The Effect of Soil Mineralogy and Particle Breakage on the Impulse Generated from Shallow Buried Charges
Abstract
Featured Application
Abstract
1. Introduction
2. Materials and Methods
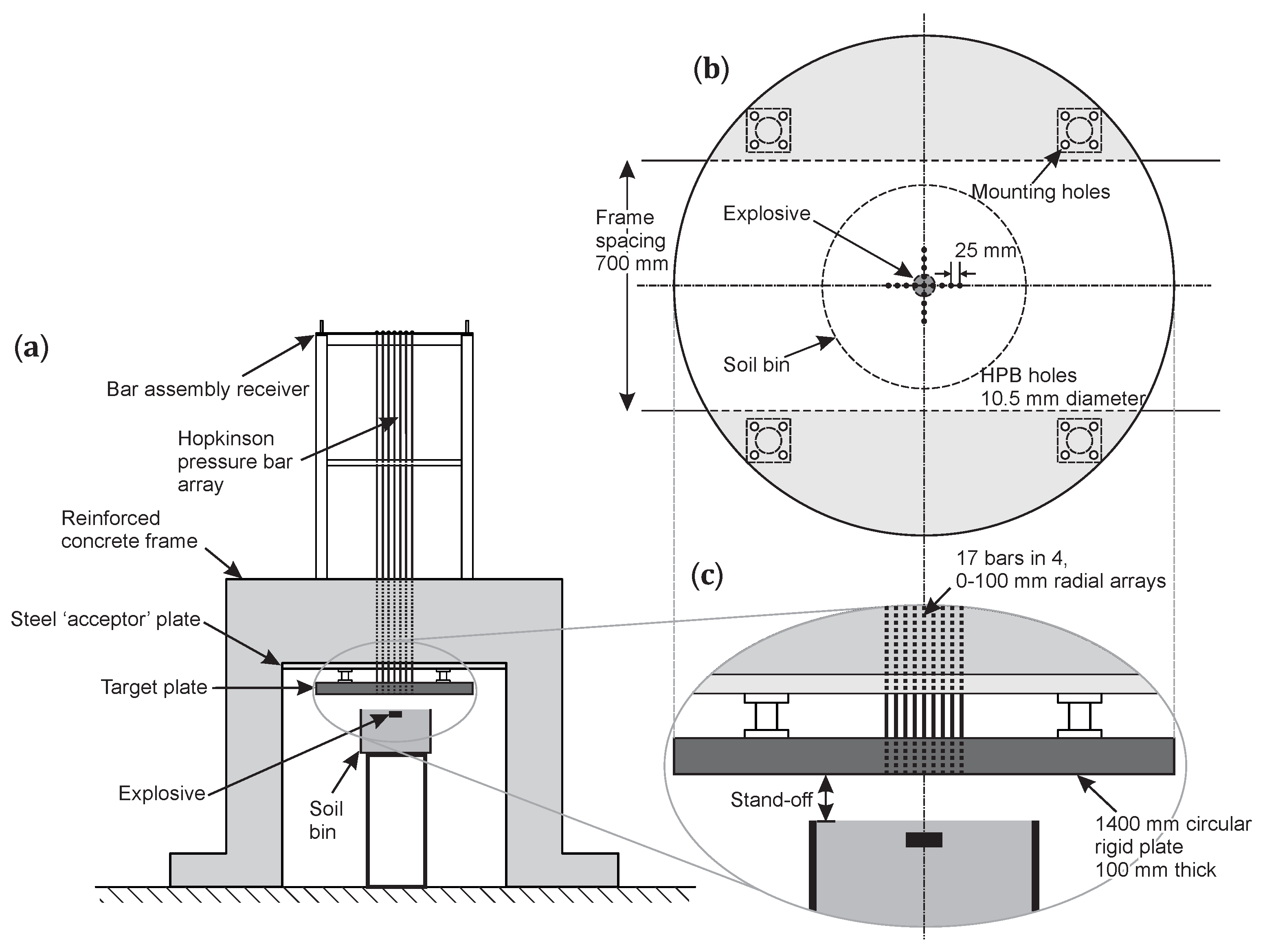
2.1. Test Apparatus
2.2. Explosive and Burial Conditions
2.3. Soil Details and Predictions
2.4. Sample Preparation
- 1.
- Baseline soil moisture content of the as-delivered sand is measured.
- 2.
- Water is added to achieve the desired moisture content.
- 3.
- Soil is mixed thoroughly using a paddle action mixer.
- 4.
- Half of the soil is added to the container and compacted to the desired density.
- 5.
- The remaining soil is added and compacted to the desired density.
- 6.
- Any extra soil above the surface of the container is screeded off to leave the surface flat.
- 7.
- A waterproof membrane is attached to seal the container and to prevent any moisture loss prior to testing.
- 8.
- A void is excavated in the centre of the soil with the removed material saved.
- 9.
- The charge is placed in the void at the desired depth.
- 10.
- Removed material is used to backfill the hole to the desired density.
2.5. Analysis Process
3. Results
3.1. Figures, Tables and Schemes
3.2. Pressure Data
3.3. Particle Size Distribution
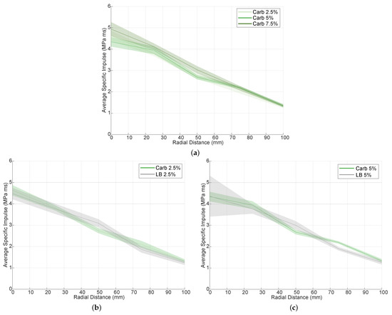
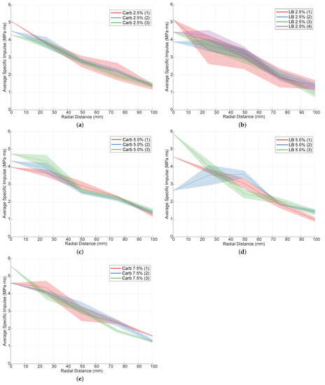
3.4. Specific Impulse Distribution
3.5. Total Impulse
4. Discussion and Conclusions
- There is no substantial difference in the total impulse and specific impulse distribution between charges buried in quartz and carbonate sand;
- There is no increase in the observed particle breakage for carbonate sand over quartz sand during buried charge testing. Moreover, there is a small observed increase in breakage of quartz sand over carbonate sand.
Author Contributions
Funding
Data Availability Statement
Acknowledgments
Conflicts of Interest
Abbreviations
| CoBL | Characterisation of Blast Loading testing apparatus |
| Dstl | Defence Science and Technology Laboratory |
| LB | Leighton Buzzard—a type of quartz sand |
| PSD | Particle Size Distribution |
References
- United Nations. Assistance in Mine Action, Report of the Secretary-General; OCHA: New York, NY, USA, 2021; Volume 11018. [Google Scholar]
- Westine, P.S.; Morris, B.L.; Cox, P.A.; Polch, E.Z. Development of Computer Program for Floor Plate Response from Land Mine Explosions; Technical Report; Southwest Research Institute: San Antonio, TX, USA, 1985. [Google Scholar]
- Ehrgott, J.Q.; Akers, S.A.; Windham, J.E.; Rickman, D.D.; Danielson, K.T. The influence of soil parameters on the impulse and airblast overpressure loading above surface-laid and shallow-buried explosives. Shock Vib. 2011, 18, 857–874. [Google Scholar] [CrossRef]
- Hlady, S. Effect of Soil Parameters on Land Mine Blast. In Proceedings of the 18th International Symposium on Military Aspects of Blast and Shock, Bad Reichenhall, Germany, 27 September–1 October 2004. [Google Scholar]
- Grujicic, M.; Pandurangan, B.; Huang, Y.; Cheeseman, B.A.; Roy, W.N.; Skaggs, R.R. Impulse loading resulting from shallow buried explosives in water-saturated sand. Proc. Inst. Mech. Eng. Part L J. Mater. Des. Appl. 2007, 221, 21–35. [Google Scholar] [CrossRef]
- Anderson, C.E.; Behner, T.; Weiss, C.E.; Bigger, R.; Chocron, S. Mine Blast Loading: Experiments and Simulations; Technical Report; Southwest Research Institute: San Antonio, TX, USA, 2009. [Google Scholar]
- Clarke, S.D.; Fay, S.D.; Warren, J.A.; Tyas, A.; Rigby, S.E.; Reay, J.J.; Livesey, R.; Elgy, I. Predicting the role of geotechnical parameters on the output from shallow buried explosives. Int. J. Impact Eng. 2017, 102, 117–128. [Google Scholar] [CrossRef]
- Denefeld, V.; Heider, N.; Holzwarth, A. Measurement of the spatial specific impulse distribution due to buried high explosive charge detonation. Def. Technol. 2017, 13, 219–227. [Google Scholar] [CrossRef]
- Fox, D.M.; Akers, S.A.; Leiste, U.H.; Fourney, W.L.; Windham, J.E.; Lee, J.S.; Ehrgott, J.Q.; Taylor, L.C. The effects of air filled voids and water content on the momentum transferred from a shallow buried explosive to a rigid target. Int. J. Impact Eng. 2014, 69, 182–193. [Google Scholar] [CrossRef]
- Leiste, U. The effect of air filled voids on impulse delivered by a buried mine. Fragblast 2018, 7, 31. [Google Scholar]
- Clarke, S.D.; Fay, S.D.; Warren, J.A.; Tyas, A.; Rigby, S.E.; Reay, J.J.; Livesey, R.; Elgy, I. Geotechnical causes for variations in output measured from shallow buried charges. Int. J. Impact Eng. 2015, 86, 274–283. [Google Scholar] [CrossRef]
- Heider, N.; Denefeld, V.; Aurich, H. Analysis of global momentum transfer due to buried mine detonation. Def. Technol. 2019, 15, 821–827. [Google Scholar] [CrossRef]
- Xiao, Y.; Yuan, Z.; Chu, J.; Liu, H.; Huang, J.; Luo, S.N.; Wang, S.; Lin, J. Particle breakage and energy dissipation of carbonate sands under quasi-static and dynamic compression. Acta Geotech. 2019, 14, 1741–1755. [Google Scholar] [CrossRef]
- Rasouli, M.R.; Hassanlourad, M. Comparative Study of Carbonate and Quartz Sand Based on Energy Concepts. Amirkabir J. Civ. Eng. 2017, 49, 29–31. [Google Scholar] [CrossRef]
- Coop, M.R.; Sorensen, K.K.; Freitas, T.B.; Georgoutsos, G. Particle breakage during shearing of a carbonate sand. Geotechnique 2004, 54, 157–163. [Google Scholar] [CrossRef]
- Golightly, C.R. The Engineering Properties of Carbonate Sands. Ph.D. Thesis, University of Bradford, Bradford, UK, 1988. [Google Scholar]
- Clarke, S.; Rigby, S.; Fay, S.; Barr, A.; Tyas, A.; Gant, M.; Elgy, I. Characterisation of Buried Blast Loading. Proc. R. Soc. A 2020, 476, 20190791. [Google Scholar] [CrossRef] [PubMed]
- Hardin, B.O. Crushing of soil particles. J. Geotech. Eng. 1985, 111, 1177–1192. [Google Scholar] [CrossRef]
- Einav, I. Breakage mechanics—Part I: Theory. J. Mech. Phys. Solids 2007, 55, 1274–1297. [Google Scholar] [CrossRef]
- McDowell, G.; Bolton, M.; Robertson, D. The fractal crushing of granular materials. J. Mech. Phys. Solids 1996, 44, 2079–2101. [Google Scholar] [CrossRef]
- Yu, F. Particle breakage in granular soils: A review. Part. Sci. Technol. 2021, 39, 91–100. [Google Scholar] [CrossRef]
- Yang, J.; Luo, X. Exploring the relationship between critical state and particle shape for granular materials. J. Mech. Phys. Solids 2015, 84, 196–213. [Google Scholar] [CrossRef]
- Cho, G.; Dodds, J.; Santamarina, J. Particle Shape Effects on Packing Density, Stiffness, and Strength: Natural and Crushed Sands. J. Geotech. Geoenviron. Eng. 2006, 132, 591–602. [Google Scholar] [CrossRef]
- Ghafghazi, M.; Shuttle, D.; DeJong, J. Particle breakage and the critical state of sand. Soils Found. 2014, 54, 451–461. [Google Scholar] [CrossRef]
- Clarke, S.D.; Fay, S.D.; Warren, J.A.; Tyas, A.; Rigby, S.E.; Elgy, I. A large scale experimental approach to the measurement of spatially and temporally localised loading from the detonation of shallow-buried explosives. Meas. Sci. Technol. 2015, 26, 015001. [Google Scholar] [CrossRef]
- Rigby, S.E.; Tyas, A.; Clarke, S.D.; Fay, S.D.; Reay, J.J.; Warren, J.A.; Gant, M.; Elgy, I. Observations from preliminary experiments on spatial and temporal pressure measurements from near-field free air explosions. Int. J. Prot. Struct. 2015, 6, 175–190. [Google Scholar] [CrossRef]
- Clarke, S.D.; Fay, S.D.; Rigby, S.E.; Tyas, A.; Warren, J.A.; Reay, J.J.; Fuller, B.J.; Gant, M.T.; Elgy, I.D. Blast quantification using hopkinson pressure bars. J. Vis. Exp. 2016, 2016, 53412. [Google Scholar] [CrossRef]
- Tyas, A.; Warren, J.; Bennett, T.; Fay, S. Prediction of clearing effects in far-field blast loading of finite targets. Shock Waves 2011, 21, 111–119. [Google Scholar] [CrossRef]
- Fay, S.D.; Clarke, S.D.; Tyas, A.; Warren, J.; Rigby, S.; Bennett, T.; Elgy, I.; Gant, M. Measuring the Spatial and Temporal Pressure Variation from Buried Charges. In Proceedings of the 23rd International Symposium of Military Aspects of Blast and Shock, Oxford, UK, 8–12 September 2014. [Google Scholar]
- Clarke, S.; Fay, S.; Tyas, A. Repeatability of buried charge testing. In Proceedings of the 23rd International Symposium on Military Aspects of Blast and Shock, Oxford, UK, 8–12 September 2014. [Google Scholar]
- NATO. AEP-55, Procedures for Evaluation the Protection Level of Logistic and Light Armoured Vehicles: Vol 2 Mine Threat. Allied Eng. Publ. 2014, 2, 12. [Google Scholar]
- Rigby, S.E.; Knighton, R.; Clarke, S.D.; Tyas, A. Reflected Near-field Blast Pressure Measurements Using High Speed Video. Exp. Mech. 2020, 60, 875–888. [Google Scholar] [CrossRef]
- Taylor, L.C.; Fourney, W.L.; Leiste, U. Loading Mechanisms from Shallow Buried Explosives. In Proceedings of the 24th International Symposium on Ballistics, New Orleans, LA, USA, 22–26 September 2008. [Google Scholar]
- Fourney, W.; Leiste, U.; Bonenberger, R.; Goodings, D. Mechanism of loading on plates due to explosive detonation. Fragblast 2005, 9, 205–217. [Google Scholar] [CrossRef]
- Weckert, S.A.; Resnyansky, A.D. Experiments and modelling for characterisation and validation of a two-phase constitutive model for describing sands under explosive loading. Int. J. Impact Eng. 2022, 166, 104234. [Google Scholar] [CrossRef]
- Barr, A.D.; Clarke, S.D.; Petkovski, M.; Tyas, A.; Rigby, S.E.; Warren, J.; Kerr, S. Effects of strain rate and moisture content on the behaviour of sand under one-dimensional compression. Exp. Mech. 2016, 56, 1625–1639. [Google Scholar] [CrossRef]








| Parameter | Value | Units |
|---|---|---|
| Burial depth 1 | 28 | mm |
| Stand-off distance (Figure 1c) | 140 | mm |
| Charge radius | 30 | mm |
| Charge thickness | 20 | mm |
| Explosive type | PE4 | - |
| Charge mass | 78 | g |
| Series Name | Bulk Density (Mg/m) | Measured Moisture Content (%) | Number of Tests |
|---|---|---|---|
| Carbonate sand 2.5% | 1.259 | 2.31 | 3 repeats |
| Carbonate sand 5.0% | 1.265 | 4.76 | 3 repeats |
| Carbonate sand 7.5% | 1.305 | 7.49 | 3 repeats |
| Quartz (LB) sand 2.5% | 1.635 | 2.45 | 4 repeats [17] |
| Quartz (LB) sand 5.0% | 1.670 | 4.76 | 3 repeats [17] |
| Sand | Pre | Post | B | ||||
|---|---|---|---|---|---|---|---|
| Total Breakage | |||||||
| Quartz | 0.686 | 0.970 | 1.494 | 0.440 | 0.938 | 2.264 | 7.3% |
| Carbonate | 0.491 | 0.742 | 1.672 | 0.335 | 0.734 | 2.433 | 4.2% |
| Series | Measured | Westine Prediction | Imod Prediction |
|---|---|---|---|
| LB 2.5% | Baseline | Baseline | Baseline |
| LB 5.0% | 0.8% | 1.1% | 9.31% |
| Carb 2.5% | 0.7% | −12.2% | −8.4% |
| Carb 5.0% | 3.8% | −12.0% | −6.6% |
| Carb 7.5% | 7.8% | −10.6% | −3.7% |
Disclaimer/Publisher’s Note: The statements, opinions and data contained in all publications are solely those of the individual author(s) and contributor(s) and not of MDPI and/or the editor(s). MDPI and/or the editor(s) disclaim responsibility for any injury to people or property resulting from any ideas, methods, instructions or products referred to in the content. |
© 2023 by the authors. Licensee MDPI, Basel, Switzerland. This article is an open access article distributed under the terms and conditions of the Creative Commons Attribution (CC BY) license (https://creativecommons.org/licenses/by/4.0/).
Share and Cite
Lodge, T.; Clarke, S.; Waddoups, R.; Rigby, S.; Gant, M.; Elgy, I. The Effect of Soil Mineralogy and Particle Breakage on the Impulse Generated from Shallow Buried Charges. Appl. Sci. 2023, 13, 5628. https://doi.org/10.3390/app13095628
Lodge T, Clarke S, Waddoups R, Rigby S, Gant M, Elgy I. The Effect of Soil Mineralogy and Particle Breakage on the Impulse Generated from Shallow Buried Charges. Applied Sciences. 2023; 13(9):5628. https://doi.org/10.3390/app13095628
Chicago/Turabian StyleLodge, Tommy, Sam Clarke, Ross Waddoups, Sam Rigby, Matt Gant, and Ian Elgy. 2023. "The Effect of Soil Mineralogy and Particle Breakage on the Impulse Generated from Shallow Buried Charges" Applied Sciences 13, no. 9: 5628. https://doi.org/10.3390/app13095628
APA StyleLodge, T., Clarke, S., Waddoups, R., Rigby, S., Gant, M., & Elgy, I. (2023). The Effect of Soil Mineralogy and Particle Breakage on the Impulse Generated from Shallow Buried Charges. Applied Sciences, 13(9), 5628. https://doi.org/10.3390/app13095628

