Skip to Content
You are currently on the new version of our website. Access the old version .

9,092 Results Found

  • Article
  • Open Access
1,920 Views
16 Pages

Research on Evolution Characteristics of Shale Crack Based on Simultaneous Monitoring of Multi-Parameters

  • Qiao Chen,
  • Fenglin Xu,
  • Pengcheng Su,
  • Honglin Zhu,
  • Yifang Zhang,
  • Yang Liu,
  • Dongming Jia,
  • Xiaozai Guo,
  • Jilong Chen and
  • Dunlong Liu

14 January 2022

Meso-crack evolution mechanism of shale is a key factor affecting the mechanical properties of shale. In order to explore evolution laws of cracks in shale during loading, a meso-crack monitoring system, loading test equipment and an automatic ultras...

  • Article
  • Open Access
9 Citations
4,878 Views
21 Pages

14 May 2023

In the process of modernization and urbanization, some government projects or facilities with negative externalities have caused the psychology of residents nearby to “Not in My Backyard” (NIMBY). That is, adopting strong and resolute, so...

  • Article
  • Open Access
2 Citations
2,195 Views
20 Pages

14 April 2025

Global climate change has led to frequent urban flooding, and extreme rainfall has become the main cause of urban flooding due to its short duration and rapid occurrence. The study of the trend of extreme rainfall can provide an important reference f...

  • Article
  • Open Access
2 Citations
2,459 Views
21 Pages

Predictions and Evolution Characteristics of Failure Modes of Degenerate RC Piers

  • Sicong Hu,
  • Kaiwen Shao,
  • Xiang Liu,
  • Ziqiang Ma and
  • Baokui Chen

1 January 2023

During the service process, piers are often in harsh chloride ion erosion environments. The failure mode evolution of reinforced concrete (RC) piers may occur under the action of continuous corrosion. Accurately identifying the failure mode types and...

  • Article
  • Open Access
1 Citations
651 Views
22 Pages

Evolution Characteristics of Urban Heat Island Circulation for Loess Tableland Valley Towns

  • Zhuolei Yu,
  • Yi Wang,
  • Jukun Wang,
  • Xiaoxue Wang and
  • Songheng Wu

27 July 2025

Urban heat island circulation (UHIC) determines the wind and thermal environments in urban areas. For Loess Tableland valley towns, the evolution characteristics of the UHIC over this negative terrain are not well understood, and therefore, it is imp...

  • Article
  • Open Access
5 Citations
3,169 Views
18 Pages

16 May 2022

The electric vehicle industry involves various technological cooperative innovations, meaning that electric vehicle companies must not only cooperate and innovate with similar enterprises in the same industry, but also collaborate with enterprises ac...

  • Article
  • Open Access
8 Citations
1,796 Views
11 Pages

20 June 2023

In many underground engineering projects, rocks are often subjected to cyclic loading and unloading, such as repeated excavation of roadway surrounding rock, which will lead to damage to underground rocks, and the energy of rocks also changes. Theref...

  • Article
  • Open Access
2 Citations
2,383 Views
21 Pages

24 June 2022

Dealing with the environmental and climate risks caused by global warming has become a global consensus. As a sensitive area with particularly fragile ecological environment, the Nordic countries took the lead in making the commitment of “carbo...

  • Article
  • Open Access
3 Citations
5,016 Views
16 Pages

Spatial and Temporal Evolution Characteristics of the Salween River Delta from 1973 to 2021

  • Aoyang He,
  • Jiangcheng Huang,
  • Zhengbao Sun,
  • Jingyi Zhou and
  • Cheng Yang

6 March 2023

We obtained sixteen clear-sky remote sensing images of Landsat series data from 1973 to 2021 and extracted continental and island coastlines of the Salween River Delta based on the Modified Normalized Difference Water Index (MNDWI) and visual interpr...

  • Article
  • Open Access
1 Citations
1,584 Views
18 Pages

16 March 2024

Gas hydrate has gradually become a new potential energy resource. However, some engineering and environmental problems related to the mechanical properties of gas hydrate-bearing sediments (GHBS) during gas recovery may occur. Many studies have been...

  • Article
  • Open Access
7 Citations
3,666 Views
17 Pages

13 September 2022

Based on high-speed rail (HSR) network data from 2008 to 2020, this study explores the structural characteristics and evolution of China’s HSR network from the perspective of the overall network and urban node network centrality. We show that t...

  • Article
  • Open Access
3 Citations
2,180 Views
27 Pages

Spatial-Temporal Evolution Characteristics Analysis of Color Steel Buildings in Lanzhou City

  • Wenda Wang,
  • Xiao Li,
  • Ting Wang,
  • Shaohua Wang,
  • Runqiao Wang,
  • Dachuan Xu and
  • Junyuan Zhou

With the continuous acceleration of China’s urbanization process, color steel plate, as a new type of building material, has been widely used in all kinds of temporary buildings and has become the spatial carrier of the specific development sta...

  • Article
  • Open Access
4 Citations
1,441 Views
16 Pages

Study on the Fracture Evolution Characteristics of Existing Defect Lining under Unsymmetrical Load

  • Junwei Li,
  • Fei Xu,
  • Xinyu Zheng,
  • Bo Liu,
  • Tao Bai and
  • Qingjingyi Tang

14 June 2023

In order to explore the fracture evolution characteristics of existing defect lining structures under unsymmetrical loads, unsymmetrical failure model tests of three working conditions, namely, intact lining, vault defect, and arch waist defect, were...

  • Article
  • Open Access
13 Citations
3,886 Views
17 Pages

14 January 2023

In order to study the deformation and failure characteristics of rocks under different cyclic loading and unloading paths, three stress path tests were conducted, and acoustic emission (AE) monitoring was conducted simultaneously. The mechanical char...

  • Article
  • Open Access
2 Citations
1,974 Views
17 Pages

29 August 2022

The pore evolution characteristics of organic-rich shale under semiclosed and open-system conditions were investigated through a pyrolysis simulation experiment conducted on marine low-maturity shale. The results show that the experimental samples of...

  • Article
  • Open Access
9 Citations
2,414 Views
19 Pages

16 March 2023

Research on the mechanical properties and damage evolution of coal during true triaxial cyclic loading and unloading is of great significance for maintaining the long-term safety and stability of underground engineering structures in coal mines. In t...

  • Article
  • Open Access
1,587 Views
11 Pages

30 August 2023

In this work, to systematically investigate the evolution characteristics of electrical properties in polymorphic piezoceramics, the Ba(Ti0.92Zr0.08)O3 ceramics are selected as a paradigm that possesses all the general phase structures above room tem...

  • Article
  • Open Access
882 Views
20 Pages

Failure and Energy Evolution Characteristics of Saturated Natural Defective Material Under Different Confining Pressures

  • Zhihao Gao,
  • Shihao Guo,
  • Xiaoyong Yang,
  • Shanchao Hu,
  • Junhong Huang,
  • Yafei Cheng,
  • Dawang Yin and
  • Jinhao Dou

29 April 2025

In nature, many brittle materials contain natural defects such as microcracks or joints, for example, rocks. Under water-saturated conditions, the strength of defective materials undergoes varying degrees of attenuation, leading to material failure a...

  • Article
  • Open Access
7 Citations
2,479 Views
14 Pages

25 October 2022

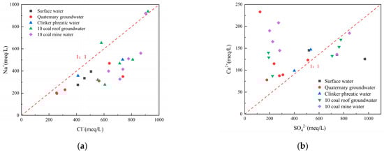
This study analyzed the anthropogenic influences on the hydrochemical composition characteristics of the groundwater in Xiamen City, Fujian province, China, and their evolution. Based on the hydrochemical data of the groundwater of 1993 and 2019&ndas...

  • Article
  • Open Access
3 Citations
1,454 Views
19 Pages

This study aimed to determine the characteristics and driving factors of spatial evolution in urban historical areas during urbanization and urban renewal and recommend how to protect these areas. The urban historical district of Zhangye, a famous hi...

  • Article
  • Open Access
6 Citations
1,887 Views
13 Pages

12 April 2024

During the coal mining process in soft rock mines with abundant water, the rock mass undergoes cyclic loading and unloading at low frequencies due to factors such as excavation. To investigate the mechanical characteristics and energy evolution laws...

  • Article
  • Open Access
4 Citations
2,179 Views
15 Pages

13 July 2022

In order to analyse the dynamic evolution characteristics of soil arching during sliding processes, we conducted a series of model push-pile and direct shear tests. The tests’ results were used to design a relative displacement monitoring syste...

  • Article
  • Open Access
2 Citations
2,074 Views
15 Pages

Chemical Characteristics-Based Evolution of Groundwater in Tailan River Basin, Xinjiang, China

  • Lei Liu,
  • Yudong Lu,
  • Lihe Yin,
  • Zhi Yang,
  • Jiaxin Bian and
  • Liyang Cui

9 November 2023

Groundwater plays an important role in ecological environment protection in arid and semi-arid areas. Therefore, understanding the characteristics of hydrochemical evolution is of great significance for the sustainable use of groundwater in the area...

  • Article
  • Open Access
16 Citations
2,344 Views
25 Pages

10 December 2023

Based on the “Production-Living-Ecological Space” evaluation system, we hereby form its functional index and take the results of corresponding functional measurement to analyze the spatial pattern, functional evolution, and coupling chara...

  • Article
  • Open Access
10 Citations
2,246 Views
19 Pages

The Temporal and Spatial Evolution Characteristics and Driving Factors of Ecosystem Service Bundles in Anhui Province, China

  • Zhongjian Mei,
  • Cheng Li,
  • Jie Zhao,
  • Zixuan Li,
  • Kaiyi Chen,
  • Xin Huang and
  • Zhiyue Zhao

23 May 2024

Identifying ecosystem service bundles and their long-term evolutionary characteristics is essential for the overall enhancement of regional ecosystem services, as well as the division and management of functional areas, providing a basis for decision...

  • Article
  • Open Access
2 Citations
1,490 Views
27 Pages

14 July 2025

With the current acceleration of climate change, there is a global demand for sustainable development and carbon emission reduction. As a major link in the global supply chain, the logistics industry’s green and low-carbon transformation has be...

  • Article
  • Open Access
3 Citations
3,758 Views
21 Pages

By employing multi-reanalysis daily datasets and station data, this study focuses on the evolution characteristics of the daily-scale Silk Road pattern (SRP) and its effect on summer temperatures in the Yangtze River Valley (YRV). The results manifes...

  • Article
  • Open Access
6 Citations
2,373 Views
20 Pages

29 January 2024

Agricultural drought events have become more frequent in the Inner Mongolia inland river basin in recent years, and the spatio-temporal evolution characteristics and development rules can be accurately and comprehensively understood using the three-d...

  • Article
  • Open Access
5 Citations
3,383 Views
24 Pages

Detailed Evolution Characteristics of an Inclined Structure Hailstorm Observed by Polarimetric Radar over the South China Coast

  • Honghao Zhang,
  • Xiaona Rao,
  • Zeyong Guo,
  • Xiantong Liu,
  • Xiaoding Yu,
  • Xingdeng Chen,
  • Huiqi Li,
  • Jingjing Zhang,
  • Guangyu Zeng and
  • Shidong Chen

25 September 2022

A hailstorm with an inclined structure occurred in the western part of the South China coast on 27 March 2020. This study investigates the detailed evolution characteristics of this inclined structure using the Doppler radar data assimilation system...

  • Article
  • Open Access
10 Citations
2,677 Views
16 Pages

8 November 2023

Karst groundwater is an important water supply, especially in northern China. With the rapid development of China’s economy, anthropogenic activities have had a significant impact on karst groundwater formation, circulation and other processes....

  • Article
  • Open Access
1,114 Views
18 Pages

Hydrochemical Characteristics and Evolution of Underground Brine During Mining Process in Luobei Mining Area of Lop Nur, Northwestern China

  • Xu Han,
  • Yufei Deng,
  • Hao Geng,
  • Liangliang Zhao,
  • Ji Zhang,
  • Lingfen Wang,
  • Lei Wang,
  • Xiaohong Sun,
  • Zihao Zhou and
  • Zhongjian Liu
  • + 1 author

23 July 2025

Underground brine as a liquid mineral resource available for development and utilization has attracted widespread attention. However, how the mining process affects the hydrochemical characteristics and evolution of underground brine has yet to be fu...

  • Technical Note
  • Open Access
18 Citations
2,706 Views
18 Pages

13 May 2020

Water–sand inrush disasters are frequently encountered during underground engineering construction in karst terrain. The objective of this paper is to study the failure mechanism and evolution characteristics of water–sand inrush caused b...

  • Article
  • Open Access
22 Citations
3,104 Views
26 Pages

6 July 2022

The Qinghai–Tibet Plateau (QTP) is a major “river source” and “ecological source” in China, as well as South Asia and Southeast Asia, and is a typical plateau region. Studying the evolution characteristics and ecological...

  • Article
  • Open Access
4 Citations
2,681 Views
12 Pages

Evolution Characteristics during Initial Stage of Triggered Lightning Based on Directly Measured Current

  • Zefang Chen,
  • Yang Zhang,
  • Yanfeng Fan,
  • Jingxuan Wang,
  • Dong Zheng,
  • Xiangpeng Fan,
  • Liangtao Xu,
  • Weitao Lyu and
  • Yijun Zhang

19 June 2020

The initiation of a leader is an important lightning discharge process, but how an upward positive leader (UPL) initiates is still not fully understood. The evolution characteristics of a UPL during its initial stage was systematically studied based...

  • Article
  • Open Access
2 Citations
2,060 Views
23 Pages

5 June 2024

Scientifically evaluating China’s black soil protection policy and exploring its evolution characteristics are crucial for promoting high-quality and efficient black soil protection projects worldwide. Utilizing the Policy Modeling Consistency...

  • Article
  • Open Access
417 Views
23 Pages

Tip Discharge Evolution Characteristics and Mechanism Analysis via Optical–Electrical Sensors in Oil-Immersed Transformers

  • Zehao Chen,
  • Yong Qian,
  • Gehao Sheng,
  • Fenghua Wang,
  • Bing Xue,
  • Chunhui Zhang and
  • Chengxiang Liu

4 January 2026

Tip discharge in oil-immersed transformers poses a significant threat to insulation integrity. Conventional detection methods, such as gas and electrical analysis, are limited by slow response times or susceptibility to interference. Additionally, th...

  • Article
  • Open Access
7 Citations
2,043 Views
20 Pages

Characteristics and Evolution of Tectonic Fractures in the Jurassic Lianggaoshan Formation Shale in the Northeast Sichuan Basin

  • Xuefeng Bai,
  • Xiandong Wang,
  • Zhiguo Wang,
  • Hucheng Deng,
  • Yong Li,
  • An Li,
  • Hongxiu Cao,
  • Li Wang,
  • Yanping Zhu and
  • Jianhua He
  • + 2 authors

15 July 2023

The features and formation stages of natural fractures have significant influences on the fracturing of shale reservoirs and the accumulation of oil and gas. The characteristics and evolution of tectonic fractures in the Lianggaoshan Formation in Nor...

  • Article
  • Open Access
3 Citations
2,427 Views
17 Pages

Water entry slamming is a complicated issue in marine engineering, characterized by significant impact loads and complex flow. This paper establishes a 3D numerical model of flat plate water entry slamming based on smoothed particle hydrodynamics (SP...

  • Article
  • Open Access
1 Citations
997 Views
23 Pages

31 August 2025

Understanding the spatio-temporal evolution of land consolidation is essential for optimizing regional land resource allocation and mitigating human–land conflicts during socio-economic development. This study introduced a novel framework for a...

  • Article
  • Open Access
16 Citations
3,846 Views
22 Pages

27 July 2018

This study focuses on the intensity, duration, and frequency of meteorological droughts in Ningxia, northwest China, from 1960 to 2016. The analysis was conducted using the interannual characteristics of droughts, which were studied by the standardiz...

  • Article
  • Open Access
2 Citations
1,136 Views
22 Pages

18 October 2024

The stress environments of gob-side roadways (GSRs) are becoming increasingly complex during deep coal mining under thick and hard roofs. This leads to strong strata behaviors, including roadway floor heave, roof subsidence, and even coal bursts. Amo...

  • Article
  • Open Access
846 Views
22 Pages

19 July 2025

The Jurassic Tamulangou Formation in the Hongqi Depression has favorable hydrocarbon generation conditions and great resource potential. This study systematically analyzes the geochemical characteristics and thermal evolution history of the source ro...

  • Article
  • Open Access
9 Citations
2,260 Views
22 Pages

25 July 2023

The creep characteristics of sliding zones strongly influence slope deformation and long-term stability, as well as the occurrence of landslide catastrophes. In this paper, large-scale triaxial creep tests were performed on the strongly weathered arg...

  • Article
  • Open Access
4 Citations
1,219 Views
16 Pages

12 March 2025

To investigate the mechanical damage characteristics and energy evolution laws of primary coal–rock combinations with different coal–rock ratios, uniaxial compression tests were conducted. Combined with acoustic emission monitoring result...

  • Article
  • Open Access
17 Citations
2,919 Views
25 Pages

7 May 2022

Since the 1930s, due to the rapid development of the city and the increase of population, the demand from Beijing residents for water resources has gradually increased. Land deformation in the Beijing Plain is a serious issue. In order to warn of, an...

  • Article
  • Open Access
2 Citations
2,772 Views
18 Pages

The optimization of the spatial structure of the city network is conducive to the scientific spatial distribution of industries and the promotion of coordinated regional development. This study selected the top 100 automobile enterprises in the Chine...

  • Article
  • Open Access
18 Citations
2,152 Views
14 Pages

Experimental Study on Pressure Relief Mechanism of Variable-Diameter Borehole and Energy Evolution Characteristics of the Surrounding Rock

  • Yangyang Li,
  • Rongwei Guo,
  • Shichuan Zhang,
  • Bing Chen,
  • Haodong Yan,
  • Wenhang Meng and
  • Dan Zheng

9 September 2022

Conventional borehole pressure relief can meet the requirements for preventing rock bursts, but it can also easily destroy the roadway, resulting in system support failure. Taking coal-like samples with boreholes as the research object, the pressure...

  • Article
  • Open Access
20 Citations
3,499 Views
18 Pages

28 November 2022

Using a dataset of 114 meteorological stations in the Yangtze River Basin from 1980–2019, the standardized precipitation evapotranspiration index (SPEI) was calculated based on the Penman-Monteith evapotranspiration model for multiple time scal...

  • Article
  • Open Access
3 Citations
2,486 Views
23 Pages

26 December 2024

In recent years, China’s population growth rate is slowing, and birth rates are declining. The impact of changes in population size and structure on logistics development has raised important concerns. The coupling coordination between populati...

  • Article
  • Open Access
5 Citations
3,131 Views
14 Pages

28 October 2022

Identifying industrial clusters and the changes in the spatial representation of these clusters is a basic but challenging issue for understanding and promoting urban and regional development. However, the current evolution characteristics of industr...

of 182