Abstract
This paper presents the first laboratory study of four materials (three lateritic soils and one sandy soil) mainly used in road construction in French Guiana. The analysis of macroscopic behaviour by physical tests, following French standards, made it possible to classify and group the samples with respect to the rules specified in the Guide des Terrassements Routiers (GTR). According to the GTR, these raw materials could only be used as backfill materials and under very specific hydric conditions. Chemical and mineralogical characterisation by the X-ray fluorescence analysis, scanning electron microscopy observation supplemented by the X-ray microanalysis, and the infrared analysis revealed differences in the main minerals. Indeed, the presence of mineral species such as kaolinite and gibbsite and oxides such as goethite and hematite was detected. The macroscopic and microscopic characteristics of the four soils made it possible to establish a relationship between their geotechnical and mineralogical properties. Finally, the results of this study led to the conclusion that the mineralogical composition and geotechnical properties of lateritic soils must be known simultaneously to allow correct identification for their application in road construction.
1. Introduction
French Guiana has an equatorial climate with two climatic seasons: a dry season and a wet season. Similar to most countries in the inter-tropical zone, it has large resources in terms of lateritic materials which are commonly used for the construction of road infrastructure (forest roads, unpaved tracks, etc.). According to the National Office of Forests and the SAR (Schéma d’Aménagement Régional), 73% of Guyana’s road network consists of unpaved rural roads [1].
The alternation of the seasons induces cycles of shrinkage/swelling on these more or less clayey soils and consequently favouring their variation in volume. The main defect of these lateritic materials lies in their characteristics, in terms of fineness and plasticity. They are particularly sensitive to water. Several studies based on laboratory tests have been carried out to define the physical and mechanical characteristics that gravel materials should have for use in road construction [2,3,4,5]. According to [6], lateritic gravels with aggregate crushing and LA abrasion values of less than 30% and 34%, respectively, and 10% of fines can be used satisfactorily for pavement construction on heavily trafficked roads. Krinitsky [7] observed on roads made in Kenya that the laterites had high plasticity index (7–21%), wide ranging of laboratory soaked CBRs (12–96% at 95% BS compaction), and 14–49% of rock fractions finer than 0.063 mm. Other studies in other tropical countries use the criteria based on the Atterberg limits and grain size distribution. Paige-Green et al. [8] discuss the wide range of specifications for lateritic soils and highlight the diversity of soils selection criteria for road construction. To better understand the behaviour of these materials, other macroscopic analyses can allow a better classification of the soils present in the intertropical domain. In Brazil, a classification methodology for tropical soils, the MCT classification (Miniature, Compacted, Tropical) [9,10], classifies soils according to criteria other than granulometry and clay content while presenting conditions for the soil reuse in road infrastructure.
In most of these studies, no chemical analysis is considered. However, some work has shown that mineralogical constituents and microstructure have a significant influence on the geotechnical properties of lateritic soils [11,12]. The mode of formation and the mineralogical composition of the bedrock determine soil cohesion and compressibility characteristics [13]. It is therefore clear that the mechanical and geotechnical characteristics of lateritic soils are variable depending on the local conditions. Research in Brazil, notably by de Carvalho et al. [14], shows the example of a section of a road in the state of Amazonas that deteriorated after a short period of use. They noted that this disorder was not due to a structural design problem but to the interaction between the soil and the atmosphere. There are also many typical examples in French Guiana where cracks are generated in particular by the swelling of the soil in the rainy season. The swelling character of these soils is related to the amount and types of clay minerals present. Indeed, the amount of clay minerals and more particularly those of the smectite type contribute to the swelling phenomenon [15,16]. Thus, identifying and evaluating the potential of lateritic soils for the use in road construction based on their geotechnical properties alone, as recommended by the French standards [17,18], may be misleading given the evolving nature of these soils.
Laterite soils may be different and may also behave differently depending on the paedogenic factors [19,20]. Despite the numerous studies carried out on the soils used in road construction, there are no scientific studies on the geotechnical characteristics of the lateritic soils of Guiana. In this paper, the physical, geotechnical, chemical, and mineralogical characteristics of four tropical soils from French Guiana are studied for their use in road construction. The materials are all from different sites and geological horizons but are representative of what is usually encountered in road construction. The objective of this study is to carry out a macroscopic evaluation supplemented by microscopic analyses to better characterise these soils. For this purpose, the GTR classification defining the soil’s conditions of use and its mechanical behaviour measured by geotechnical testing are complemented by chemical analyses to determine the quality of the soils. To have the most comprehensive characterisation possible, a microscopic X-ray fluorescence analysis, scanning electron microscopy, and X-ray microanalysis, as well as an infrared analysis, were carried out. The coupling of geotechnical and mechanical properties and mineralogical and chemical compositions of these soils allows a better evaluation of their suitability as a raw material in road construction.
2. Materials and Methods
2.1. Materials
On-site sampling of the studied materials was carried out in the upper layers after stripping. Figure 1 and Figure 2 and Table 1 show the geological map of French Guiana, the names of the soils studied, and the precise location of the samples. These two geological maps are modified from Delor et al. [21].
Figure 1.
Geological map of French Guiana—positioning of the four different soils.
Figure 2.
Focus on the island of Cayenne and positioning of soils 2, 3, and 4.
Table 1.
Geographic coordinates of the surveyed sites.
According to the BRGM (Bureau de Recherches Géologiques et Minières), the French Geological Survey [22,23,24], the 4 soils are all from different sites and geological horizons. They are referenced as follows.
Figure 3 shows the sampling sites. The Cabalé and Morne Coco soils are ochre-coloured, with a significant presence of coarse elements in the Cabalé soil and a significant presence of sandy fraction in the Morne Coco soil. The BE42 soil is red with a predominance of fines and very weatherable coarse elements. The MTI soil is sandy, with a homogeneous white colour. This sand is comparable to the dune sand of the homometric nature.
Figure 3.
(a) MTI, (b) BE42, (c) Cabalé, and (d) Morne Coco.
2.2. Methods
2.2.1. Materials Preparation
Before the tests were carried out, the materials were homogenised and reduced according to the standard [25]. This preparation allows for homogeneity and regularity in the different samples. The materials were then put into 20 kg bags and stored for later reuse.
2.2.2. Macroscopic Characterisation of Soils
Several tests were performed to obtain a complete characterisation of the soils.
The identification tests completed are listed below. They are based on the French standardisation.
The distribution of grains was determined by granulometric analysis carried out on fractions ranging from 150 mm to 80 µm [26]. To characterise fine particles (<80 µm), granulometry by laser diffraction with a Coulter was performed according to ISO 13320: 2020 [27].
To characterise the plasticity of soils, the Atterberg limits were determined according to the standard (EN ISO 17892-12) [28] on the 0/400 µm fraction. The test was completed by measuring the methylene blue value, determined in accordance with the standard (NF P 94-068) [29].
For the determination of the specific surface area of the different materials, a BET/BJH (Brunauer–Emmett–Teller (BET) and Barrett–Joyner–Halenda (BJH)) analysis was performed using a 3D Flex by nitrogen adsorption/desorption. The analysis was carried out on the 0/5 mm fraction.
Various tests were used to characterise the compaction behaviour of the different soils: absolute density (NF EN 1097-7) [30] and standard and modified Proctor analyses [31]. In addition, Unconfined Compression Tests (NF EN 13286-41) [32] were carried out on 5 cm x 10 cm specimens to evaluate the compressive strength of the soils after compaction in order to determine the minimum time for circulation (1 MPa in simple compression allowing the circulation of heavy vehicles according to the GTS.), and 3 time frames were defined: 1, 7, and 28 days. The specimens were kept in a climatic chamber at 30 °C and 90% relative humidity until the day of the test.
2.2.3. Microscopic Characterisation of Soils
In order to assess the quality of the soils, the following tests were carried out: determination of organic matter (XP-P 94-047) [33], humic content (NF-EN 1744-1) [34], pH (NF ISO 10390) [35], cation exchange capacity (NF X 31-130) [36], and cations present in the soil using the cobaltihexamine method (NF X 31-108) [37].
- X-ray fluorescence
Ground and compacted powder of materials < 80 µm were analysed using XRF on a Bruker S4-PIONEER equipped by a 4 kW generator and an anticathode in rhodium.
- Environmental scanning electron microscopy and elemental analysis
The suspended part of materials < 80 µm was placed on a double-sided adhesive carbon tape on the pin stub. Scanning microscopy (SEM) combined with energy dispersive X-ray spectroscopy (EDX, Edax APEX 2i ApolloX) analysis was conducted using a Quanta FEI 250. EDX calibration was performed between samples with aluminium and copper standard stub. Characteristic X-ray emission spectra of metals were detected with a beam of 20–30 kV, working distance of 10 mm, and 30 s live time acquisition at approximately 10–15% of dead time. Because no suitable standard is available to match the material being assessed, standardless quantitation was used with a phi-rho-z correction and elemental mass reported qualitatively as trace (<0.5% mass dry weight), minor (a few percent), or major (>5–≥20% mass weight) [38].
- Attenuated total reflectance Fourier-transform mid-infrared spectroscopy (ATR-FT-MIR)
The same samples were used for MIR (mid-infrared) spectroscopic analysis. MIR range spectra were collected on a Tensor 27 FTIR spectrometer (Bruker) equipped with a diamond-lens attenuated total reflectance module (ATR) from 4000 cm−1 to 400 cm−1 at 4 cm−1 resolutions. One hundred and twenty-eight scans were recorded and averaged for each spectrum. Each soil powder sample was measured three times with three samples per soil.
Figure 4 presents a summary of the tests conducted.
Figure 4.
Summary of the tests carried out in this study.
3. Results
3.1. Soil GTR Classification
3.1.1. Particle Size Distribution Curve
For the finer analyses, only 1 kg was required. The results of the wet sieving analysis are shown in Figure 5.
Figure 5.
Granulometric analysis of the 4 studied soils.
The particle size analysis of the different materials shows three different outlines:
The grading curve of the MTI soil resembles that of a poorly-graded medium sand. It has a predominantly sandy fraction with only 3% of the material passing through the 80 µm sieve and has a Dmax of 2 mm.
The grading curve of the Morne Coco soil closely resembles that of a well-graded gravel-sand. The soil is predominantly sandy with 30% of fines of the material passing the 80 µm sieve, and the Cabalé soil is gravelly with 50% of fines, with Dmax of 20 mm and 40 mm for the Morne Coco and Cabalé soils, respectively.
The grading curve of the BE42 soil is comparable to that of a sandy silt. It has a fraction of fine elements from 80 to 85% of the material passing the 80 µm sieve. The Dmax of this material is 2 mm.
3.1.2. Atterberg Limits and Methylene Blue Values
To look at the absorption properties of the clays and to characterize the clayiness of the materials present in the different soils, the methylene blue values (MBV) and Atterberg limits were determined. The results are given in Table 2.
Table 2.
Results of Atterberg limit test and MBV test measurements.
The BE42 and Cabalé soils have relatively similar plasticity index (PI) values (17 and 20). These soils are classified as high-plasticity clayey silts. For the Morne Coco soil, the plasticity index (PI) of 6 indicates a sandy soil with little clay, i.e., a soil of slight plasticity. For the fourth, MTI, soil, it is not possible to measure the plasticity index of the soil because the material has very little plasticity (3.3% of the material passing the 80 µm sieve).
The results of the methylene blue tests (MBV) indicate low values. These values corroborate the conclusions of the particle size analysis and the determination of the Atterberg limits. The MBV of the MTI and Morne Coco soils (MBV < 0.1) indicates a near absence of clay fines. However, for the BE42 and Cabalé soils, the MBV (0.2 ≤ MBV < 1.5) highlights the presence of very small amounts of silty-clay particles.
3.1.3. GTR Classification
Figure 6 shows the GTR (Guide de Terrassement Routier) classification of the soils according to the plasticity index and the 80 µm sieve passing. The GTR (Standard NF P 11-300) [18,39] organises soils into three classes: fine soil (A1 to A4), sandy or gravelly soils with fines (B1 to B6) and waterproof soils (D1 and D2). It specifies that for class A soils with a plasticity index greater than 12, only the plasticity index is used for the GTR classification (Figure 6).
Figure 6.
GTR classification according to the PI, MBV, and the sieve passing below 80 µm.
The Cabalé and BE42 soils are classified as fine soils with fine clayey sand (A2). The Morne Coco soil is classified as a gravelly soil with the presence of fines (B5), and the MTI soil is classified as a water-insensitive soil of alluvial sand nature (D2).
Table 3 gives the conditions for the use of these soils in road construction according to the GTR.
Table 3.
Soil use according to the GTR.
Thus, according to the GTR [17], these raw materials could only be used as backfill and under very specific hydric conditions. The analysis of mechanical parameters will allow a more detailed analysis to assess their use in road infrastructure.
3.2. Soil Compaction
As the soils studied are used in road construction, the compaction references of the different soils were determined by standard and modified Proctor tests. Figure 7 shows the density variation as a function of moisture content after compaction for the four studied soils (Figure 7A–D). These curves can be used to determine the maximum dry density and the corresponding water content (also known as the optimum water content).
Figure 7.
Standard and modified Proctor compaction curves ((A): Morne coco, (B): BE42, (C): MTI and (D): Cabalé soils).
Table 4 presents the references of the compaction materials obtained during the soil compaction test to characterise their water status.
Table 4.
Compaction references.
Unlike other soils, the MTI soil did not have compaction curves with a well-defined maximum dry density and optimum moisture content. As shown in Figure 7c, the moisture–density curve of this soil is relatively flat with little change in dry density over a wide range of moisture content. For standard Proctor compaction, the maximum dry density was obtained at moisture content close to zero (1.70%), while no noticeable change in dry density was noted for modified Proctor compaction. This behaviour is typical for poorly graded sands (coefficient of uniformity Cu < 6 [40]. The higher compaction energy in the modified Proctor test significantly improved the compactness of the material by 3% to 12% and reduced the optimum moisture content (OMC) across the material. However, this variation remained negligible for the MTI soil which is insensitive to water.
The Morne Coco soil has the highest dry density among the soils studied, while the Cabalé soil has the highest true density. In the case of the Morne Coco soil, the granular arrangement is better, so a greater mass of soil is present in the same volume (Table 4).
3.3. Unconfined Compressive Strength
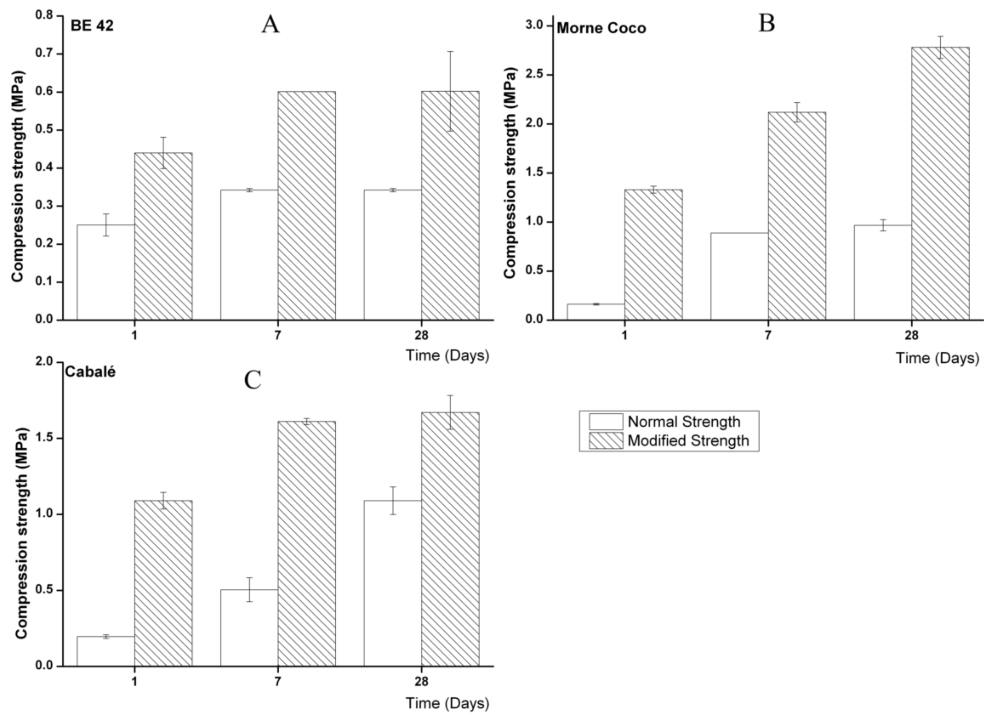
To study the effect of compaction on the compressive strength of the soil, cylindrical specimens of 5 cm diameter and 10 cm in height were prepared after the Proctor tests. For each soil and for each test period, three specimens were tested in unconfined compression at maximum dry density and OMC for each condition. Figure 8 shows the mean values and standard deviations of the compressive strength of BE42, Morne Coco, and Cabalé. The tests could not be carried out on the MTI soil because the specimens could not be prepared due to a lack of cohesion.
Figure 8.
Compressive strength of studied soils ((A): BE42, (B): Morne coco, (C): Cabalé soils).
The standard deviation values show that the measurements are homogeneous and repeatable. For the specimens made with standard Proctor energy, an increase in unconfined compressive strength was observed from 1 to 7 days. However, from 7 to 28 days, no improvement in compressive strength was observed for the BE42 and Morne Coco soils, whereas the compressive strength of the Cabalé soil practically doubled during this period. The increase in values over time is related to water loss even in a controlled environment. For BE42, the percentages of water content at crushing in simple compression are 23.2, 5.7, and 5.7 at 1, 7, and 28 days, respectively. The specimens were placed without a case in the environmental chamber, and water loss occurred; however, the value of water content at crush was not available for all specimens and therefore is not presented. Furthermore, the curves show the improvement of the unconfined compressive strengths of the three soils by considering the modified Proctor energy. This compaction energy considerably increased the unconfined compressive strength from 50% to 180% at 28 days compared to that of the standard Proctor test.
3.4. Laser Particle Size Analysis and Specific Surface
A finer evaluation of proportion and median particle diameter (below 80 µm) was carried out using the particle size analysis. Specific surface tests were used to estimate the clay content. The results presented in Table 5 show the median particle diameter (here, used on a volumetric basis, i.e., 50% by volume of the particles is smaller than this diameter, and 50% is larger) for particles below 80 µm: for the BE42 and MTI soils its value is 16.7 µm and 14.36 µm, respectively, whereas for the Cabalé and Morne Coco soils, it is 5.37 µm and 6.14 µm, respectively. It can be deduced that the fines present in the MTI, BE42, and Cabalé soils are silty, whereas for the Morne Coco soil, the relatively small average size indicates that the fine fraction is sandy loam.
Table 5.
Synthesis of the fine fraction (<80 µm) and the specific surface.
The difference in the specific surface area between the BE42 and Cabalé soils (14.2 m2/g and 36.2 m2/g) and the percentage of clay content (0.6% and 2.7%) indicate that the BE42 soil contains more of the silt fraction and therefore slightly fewer active particles. These results are consistent with the median particle size of less than 80 µm.
3.5. Soils Quality
The results of the chemical analyses of the different soils are presented in Table 6. The organic matter was determined by calcination and the cation exchange capacity (CEC) was used to measure the activity of the clays as well as the base saturation determined by the percentage of the CEC occupied by the base cations (Ca2+, Mg2+, Na+, K+).
Table 6.
Chemical analyses of the different soils.
The sandy material of MTI has almost no organic matter. For the other materials, the organic matter content is around 10%. All the pH values measured in the water or in the KCl solution are around 5, indicating a significant acidification of the studied soils. The saturation base values determined by the CEC reveal that the BE42 soil has more acid cations (H+ and Al3+)
The activity of the clays measured by the cation exchange capacity indicates a low activity of the clays suggesting that they are mainly composed of kaolinite (CEC (meq/100 g) < 3) [41].
3.6. Chemical Analysis Results
All the chemical tests were performed on the fine fraction (<80 µm). The sample was divided into two batches: one batch for the X-ray fluorescence analysis and one batch for the infrared mineralogical interpretation. A SEM-EDX analysis was carried out on the crude soil fraction.
The X-ray fluorescence analysis provides the semi-quantitative chemical composition of the four materials studied (Table 7). Only elements detected but greater than 0.10% are listed. Elements detected between 0.01 and 0.1% are reported as traces. The main elements are silica alone or associated with aluminium and iron oxides.
Table 7.
Semi-quantitative chemical composition based on X-ray fluorescence.
For the Cabalé and Morne Coco soils, the percentage of silica is lower than that of aluminium, which shows that the soils are more weathered than the BE42 soil. For MTI, the chemical analysis shows a significant proportion of silica which is the composition of quartz (SiO2).
The scanning electron microscopy images only provide information on the soil texture. The soils’ texture is associated with their respective X-ray spectra presented in Figure 9, Figure 10, Figure 11 and Figure 12.
Figure 9.
BE42 soil: secondary electron image (A) and EDX spectrum of the crude fraction (B).
Figure 10.
Cabalé soil: secondary electron image (A) and EDX spectrum of the crude fraction (B).
Figure 11.
Morne Coco soil: secondary electron image (A) and EDX spectrum of the crude fraction (B).
Figure 12.
MTI soil: secondary electron image (A) and EDX spectrum of the crude fraction (B).
3.6.1. BE42 Soil
The secondary electron image (Figure 9A) shows that the particles composing the raw fraction are single or agglomerated lamellae covered by silt and clay particles.
Microanalysis of the X-ray spectrum allowed the determination of the percentages of the elements O (53.8%), Al (17.9%), Si (21%), and Fe (7.3%).
3.6.2. Cabalé Soil
The secondary electron image (Figure 10A) shows that the particles in the crude fraction have a lumpy structure in the form of grains covered by silt and clay particles.
Microanalysis of the X-ray spectrum allowed the determination of the percentages of the elements O (49.1%), Al (19.5%), Si (18.5%), Fe (11.3%), and Ti (1.7%).
3.6.3. Morne Coco Soil
The secondary electron image (Figure 11A) shows an organisation of particles in the crude fraction forming a compact and lumpy structure covered by silt and clay particles.
Microanalysis of the X-ray spectrum allowed the determination of the percentages of the elements O (49.3%), Al (23.9%), Si (11.6%), Fe (13.7%), and Ti (1.5%).
3.6.4. MTI Soil
The secondary electron image (Figure 12A) shows that the particles in the raw fraction have a grain-like structure.
Microanalysis of the X-ray spectrum allowed the determination of the percentages of the elements O (65.7%) and Si (34.3%).
These images show us quartz grains for the MTI soil. The B42, Morne Coco, and Cabalé soils contain grains of quartz and iron oxide coated by clay minerals. The clay minerals have nucleus habits in the Morne Coco and Cabalé soils and a clay network structure in B42.
Figure 13 shows the mid-infrared absorption spectra of the four soils. The mineralogical interpretation of the IR spectra reveals the presence of two mineral species (kaolinite and gibbsite) and three oxides (quartz, hematite, and goethite).
Figure 13.
FTIR spectra of the 4 soils: (A) BE42, (B) Cabalé, (C) Morne Coco, and (D) MTI. The IR bands, characterised for mineral species and oxides, are marked by a colour for simplified interpretation. Overlapping colours mean that bands are labelled for more than one mineral.
The IR spectra of the three soil samples (Figure 13A–C) show the same well-defined characteristic bands of kaolinite at 3695 (strong), 3667 (weak), 3654 (weak), and 3620 cm−1 (strong). Only the MTI soil (Figure 13D) suggests traces of this mineral species at 3695 and 3620 cm−1 but shows mostly characteristic quartz peaks: 1057 (broad); 795, 779, 694 (medium); 521 and 450 cm−1 (strong) [42,43,44]. The BE42, Cabalé, and Morne Coco soils (Figure 13A–C) show bands at 1113 (weak), 1094 (weak), 1029 (strong), and 1008 (strong) cm−1 characteristic of kaolinite as well as the band at 797 cm−1 (medium) characteristic of goethite, while the bands at 912 (medium), 520 (medium), and 464 cm−1(medium) are characteristic of hematite [45].
Only the spectra of the Cabalé and Morne Coco soils (Figure 13B,C) show an intense band characteristic of gibbsite at 3620 cm−1, which has its other bands in common at 3526, 3447 (broader), 3395, and 3373 cm−1 [46]. In addition, the broad band with a maximum of 3447 cm−1 also coincides with goethite [47,48].
4. Discussion
The macroscopic characterisation of the four soils made it possible to determine the type of soil by granulometry. The GTR classification allowed the soils to be categorised for their use in infrastructure: the MTI soil is an alluvial sand, the Morne Coco soil is classified as a gravelly soil, while the Cabalé and BE42 soils are classified as fine clayey sands.
However, no correlation was found between the results of the MBV test, sedimentometry, specific surface area, and laser granulometry tests. According to Autret [49] with respect to African tropical soils, the characterisation of the clay fraction does not give significant results for gravelly lateritic soils. Despite similar MBV values and Atterberg limits between BE42 and Cabalé, the unconfined compressive strength tests, with a compaction energy of the order of the modified Proctor test, show a better strength for the Cabalé soil of about 1.5 MPa compared to 0.4 MPa for BE42 (Figure 7). The specific surface test was performed on the 0/5 mm fraction, which is at Dmax for the BE42 soil (Figure 5). There is therefore a better particle size distribution for Cabalé than for BE42 which presents too fine material; this could explain the difference between the compression test value and the value of the modified Proctor test (<1 MPa) and also explain the gain in unconfined compressive strength.
These analyses enabled us to classify the materials according to the NF P11-300 standard (GTR). According to this standard, all materials are suitable for reuse as backfill. The GTR classifies the BE42 and Cabalé (A2) soils as easy for construction implementation, while the Morne Coco (B5) soil is presented as difficult for construction implementation because of its sensitivity to water. The MTI soil (D2) is problematic for construction implementation because of its uniform grain size (0/2 mm—see Figure 5) and requires a lot of water for processing. The other analyses carried out, in particular the modified Proctor and unconfined compression tests, showed that these materials have the capacity to withstand higher stresses, which explains their use in Brazil and Senegal as a stabilising layer with the references of the modified Proctor test.
The presence of clay in the different soils remains relatively low and consistent with the PI values. Indeed, the BE42 soil, although presenting a very high percentage of the material passing the 80 µm sieve (88%), has a specific surface area of 14.2 m2/g, much lower than that of the Cabalé soil (36.2 m2/g) whose percentage passing the 80 µm sieve is only 50%. In addition, the average diameter of the fine particles contained in the two soils indicates that the BE42 soil contains siltier fractions and therefore slightly fewer active particles. Thus, it can be expected that the increase in standard compressive strength for all soils could be due to two mechanisms: the loss of water during curing due to storage without a case in a climatic chamber, on the one hand, and on the other hand, to the granulometry of the soils. Consequently, we have a variation in compressive strength (±50% between 7 and 28 days). (Figure 8C).
The organic matter content of the three lateritic materials (BE42, Cabalé, Morne-Coco) is around 10%, while the CEC value is different (from 0.24 to 2.49). This is due to the composition of the minerals present in the soil, which interact with our exchangeable bases. The Cabalé and Morne Coco soils show a better saturation rate in the CEC analysis than BE42 despite similar specific surface areas of Morne Coco and BE42.
According to the recommendations of the GTR, the compaction references for subgrades use the values of the standard Proctor test, except for airport platforms where the compaction references are those of the modified Proctor test.
A Brazilian study on the use of lateritic materials as a structural layer presents tests on clay soils (plasticity index from 22 to 46) and concludes that it was possible to consider them as structural materials for the rehabilitation of road infrastructure when the modified Proctor compaction energy is used (Lima et al., 2018 [10]). Similarly, in Senegal, for the construction of “in situ soil or reworked soil” platforms supporting pavement layers, the use of the modified Proctor energy is recommended [50].
The multifactorial analysis (chemical, microscopic, and mineralogical) allowed us to make certain assumptions. The X-ray fluorescence results and the microanalysis of the EDX spectrum gave different percentages of the major elements. This difference is due to the precision of the analysis. Indeed, during the acquisition of a spectrum, the EDX may give differences percentages at different spots for an inhomogeneous surface. To complete these semi-quantitative evaluations of chemical elements, an infrared spectrum of each soil was carried out. This allowed us to appreciate the clay mineral group of each soil. The infrared analysis shows the presence of kaolinite, goethite, and hematite in these three soils (Figure 13A–C) but only gibbsite in Cabalé and Morne Coco (Figure 13B,C). This presence indicates a more important alteration of the Cabalé and Morne Coco soils corroborating the percentages obtained by the X-ray microanalyses (EDX and X-ray fluorescence)
Some geotechnical properties are therefore partially explained by the amount of iron oxide such as goethite. Indeed, Morne Coco and Cabalé show the highest values in unconfined and modified compression, which could be due to both the base saturation and clay content. Another hypothesis, supported by Goldberg [51], would be that the aluminium and iron oxides would reinforce the soil structure, but their role is not clearly understood. Rajabi et al. [52] demonstrated that the addition of iron oxide nanoparticles in a clay soil increases the strength parameters. As demonstrated by Kiki et al. [53], this double analysis highlighted some relationships between the micro and macroscopic analyses. However, it is only possible to have a trend by studying and comparing several grain sizes.
5. Conclusions
In this work, four types of soil from French Guiana were analysed. The different soils have different chemical and mechanical characteristics. They come from four different geological horizons. Their main defects lie in their sensitivity to water. The latter is judged with simple tests such as MBV, particle size analysis, Atterberg limits, and sedimentometry, based on clay activity. As the materials are mainly silty, the activity of the clays is low, and their sensitivity to water is average. The chemical analysis of the soils highlights their alteration by the presence of iron and aluminium oxides characteristic of tropical soils.
As it stands, the techniques used are not suitable for the direct use of these soils as a base course layer. Constructive measures, other than a simple two-layer overlay, must be taken to guarantee the waterproofing of the pavement during rainy season episodes.
Through the study of the four different materials, it was shown that although the two soils BE42 and Cabalé have identical classification according to the GTR (A2), their behaviour is different. Indeed, the Cabalé soil has superior mechanical characteristics to those of BE42 in unconfined compression, making it more suitable for supporting vehicle traffic.
Finally, the GTR classification alone does not allow the dissociation of two soils with very similar grain sizes.
On the other hand, the use of chemical and mineralogical tests (CEC, MBV, granulometric analysis by laser diffraction, analysis by mid-infrared spectroscopy, scanning electron microscopy with energy dispersive X-ray spectroscopy (ESEM + EDX)) provides an improvement in the GTR classification of the various soils by classifying the materials based on criteria other than particle size and clay content. In particular, it allowed a better separation of the BE42 and Cabalé soils, which differ in their iron oxide content, which explains their different behaviour. In French Guiana, where laterite materials are used without any regulatory framework, the use of chemical and mineralogical tests could, as a complement to the GTR, enable better selection of laterite soils in order to assign them the best conditions for reuse. To complete this study, which combines the microscopic and macroscopic aspects of Guyanese clay soils, it is necessary to subject other laterite samples to these tests in order to verify the first hypotheses and thus create a database specifically for the Amazonian laterite. On the other hand, the use of the MCT (Miniature, Compacted, Tropical classification) methodology, used by our Brazilian neighbours, could make it possible to classify materials on the basis of criteria other than particle size and clay content. According to this new classification, it is possible to envisage methods of using materials according to their characteristics and, in particular, their resistance to water based on the loss of mass by immersion tests.
Author Contributions
Conceptualisation, O.N.-R. and F.G.; methodology, F.G. and Y.E.; formal analysis, O.N.-R., F.G., Y.E., J.G., G.M., D.D. and C.M.; data curation, O.N.-R., F.G., Y.E. and J.G.; writing—original draft preparation, F.G.; writing—review and editing, O.N.-R., F.G., Y.E., J.G., G.M., D.D. and C.M.; supervision, D.D. and C.M.; funding acquisition, O.N.-R. All authors have read and agreed to the published version of the manuscript.
Funding
This research was funded by the European Regional Development Fund (ERDF) and the fund managed by company EIFFAGE INFRA Guyane(FEDER/2018/212/GY0016677). This work has benefited from an “Investissement d’Avenir” grant managed by Agence Nationale de la Recherche (CEBA, ref. ANR-10-LABX-25-01).
Institutional Review Board Statement
Not applicable.
Informed Consent Statement
Not applicable.
Data Availability Statement
Not applicable.
Conflicts of Interest
The authors declare no conflict of interest.
References
- CTG. Schéma d ’Aménagement Régional de la Guyane. 2016. Available online: https://www.ctguyane.fr/sar-approuve/ (accessed on 23 April 2018).
- Andre-Obayanju, O.; Imarhiagbe, O.J.; Onyeobi, T.U.S. Comparative evaluation of geotechnical properties of red tropical soils and anthills from parts of Edo State for road construction. J. Appl. Sci. Environ. Manag. 2018, 21, 1250. [Google Scholar] [CrossRef]
- Gidigasu, M.D. Characterization and use of tropical gravels for pavement construction in West Africa. Geotech. Geol. Eng. 1991, 9, 219–260. [Google Scholar] [CrossRef]
- Molenaar, A.A.A. Characterization of Some Tropical Soils for Road Pavements. Transp. Res. Rec. J. Transp. Res. Board 2007, 1989, 186–193. [Google Scholar] [CrossRef]
- Morin, W.J.; Todor, P.C. Laterite and Lateritic Soils and Other Problem soils of the tropics. In An Engineering Evaluation and Highway Design Study for United States Agency for International Development Aid (Lyson Asso); Agency for International Development: Washington, DC, USA, 1977. [Google Scholar]
- Okagbue, C.O. The physical and mechanical properties of laterite gravels from southeastern Nigeria relative to their engineering performance. J. Afr. Earth Sci. 1986, 5, 659–664. [Google Scholar] [CrossRef]
- Krinitsky, E.; Patrick, D.; Townsend, F. Geology and Geotechnical Properties of Laterite Gravel; Department of the Army, Corps of Engineers, Waterways Experiment Station, Soils and Pavements Laboratory: Vicksburg, MI, USA, 1976. [Google Scholar]
- Paige-Green, P.; Pinard, M.; Netterberg, F. A review of specifications for lateritic materials for low volume roads. Transp. Geotech. 2015, 5, 86–98. [Google Scholar] [CrossRef]
- Fortes, R.M.; Merighi, J.V. The use of MCT methodology for rapid classification of tropical soils in Brazil. Int. J. Pavements 2003, 2, 1–13. [Google Scholar]
- Lima, C.D.A.; Motta, L.M.G.; Guimarães, A.C.R.; Aragão, F.T.S. Contribution to the study of Brazilian tropical soils as pavement materials. In Proceedings of the 13th Conference on Asphalt Pavements, Athens, Greece, 22–26 April 2018. [Google Scholar]
- Millogo, Y.; Traoré, K.; Ouedraogo, R.; Kaboré, K.; Blanchart, P.; Thomassin, J.H. Geotechnical, mechanical, chemical and mineralogical characterization of a lateritic gravels of Sapouy (Burkina Faso) used in road construction. Constr. Build. Mater. 2008, 22, 70–76. [Google Scholar] [CrossRef]
- Olufemi, O. Basic geotechnical properties, chemistry and mineralogy of some laterite soils from S.W. Nigeria. Bull. Int. Assoc. Eng. Geol. 1988, 37, 131–135. [Google Scholar] [CrossRef]
- Adebisi, N.O.; Adeyemi, G.O.; Oluwafemi, O.S.; Songca, S.P. Important Properties of Clay Content of Lateritic Soils for Engineering Project. J. Geogr. Geol. 2013, 5, 99. [Google Scholar] [CrossRef]
- de Carvalho, J.C.; de Rezende, L.R.; Cardoso, F.B.D.F.; de FL Lucena, L.C.; Guimarães, R.C.; Valencia, Y.G. Tropical soils for highway construction: Peculiarities and considerations. Transp. Geotech. 2015, 5, 3–19. [Google Scholar] [CrossRef]
- Al-rawas, A.A.; Qamaruddin, M. Construction problems of engineering structures founded on expansive soils and rocks in northern Oman. Build. Environ. 1998, 33, 159–171. [Google Scholar] [CrossRef]
- Mahalinga-Iyer, U.; Williams, D.J. Properties and performance of lateritic soil in road pavements. Eng. Geol. 1997, 46, 71–80. [Google Scholar] [CrossRef]
- Réalisation de Remblais et des Couches de Formes, Fascicules I et II, GTR SETRA-LCPC, 2nd ed; Guide Technique; CEREMA: Bron, France, 2000.
- LCPC-SETRA. Réalisation des Remblais et des Couches de Forme (GTR)—Fascicule 1—Principes Généraux; CEREMA: Bron, France, 2000; p. 102. [Google Scholar]
- Kamtchueng, B.T.; Onana, V.L.; Fantong, W.Y.; Ueda, A.; Ntouala, R.F.; Wongolo, M.H.; Ndongo, G.B.; Ze, A.N.; Kamgang, V.K.; Ondoa, J.M. Geotechnical, chemical and mineralogical evaluation of lateritic soils in humid tropical area (Mfou, Central-Cameroon): Implications for road construction. Int. J. Geo-Eng. 2015, 6, 1. [Google Scholar] [CrossRef]
- Osuolale, O.; Raheem, A.; Oluremi, J.; Adeosun, A. Characterisation of Lateritic Soil from Selected Locations along Ibadan—Oyo Expressway for Highway Pavement Construction. LAUTECH J. Civ. Environ. Stud. 2018, 1, 38–43. [Google Scholar] [CrossRef]
- Delor, C.; Egal, E.; Lafon, J.-M.; Cocherie, A.; Guerrot, C.; Rossi, P.; Truffert, C.; Théveniaut, H.; Phillips, D.; Avelar, V.G. Transamazonian crustal growth and reworking as revealed by the 1:500,000-scale geological map of French Guiana (2nd edition). Géologie de La France 2003, 5–57. [Google Scholar]
- Bourbon, P.; Roig, J.Y. Inventaire du Patrimoine Géologique de la Guyane—Partie 3: Rapport BRGMRP-62873-FR. 2013. Available online: https://www.guyane.developpement-durable.gouv.fr/IMG/pdf/RP_62873_PSP_12_GUY_10_DEAL_Patrimoine_III.pdf (accessed on 3 June 2023).
- Nontanovanh, M.; Roig, J.Y. Inventaire du Patrimoine Géologique de la Guyane—Partie 1: Rapport BRGMRP-59178-FR. 2010. Available online: https://www.guyane.developpement-durable.gouv.fr/IMG/pdf/RP_59178_PSP10GUYA10_DEAL_Patrimoine_I_rapport.pdf.pdf (accessed on 3 June 2023).
- Roig, J.Y.; Moisan, M. Inventaire du Patrimoine Géologique de la Guyane—Partie 2: Vol. BRGM/RP-60644-FR. 2011. Available online: https://www.guyane.developpement-durable.gouv.fr/IMG/pdf/RP_60644_PSP11GUY10DEAL_Patrimoine_II.pdf (accessed on 3 June 2023).
- I.S.O. 18400-201:2017; Part 201: Physical Pretreatment in the Field: Soil Quality—Sampling. ISO: Geneva, Switzerland, 2017.
- AFNOR NF P94-056; Soil: Investigation and Testing—Granulometric Analysis—Dry Sieving Method after Washing. AFNOR: Paris, France, 1996.
- I.S.O. 13320:2020; Particle Size Analysis—Laser Diffraction Methods. ISO: Geneva, Switzerland, 2020.
- E.N.ISO 17892-12; Geotechnical Investigation and Testing—Laboratory Testing of Soil—Part 12: Determination of Liquid and Plastic Limits. ISO: Geneva, Switzerland, 2018.
- AFNOR NF P94-068; Soils: Investigation and Testing—Measuring of the Methylene Blue Adsorption Capacity of a Rocky Soil—Determination of the Methylene Blue of a Soil by Means of the Stain Test. AFNOR: Paris, France, 1998.
- AFNOR NF EN 1097-7; Tests for Mechanical and Physical Properties of Aggregates—Part 7: Determination of the Particle Density of Filler—Pyknometer Method. AFNOR: Paris, France, 2008.
- AFNOR NF P94-093; Soils: Investigation and testing—Determination of the Compaction Reference Values of a Soil Type—Standard Proctor Test—Modified Proctor Test. AFNOR: Paris, France, 2014.
- AFNOR NF EN 13286-41; Unbound and hydraulically Bound Mixtures—Part 41: Test Method for the Determination of the Compressive Strength of Hydraulically Bound Mixtures. AFNOR: Paris, France, 2003.
- AFNOR XP P94-047; Soils: Investigation and Testing—Determination of the Organic Matter Content—Ignition Method. AFNOR: Paris, France, 1998.
- AFNOR NF EN 1744-1/IN1; Tests for Chemical Properties of Aggregates—Part 1: Chemical Analysis. AFNOR: Paris, France, 2014.
- AFNOR NF ISO 10390; Soil Quality—Determination of pH. AFNOR: Paris, France, 2005.
- AFNOR NF X 31-130; Soil Quality—Chemical Methods—Determination of Cationic Exchange Capacity (CEC) and Extractible Cations. AFNOR: Paris, France, 1999.
- AFNOR NF X 31-108; Soil quality—Determination of Ammonium Acetate Extractable Ca++, Mg++, K+ and Na+ cations—Agitation Method. AFNOR: Paris, France, 2002.
- Heinrich, K.F.J.; Newbury, D. Electron Probe Quantitation; Springer Science & Business Media: Berlin/Heidelberg, Germany, 1991. [Google Scholar]
- LCPC-SETRA. Réalisation des Remblais et des Couches de forme; Fascicule 2: Annexes Techniques: Guide Technique; CEREMA: Bagneux, France, 2000; p. 98. [Google Scholar]
- A.S.T.M. (2011) D2487-11; Standard Practice for Classification of Soils for Engineering Purposes (Unified Soil Classification System). ASTM International: West Conshohocken, PA, USA, 2020.
- Mitchell, J.K.; Soga, K. Fundamentals of Soil Behaviour; John Willy and Sons Inc.: Hoboken, NJ, USA, 2005. [Google Scholar]
- Le Guillou, F.; Wetterlind, W.; Viscarra Rossel, R.A.; Hicks, W.; Grundy, M.; Tuomi, S. How does grinding affect the mid-infrared spectra of soil and their multivariate calibrations to texture and organic carbon? Soil Res. 2015, 53, 913. [Google Scholar] [CrossRef]
- Karlowatz, M.; Aleksandrov, A.; Orlando, T.; Cathcart, J.M.; Mizaikoff, B. The influence of wetting and drying cycles on mid-infrared attenuated total-reflection spectra of quartz: Understanding spectroscopy of disturbed soil. In Detection and Remediation Technologies for Mines and Minelike Targets IX; Harmon, R.S., Broach, J., Holloway, J.H., Jr., Eds.; SPIE: Bellingham, WA, USA, 2004; Volume 5415, p. 629. [Google Scholar] [CrossRef]
- Müller, C.M.; Pejcic, B.; Esteban, L.; Piane, C.D.; Raven, M.; Mizaikoff, B. Infrared Attenuated Total Reflectance Spectroscopy: An Innovative Strategy for Analyzing Mineral Components in Energy Relevant Systems. Sci. Rep. 2014, 4, 6764. [Google Scholar] [CrossRef]
- Chukanov, N.V.; Chervonnyi, A.D. Infrared Spectroscopy of Minerals and Related Compounds; Springer: Berlin/Heidelberg, Germany, 2016. [Google Scholar]
- Balan, E.; Lazzeri, M.; Morin, G.; Mauri, F. First-principles study of the OH-stretching modes of gibbsite. Am. Mineral. 2006, 91, 115–119. [Google Scholar] [CrossRef]
- Ruan, H.D.; Frost, R.L.; Kloprogge, J.T.; Duong, L. Infrared spectroscopy of goethite dehydroxylation. II. Effect of aluminium substitution on the behaviour of hydroxyl units. Spectrochim. Acta—Part A Mol. Biomol. Spectrosc. 2002, 58, 479–491. [Google Scholar] [CrossRef]
- Schulze, D.G.; Schwertmann, U. The influence of aluminium on iron oxides: X. properties of Al-substituted goethites. Clay Miner. 1984, 19, 521–539. [Google Scholar] [CrossRef]
- Autret, P. Latérites et Graveleux Latéritiques, 1; Institut Français des Sciences et Technologies des Transports, de l’Aménagement et des Réseaux: Paris, France, 1983; p. 38. [Google Scholar]
- Egis—Ifsttar—Sénélab. Catalogue de Structures de Chaussées Neuves et Guide de Dimensionnement des Chaussées au Sénégal; AGEROUTE: Dakar, Senegal, 2015; p. 205. [Google Scholar]
- Goldberg, S. Interaction of aluminum and iron oxides and clay minerals and their effect on soil physical properties: A review. Commun. Soil Sci. Plant Anal. 1989, 20, 1181–1207. [Google Scholar] [CrossRef]
- Rajabi, A.M.; Ardakani, S.B.; Abdollahi, A.H. The Effect of Nano-Iron Oxide on the Strength and Consolidation Parameters of a Clay Soil: An Experimental Study. Iran. J. Sci. Technol. Trans. Civ. Eng. 2021, 45, 1759–1768. [Google Scholar] [CrossRef]
- Kiki, Y.T.; Saiyouri, N.; Gbaguidi, V.; Anguy, Y.; Gaborieau, C.; Fabre, R. Microstructural, Chemical and Mineralogical Analyses for Understanding the Geotechnical Properties of Clayey Soils. J. Miner. Mater. Charact. Eng. 2016, 4, 305–319. [Google Scholar] [CrossRef]
Disclaimer/Publisher’s Note: The statements, opinions and data contained in all publications are solely those of the individual author(s) and contributor(s) and not of MDPI and/or the editor(s). MDPI and/or the editor(s) disclaim responsibility for any injury to people or property resulting from any ideas, methods, instructions or products referred to in the content. |
© 2023 by the authors. Licensee MDPI, Basel, Switzerland. This article is an open access article distributed under the terms and conditions of the Creative Commons Attribution (CC BY) license (https://creativecommons.org/licenses/by/4.0/).












