Experimental Study on Pressure Relief Mechanism of Variable-Diameter Borehole and Energy Evolution Characteristics of the Surrounding Rock
Abstract
:1. Introduction
2. Materials and Methods
2.1. Test Program with Coal-like Methods
- Put the gypsum material with the ratio of 0.45 into the mold and use the vibrating screen to drive out the air from gypsum materials (50 mm × 100 mm × 200 mm).
- In order to make the surface of the sample flat, using a scraper to scrape off the excess gypsum material above the mold.
- Demold the preliminary formed coal-like samples, and place the molded coal-like samples in a curing box (25 °C) for 28 days.
- Polish the samples’ upper and lower end faces to make the flatness difference of the end faces less than 0.05 mm.
- GSB600RE electric drill is used to drill holes with different sizes; stick the drilling samples into composite samples of same-diameter drilling and variable-diameter drilling with different sizes through a strong viscous adhesive. Typical samples are shown in Figure 1, and the specific parameters are shown in Table 1 (notes: 8–8 represents the same-diameter borehole sample with a borehole diameter of 8 mm; 8–14 represents the variable-diameter borehole sample with a borehole diameter of 8 mm and 14 mm, and other samples are the same as above). The schematic diagram of the drilling sample is shown in Figure 1, mold as shown in the Figure 2 and specific borehole parameters are shown in Table 1.
2.2. Test Loading Scheme
3. Pressure Relief Effect of Borehole Pressure Relief with Variable-Diameter
3.1. Evaluation Index of Pressure Relief Effect
- (1)
- Pre-peak strain energy [14].
- (2)
- Energy dissipation index.
- (3)
- Strength reduction index.
- (4)
- Post-peak strain energy release rate.
3.2. Result and Discussion
3.3. Analysis of Mechanical Properties Post-Peak
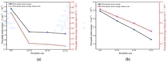
3.4. Post-Peak Energy Release Rate
4. Energy Evolution Characteristics
5. Failure Mode and Fracture Evolution Characteristics
6. Conclusions
- (1)
- With the increase of borehole size, the compressive strength, pre-peak strain energy, and post-peak strain energy release rate of the same-diameter borehole sample and variable-diameter borehole sample both gradually decrease, and the strength reduction index and energy dissipation index both progressively increase. Under the condition that the maximum size of the variable-diameter borehole is the same as that of the same-diameter borehole, the compressive strength, pre-peak strain energy, and post-peak strain energy release rate of the variable-diameter borehole sample decrease more, and the strength reduction index and energy dissipation index increase more. Indicating that the pressure relief effect of the variable-diameter borehole is better.
- (2)
- The influence of variable-diameter drilling on the AE characteristics of the samples of the pro-peak and post-peak is significant, which enhances the plastic characteristics of the sample of the post-peak. The cumulative AE count decreases more, and the activity intensity decreases, realizing the graded release of the sample energy, reducing the impact tendency, and verifying the rules mentioned above.
- (3)
- Different drilling patterns impact the damage mode of samples. When the maximum borehole size is the same, the failure characteristics of the same-diameter borehole sample and the variable-diameter borehole sample are also vastly different. The small size borehole sample of the variable-diameter sample is more complicated due to the stress disturbance at the failure of the large-sized borehole sample. The large-sized borehole sample has a faster failure speed due to the enormous stress concentration degree, which is not conducive to the accumulation of energy before and after the failure, and the pressure relief effect is more pronounced.
Author Contributions
Funding
Institutional Review Board Statement
Informed Consent Statement
Data Availability Statement
Conflicts of Interest
References
- Pan, J.F.; Qi, Q.X.; Liu, S.H.; Wang, S.W.; Ma, W.T.; Kang, X.C. Characteristics types and prevention and control technology of rock burst in deep coal mining in China. J. China Coal Soc. 2020, 45, 111–121. [Google Scholar]
- Qi, Q.X.; Pan, Y.S.; Li, H.T.; Jiang, D.; Shu, L.; Zhao, S.; Zhang, Y. Theoretical basis and key technology of prevention and control of coal-rock dynamic disasters in deep coal mining. J. China Coal Soc. 2020, 45, 1567–1584. [Google Scholar]
- Chen, X.; Li, L.; Wang, L.; Qi, L. The current situation and prevention and control countermeasures for typical dynamic disasters in kilometer-deep mines in China. Saf. Sci. 2019, 115, 229–236. [Google Scholar] [CrossRef]
- Jiang, Y.D.; Pan, Y.S.; Fu, X.; Dou, L.M. State of the art review on mechanism and prevention of coal bumps in China. J. China Coal Soc. 2014, 39, 205–213. [Google Scholar]
- Lin, M.D.; Mu, Z.; Cao, A.; Gong, S. Research progress of monitoring, forecasting, and prevention of rock bursts in underground coal mining in China. Int. J. Coal Sci. Technol. 2014, 1, 278–288. [Google Scholar]
- Li, Y.Y.; Zhang, S.C.; Gao, L.Q.; Kong, D.Z.; Kong, H. Mechanism and prevention of pressure burst in step region based on overburden strata movement of unequal length working face. Rock Soil Mech. 2016, 37, 3283–3290. [Google Scholar]
- Lu, J.; Zhang, D.; Huang, G.; Xing, L.; Yin, G. Effects of loading rate on the compound dynamic disaster in deep underground coal mine under true triaxial stress. Int. J. Rock Mech. Min. Sci. 2020, 134, 104453. [Google Scholar] [CrossRef]
- Cai, W.; Dou, L.M.; Si, G.Y.; Cao, A.; Gong, S.Y.; Wang, G.F.; Yuan, S.S. A new seismic-based strain energy methodology for coal burst forecasting in underground coal mines. Int. J. Rock Mech. Min. Sci. 2019, 123, 104086. [Google Scholar] [CrossRef]
- Zhai, C.; Xu, J.Z.; Liu, S.M.; Qin, L. Investigation of the discharge law for drill cuttings used for coal outburst prediction based on different borehole diameters under various side stresses. Powder Technol. 2018, 325, 396–404. [Google Scholar] [CrossRef]
- Wu, H.; Zhao, G.Y.; Liang, W.Z. Mechanical properties and fracture characteristics of pre-holed rocks subjected to uniaxial loading: A comparative analysis of five hole shapes. Theor. Appl. Fract. Mech. 2019, 105, 102433. [Google Scholar] [CrossRef]
- Zhang, W.L.; Li, C.; Jin, J.X.; Qu, X.C.; Fan, S.; Xin, C.W. A new monitoring-while-drilling method of large diameter drilling in underground coal mine and their application. Measurement 2020, 173, 108840. [Google Scholar] [CrossRef]
- Liang, S.W.; Zhang, L.; Ge, D.; Wang, Q. Study on Pressure Relief Effect and Rock Failure Characteristics with Different Borehole Diameters. Shock. Vib. 2021, 2021, 3565344. [Google Scholar] [CrossRef]
- Peng, C.; Liu, W.R. Study on Pressure Relief Effect of Rock Mass with Different Borehole Parameters. Adv. Civ. Eng. 2021, 2021, 5558673. [Google Scholar] [CrossRef]
- Zhang, S.C.; Li, Y.Y.; Shen, B.T.; Sun, X.Z.; Gao, L.Q. Effective evaluation of borehole pressure relief for reducing rock bursts and its application in underground coal mines. Int. J. Rock Mech. Min. Sci. 2019, 114, 7–16. [Google Scholar] [CrossRef]
- Zuo, J.P.; Wang, Z.F.; Zhou, H.W.; Pei, J.L.; Liu, J.F. Failure behavior of a rock-coal-rock combined body with a weak coal interlayer. Int. J. Min. Sci. Technol. 2013, 6, 907–912. [Google Scholar] [CrossRef]
- Meng, Q.B.; Zhang, M.W.; Han, L.J.; Pu, H.; Nie, T.Y. Effects of Acoustic Emission and Energy Evolution of Rock samples Under the Uniaxial Cyclic Loading and Unloading Compression. Rock Mech. Rock Eng. 2016, 49, 3873–3886. [Google Scholar] [CrossRef]
- Huang, B.X.; Liu, J.W. The effect of loading rate on the behavior of samples composed of coal and rock. Int. J. Rock Mech. Min. Sci. 2013, 61, 23–30. [Google Scholar] [CrossRef]
- Wang, A.W.; Gao, Q.S.; Pan, Y.S. Experimental study of rock burst prevention mechanism of bursting liability reduction-deformation control-energy dissipation based on drillhole in coal seam. Rock Soil Mech. 2021, 42, 1230–1244. [Google Scholar]
- Zhang, H.; Li, T.; Oy, Z.H.; Liu, S.; Yi, H.Y. Research on Optimization of Coal Pressure Relief Borehole Parameters under High-Stress Conditions. Geofluids 2021, 2011, 4673152. [Google Scholar] [CrossRef]
- Zhu, S.T.; Jiang, F.X.; Shi, X.F.; Sun, G.J.; Zhang, Z.G.; Cheng, X.M. Energy dissipation index method for determining rock burst prevention drilling parameters. Rock Soil Mech. 2015, 36, 2270–2276. [Google Scholar]
- Jia, C.; Jiang, Y.; Zhang, X. Laboratory and numerical experiments on pressure relief mechanism of large-diameter boreholes. Chin. J. Geot. Eng. 2017, 39, 1115–1122. [Google Scholar]
- Li, J.; Yue, J.H.; Yang, Y.; Zhan, X.Z.; Zhao, L. Multi-Resolution Feature Fusion model for coal rock burst hazard recognition based on Acoustic Emission data. Measurement 2017, 100, 329–336. [Google Scholar] [CrossRef]
- Su, G.S.; Shi, Y.J.; Feng, X.T.; Jiang, J.Q.; Zhang, J.; Jiang, Q. True-Triaxial Experimental Study of the Evolutionary Features of the Acoustic Emissions and Sounds of Rock burst Processes. Rock Mech. Rock Eng. 2017, 51, 375–389. [Google Scholar] [CrossRef]














| Borehole Shape | Borehole Size (mm) | Number of Drilling Samples of Each Size | Number of Boreholes | Drilling Depth (mm) |
|---|---|---|---|---|
| ) | 8–8, 14–14, 18–18, 22–22 | 3 | 1 | 100 |
| ) | 8–14, 8–18, 8–22 |
| Sample No. | Secant Modulus/GPa | Residual Strength/MPa | Post-Peak Strain Energy/(J·cm−3) |
|---|---|---|---|
| 8–8 | 1.79 | 7.08 | 0.0346 |
| 14–14 | 1.54 | 6.83 | 0.0297 |
| 18–18 | 1.32 | 5.63 | 0.0296 |
| 22–22 | 1.3 | 5.5 | 0.0293 |
| 8–14 | 1.46 | 5.96 | 0.0287 |
| 8–18 | 1.28 | 5.12 | 0.0236 |
| 8–22 | 1.22 | 4.67 | 0.0177 |
Publisher’s Note: MDPI stays neutral with regard to jurisdictional claims in published maps and institutional affiliations. |
© 2022 by the authors. Licensee MDPI, Basel, Switzerland. This article is an open access article distributed under the terms and conditions of the Creative Commons Attribution (CC BY) license (https://creativecommons.org/licenses/by/4.0/).
Share and Cite
Li, Y.; Guo, R.; Zhang, S.; Chen, B.; Yan, H.; Meng, W.; Zheng, D. Experimental Study on Pressure Relief Mechanism of Variable-Diameter Borehole and Energy Evolution Characteristics of the Surrounding Rock. Energies 2022, 15, 6596. https://doi.org/10.3390/en15186596
Li Y, Guo R, Zhang S, Chen B, Yan H, Meng W, Zheng D. Experimental Study on Pressure Relief Mechanism of Variable-Diameter Borehole and Energy Evolution Characteristics of the Surrounding Rock. Energies. 2022; 15(18):6596. https://doi.org/10.3390/en15186596
Chicago/Turabian StyleLi, Yangyang, Rongwei Guo, Shichuan Zhang, Bing Chen, Haodong Yan, Wenhang Meng, and Dan Zheng. 2022. "Experimental Study on Pressure Relief Mechanism of Variable-Diameter Borehole and Energy Evolution Characteristics of the Surrounding Rock" Energies 15, no. 18: 6596. https://doi.org/10.3390/en15186596
APA StyleLi, Y., Guo, R., Zhang, S., Chen, B., Yan, H., Meng, W., & Zheng, D. (2022). Experimental Study on Pressure Relief Mechanism of Variable-Diameter Borehole and Energy Evolution Characteristics of the Surrounding Rock. Energies, 15(18), 6596. https://doi.org/10.3390/en15186596

