Use of Biomass Ash in Reinforced Clayey Soil: A Multiscale Analysis of Solid-State Reactions
Abstract
1. Introduction
2. Results
2.1. Geotechnical Analyses
- PR/PeA (PR soil with added wood pellet ash);
- PR/PeA/GEOS (PR soil with added wood pellet ash and activator);
- PR/OlA/GEOS (PR soil with added olive pruning ash and activator);
- PR/GrA/GEOS (PR soil with added grapevine pruning ash and activator).
2.2. XRPD and Electron Microscopy Analyses on PR/ash Mixtures
2.3. FT-IR
3. Discussion
- The initial reduction in compressibility observed in all samples after 1 day of curing was likely due to a mere mechanical effect. In fact, it is known that pozzolanic reactions involving biomass ashes in the systems do not develop products in the early stage of curing [32]. In PR/PeA/GEOS, worse compressibility characteristics were observed at intermediate curing times (7 and 14 days). This could be because at this stage of the system evolution, pozzolanic reactions have already determined a consumption of the added ash but the newly formed compounds are still not able to give beneficial effects compensating for the gradual loss of mere mechanical benefits due to the addition of unreacted PeA. After 28 days of curing, the binding effects are stronger and they compensate for the loss of initial mechanical benefits. The compression curves after 1 and 28 days of curing were in fact superimposed on each other. On the contrary, the results obtained for PR/OlA/GEOS seem to indicate that pozzolanic reactions induce the formation of new compounds, the presence of which determines, at any time up to 28 days, beneficial effects compensating for the gradual loss of mechanical benefits observed in the short term (1 day) and due to the addition of unreacted OlA. Finally, the behavior of PR/GrA/GEOS suggested that after 7 days of curing, new compounds had developed with improved mechanical effects (compressibility reduction) compared to those seen after 1 day with the addition of the unreacted GrA. Nonetheless, these effects were transient, and compressibility increased again after longer curing times (14 and 28 days), although it remained inferior after 1 day of curing. This behavior suggests that after 7 days, new transitional compounds had formed, conferring transient mechanical benefits. Later, such compounds could have been substituted by others, leading to less benefits, at least until 28 days of curing. In such complex systems, pozzolanic reactions are influenced by several variables, such as the chemo-mineralogical characteristics of the ashes [24], the Si/Ca ratio of the mixture, pH, and water content. For these reasons, the rate of pozzolanic reactions is nonlinear and varies in terms of the compressibility characteristics of different mixtures. Nonetheless, it was observed that after 28 days of curing, all mixtures had a compressibility, at different degrees, lower than that observed after 1 day of curing. The effects induced by pozzolanic reactions are expected to be permanent or even to improve over longer curing times, which could allow the formation of better-developed cementitious compounds, as evidenced by the Fe-SEM images taken after 60 days of curing (see point 3).
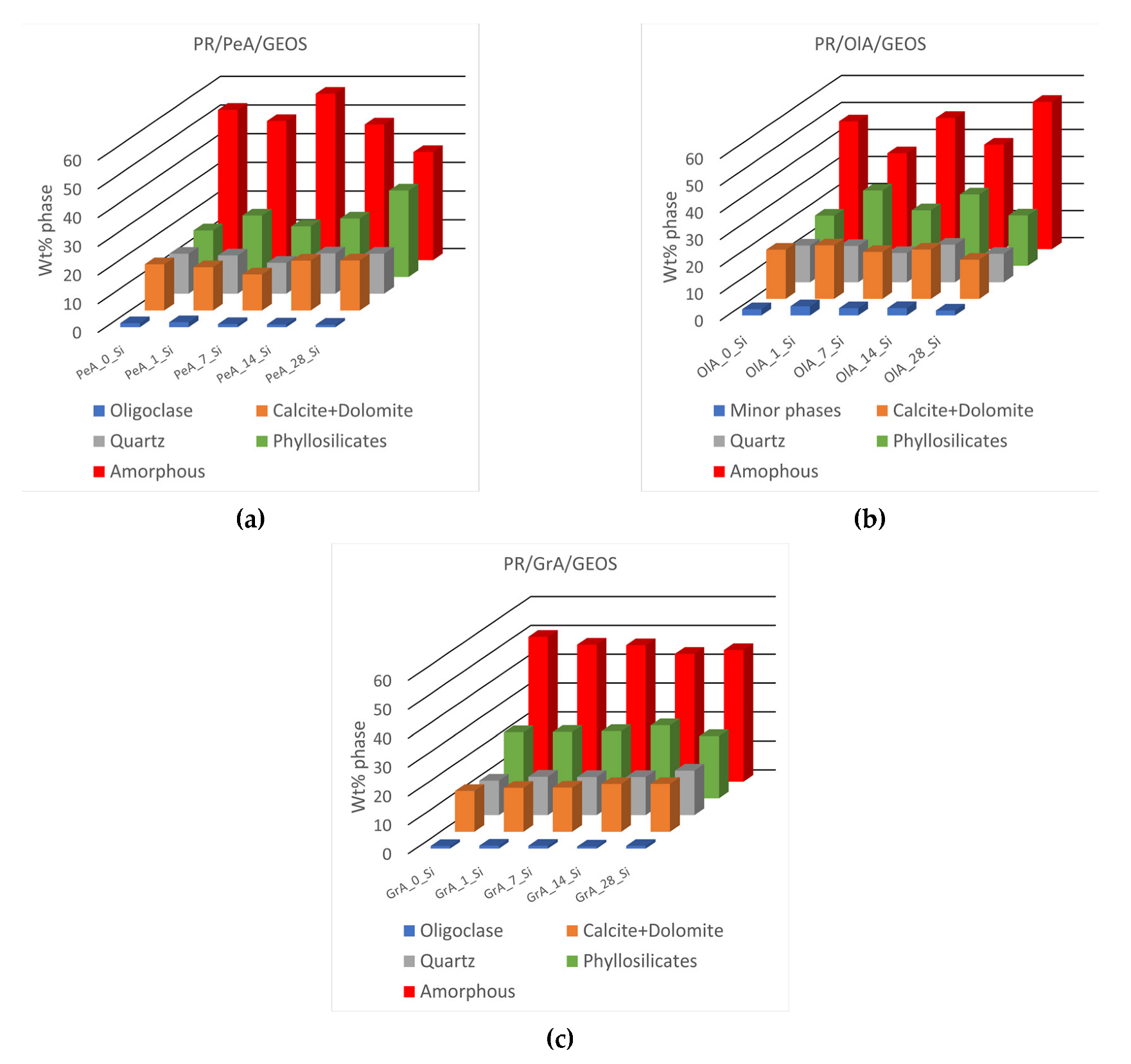
- None of the XRPD spectra of the three mixtures, at any curing time, showed C-S-H or/and C-A-S-H peaks (Figure 3, Figure 4, and Figure 5), which are the main phases that improve the strength of the samples. At room temperature, only poorly crystalline C-S-H may be formed, which is difficult to detect using XRPD [9,33]. In addition, the illite content decreased in PR/OlA/GEOS and PR/PeA/GEOS (Figure 6 b,c) as the amorphous content increased, as also reported by Chrysochoou [34], while for the PR/GrA/GEOS mixture, the content remained largely stable. Clay granules are attacked in these alkaline environments and form available silica and alumina groups that combine with fly-ash-derived calcium to form amorphous C-S-H phases [33]. This behavior confirms that secondary products, such as C-S-H and C-A-S-H, form principally in amorphous phases, as evidenced by the increase in the amorphous content corresponding to the improvement in the geotechnical properties of the samples.
- Further evidence of the growth of an amorphous product of pozzolanic reactions in gel form is provided by the Fe-SEM images, where the serrated edges of clay lamellae appear rounded, and EDS semi-quantitative analyses showed a drastic increase in the Ca content, from approximately 8% in raw PR soil to approximately 15% on the surface of clay grains after 28 days of curing for the PR/PeA/GEOS, PR/OlA/GEOS, and PR/GrA/GEOS mixtures (Figure 8). After 60 days of curing, two different C-S-H/C-A-S-H reaction products were detected from electron images: intertwined acicular crystals in the PR/PeA/GEOS and PR/GrA/GEOS mixtures (Figure 9a–c) and honeycomb textures characteristic of C-S-H/C-A-S-H tobermorite-like phases in the PR/OlA/GEOS sample (Figure 9b). These structures were found in all mixtures and are comparable to those found in clayey soils traditionally treated with lime [35,36] and recently synthesized for novel functional carrier materials applied in photocatalysis [37]. Figure 6c in Solanki et al. [35] and Figure 6 in Di Sante et al. [36] confirm the similarities of the structure.
- The extent of the pozzolanic reaction can be delineated and studied by determining the change in the position and intensity of diagnostic FT-IR peaks [17,31]. The bands located at 900–1100 cm−1 (Si-O-T stretching modes) and 420–620 cm−1 (Si-O-T bending modes) are sensitive to the chemical reaction, resulting in a shift in the positions indicative of the formation of C-S-H and/or C-A-S-H gels [30]. The shift in the position of the Si-O-T bands is due to an increase in the degree of polymerization of the silicon tetrahedra (SiO4). It can be clearly seen that a shift in the peak position in the functional groups took place for all four samples at different curing times (Figure 11). In detail, for the PR/OlA/GEOS and PR/GrA/GEOS samples (Figure 11b,c), the shift in the position of the Si-O-T bands was already visible at 28 days of treatment, while for the PR/PeA/GEOS sample, a longer curing time (60 days) was required before a shift in the Si-O-T bands (Figure 11a) could be seen. Another effect of the formation of cementitious phases was the progressive decrease in the intensity of the bands at ~3375 cm−1 (O–H stretching) and their widening, a behavior described by Murmu et al. [38] to be due to the involvement of water in the pozzolanic reaction. The reduction in the O–H band intensity at ~3375 was clearly visible for the PR/OlA/GEOS and PR/GrA/GEOS samples (Figure 10c,d).
4. Materials and Methods
4.1. Clayey Soil
4.2. Biomass Ashes
4.3. Geotechnical Analyses
4.4. Chemo-Mineralogical Analyses
5. Conclusions
Supplementary Materials
Author Contributions
Funding
Institutional Review Board Statement
Informed Consent Statement
Data Availability Statement
Conflicts of Interest
References
- Phummiphan, I.; Horpibulsuk, S.; Phoo-ngernkham, T.; Arulrajah, A.; Shen, S.-L. Marginal Lateritic Soil Stabilized with Calcium Carbide Residue and Fly Ash Geopolymers as a Sustainable Pavement Base Material. J. Mater. Civ. Eng. 2017, 29, 04016195. [Google Scholar] [CrossRef]
- Uddin, K.; Balasubramaniam, A.S.; Bergado, D.T. Engineering Behavior of Cement-Treated Bangkok Soft Clay. Geotech. Eng. 1997, 28, 89–119. [Google Scholar]
- Miura, N.; Horpibulsuk, S.; Nagaraj, T.S. Engineering Behavior of Cement Stabilized Clay at High Water Content. Soils Found. 2001, 41, 33–45. [Google Scholar] [CrossRef] [PubMed]
- Boardman, D.I.; Glendinning, S.; Rogers, C.D.F. Development of Stabilisation and Solidification in Lime–Clay Mixes. Géotechnique 2001, 51, 533–543. [Google Scholar] [CrossRef]
- Lemaire, K.; Deneele, D.; Bonnet, S.; Legret, M. Effects of Lime and Cement Treatment on the Physicochemical, Microstructural and Mechanical Characteristics of a Plastic Silt. Eng. Geol. 2013, 166, 255–261. [Google Scholar] [CrossRef]
- Gentili, S.; Comodi, P.; Nazzareni, S.; Zucchini, A. The Orvieto-Bagnoregio Ignimbrite: Pyroxene Crystal-Chemistry and Bulk Phase Composition of Pyroclastic Deposits, a Tool to Identify Syn-and Post-Depositional Processes. Eur. J. Mineral. 2014, 26, 743–756. [Google Scholar] [CrossRef]
- Chemeda, Y.C.; Deneele, D.; Christidis, G.E.; Ouvrard, G. Influence of Hydrated Lime on the Surface Properties and Interaction of Kaolinite Particles. Appl. Clay Sci. 2015, 107, 1–13. [Google Scholar] [CrossRef]
- Vitale, E.; Deneele, D.; Russo, G.; Ouvrard, G. Short-term effects on physical properties of lime treated kaolin. Appl. Clay Sci. 2016, 132-133, 223–231. [Google Scholar] [CrossRef]
- Guidobaldi, G.; Cambi, C.; Cecconi, M.; Comodi, P.; Deneele, D.; Paris, M.; Russo, G.; Vitale, E.; Zucchini, A. Chemo-Mineralogical Evolution and Microstructural Modifications of a Lime Treated Pyroclastic Soil. Eng. Geol. 2018, 245, 333–343. [Google Scholar] [CrossRef]
- Vitale, E.; Deneele, D.; Russo, G. Multiscale Analysis on the Behaviour of a Lime Treated Bentonite. Procedia Eng. 2016, 158, 87–91. [Google Scholar] [CrossRef][Green Version]
- Coudert, E.; Paris, M.; Deneele, D.; Russo, G.; Tarantino, A. Use of Alkali Activated High-Calcium Fly Ash Binder for Kaolin Clay Soil Stabilisation: Physicochemical Evolution. Constr. Build. Mater. 2019, 201, 539–552. [Google Scholar] [CrossRef]
- Cabrera, M.; Galvin, A.P.; Agrela, F.; Carvajal, M.D.; Ayuso, J. Characterisation and Technical Feasibility of Using Biomass Bottom Ash for Civil Infrastructures. Constr. Build. Mater. 2014, 58, 234–244. [Google Scholar] [CrossRef]
- Agrela, F.; Cabrera, M.; Morales, M.M.; Zamorano, M.; Alshaaer, M. Biomass Fly Ash and Biomass Bottom Ash. In New Trends in Eco-Efficient and Recycled Concrete; Elsevier: Amsterdam, The Netherlands, 2019; pp. 23–58. [Google Scholar]
- Thomas, M.D.A. Optimizing the Use of Fly Ash in Concrete; Portland Cement Association: Skokie, IL, USA, 2007; Volume 5420. [Google Scholar]
- Obernberger, I.; Supancic, K. Possibilities of Ash Utilisation from Biomass Combustion Plants. In Proceedings of the 17th European Biomass Conference & Exhibition, Hamburg, Germany, 29 June–3 July 2009; Volume 29. [Google Scholar]
- Cabrera, M.; Rosales, J.; Ayuso, J.; Estaire, J.; Agrela, F. Feasibility of Using Olive Biomass Bottom Ash in the Sub-Bases of Roads and Rural Paths. Constr. Build. Mater. 2018, 181, 266–275. [Google Scholar] [CrossRef]
- Gupt, C.B.; Bordoloi, S.; Sahoo, R.K.; Sekharan, S. Mechanical Performance and Micro-Structure of Bentonite-Fly Ash and Bentonite-Sand Mixes for Landfill Liner Application. J. Clean. Prod. 2021, 292, 126033. [Google Scholar] [CrossRef]
- Cherian, C.; Siddiqua, S. Engineering and Environmental Evaluation for Utilization of Recycled Pulp Mill Fly Ash as Binder in Sustainable Road Construction. J. Clean. Prod. 2021, 298, 126758. [Google Scholar] [CrossRef]
- Cristelo, N.; Glendinning, S.; Teixeira Pinto, A. Deep Soft Soil Improvement by Alkaline Activation. Proc. Inst. Civ. Eng.-Ground Improv. 2011, 164, 73–82. [Google Scholar] [CrossRef]
- Snellings, R.; Kazemi-Kamyab, H.; Nielsen, P.; Van den Abeele, L. Classification and Milling Increase Fly Ash Pozzolanic Reactivity. Front. Built Environ. 2021, 7, 670996. [Google Scholar] [CrossRef]
- Rios, S.; Cristelo, N.; Viana da Fonseca, A.; Ferreira, C. Structural Performance of Alkali-Activated Soil Ash versus Soil Cement. J. Mater. Civ. Eng. 2016, 28, 04015125. [Google Scholar] [CrossRef]
- Sargent, P.; Hughes, P.N.; Rouainia, M.; White, M.L. The Use of Alkali Activated Waste Binders in Enhancing the Mechanical Properties and Durability of Soft Alluvial Soils. Eng. Geol. 2013, 152, 96–108. [Google Scholar] [CrossRef]
- Gatta, G.D.; Comodi, P.; Zanazzi, P.F.; Ballaran, T.B. Anomalous Elastic Behavior and High-Pressure Structural Evolution of Zeolite Levyne. Am. Mineral. 2005, 90, 645–652. [Google Scholar] [CrossRef]
- Vitale, E.; Deneele, D.; Paris, M.; Russo, G. Multi-Scale Analysis and Time Evolution of Pozzolanic Activity of Lime Treated Clays. Appl. Clay Sci. 2017, 141, 36–45. [Google Scholar] [CrossRef]
- Comodi, P.; Zucchini, A.; Susta, U.; Cambi, C.; Vivani, R.; Cavalaglio, G.; Cotana, F. Multi-Scale Minero-Chemical Analysis of Biomass Ashes: A Key to Evaluating Their Dangers vs. Benefits. Sustainability 2021, 13, 6052. [Google Scholar] [CrossRef]
- Zhu, W.; Chen, X.; Struble, L.J.; Yang, E.-H. Characterization of Calcium-Containing Phases in Alkali-Activated Municipal Solid Waste Incineration Bottom Ash Binder through Chemical Extraction and Deconvoluted Fourier Transform Infrared Spectra. J. Clean. Prod. 2018, 192, 782–789. [Google Scholar] [CrossRef]
- Madejová, J. FTIR Techniques in Clay Mineral Studies. Vib. Spectrosc. 2003, 31, 1–10. [Google Scholar] [CrossRef]
- Madejová, J.; Gates, W.P.; Petit, S. IR Spectra of Clay Minerals. In Developments in clay science; Elsevier: Amsterdam, The Netherlands, 2017; Volume 8, pp. 107–149. ISBN 1572-4352. [Google Scholar]
- Kalembkiewicz, J.; Galas, D.; Sitarz-Palczak, E. The Physicochemical Properties and Composition of Biomass Ash and Evaluating Directions of Its Applications. Pol. J. Environ. Stud. 2018, 27, 1–11. [Google Scholar] [CrossRef]
- Jose, A.; Nivitha, M.R.; Krishnan, J.M.; Robinson, R.G. Characterization of Cement Stabilized Pond Ash Using FTIR Spectroscopy. Constr. Build. Mater. 2020, 263, 120136. [Google Scholar] [CrossRef]
- Geng, G.; Myers, R.J.; Li, J.; Maboudian, R.; Carraro, C.; Shapiro, D.A.; Monteiro, P.J. Aluminum-Induced Dreierketten Chain Cross-Links Increase the Mechanical Properties of Nanocrystalline Calcium Aluminosilicate Hydrate. Sci. Rep. 2017, 7, 44032. [Google Scholar] [CrossRef]
- Lav, A.H.; Lav, M.A. Microstructural Development of Stabilized Fly Ash as Pavement Base Material. J. Mater. Civ. Eng. 2000, 12, 157–163. [Google Scholar] [CrossRef]
- Tabet, W.E.; Cerato, A.B.; Elwood Madden, A.S.; Jentoft, R.E. Characterization of Hydration Products’ Formation and Strength Development in Cement-Stabilized Kaolinite Using TG and XRD. J. Mater. Civ. Eng. 2018, 30, 04018261. [Google Scholar] [CrossRef]
- Chrysochoou, M. Investigation of the Mineral Dissolution Rate and Strength Development in Stabilized Soils Using Quantitative X-Ray Diffraction. J. Mater. Civ. Eng. 2014, 26, 288–295. [Google Scholar] [CrossRef]
- Solanki, P.; Zaman, M. Microstructural and Mineralogical Characterization of Clay Stabilized Using Calcium-Based Stabilizers. In Scanning Electron Microscopy; IntechOpen: London, UK, 2012. [Google Scholar]
- Di Sante, M.; Fratalocchi, E.; Mazzieri, F.; Pasqualini, E. Time of Reactions in a Lime Treated Clayey Soil and Influence of Curing Conditions on Its Microstructure and Behaviour. Appl. Clay Sci. 2014, 99, 100–109. [Google Scholar] [CrossRef]
- Zhao, D.; Gao, Y.; Nie, S.; Liu, Z.; Wang, F.; Liu, P.; Hu, S. Self-Assembly of Honeycomb-like Calcium-Aluminum-Silicate-Hydrate (CASH) on Ceramsite Sand and Its Application in Photocatalysis. Chem. Eng. J. 2018, 344, 583–593. [Google Scholar] [CrossRef]
- Murmu, A.L.; Jain, A.; Patel, A. Mechanical Properties of Alkali Activated Fly Ash Geopolymer Stabilized Expansive Clay. KSCE J. Civ. Eng. 2019, 23, 3875–3888. [Google Scholar] [CrossRef]
- Rietveld, H.M. A Profile Refinement Method for Nuclear and Magnetic Structures. J. Appl. Crystallogr. 1969, 2, 65–71. [Google Scholar] [CrossRef]
- Altomare, A.; Burla, M.C.; Giacovazzo, C.; Guagliardi, A.; Moliterni, A.G.; Polidori, G.; Rizzi, R. Quanto: A Rietveld Program for Quantitative Phase Analysis of Polycrystalline Mixtures. J. Appl. Crystallogr. 2001, 34, 392–397. [Google Scholar] [CrossRef]
- Agovino, M.; Garofalo, A.; Mariani, A. Separate Waste Collection in Italy: The Role of Socio-Cultural Factors and Targets Set by Law. Env. Dev. Sustain. 2017, 19, 589–605. [Google Scholar] [CrossRef]
- ASTM D6276-19; Test Method Using Ph Estim. Soil-Lime Proportion Requir. Soil Stabilization. ASTM Int.: West Conshohocken, PA, USA, 2006.
- Gražulis, S.; Merkys, A.; Vaitkus, A.; Okulič-Kazarinas, M. Computing Stoichiometric Molecular Composition from Crystal Structures. J. Appl. Crystallogr. 2015, 48, 85–91. [Google Scholar] [CrossRef]
- Gražulis, S.; Daškevič, A.; Merkys, A.; Chateigner, D.; Lutterotti, L.; Quiros, M.; Serebryanaya, N.R.; Moeck, P.; Downs, R.T.; Le Bail, A. Crystallography Open Database (COD): An Open-Access Collection of Crystal Structures and Platform for World-Wide Collaboration. Nucleic Acids Res. 2012, 40, D420–D427. [Google Scholar] [CrossRef]
- Merkys, A.; Vaitkus, A.; Butkus, J.; Okulič-Kazarinas, M.; Kairys, V.; Gražulis, S. COD::CIF::Parser: An Error-Correcting CIF Parser for the Perl Language. J. Appl. Cryst. 2016, 49, 292–301. [Google Scholar] [CrossRef]
- Quirós, M.; Gražulis, S.; Girdzijauskaitė, S.; Merkys, A.; Vaitkus, A. Using SMILES Strings for the Description of Chemical Connectivity in the Crystallography Open Database. J. Cheminform. 2018, 10, 1–17. [Google Scholar] [CrossRef]
- Vaitkus, A.; Merkys, A.; Gražulis, S. Validation of the Crystallography Open Database Using the Crystallographic Information Framework. J Appl Cryst 2021, 54, 661–672. [Google Scholar] [CrossRef] [PubMed]
- Balić-Žunić, T. Quantitative Powder Diffraction Phase Analysis with a Combination of the Rietveld Method and the Addition Method. Powder Diffr. 2002, 17, 287–289. [Google Scholar] [CrossRef]
- Comodi, P.; Nazzareni, S.; Balić-Žunić, T.; Zucchini, A.; Hanfland, M. The High-Pressure Behavior of Bloedite: A Synchrotron Single-Crystal X-Ray Diffraction Study. Am. Mineral. 2014, 99, 511–518. [Google Scholar] [CrossRef]
- Downs, R.T.; Hall-Wallace, M. The American Mineralogist Crystal Structure Database. Am. Mineral. 2003, 88, 247–250. [Google Scholar]












| Lime Amount (wt%) | pH | GrA Amount (wt%) | pH | PeA Amount (wt%) | pH | OlA Amount (wt%) | pH |
|---|---|---|---|---|---|---|---|
| 2 | 12.10 | 2 | 8.97 | 2 | 9.96 | 2 | 8.98 |
| 3 | 12.26 | 3 | 9.25 | 3 | 10.59 | 3 | 8.97 |
| 4 | 12.36 | 4 | 9.39 | 4 | 11.04 | 4 | 9.19 |
| 5 | 12.39 | 5 | 9.57 | 5 | 11.31 | 5 | 9.34 |
| 6 | 12.40 | 6 | 9.44 | 6 | 11.59 | 6 | 9.57 |
| -- | -- | 10 | 9.70 | 10 | 12.05 | 10 | 9.7 |
| -- | -- | 20 | 9.93 | 20 | 12.5 | 20 | 9.72 |
| Sample Code | Water Content (wt%) | Void Ratio (e) |
|---|---|---|
| wt%PR-0.92 | 28 | 0.92 |
| PR/PeA | 28 | 0.92 |
| PR-1.1 | 28 | 1.1 |
| PR/PeA/GEOS | 28 | 1.1 |
| PR/OlA/GEOS | 28 | 1.1 |
| PR/GrA/GEOS | 28 | 1.1 |
| Vibrational Modes | Wavenumber Position (cm−1) | ||||
|---|---|---|---|---|---|
| GEOS | PR | OlA | GrA | PeA | |
| O-H stretching | 2978 3277 | 3402 3620 | / | 2961 2922 2852 | 2901 2980 |
| H-O-H bending | 1646 | 1635 | / | 1696 | / |
| CO3−2 stretching | / | 1433 | 1401 | 1393 1453 | 1402 1452 |
| Si-O-T (T: tetrahedral Si or Al) stretching | 978 (Si-O) | 912 1001 1015 1167 | 962 1032 1087 | 1006 1027 1035 | 1048 1111 |
| CO3−2 bending | / | 715 778 874 | 710 872 | 710 871 | 713 873 |
| Si-O-T (T: tetrahedral Si or Al) bending | 437 607 (Si-O) | 422 464 523 | 567 604 | 567 600 | 516 613 |
| Mineral Phase | wt% | Err. |
|---|---|---|
| Quartz | 14.51 | 0.1 |
| Calcite | 16.6 | 0.2 |
| Dolomite | 1.14 | 0.1 |
| Muscovite | 0.88 | 0.1 |
| Chamosite | 2.0 | 0.1 |
| Oligoclase | 1.25 | 0.1 |
| Illite | 25.85 | 0.6 |
| Amorphous | 37.8 | 0.1 |
| Oxides | wt% |
|---|---|
| Na2O | 1.49 |
| MgO | 3.53 |
| Al2O3 | 16.04 |
| SiO2 | 65.7 |
| K2O | 3.15 |
| CaO | 8.0 |
| FeO | 2.09 |
| Code | Type | Origin | Major Elements (in Oxide wt%) | ||||||||||||
|---|---|---|---|---|---|---|---|---|---|---|---|---|---|---|---|
| GrA | Biomass ashes | Grapevine pruning | NaO | Cl | Mn | K2O | MgO | SiO2 | Cr2O3 | FeO | CaO | Al2O3 | P2O5 | TiO2 | Total |
| 0.94 | 0.0 | 0.13 | 1.78 | 9.14 | 26.19 | 0.0 | 2.34 | 44.26 | 5.52 | 8.86 | 0.32 | 99.5 | |||
| PeA | Biomass ashes | Wood pellets | 0.11 | 0.0 | 1.11 | 0.0 | 32.4 | 16.51 | 0.0 | 2.76 | 37.21 | 5.54 | 3.50 | 0.2 | 99.4 |
| OlA | Biomass ashes | Olive tree pruning | 0.58 | 0.0 | 0.12 | 4.94 | 3.85 | 27.95 | 0.0 | 2.89 | 43.31 | 7.90 | 7.83 | 0.35 | 99.8 |
| Sample | Mineral Phase | wt% | Err. |
|---|---|---|---|
| GrA | Periclase Calcite Heulandite Calcioferrite Fairchildite Quartz Hydroxylapatite Amorphous | 1.81 8.34 1.15 1.60 2.23 0.33 5.08 79.5 | 0.01 0.04 0.03 0.02 0.01 0.11 0.21 0.2 |
| PeA | Periclase Calcite Portlandite Lime Fairchildite Quartz Apatite Amorphous | 5.77 6.36 0.63 2.06 11.20 0.52 1.39 72.1 | 0.02 0.05 0.04 0.02 0.03 0.14 0.26 0.3 |
| OlA | Reichenbachite Calcite Quartz Phosphoferrite Hydrossilapatite Amorphous | 0.95 42.24 4.18 0.42 4.57 47.6 | 0.02 0.15 0.07 0.03 0.03 0.5 |
| Sample ID | Test | ||||||||
|---|---|---|---|---|---|---|---|---|---|
| ILC | Att. Lim. | Granul. | Proctor | Oedometric | XRPD | QPA | SEM | FT-IR | |
| PR | x | x | x | x | x | x | x | x | |
| OlA | x | x | x | x | |||||
| PeA | x | x | x | x | |||||
| GrA | x | x | x | x | |||||
| GEOS | x | ||||||||
| Mixture ID | Curing Time (days) | Test | ||||
|---|---|---|---|---|---|---|
| Oedometric | XRPD | QPA | SEM | FT-IR | ||
| PR/Pea | 1 | x | ||||
| 7 | x | |||||
| 14 | x | |||||
| 28 | x | |||||
| 60 | ||||||
| PR/PeA/GEOS | 1 | x | x | x | x | x |
| 7 | x | x | x | x | x | |
| 14 | x | x | x | x | x | |
| 28 | x | x | x | x | x | |
| 60 | x | x | ||||
| PR/OlA/GEOS | 1 | x | x | x | x | x |
| 7 | x | x | x | x | x | |
| 14 | x | x | x | x | x | |
| 28 | x | x | x | x | x | |
| 60 | x | x | ||||
| PR/GrA/GEOS | 1 | x | x | x | x | x |
| 7 | x | x | x | x | x | |
| 14 | x | x | x | x | x | |
| 28 | x | x | x | x | x | |
| 60 | x | x | ||||
Disclaimer/Publisher’s Note: The statements, opinions and data contained in all publications are solely those of the individual author(s) and contributor(s) and not of MDPI and/or the editor(s). MDPI and/or the editor(s) disclaim responsibility for any injury to people or property resulting from any ideas, methods, instructions or products referred to in the content. |
© 2022 by the authors. Licensee MDPI, Basel, Switzerland. This article is an open access article distributed under the terms and conditions of the Creative Commons Attribution (CC BY) license (https://creativecommons.org/licenses/by/4.0/).
Share and Cite
Fastelli, M.; Cambi, C.; Zucchini, A.; Sassi, P.; Pandolfi Balbi, E.; Pioppi, L.; Cotana, F.; Cavalaglio, G.; Comodi, P. Use of Biomass Ash in Reinforced Clayey Soil: A Multiscale Analysis of Solid-State Reactions. Recycling 2023, 8, 5. https://doi.org/10.3390/recycling8010005
Fastelli M, Cambi C, Zucchini A, Sassi P, Pandolfi Balbi E, Pioppi L, Cotana F, Cavalaglio G, Comodi P. Use of Biomass Ash in Reinforced Clayey Soil: A Multiscale Analysis of Solid-State Reactions. Recycling. 2023; 8(1):5. https://doi.org/10.3390/recycling8010005
Chicago/Turabian StyleFastelli, Maximiliano, Costanza Cambi, Azzurra Zucchini, Paola Sassi, Elia Pandolfi Balbi, Leonardo Pioppi, Franco Cotana, Gianluca Cavalaglio, and Paola Comodi. 2023. "Use of Biomass Ash in Reinforced Clayey Soil: A Multiscale Analysis of Solid-State Reactions" Recycling 8, no. 1: 5. https://doi.org/10.3390/recycling8010005
APA StyleFastelli, M., Cambi, C., Zucchini, A., Sassi, P., Pandolfi Balbi, E., Pioppi, L., Cotana, F., Cavalaglio, G., & Comodi, P. (2023). Use of Biomass Ash in Reinforced Clayey Soil: A Multiscale Analysis of Solid-State Reactions. Recycling, 8(1), 5. https://doi.org/10.3390/recycling8010005

