI (%)6
Specific surface area (SSA) (m2/g)88.9
Total pore volume (cm3/g)0.015
Mean pore diameter (nm)56.8
Loss on ignition at 100 °C (%)3.67
Bulk density (loose) (g/cm3)0.71
Material passing through the 75-micron mesh (%)53
Table 3. Chemical composition of raw materials.
Table 3. Chemical composition of raw materials.
Oxide (%)BCSCHA
SiO254.2411.98
Al2O316.010.29
Fe2O39.192.02
MgO8.363.83
CaO6.188.11
K2O1.2342.37
Cl0.7831.35
P2O51.160.05
Others (SO3 + MnO2 + TiO2)2.85-
Table 4. Elemental composition in weight % of untreated and treated soil at 0.4 w/s ratio.
Table 4. Elemental composition in weight % of untreated and treated soil at 0.4 w/s ratio.
ElementsUntreated BCS3% AAB6% AAB9% AAB12% AAB15% AAB
Si34.241.346.6851.2756.659.5
Na0.221.511.781.891.871.84
Al6.318.7117.5521.2722.623.8
Mg0.820.852.252.832.931.74
Ca0.773.684.626.987.219.2
K1.021.061.321.922.271.41
Ti0.580.250.570.950.870.65
Table 5. FTIR spectrum of soil treated with 6% CHA-based AAB.
Table 5. FTIR spectrum of soil treated with 6% CHA-based AAB.
Bond FormationWave Number (cm−1)Reference
-OH (stretching) alcohol3619.73[68]
-OH (stretching) alcohol3424.96[68,75]
-S-H (stretching) thiol2513.76-
O=C=O (stretching)2357.55[75]
H-O-H (bending)1639.2[72]
C-H (bending) alkane1430.92[71]
-OH/Si-O-Si (silanol)1077.05[69,74]
-Si-H784.886[74]
-OH466.689[76]
Table 6. Basic geotechnical properties of BCS treated with different percentages of binder.
Table 6. Basic geotechnical properties of BCS treated with different percentages of binder.
PropertiesBCSB97C3B94C6B91C9B88C12B85C15
G2.62.472.322.282.11.98
MDD1.661.691.751.861.851.81
OMC23.1223.6824.124.6925.8925.91
FSI (%)80.050.037.522.2215.7910.0
LL (%)66.5460.756.7955.8753.5352.09
PI (%)413432302628
Disclaimer/Publisher’s Note: The statements, opinions and data contained in all publications are solely those of the individual author(s) and contributor(s) and not of MDPI and/or the editor(s). MDPI and/or the editor(s) disclaim responsibility for any injury to people or property resulting from any ideas, methods, instructions or products referred to in the content.

Share and Cite

MDPI and ACS Style

Abhishek, A.; GuhaRay, A.; Hata, T.; Abuel-Naga, H. Microstructural Characterization of Expansive Soil Stabilized with Coconut Husk Ash: A Multi-Technique Investigation into Mineralogy, Pore Architecture, and Surface Interactions. Minerals 2025, 15, 516. https://doi.org/10.3390/min15050516

AMA Style

Abhishek A, GuhaRay A, Hata T, Abuel-Naga H. Microstructural Characterization of Expansive Soil Stabilized with Coconut Husk Ash: A Multi-Technique Investigation into Mineralogy, Pore Architecture, and Surface Interactions. Minerals. 2025; 15(5):516. https://doi.org/10.3390/min15050516

Chicago/Turabian Style

Abhishek, Ankur, Anasua GuhaRay, Toshiro Hata, and Hossam Abuel-Naga. 2025. "Microstructural Characterization of Expansive Soil Stabilized with Coconut Husk Ash: A Multi-Technique Investigation into Mineralogy, Pore Architecture, and Surface Interactions" Minerals 15, no. 5: 516. https://doi.org/10.3390/min15050516

APA Style

Abhishek, A., GuhaRay, A., Hata, T., & Abuel-Naga, H. (2025). Microstructural Characterization of Expansive Soil Stabilized with Coconut Husk Ash: A Multi-Technique Investigation into Mineralogy, Pore Architecture, and Surface Interactions. Minerals, 15(5), 516. https://doi.org/10.3390/min15050516

Note that from the first issue of 2016, this journal uses article numbers instead of page numbers. See further details here.

Article Metrics

Back to TopTop