Evolution Characteristics of Electric Field-Related Properties in Polymorphic Piezoceramics with Temperature-Impelled Phase Transition
Abstract
:1. Introduction
2. Experimental Procedure
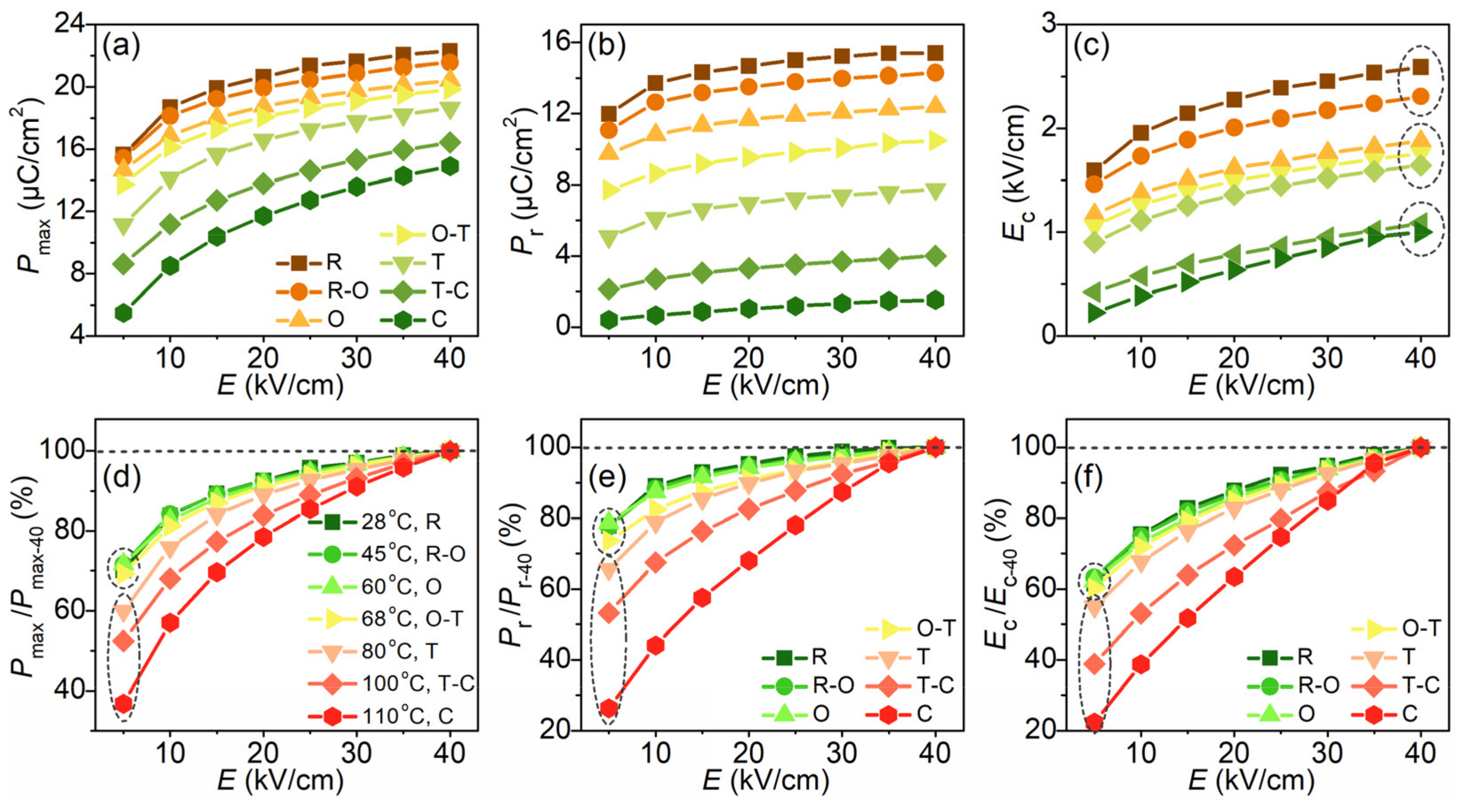
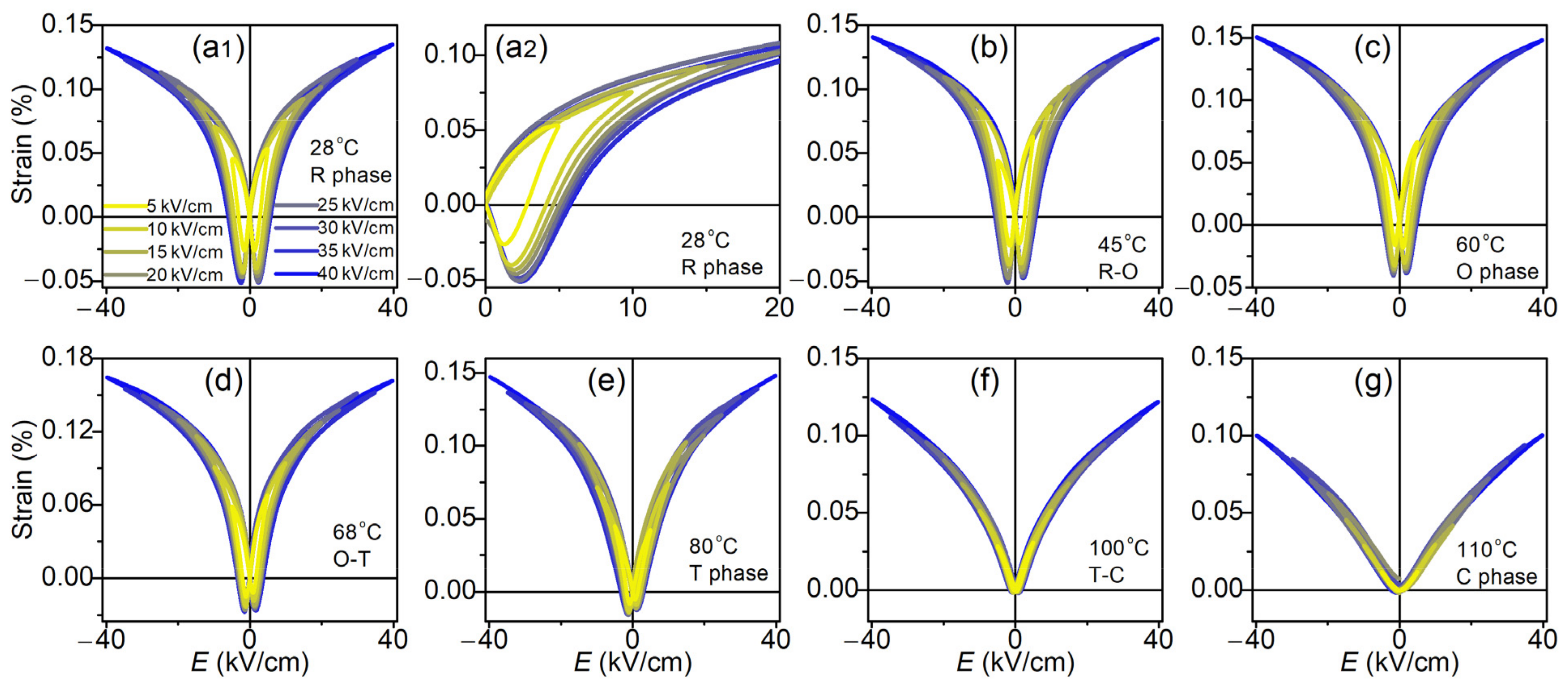
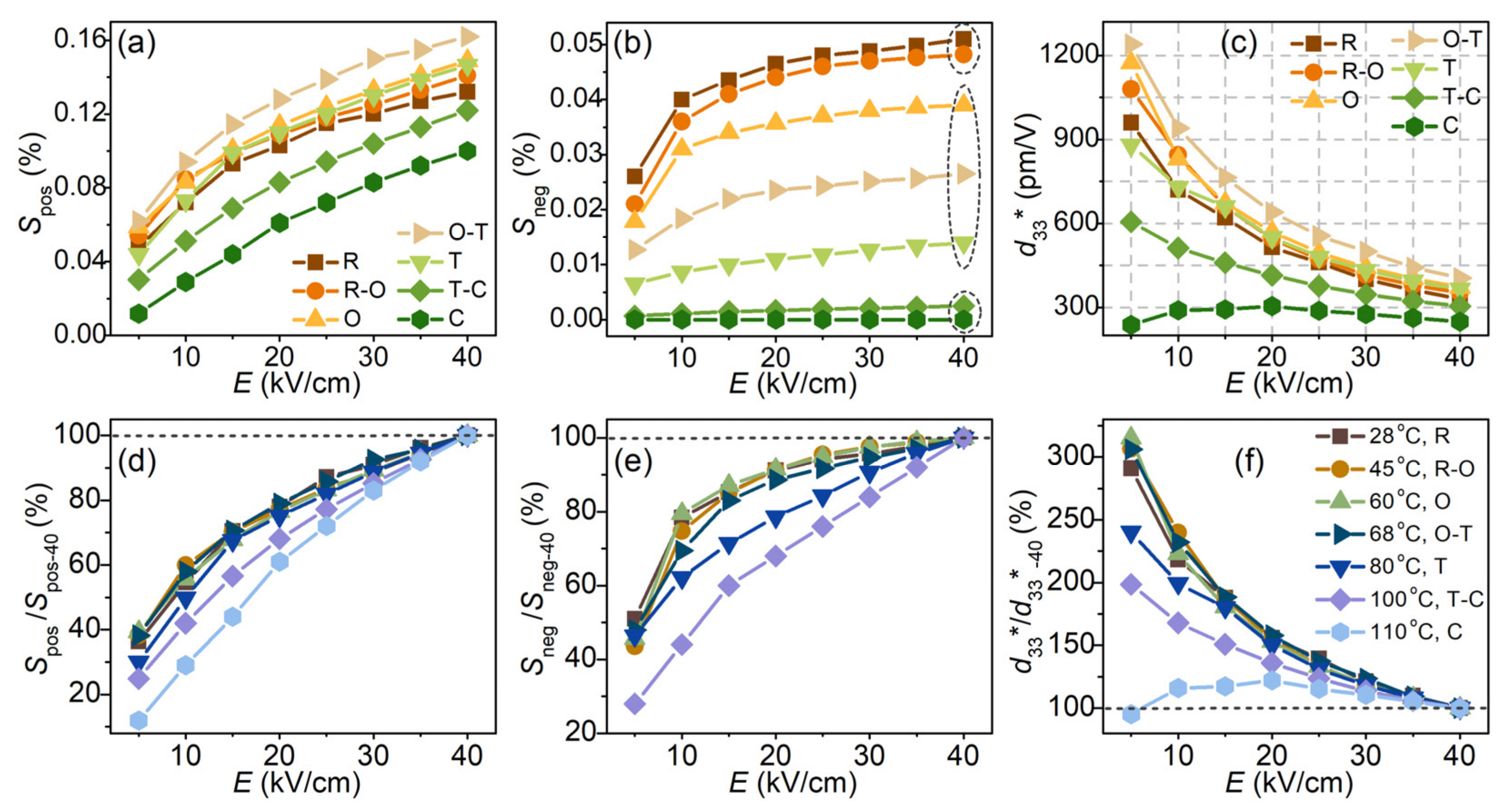
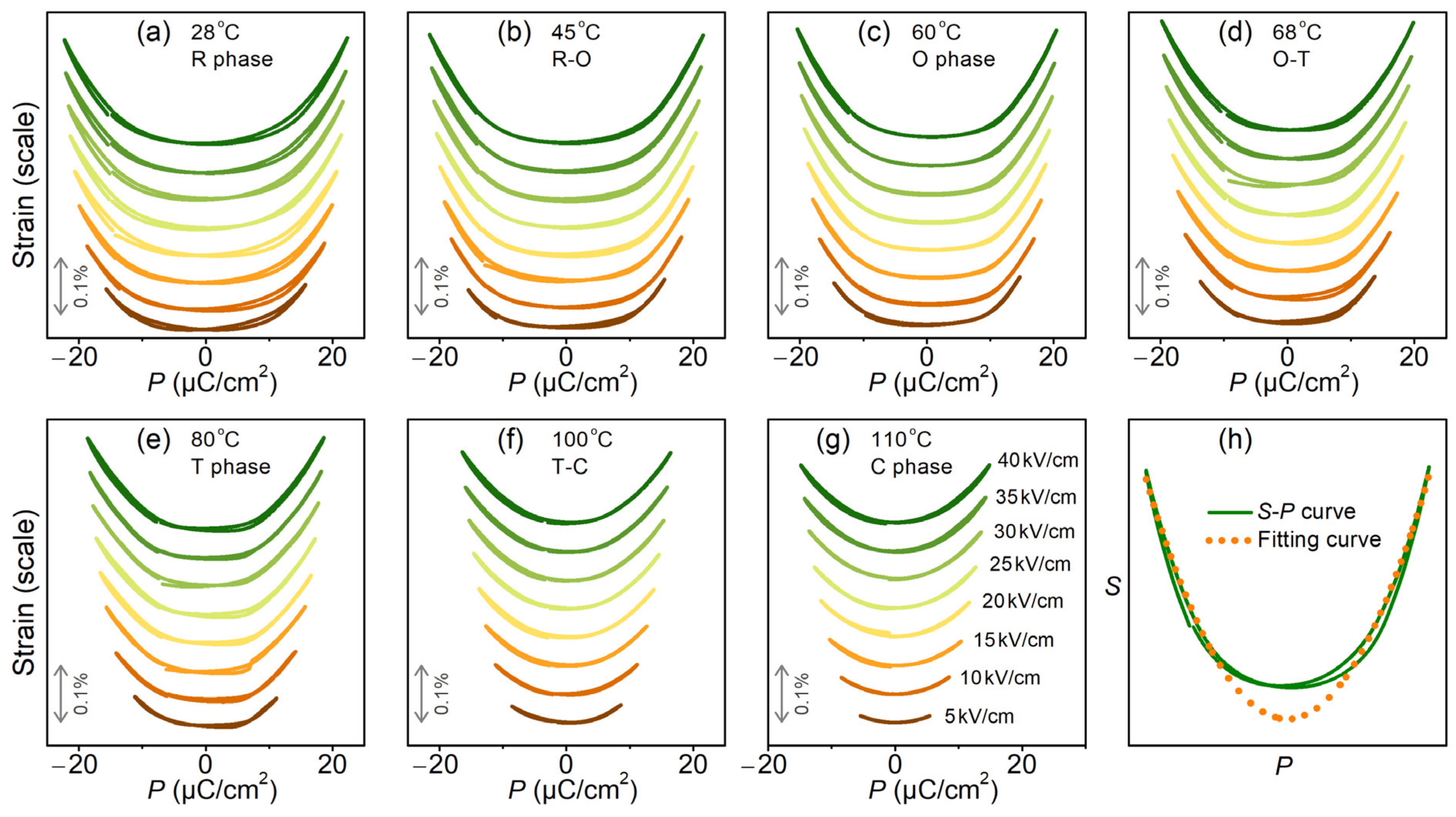
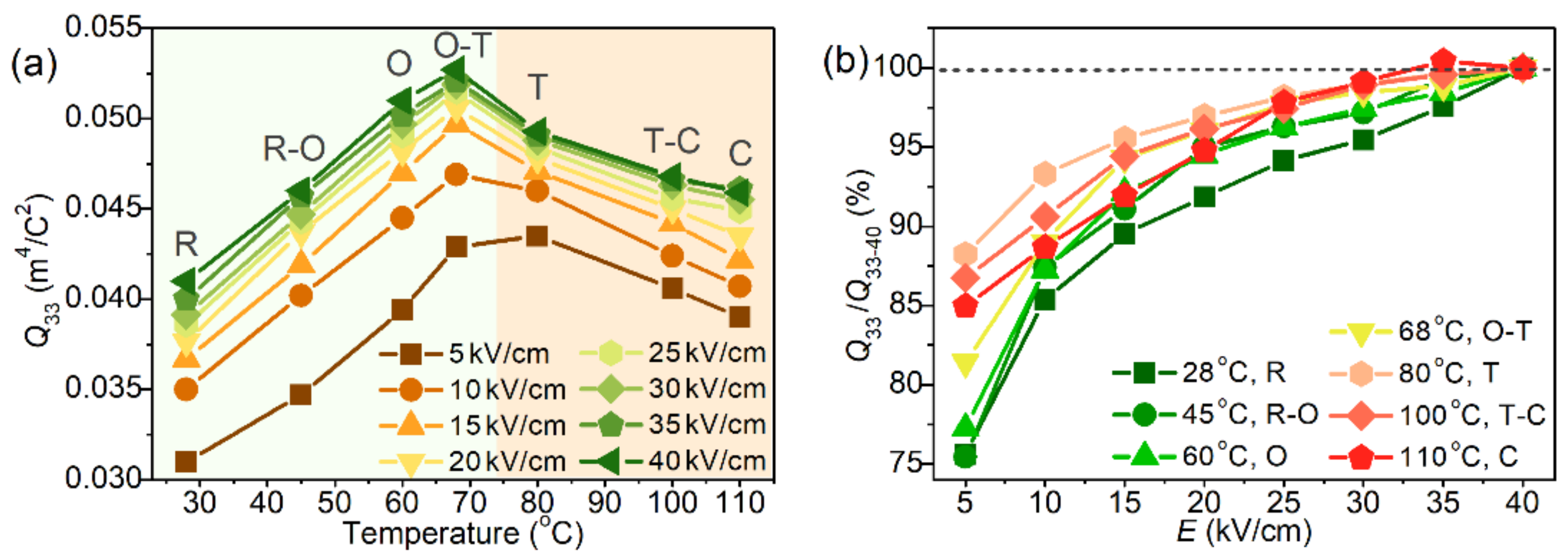
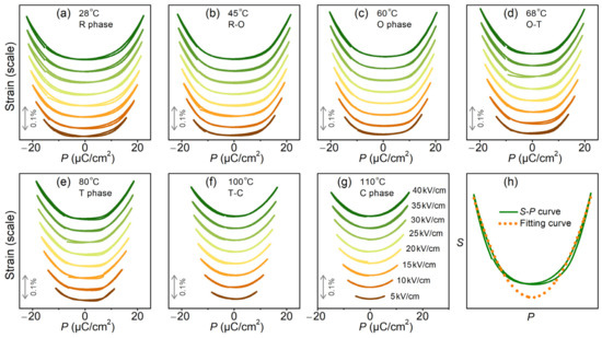
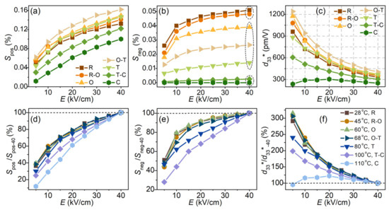
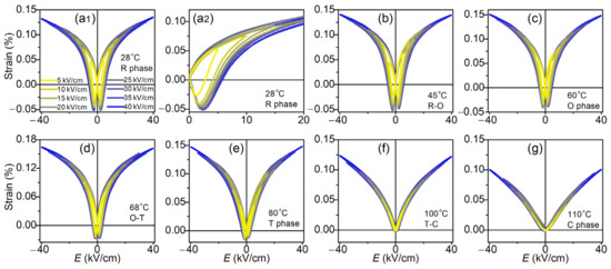
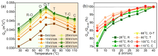
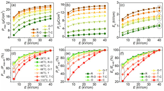
3. Results and Discussion
4. Conclusions
Author Contributions
Funding
Data Availability Statement
Conflicts of Interest
References
- Gao, X.; Yang, J.; Wu, J.; Xin, X.; Li, Z.; Yuan, X.; Shen, X.; Dong, S. Piezoelectric actuators and motors: Materials, designs, and applications. Adv. Mater. Technol. 2020, 5, 1900716. [Google Scholar] [CrossRef]
- Zhou, Y.; Xiong, R.; Wang, P.; Envelope, X.W.P.; Sa, B.; Lin, C.; Gao, M.; Lin, T.; Envelope, C.Z.P. Strain and illumination triggered regulations of up-conversion luminescence in Er-doped Bi0.5Na0.5TiO3-BaTiO3/Mica flexible multifunctional thin films. J. Mater. 2022, 8, 586–595. [Google Scholar]
- Wu, J. Advances in Lead-Free Piezoelectric Materials; Springer Nature Singapore Pte Ltd.: Singapore, 2018. [Google Scholar]
- Waqar, M.; Wu, H.; Chen, J.; Yao, K.; Wang, J. Evolution from Lead-Based to Lead-Free Piezoelectrics: Engineering of Lattices, Domains, Boundaries, and Defects Leading to Giant Response. Adv. Mater. 2022, 34, 2106845. [Google Scholar] [CrossRef]
- Sezer, N.; Ko, M. A Comprehensive Review on the State-of-the-Art of Piezoelectric Energy Harvesting. Nano Energy 2020, 80, 105567. [Google Scholar] [CrossRef]
- Zhou, X.; Xue, G.; Luo, H.; Bowen, C.R.; Zhang, D. Phase structure and properties of sodium bismuth titanate lead-free piezoelectric ceramics. Prog. Mater Sci. 2021, 122, 100836. [Google Scholar] [CrossRef]
- Hooker, M.W. Properties of PZT-Based Piezoelectric Ceramics Between −150 and 250 °C; NASA Langley Technical Report Server: Washington, DC, USA, 1998.
- Zhao, C.; Huang, Y.; Wu, J. Multifunctional barium titanate ceramics via chemical modification tuning phase structure. InfoMat 2020, 2, 1163–1190. [Google Scholar] [CrossRef]
- Lv, X.; Zhu, J.; Xiao, D.; Zhang, X.-X.; Wu, J. Emerging new phase boundary in potassium sodium-niobate based ceramics. Chem. Soc. Rev. 2020, 49, 671–707. [Google Scholar] [CrossRef]
- Acosta, M.; Novak, N.; Rojas, V.; Patel, S.; Vaish, R.; Koruza, J.; Rossetti, G., Jr.; Rödel, J. BaTiO3-based piezoelectrics: Fundamentals, current status, and perspectives. Appl. Phys. Rev. 2017, 4, 041305. [Google Scholar] [CrossRef]
- Wu, J.; Xiao, D.; Zhu, J. Potassium-sodium niobate lead-free piezoelectric materials: Past, present, and future of phase boundaries. Chem. Rev. 2015, 115, 2559–2595. [Google Scholar] [CrossRef]
- Xing, J.; Tan, Z.; Zheng, T.; Wu, J.; Xiao, D.; Zhu, J. Research progress of high piezoelectric activity of potassium sodium niobate based lead-free ceramics. Acta Phys. Sin. 2020, 12, 127707. [Google Scholar] [CrossRef]
- Liu, W.; Ren, X. Large piezoelectric effect in Pb-free ceramics. Phys. Rev. Lett. 2009, 103, 257602. [Google Scholar] [CrossRef]
- Gao, J.; Xue, D.; Liu, W.; Zhou, C.; Ren, X. Recent Progress on BaTiO3-Based Piezoelectric Ceramics for Actuator Applications. Actuators 2017, 6, 24. [Google Scholar] [CrossRef]
- Li, H.; Wu, B.; Lin, C.; Wu, X.; Lin, T.; Gao, M.; Tao, H.; Wu, W.; Zhao, C. Microscopic origin and relevant grain size effect of discontinuous grain growth in BaTiO3-based ferroelectric ceramics. J. Mater. Sci. Technol. 2023, 164, 119–128. [Google Scholar] [CrossRef]
- Wu, X.; Lin, J.; Xu, Z.; Zhao, C.; Lin, C.; Wang, H.; Lin, T.; Zheng, X.; Sa, B.; Zhang, Q.; et al. Defect Management and Multi-Mode Optoelectronic Manipulations via Photo-Thermochromism in Smart Windows. Laser Photonics Rev. 2021, 15, 2100211. [Google Scholar] [CrossRef]
- Huang, Y.; Zhao, C.; Wu, B.; Zhang, X. Grain size effects and structure origin in high-performance BaTiO3-based piezoceramics with large grains. J. Eur. Ceram. Soc. 2022, 42, 2764–2771. [Google Scholar] [CrossRef]
- Jin, L.; Li, F.; Zhang, S. Decoding the fingerprint of ferroelectric loops: Comprehension of the material properties and structures. J. Am. Ceram. Soc. 2014, 97, 1–27. [Google Scholar] [CrossRef]
- Hershkovitz, A.; Johann, F.; Barzilay, M.; Avidor, A.H.; Ivry, Y. Mesoscopic origin of ferroelectric-ferroelectric transition in BaTiO3: Orthorhombic-to-tetragonal domain evolution. Acta Mater. 2020, 187, 186–190. [Google Scholar] [CrossRef]
- Shvartsman, V.; Dec, J.; Łukasiewicz, T.; Kholkin, A.; Kleemann, W. Evolution of the polar structure in relaxor ferroelectrics close to the Curie temperature studied by piezoresponse force microscopy. Ferroelectrics 2008, 373, 77–85. [Google Scholar] [CrossRef]
- Wang, Z.; Webber, K.G.; Hudspeth, J.M.; Hinterstein, M.; Daniels, J.E. Electric-field-induced paraelectric to ferroelectric phase transformation in prototypical polycrystalline BaTiO3. Appl. Phys. Lett. 2014, 105, 161903. [Google Scholar] [CrossRef]
- Novak, N.; Pirc, R.; Kutnjak, Z. Effect of electric field on ferroelectric phase transition in BaTiO3 ferroelectric. Ferroelectrics 2014, 469, 61–66. [Google Scholar] [CrossRef]
- Hao, J.; Li, W.; Zhai, J.; Chen, H. Progress in high-strain perovskite piezoelectric ceramics. Mater. Sci. Eng. R Rep. 2019, 135, 1–57. [Google Scholar] [CrossRef]
- Li, F.; Jin, L.; Xu, Z.; Zhang, S. Electrostrictive effect in ferroelectrics: An alternative approach to improve piezoelectricity. Appl. Phys. Rev. 2014, 1, 011103. [Google Scholar] [CrossRef]
- Huang, Y.; Zhao, C.; Wu, J. Electrostrictive Effect of Lead-free Perovskite Ceramics. J. Chin. Ceram. Soc. 2022, 50, 575–586. [Google Scholar]
- Jo, W.; Dittmer, R.; Acosta, M.; Zang, J.; Groh, C.; Sapper, E.; Wang, K.; Rödel, J. Giant electric-field-induced strains in lead-free ceramics for actuator applications–status and perspective. J. Electroceram. 2012, 29, 71–93. [Google Scholar] [CrossRef]
- Fang, M.; Ji, Y.; Zhang, Z.; Yang, Y.; Liu, C.; Wang, D.; Zhang, L.; Gao, J.; Ren, X. Re-entrant relaxor-ferroelectric composite showing exceptional electromechanical properties. NPG Asia Mater. 2018, 10, 1029–1306. [Google Scholar] [CrossRef]
- Jin, L.; Huo, R.; Guo, R.; Li, F.; Wang, D.; Tian, Y.; Hu, Q.; Wei, X.; He, Z.; Yan, Y. Diffuse phase transitions and giant electrostrictive coefficients in lead-free Fe3+-doped 0.5Ba(Zr0.2Ti0.8)O3-0.5(Ba0.7Ca0.3)TiO3 ferroelectric ceramics. ACS Appl. Mater. Interfaces 2016, 8, 31109–31119. [Google Scholar] [CrossRef] [PubMed]
- Zhang, N.; Lv, X.; Zhang, X.-X.; Cui, A.; Hu, Z.; Wu, J. Feasible Way to Achieve Multifunctional (K, Na)NbO3-Based Ceramics: Controlling Long-Range Ferroelectric Ordering. ACS Appl. Mater. Interfaces 2021, 13, 60227–60240. [Google Scholar] [CrossRef]
- Zheng, T.; Wu, J. Mesoscale origin of dielectric relaxation with superior electrostrictive strain in bismuth ferrite-based ceramics. Mater. Horiz. 2020, 7, 3011–3020. [Google Scholar] [CrossRef]
- Newnham, R.E. Properties of Materials: Anisotropy, Symmetry, Structure; Oxford University Press on Demand: Oxford, UK, 2005. [Google Scholar]
- He, L.; Wang, D.; Xu, M.; Zhang, L.; Ye, F.; Wu, M.; Zhang, L.; Wang, D.; Pan, X.; Ren, X. Large electrostrain with nearly-vanished hysteresis in eco-friendly perovskites by building coexistent glasses near quadruple point. Nano Energy 2021, 90, 106519. [Google Scholar] [CrossRef]









Disclaimer/Publisher’s Note: The statements, opinions and data contained in all publications are solely those of the individual author(s) and contributor(s) and not of MDPI and/or the editor(s). MDPI and/or the editor(s) disclaim responsibility for any injury to people or property resulting from any ideas, methods, instructions or products referred to in the content. |
© 2023 by the authors. Licensee MDPI, Basel, Switzerland. This article is an open access article distributed under the terms and conditions of the Creative Commons Attribution (CC BY) license (https://creativecommons.org/licenses/by/4.0/).
Share and Cite
Zhao, C.; Feng, H.; Huang, Y.; Wu, X.; Gao, M.; Lin, T.; Lin, C. Evolution Characteristics of Electric Field-Related Properties in Polymorphic Piezoceramics with Temperature-Impelled Phase Transition. Crystals 2023, 13, 1324. https://doi.org/10.3390/cryst13091324
Zhao C, Feng H, Huang Y, Wu X, Gao M, Lin T, Lin C. Evolution Characteristics of Electric Field-Related Properties in Polymorphic Piezoceramics with Temperature-Impelled Phase Transition. Crystals. 2023; 13(9):1324. https://doi.org/10.3390/cryst13091324
Chicago/Turabian StyleZhao, Chunlin, Haopeng Feng, Yanli Huang, Xiao Wu, Min Gao, Tengfei Lin, and Cong Lin. 2023. "Evolution Characteristics of Electric Field-Related Properties in Polymorphic Piezoceramics with Temperature-Impelled Phase Transition" Crystals 13, no. 9: 1324. https://doi.org/10.3390/cryst13091324
APA StyleZhao, C., Feng, H., Huang, Y., Wu, X., Gao, M., Lin, T., & Lin, C. (2023). Evolution Characteristics of Electric Field-Related Properties in Polymorphic Piezoceramics with Temperature-Impelled Phase Transition. Crystals, 13(9), 1324. https://doi.org/10.3390/cryst13091324

