Experimental Study on Mechanical and Damage Evolution Characteristics of Coal during True Triaxial Cyclic Loading and Unloading
Abstract
1. Introduction
2. Test Method
2.1. Sample Preparation
2.2. Test Equipment
2.3. Test Scheme
2.3.1. True Triaxial Loading Test
2.3.2. True Triaxial Cyclic Loading and Unloading Test
3. Analysis of Test Results
3.1. Coal Deformation and Strength Characteristics
3.1.1. Deformation and Strength Characteristics of Coal during True Triaxial Loading
- It can be concluded from Figure 4 that the stress–strain characteristics of coal during true triaxial loading were similar under six different stress levels, and the stress–strain relationship of the coal during true triaxial loading mainly included the elastic deformation stage, the fracture propagation stage and the plastic flow stage. The coal sample experienced a short elastic deformation stage before quickly entering the fracture propagation stage. In the fracture propagation stage, the axial stress rose slowly, while the lateral strain increased gradually. Finally, the sample entered the plastic flow stage where the strain of coal increased rapidly; there was no obvious strain softening; and an obvious yield platform appeared. In this stage, macroscopic fractures formed in the coal body, and the plastic flow failure occurred.
- According to the variation curves of lateral strain ( and ) under different intermediate principal stresses in Figure 4, with the continuous increase in , the slope of the curve of gradually grew. When > 30 MPa, the slope of the curve increased obviously, which showed that large will limit the deformation in the direction of and drives the sample to deform mainly along the direction of , thus promoting the destruction. From the curves of volume strain () under different intermediate principal stresses in Figure 4, it was found that the sample was always in volumetric compression during loading, which indicates that the lateral dilatancy of coal after plastic flow failure was far less than the axial volumetric compression.
- According to the variation laws of coal strength under different intermediate principal stresses in Figure 5, with the increase in , the overall strength of the sample showed the trend of first increasing and then decreasing. When = 30 MPa, the strength of the sample reached the maximum, and when > 30 MPa, mainly caused damage to the sample, accelerating the destruction.
3.1.2. Deformation and Strength Characteristics of Coal under True Triaxial Cyclic Loading
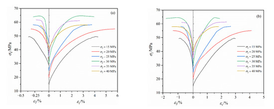
- In the true triaxial cyclic loading and unloading test, the samples exhibited similar stress–strain characteristics under six different stress levels. In addition, the stress–strain curves of coal had an evident hysteretic effect, forming a hysteresis loop. During each cyclic loading and unloading cycle, the coal body produced certain irreversible deformation in the three directions. As a result, the hysteresis loop kept shifting in the direction of increasing strain. The area of the hysteretic loop in the direction of was much larger than those in the directions of and , and the area of the hysteretic loop grew gradually with the increase in the number of cycles, reaching the maximum near the peak strength of coal. Such a result indicates that the internal damage of coal accumulated continuously under the action of cyclic load. Consequently, the fracture expanded continuously, eventually leading to the destruction of the macroscopic fracturing surface.
- By comparing the stress–strain curves under different intermediate principal stresses, it was found that when was 15 MPa or 20 MPa, the difference between and was relatively small, as was the deformation difference of coal in the directions of and . With the increase in , the difference between and enlarged. Accordingly, the deformation difference in the directions of and also increased gradually. When increased to 35 MPa or 40 MPa, the deformation in the direction of was restrained, and its lateral deformation was mainly transformed into dilatancy deformation in the direction of . When plastic failure occurred, deformation in the direction of reversed slightly.
- According to the variation law of coal strength under different intermediate principal stresses, the coal strength during true triaxial cyclic loading and unloading was similar to that during true triaxial loading. With the increase in , the coal strength rose at first and then fell. When = 30 MPa, the coal strength reached its maximum, but the overall strength decreased by 3.9–12.4% compared with that during true triaxial loading.
3.2. Characteristics of Coal Fracturing
4. Discussion
4.1. Evolution Law of Residual Strain and Damage Characteristics
4.1.1. Analysis of Residual Strain Characteristics
4.1.2. Analysis of Damage Evolution Based on Residual Strain
4.2. Evolution Law of Energy Dissipation and Damage Characteristics
4.2.1. Energy Distribution and Evolution Law
4.2.2. Analysis of Damage Evolution Based on Energy Dissipation
5. Conclusions
- The envelope shape of stress–strain curve of coal in the true triaxial cyclic loading and unloading test resembled that in the true triaxial loading test. In the true triaxial cyclic loading and unloading test, an obvious hysteretic effect was observed in the stress-strain curve. In addition, the area of the hysteretic loop grew gradually with the increase in the number of cycles, reaching the maximum near the peak strength of coal body. Finally, the plastic flow failure of coal body occurred. With the increase in , the strength of coal body presented a change trend of increasing first and then decreasing, and the intermediate principal stress gradually changed from protecting the coal body to damaging it.
- The failure modes of coal under the two loading paths were both shear failure and tensile failure caused by axial compression. During true triaxial loading, the sample experienced Y-shaped failure and had few secondary fractures. In contrast, during true triaxial cyclic loading and unloading, the failure was approximately X-shaped and accompanied by numerous secondary fractures and debris. With the increase in , the failure mode gradually changed from shear failure to tensile failure.
- In the true triaxial cyclic loading and unloading test, the residual strain of coal increased exponentially with the number of cycles, and the damage variable was defined based on the residual strain characteristics of coal. When ≤ 30 MPa, the coal damage variables , and increased exponentially with the increase in cyclic load. When > 30 MPa, the damage variable soared first and then rose slowly with the increase in cyclic load.
- The distributions and evolutions of coal energy under different intermediate principal stresses were mostly similar. With the increase in the number of cycles, the dissipated energy density increased exponentially, and the dissipated energy ratio decreased first and then increased. Damage variable based on energy dissipation can describe damage evolution during cyclic loading and unloading. Under different intermediate principal stresses, the coal damage variables all conformed to the equation .
Author Contributions
Funding
Institutional Review Board Statement
Informed Consent Statement
Data Availability Statement
Conflicts of Interest
References
- Le, T.D.; Oh, J.; Hebblewhite, B.; Zhang, C.; Mitra, R. A discontinuum modelling approach for investigation of Longwall Top Coal Caving mechanisms. Int. J. Rock Mech. Min. Sci. 2018, 106, 84–95. [Google Scholar] [CrossRef]
- Li, Q.M.; Liang, Y.P.; Zou, Q.L. Seepage and Damage Evolution Characteristics of Gas-Bearing Coal under Different Cyclic Loading-Unloading Stress Paths. Processes 2018, 6, 190. [Google Scholar] [CrossRef]
- Li, Q.M.; Liang, Y.P.; Zou, Q.L.; Li, Q. Acoustic Emission and Energy Dissipation Characteristics of Gas-Bearing Coal Samples Under Different Cyclic Loading Paths. Nat. Resour. Res. 2020, 29, 1397–1412. [Google Scholar] [CrossRef]
- Gao, Y.H.; Feng, X.T. Study on damage evolution of intact and jointed marble subjected to cyclic true triaxial loading. Eng. Fract. Mech. 2019, 215, 224–234. [Google Scholar] [CrossRef]
- Haimson, B.C. The hydrofracturing stress measuring method and recent field results. Int. J. Rock Mech. Min. Sci. Geomech. Abstr. 1978, 15, 167–178. [Google Scholar] [CrossRef]
- Li, Z.L.; Wang, L.G.; Lu, Y.L.; Li, W.; Wang, K.; Fan, H. Experimental investigation on True Triaxial Deformation and Progressive Damage Behaviour of Sandstone. Sci. Rep. 2019, 9, 19. [Google Scholar] [CrossRef]
- Gong, S.; Wang, C.F.; Zhou, L.; Xi, F.; Yao, S.; Li, X.; Liu, J.; Wang, W. Experimental and Numerical Analysis on the Damage and Failure Characteristics of Bituminous Coal under Multilevel Cyclic Loads. Adv. Mater. Sci. Eng. 2022, 2022, 7455508. [Google Scholar] [CrossRef]
- Ding, Z.W.; Jia, J.D.; Tang, Q.B.; Li, X.F. Mechanical Properties and Energy Damage Evolution Characteristics of Coal Under Cyclic Loading and Unloading. Rock Mech. Rock Eng. 2022, 55, 4765–4781. [Google Scholar] [CrossRef]
- Li, Z.Y.; Xie, S.; Song, Q.H.; Wang, P.; Liu, D.; Zhao, B.; Huang, W. Energy Dissipation and Damage Evolution Characteristics of Shale under Triaxial Cyclic Loading and Unloading. Adv. Mater. Sci. Eng. 2022, 2022, 1–13. [Google Scholar] [CrossRef]
- Meng, Q.B.; Liu, J.F.; Ren, L.; Pu, H.; Chen, Y.-L. Experimental Study on Rock Strength and Deformation Characteristics Under Triaxial Cyclic Loading and Unloading Conditions. Rock Mech. Rock Eng. 2021, 54, 777–797. [Google Scholar] [CrossRef]
- Chen, Y.; Wang, G.F.; Zhou, L.; Zhang, G.; Yang, J.; Li, M. Effect of Cyclic Loading and Unloading on the Deformation and Damage Properties of Sandstone from Beizao, a Coal Mine underneath the Bohai Sea in China. Geofluids 2022, 2022, 1–11. [Google Scholar] [CrossRef]
- Jia, C.J.; Xu, W.Y.; Wang, R.B.; Wang, W.; Zhang, J.; Yu, J. Characterization of the deformation behavior of fine-grained sandstone by triaxial cyclic loading. Constr. Build. Mater. 2018, 162, 113–123. [Google Scholar] [CrossRef]
- Xie, S.D.; Su, C.; Xu, Y.; Wang, Q.; Wang, J.; Xia, Z. Mechanical Properties and Energy Dissipation of Sandstone under Cyclic Loading-Unloading. Shock. Vib. 2021, 2021, 1–12. [Google Scholar] [CrossRef]
- Khan, N.M.; Ahmad, M.; Cao, K.W.; Ali, I.; Liu, W.; Rehman, H.; Hussain, S.; Rehman, F.U.; Ahmed, T. Developing a New Bursting Liability Index Based on Energy Evolution for Coal under Different Loading Rates. Sustainability 2022, 14, 1572. [Google Scholar] [CrossRef]
- Liang, D.X.; Zhang, N.; Xie, L.X.; Zhao, G.; Qian, D. Damage and fractal evolution trends of sandstones under constant-amplitude and tiered cyclic loading and unloading based on acoustic emission. Int. J. Distrib. Sens. Netw. 2019, 15, 16. [Google Scholar] [CrossRef]
- Su, Z.L.; Jing, S.G.; Xie, W.B.; Tang, Q.T. Research on Coal Acoustic Emission Characteristics and Damage Evolution During Cyclic Loading. Front. Earth Sci. 2022, 10, 13. [Google Scholar]
- Feng, X.T.; Zhang, X.W.; Kong, R.; Wang, G. A Novel Mogi Type True Triaxial Testing Apparatus and Its Use to Obtain Complete Stress-Strain Curves of Hard Rocks. Rock Mech. Rock Eng. 2016, 49, 1649–1662. [Google Scholar] [CrossRef]
- He, M.C.; Zhao, F.; Cai, M.; Du, S. A Novel Experimental Technique to Simulate Pillar Burst in Laboratory. Rock Mech. Rock Eng. 2015, 48, 1833–1848. [Google Scholar] [CrossRef]
- Nasseri MH, B.; Goodfellow, S.D.; Lombos, L.; Young, R.P. 3-D transport and acoustic properties of Fontainebleau sandstone during true-triaxial deformation experiments. Int. J. Rock Mech. Min. Sci. 2014, 70, 605–606. [Google Scholar] [CrossRef]
- Li, Z.L.; Wang, L.G.; Lu, Y.L.; Li, W.; Wang, K. Experimental Investigation on the Deformation, Strength, and Acoustic Emission Characteristics of Sandstone under True Triaxial Compression. Adv. Mater. Sci. Eng. 2018, 2018, 5241386. [Google Scholar] [CrossRef]
- Feng, X.T.; Gao, Y.H.; Zhang, X.W.; Wang, Z.; Zhang, Y.; Han, Q. Evolution of the mechanical and strength parameters of hard rocks in the true triaxial cyclic loading and unloading tests. Int. J. Rock Mech. Min. Sci. 2020, 131, 104349. [Google Scholar] [CrossRef]
- Xiao, F.; Jiang, D.; Wu, F.; Zou, Q.; Chen, J.; Chen, B.; Sun, Z. Effects of prior cyclic loading damage on failure characteristics of sandstone under true-triaxial unloading conditions. Int. J. Rock Mech. Min. Sci. 2020, 132, 14. [Google Scholar] [CrossRef]
- Hu, H.R.; Lu, Y.Y.; Xia, B.W.; Luo, Y.; Peng, J.; Li, Y. Damage characteristics of sandstone with different crack angles subjected to true triaxial cyclic loading and unloading. Theor. Appl. Fract. Mech. 2022, 121, 13. [Google Scholar] [CrossRef]
- Hu, H.R.; Xia, B.W.; Li, Y.; Luo, Y.; Peng, J. Analysis of damage characteristics of fine and medium-fine cracked sandstones under a complex stress path. Energy Sci. Eng. 2022, 10, 3443–3458. [Google Scholar] [CrossRef]
- Hu, H.R.; Xia, B.W.; Luo, Y.F.; Peng, J. Energy characteristics of sandstones with different crack angles under true triaxial cyclic loading and unloading. Energy Sci. Eng. 2022, 10, 1418–1430. [Google Scholar] [CrossRef]
- Gao, Y.H.; Wang, Z.F. Experimental study on the damage process of marble under true triaxial pre-peak unloading conditions. Int. J. Damage Mech. 2021, 30, 1542–1557. [Google Scholar] [CrossRef]
- Xiao, F.; Jiang, D.Y.; Wu, F.; Zou, Q.; Chen, J.; Chen, B.; Sun, Z. Effects of high temperature on the mechanical behaviors of sandstone under true-triaxial unloading conditions. Bull. Eng. Geol. Environ. 2021, 80, 4587–4601. [Google Scholar] [CrossRef]
- Feng, X.T.; Haimson, B.; Li, X.C.; Chang, C.; Ma, X.; Zhang, X.; Ingraham, M.; Suzuki, K. ISRM Suggested Method: Determining Deformation and Failure Characteristics of Rocks Subjected to True Triaxial Compression. Rock Mech. Rock Eng. 2019, 52, 2011–2020. [Google Scholar] [CrossRef]
- Eberhardt, E.; Stead, D.; Stimpson, B. Quantifying progressive pre-peak brittle fracture damage in rock during uniaxial compression. Int. J. Rock Mech. Min. Sci. 1999, 36, 361–380. [Google Scholar] [CrossRef]
- Jiang, C.B.; Cheng, G.J.; Duan, M.K.; Chen, Y.; Yang, Y.; Kang, Q. Fluctuation in residual strain and dissipated energy of saturated sandstone under tiered cyclic loading. PLoS ONE 2020, 15, 21. [Google Scholar] [CrossRef] [PubMed]


















| A3/10−4 | B3 | R2 | |
|---|---|---|---|
| 15 | 8.17183 | 0.15182 | 0.99235 |
| 20 | 6.68289 | 0.14762 | 0.99856 |
| 25 | 8.00289 | 0.12981 | 0.99568 |
| 30 | 0.775896 | 0.1522 | 0.99964 |
| 35 | 8.31499 × 10−2 | 0.20385 | 0.98773 |
| 40 | 4.35293 × 10−5 | 0.34505 | 0.96714 |
Disclaimer/Publisher’s Note: The statements, opinions and data contained in all publications are solely those of the individual author(s) and contributor(s) and not of MDPI and/or the editor(s). MDPI and/or the editor(s) disclaim responsibility for any injury to people or property resulting from any ideas, methods, instructions or products referred to in the content. |
© 2023 by the authors. Licensee MDPI, Basel, Switzerland. This article is an open access article distributed under the terms and conditions of the Creative Commons Attribution (CC BY) license (https://creativecommons.org/licenses/by/4.0/).
Share and Cite
Jiang, C.; Wang, L.; Ding, K.; Wang, S.; Ren, B.; Guo, J. Experimental Study on Mechanical and Damage Evolution Characteristics of Coal during True Triaxial Cyclic Loading and Unloading. Materials 2023, 16, 2384. https://doi.org/10.3390/ma16062384
Jiang C, Wang L, Ding K, Wang S, Ren B, Guo J. Experimental Study on Mechanical and Damage Evolution Characteristics of Coal during True Triaxial Cyclic Loading and Unloading. Materials. 2023; 16(6):2384. https://doi.org/10.3390/ma16062384
Chicago/Turabian StyleJiang, Chongyang, Lianguo Wang, Ke Ding, Shuai Wang, Bo Ren, and Jiaxing Guo. 2023. "Experimental Study on Mechanical and Damage Evolution Characteristics of Coal during True Triaxial Cyclic Loading and Unloading" Materials 16, no. 6: 2384. https://doi.org/10.3390/ma16062384
APA StyleJiang, C., Wang, L., Ding, K., Wang, S., Ren, B., & Guo, J. (2023). Experimental Study on Mechanical and Damage Evolution Characteristics of Coal during True Triaxial Cyclic Loading and Unloading. Materials, 16(6), 2384. https://doi.org/10.3390/ma16062384

