Characteristics and Evolution of Tectonic Fractures in the Jurassic Lianggaoshan Formation Shale in the Northeast Sichuan Basin
Abstract
:1. Introduction
2. Geological Setting
3. Samples and Experiments
3.1. Sample Source
3.2. Experimental Analyses
4. Results
4.1. Developmental Properties of Tectonic Fractures
4.1.1. Fracture Types
4.1.2. Fracture Characterization
4.2. Fracture Formation Stages
4.2.1. Fracture Intersection Relationship and Strike Analysis
4.2.2. Fluid Inclusion Analysis
4.2.3. Stable Carbon and Oxygen Isotope Analysis
4.2.4. Acoustic Emission Analysis
5. Discussion
5.1. Factors Controlling Fracture Development
5.1.1. Structural Factors
5.1.2. Nonstructural Factors
5.2. Matching the Development Stages of Tectonic Fractures with the Tectonic Evolutionary History
5.3. Effect of Fractures on Hydrocarbon Accumulation or Production
5.4. Research Prospects
6. Conclusions
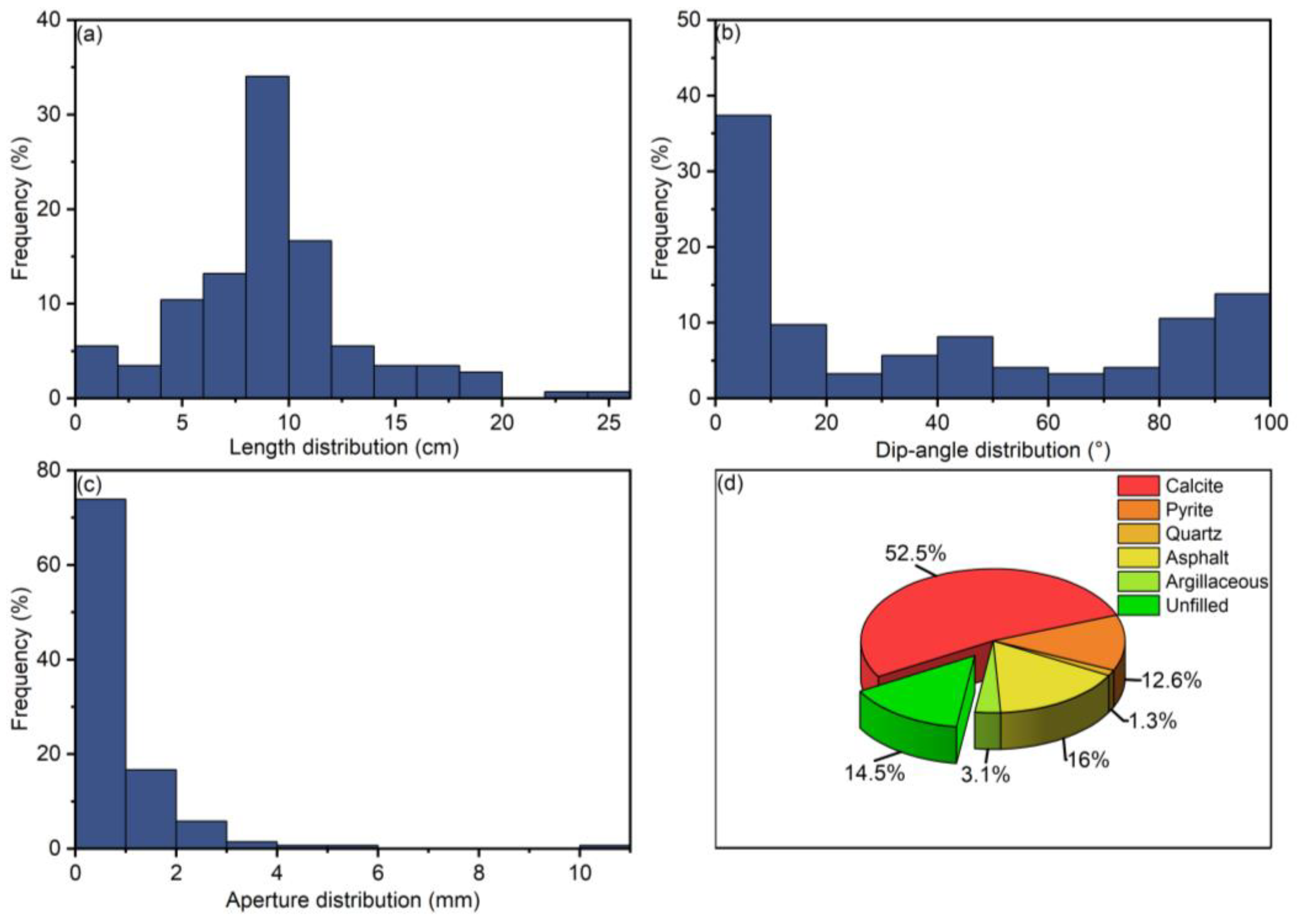
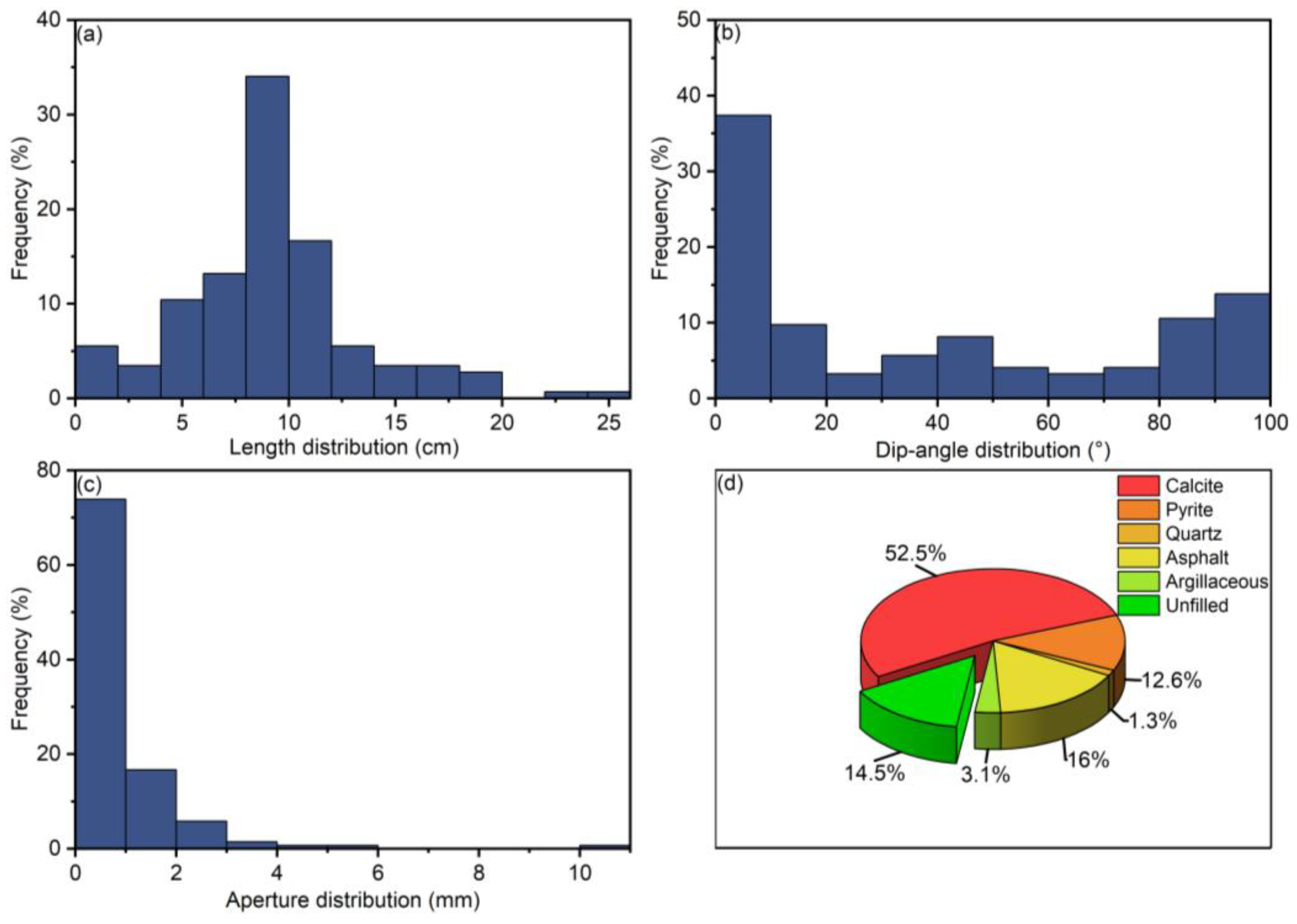
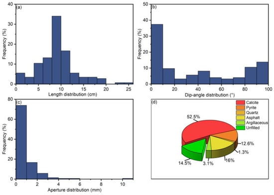
- Three types of tectonic fractures were developed in the Lianggaoshan Formation in the northeastern Sichuan Basin: shear fractures, tensile fractures, and slip fractures. The tectonic fractures were mainly angular interlayer slip fractures. Fractures were filled by calcite, asphalt, pyrite, argillite, and quartz, and only 14.5% were not filled.
- The fractures of the Lianggaoshan Formation were mainly affected by the structure, thickness, and mineral composition. The density of fracture growth rapidly decreases as the distance between the fault and the fold core increased, while the fracture density changed steadily over a particular distance. In addition, strike-slip faults had a stronger effect on fractures than thrust faults. With an increase in layer thickness, the density of tensile fractures and shear fractures decreased, while that of interlayer slip fractures was not significantly impacted. Quartz was conducive to the formation of fractures, but the influence of different quartz types on fractures still needs further study.
- The fractures of the Lianggaoshan Formation were generated in three stages during uplift: (1) Late Yanshan–Early Himalayan tectonic movement (72~55 Ma), wherein WNW-NNW conjugate shear fractures were generated, the normalized temperatures of filler-captured fluid inclusions were 110~140 °C, and the depths of the Lianggaoshan Formation in this stage were 4223~4882 m; (2) Middle Himalayan tectonic movement (48~32 Ma), wherein ENE-NNE conjugate shear fractures were generated, the normalized temperatures of filler-captured fluid inclusions were 80~105 °C, and the depths of the Lianggaoshan Formation in this stage were 2784~3512 m; (3) Late Himalayan tectonic movement (15 Ma~4 Ma), wherein a set of NW shear fractures were generated alone, the normalized temperature of filler-captured fluid inclusions were 55~70 °C, and the depths of the Lianggaoshan Formation in this stage were 1584~2320 m.
- The existence of fractures greatly improved the oil and gas storage capacity and increased the contents of free and total hydrocarbons. At the same time, they also reduced the rock strength and further reduce the breakdown pressure of the strata.
Author Contributions
Funding
Data Availability Statement
Conflicts of Interest
References
- Hu, D.; Wei, Z.; Liu, R.; Wei, X.; Liu, Z.; Cheng, F. Major breakthrough of shale oil and gas in Well Taiye 1 in Bashansi Syncline in the Sichuan Basin and its significance. China Pet. Explor. 2021, 26, 21–32. [Google Scholar]
- He, W.; He, H.; Wang, Y.; Cui, B.; Meng, Q.; Guo, X.; Bai, X.; Wang, Y. Major breakthrough and signifcance of shale oil of the Jurassic Lianggaoshan Formation in Well Ping’an 1 in northeastern Sichuan Basin. China Pet. Explor. 2022, 27, 40–49. [Google Scholar]
- Ding, W.; Li, C.; Li, C.; Xu, C.; Jiu, K.; Zeng, W. Dominant factor of fracture development in shale and its relationship to gas accumulation. Earth Sci. Front. 2012, 19, 212–220. [Google Scholar]
- Gale, J.F.W.; Reed, R.M.; Holder, J. Natural Fractures in the Barnett Shale and their Importance for Hydraulic Fracture Treatments. AAPG Bull. 2007, 91, 603–622. [Google Scholar] [CrossRef]
- Bowker, K.A. Barnett Shale Gas Production, Fort Worth Basin: Issues and Discussion. AAPG Bull. 2007, 91, 523–533. [Google Scholar] [CrossRef]
- Engelder, T.; Lash, G.G.; Uzcátegui, R.S. Joint Sets that Enhance Production from Middle and Upper Devonian Gas Shales of the Appalachian Basin. AAPG Bull. 2009, 93, 857–889. [Google Scholar] [CrossRef]
- Gale, J.F.W.; Laubach, S.E.; Olson, J.E.; Eichhuble, P.; Fall, A. Natural Fractures in Shale: A Review and New Observations. AAPG Bull. 2014, 98, 2165–2216. [Google Scholar] [CrossRef]
- Wang, R.; Ding, W.; Zhang, Y.; Wang, Z.; Wang, X.; He, J.; Zeng, W.; Dai, P. Analysis of Developmental Characteristics and Dominant Factors of Fractures in Lower Cambrian Marine Shale Reservoirs: A Case Study of Niutitang Formation in Cen’Gong Block, Southern China. J. Petrol. Sci. Eng. 2016, 138, 31–49. [Google Scholar] [CrossRef]
- Wang, X.; Ding, W.; Cui, L.; Wang, R.; He, J.; Li, A.; Gu, Y.; Liu, J.; Xiao, Z.; Fu, F. The Developmental Characteristics of Natural Fractures and their Significance for Reservoirs in the Cambrian Niutitang Marine Shale of the Sangzhi Block, Southern China. J. Petrol. Sci. Eng. 2018, 165, 831–841. [Google Scholar] [CrossRef]
- Zhang, X.; Wang, R.; Shi, W.; Hu, Q.; Xu, X.; Shu, Z.; Yang, Y.; Feng, Q. Structure- and Lithofacies-Controlled Natural Fracture Developments in Shale: Implications for Shale Gas Accumulation in the Wufeng-Longmaxi Formations, Fuling Field, Sichuan Basin, China. Geoenergy Sci. Eng. 2023, 223, 211572. [Google Scholar] [CrossRef]
- Mcginnis, R.N.; Ferrill, D.A.; Morris, A.P.; Smart, K.J. Mechanical stratigraphic controls on natural fracture spacing and penetration. J. Struct. Geol. 2017, 95, 160–170. [Google Scholar] [CrossRef]
- Zhao, G.; Jin, Z.; Ding, W.; Liu, G.; Yun, J.; Wang, R.; Wang, G. Developmental Characteristics and Formational Stages of Natural Fractures in the Wufeng—Longmaxi Formation in the Sangzhi Block, Hunan Province, China: Insights from Fracture Cements and Fluid Inclusions Studies. J. Petrol. Sci. Eng. 2022, 208, 109407. [Google Scholar] [CrossRef]
- Fu, X.; Gong, L.; Su, X.; Liu, B.; Gao, S.; Yang, J.; Qom, X. Characteristics and Controlling Factors of Natural Fractures in Continental Tight-Oil Shale Reservoir. Minerals 2022, 12, 1616. [Google Scholar] [CrossRef]
- Vega, B.; Kovscek, A.R. Fractal Characterization of Multimodal, Multiscale Images of Shale Rock Fracture Networks. Energies 2022, 15, 1012. [Google Scholar] [CrossRef]
- Wu, W.; Yang, S.; Aguilera, R.; Chen, Z.; Aguilera, R.F. Characterization methods for natural fractures distribution in shale and tight reservoirs. Int. J. Coal Geol. 2023, 273, 104252. [Google Scholar] [CrossRef]
- Ding, W.; Zhu, D.; Cai, J.; Gong, M.; Chen, F. Analysis of the Developmental Characteristics and Major Regulating Factors of Fractures in Marine–Continental Transitional Shale-Gas Reservoirs: A Case Study of the Carboniferous–Permian Strata in the Southeastern Ordos Basin, Central China. Mar. Petrol. Geol. 2013, 45, 121–133. [Google Scholar] [CrossRef]
- Hu, X.; Deng, H.; He, J.; Shen, Z.; Peng, X. Complex genesis of multiperiod fractures in the Middle Triassic Leikoupo Formation in the Pengzhou gas field, western Sichuan Basin. China Petrol. Sci. 2023, 20, 161–176. [Google Scholar] [CrossRef]
- Ju, W.; Wang, J.; Fang, H.; Sun, W. Paleotectonic stress field modeling and prediction of natural fractures in the Lower Silurian Longmaxi shale reservoirs, Nanchuan region, South China. Mar. Petrol. Geol. 2019, 100, 20–30. [Google Scholar] [CrossRef]
- Wang, L.; Chen, W.; Tan, X.; Tan, X.; Yang, J.; Yang, D.; Zhang, X. Numerical investigation on the stability of deforming fractured rocks using discrete fracture networks: A case study of underground excavation. Bull. Eng. Geol. Environ. 2020, 79, 133–151. [Google Scholar] [CrossRef]
- Wang, L.; Golfier, F.; Tinet, A.; Chen, W.; Vuik, C. An efficient adaptive implicit scheme with equivalent continuum approach for two-phase flow in fractured vuggy porous media. Adv. Water Resour. 2022, 163, 104186. [Google Scholar] [CrossRef]
- Kolawole, O.; Ispas, I. How Hydraulic Fractures Interact with Natural Fractures: A Review and New Observations. In Proceedings of the 53rd U.S. Rock Mechanics/Geomechanics Symposium, New York, NY, USA, 23–26 June 2019. [Google Scholar]
- Sui, Q.; Chen, W.; Wang, L. Investigation of Nonlinear Flow in Discrete Fracture Networks Using an Improved Hydro-Mechanical Coupling Model. Appl. Sci. 2022, 12, 3027. [Google Scholar] [CrossRef]
- Jiang, L.; Wang, Q.; Wang, X.; Jiang, C.; Zhang, L.; Xue, Z.; Chu, Y. Joint development and paleostress field in Mesozoic strata of the southeastern Ordos Basin. Acta Petrologica Sin. 2013, 29, 1774–1790. [Google Scholar]
- Ghosh, S.; Galvis-Portilla, H.A.; Klockow, C.M.; Slatt, R.M. An Application of Outcrop Analogues to Understanding the Origin and Abundance of Natural Fractures in the Woodford Shale. J. Petrol. Sci. Eng. 2018, 164, 623–639. [Google Scholar] [CrossRef]
- Luo, T.; Guo, X.; Shu, Z.; Bao, H.; He, S.; Qin, Z.; Xiao, Z. Fluid source and formation time of fracture veins of Wufeng Formation and Longmaxi Formation in the south of Jiaoshiba area, Sichuan Basin. Acta. Pet. Sin. 2021, 42, 611–622. [Google Scholar]
- Wang, M.; Chen, Y.; Bain, W.M.; Song, G.; Liu, K.; Zhou, Z.; Steele-Macinnis, M. Direct Evidence for Fluid Overpressure During Hydrocarbon Generation and Expulsion from Organic-Rich Shales. Geology 2020, 48, 374–378. [Google Scholar] [CrossRef]
- Chen, S.; Liu, J. Research progress and prospects of the stages, genesis and fluid evolution of Microfracture veins in petroliferous basins. Bull. Geol. Sci. Technol. 2021, 40, 81–92. [Google Scholar]
- Guo, J.; Ren, J.; Wan, S.; Chen, C.; Lai, J.; Gou, B. Comprehensive study of fracture flow characteristic feasibility of hybrid volume stimulation technique in tight fractured carbonate gas reservoir. J. Petrol. Sci. Eng. 2019, 174, 362–373. [Google Scholar] [CrossRef]
- Kong, X.; Zeng, J.; Tan, X.; Ding, K.; Luo, Q.; Wang, Q.; Wen, M.; Wang, X.; Wang, M. Natural Tectonic Fractures and their Formation Stages in Tight Reservoirs of Permian Lucaogou Formation, Jimsar Sag, Southern Junggar Basin, NW China. Mar. Petrol. Geol. 2021, 133, 105269. [Google Scholar] [CrossRef]
- Fan, C.; Li, H.; Zhao, S.; Qin, Q.; Fan, Y.; Wu, J.; Zhang, J. Formation Stages and Evolution Patterns of Tectonic fractures in Marine Shale: Case Study of the Lower Silurian Longmaxi Formation in the Changning Area of the Southern Sichuan Basin, China. Energy Fuels 2020, 34, 9524–9539. [Google Scholar] [CrossRef]
- Cheng, G.; Jiang, B.; Li, M.; Li, F.; Zhu, M. Structural Evolution of Southern Sichuan Basin (South China) and its Control Effects on Tectonic Fracture Distribution in Longmaxi Shale. J. Struct. Geol. 2021, 153, 104465. [Google Scholar] [CrossRef]
- Li, J.; Li, H.; Xu, J.; Wu, Y.; Gao, Z. Effects of Fracture Formation Stage on Shale Gas Preservation Conditions and Enrichment in Complex Structural Areas in the Southern Sichuan Basin, China. Front. Earth Sci. 2022, 10, 1–17. [Google Scholar] [CrossRef]
- Weil, A.B.; Yonkee, W.A. Layer-parallel shortening across the Sevier fold thrust belt and Laramide foreland of Wyoming: Spatial and temporal evolution of a complex geodynamic system. Earth Planet Sci. Lett. 2012, 357, 405–420. [Google Scholar] [CrossRef]
- Deng, H.; Liu, Y.; Peng, X.; Liu, Y.; Li, A.H. A new index used to characterize the near wellbore fracture network in naturally fractured gas reservoirs. J. Nat. Gas Sci. Eng. 2018, 55, 52–63. [Google Scholar] [CrossRef]
- Aghli, G.; Moussavi-Harami, R.; Tokhmechi, B. Integration of sonic and resistivity conventional logs for identification of fracture parameters in the carbonate reservoirs (A case study, Carbonate Asmari Formation, Zagros Basin, SW Iran). J. Petrol. Sci. Eng. 2020, 186, 106728. [Google Scholar] [CrossRef]
- Cheng, D.; Zhang, Z.; Hong, H.; Zhang, S.; Qin, C.; Yuan, X.; Zhang, B.; Zhou, C.; Deng, Q. Sequence structure, sedimentary evolution and their controlling factors of the Jurassic Lianggaoshan Formation in the East Sichuan Basin, SW China. Pet. Explor. Dev. 2023, 50, 262–272. [Google Scholar] [CrossRef]
- Guo, X.; Hu, D.; Li, Y.; Wei, X.; Liu, R.; Liu, Z.; Yan, J.; Wang, Q. Analyses and thoughts on accumulation mechanisms of marine and lacustrine shale gas:Acase study in shales of Longmaxi Formation and Daanzhai Section of Ziliujing Formation in Sichuan Basin. Earth Sci. Front. 2016, 23, 18–28. [Google Scholar]
- Sun, X.; Hou, G.; Yu, X.; Wei, H.; Mo, T.; Zhou, L.; Xie, Y.; Luo, H. Model for the Fracture Development of the Sand with Low-permeability in the Foreland Faulted Fold Belt. Geotecton. Metallog. 2015, 39, 808–815. [Google Scholar]
- Zhu, X.; Zhang, Q.; Hou, G. The Controlling Factor Study of Development of Carbonatic Rock Fractures in the Kelpin-Bachu Area, Xinjiang and Its Petroleum Exploration significance. Acta Geol. Sin. 2017, 91, 1181–1191. [Google Scholar]
- Zeng, W.; Zhang, J.; Ding, W.; Zhao, S.; Zhang, Y.; Liu, Z.; Jiu, K. Fracture Development in Paleozoic Shale of Chongqing Area (South China). Part One: Fracture Characteristics and Comparative Analysis of Main Controlling Factors. J. Asian Earth Sci. 2013, 75, 251–266. [Google Scholar] [CrossRef]
- Hancock, P.L.; Leitch, E.C.; Shepherd, J. Brittle microtectonics: Principles and practice. J. Struct. Geol. 1985, 7, 437–457. [Google Scholar] [CrossRef]
- Li, Y.; Deng, H.; He, J.; Ma, R. Reconstruction of paleo stress field after the depositional period of Leikoupo Formation in Pengzhoua rea, western Sichuan and its oil and gas geological significance. Acta. Geo. Sin. 2022, 96, 1–7. [Google Scholar]
- Fritz, P.; Smith, D.G.W. The Isotopic Composition of Secondary Dolomites. Geochim. Cosmochim. Acta 1970, 34, 1161–1173. [Google Scholar] [CrossRef]
- Liu, Z.; Qiu, H.; Jiang, Z.; Liu, R.; Wei, X.; Chen, F.; Wei, F.; Wang, D.; Su, Z.; Yang, Z. Types and Quantitative Characterization of Microfractures in the Continental Shale of the Da’anzhai Member of the Ziliujing Formation in Northeast Sichuan, China. Minerals 2021, 11, 870. [Google Scholar] [CrossRef]
- Zeng, L.; Ma, S.; Tian, H.; Xue, M.; Liu, G.; Lv, W. Research progress of natural fractures in organic rich shale. Earth Sci. 2022, 48, 1–15. [Google Scholar]
- Wang, X.; Wang, R.; Ding, W.; Yin, S.; Sun, Y.; Zhou, X.; Li, Q. Development Characteristics and Dominant Factors of Fractures and their Significance for Shale Reservoirs: A Case Study from Є1b2 in the Cen’gong Block, Southern China. J. Petrol. Sci. Eng. 2017, 159, 988–999. [Google Scholar] [CrossRef]
- He, J.; Li, Y.; Deng, H.; Tang, J.; Wang, Y. Quantitative evaluation and influencing factors analysis of the brittleness of deep shale reservoir based on multiple rock mechanics experiments. Nat. Gas Geosci. 2022, 33, 1103–1116. [Google Scholar]
- Yang, S.; Harris, N.; Dong, T.; Wu, W.; Chen, Z. Natural Fractures and Mechanical Properties in a Horn River Shale Core from Well Logs and Hardness Measurements. SPE Res. Eval. Eng. 2018, 21, 671–682. [Google Scholar] [CrossRef]
- Dong, T.; Harris, N.B.; Ayranci, K.; Yang, S. The impact of rock composition on geomechanical properties of a shale formation: Middle and Upper Devonian Horn River Group shale, Northeast British Columbia, Canada. AAPG Bull. 2017, 101, 177–204. [Google Scholar] [CrossRef]
- Ding, Y.; Shao, Z. An Experimental Research into Determination of Highest Paleotectonic Stress State Experienced by Rock Through Geological Ages. Earth Sci. 2001, 26, 99–104. [Google Scholar]
- Mei, L.; Liu, Z.; Tang, J.; Shen, C.; Fan, Y. Mesozoic Intra-Continental Progressive Deformation in Western Hunan-Hubei Eastern Sichuan Provinces of China: Evidence from Apatite Fission Track and Balanced Cross-Section. Earth Sci. 2010, 35, 161–174. [Google Scholar]
- Tang, Y.; Mei, L.; Xiao, A.; Chen, Y.; Luo, K. Transition of tectonic stress field and hydrocarbon significance of the Late Mesozoic-Cenozoicin Xuanhan-Daxian region, northeastern Sichuan Basin. Acta Pet. Sin. 2013, 34, 59–70. [Google Scholar]
- Fan, C.; Qin, Q.; Li, H.; Han, Y.; Xing, J. Formation stages of tectonic fractures of Xujiahe Formation in the fault-fold belt of central Yuanba area, Sichuan Basin. Acta Pet. Sin. 2017, 38, 1135–1143. [Google Scholar]
- Liu, Y.; Lai, F.; Wang, R.; Wu, Z.; Zhang, X.; Xu, H.; Li, J. Influencing Factors of the Brittleness of Continental Shales Containing Shell Limestone Interlayer. Minerals 2023, 13, 460. [Google Scholar] [CrossRef]


















| Well (Number) | Quartz (%) | Feldspar (%) | Calcite (%) | Dolomite (%) | Pyrite (%) | Clay (%) |
|---|---|---|---|---|---|---|
| PA1 | 22.4–60.1 | 7.2–28.8 | 0.4–13.7 | 1.1–3.2 | 0.9–2.2 | 12.2–52.1 |
| (92) | 44.3 | 12.2 | 4.9 | 1.8 | 1.3 | 34.2 |
| YS5 | 28.9–40.7 | 2–12 | 0–21.9 | 0–2.8 | 0–3.6 | 36.3–58.1 |
| (15) | 33.6 | 6.2 | 10.2 | 0.7 | 2.1 | 47.2 |
| YS1 | 28.4–57.7 | 2.1–21.3 | 0–8.7 | / | 0.7–1.8 | 37.9–62.5 |
| (23) | 36.1 | 9.5 | 3.5 | 1.2 | 48.1 | |
| YS5 | 24.6–58.2 | 0–2.7 | 0–23.8 | 0–2.6 | / | 29.3–48.6 |
| (17) | 42.5 | 1.2 | 17 | 0.7 | 35.3 | |
| YS8 | 25.8–62.3 | 0.2–8.7 | 2.1–27.6 | 0–2.7 | 0–1.3 | 26.8–52.1 |
| (19) | 47.5 | 4.6 | 12.3 | 0.3 | 0.3 | 32.2 |
Disclaimer/Publisher’s Note: The statements, opinions and data contained in all publications are solely those of the individual author(s) and contributor(s) and not of MDPI and/or the editor(s). MDPI and/or the editor(s) disclaim responsibility for any injury to people or property resulting from any ideas, methods, instructions or products referred to in the content. |
© 2023 by the authors. Licensee MDPI, Basel, Switzerland. This article is an open access article distributed under the terms and conditions of the Creative Commons Attribution (CC BY) license (https://creativecommons.org/licenses/by/4.0/).
Share and Cite
Bai, X.; Wang, X.; Wang, Z.; Deng, H.; Li, Y.; Li, A.; Cao, H.; Wang, L.; Zhu, Y.; Lu, S.; et al. Characteristics and Evolution of Tectonic Fractures in the Jurassic Lianggaoshan Formation Shale in the Northeast Sichuan Basin. Minerals 2023, 13, 946. https://doi.org/10.3390/min13070946
Bai X, Wang X, Wang Z, Deng H, Li Y, Li A, Cao H, Wang L, Zhu Y, Lu S, et al. Characteristics and Evolution of Tectonic Fractures in the Jurassic Lianggaoshan Formation Shale in the Northeast Sichuan Basin. Minerals. 2023; 13(7):946. https://doi.org/10.3390/min13070946
Chicago/Turabian StyleBai, Xuefeng, Xiandong Wang, Zhiguo Wang, Hucheng Deng, Yong Li, An Li, Hongxiu Cao, Li Wang, Yanping Zhu, Shuangfang Lu, and et al. 2023. "Characteristics and Evolution of Tectonic Fractures in the Jurassic Lianggaoshan Formation Shale in the Northeast Sichuan Basin" Minerals 13, no. 7: 946. https://doi.org/10.3390/min13070946
APA StyleBai, X., Wang, X., Wang, Z., Deng, H., Li, Y., Li, A., Cao, H., Wang, L., Zhu, Y., Lu, S., Cao, F., & He, J. (2023). Characteristics and Evolution of Tectonic Fractures in the Jurassic Lianggaoshan Formation Shale in the Northeast Sichuan Basin. Minerals, 13(7), 946. https://doi.org/10.3390/min13070946
