Abstract
With the continuous acceleration of China’s urbanization process, color steel plate, as a new type of building material, has been widely used in all kinds of temporary buildings and has become the spatial carrier of the specific development stage of urbanization. This study focuses on Lanzhou City as a case study to deeply analyze the spatiotemporal distribution and evolution of color steel plate buildings. Utilizing data extracted from Google imagery and GF-2 satellite images of the built-up areas in Lanzhou, spatial statistical and analytical methods such as centroid analysis, compactness index, and patch density are applied. Systematic analysis is conducted across different time periods and spatial scales to examine the evolution of indicators, including quantity, centroid distribution, spatial clustering, and distribution direction. The results show that from 2013 to 2021, the prevalence of color steel buildings in Lanzhou city initially increased and then decreased, and the number peaked in 2017, but there is a significant difference between distinct areas in the urban area. By quantitatively analyzing the spatial and temporal evolution characteristics of color steel plate buildings, this study reveals the important role it plays in promoting the urbanization process and provides a scientific basis for relevant planning decisions.
1. Introduction
In recent years, China’s urbanization rate has increased and the scale of construction land has shown explosive growth, while land finance revenue, residents’ income, urban population, transportation costs, and the level of agricultural land rent are all influencing urban expansion [1]. In the context of new urbanization, the current land use, development, and management are facing urgent challenges [2], and geospatial analysis and visualization can be used to understand the land use structure and its changes at different spatial scales, which is critical to unlocking the potential for sustainable land use development [3]. Zhou et al. simulated urban development through multiple scenarios of urban land to reveal the potential problems and conflicts of the future spatial expansion of urban land [4]. Zhang et al. designed a vector model to analyze the spatial structural characteristics of the buildings and portray the characteristics of the urban structure and the changing law of the city of Beijing [5]. Lu et al. used nighttime remote sensing light images to identify and analyze urban spatial structure and evolution characteristics [6]. Zhou et al. used slope data and multi-period land cover data to reveal the evolution of vertical spatial-temporal patterns of urban sprawl in China from 1990 to 2015 [7]. In the process of urbanization, color steel plate is widely used in public buildings, large-scale factories, and movable board houses [8], and as the main building material, it has been widely distributed in rapidly evolving areas such as urban villages, urban-rural combinations, and industrial parks, leading to large-scale and intensive distribution of small-scale color steel plate buildings in the above-mentioned plots. The data extracted from remote sensing images suggests that the number of color steel plate buildings in the Lanzhou city urban area reached 27,318 buildings in 2017, with a total area of about 15.39 km2. This indicates that color steel plate buildings are an important part of urban space. Since the 20th century, in the process of economic development and urban expansion, major cities in Northwest China have used color steel plate buildings as new spatial carriers, which play an important role in actively promoting the expansion and optimization of the spatial structure of the city and the transformation of functional functions [9].
Research on the spatial distribution pattern and influencing factors of color steel plates has important practical significance for urban planning, land management, environmental monitoring, and other fields. Existing research on color steel plates mainly focuses on spatial analysis using remote sensing data. Yang et al. extracted data on colorful steel buildings from multi-source high-resolution satellite images, classified and integrated color steel plate buildings of different categories and sizes, and studied their spatial distribution and aggregation characteristics using spatial analysis methods [10]. To address the errors and spatial scale limitations in the data, the research direction has shifted towards the study of remote sensing image extraction algorithms. Heiden et al. used hyperspectral data to identify materials on the surface of urban buildings and analyzed them based on grayscale values [11]. Zhang et al. utilized the characteristics of Synthetic Aperture Radar (SAR) to develop a Triplet Network that integrates optical technology and SAR data to optimize the accuracy and performance of traditional semantic segmentation models in extracting color steel buildings [12]. Breakthroughs in algorithm technology have improved the accuracy and quality of research data on color steel plates, providing further possibilities for interdisciplinary fusion. Zhang et al. used the U-Net network to extract data on color steel buildings from satellite images from Google and GF-2, calculated weighted density, landscape indices, and other indicators, and explored the relationship between color steel buildings and urban heat island effects [13,14]. However, existing research focuses on the extraction technology of color steel buildings in remote sensing images, with relatively single and traditional spatial analysis methods, and rarely considers the role of their temporal characteristics in spatial distribution.
Rapid urbanization will produce many social and environmental impacts. In some of the new or under-construction industrial parks, there are large-scale color steel plate buildings, mainly used for factories, logistics warehousing, and so on. However, the existence of these temporary buildings not only affects the cityscape but also poses safety risks such as fire and collapse. Therefore, it is very important to detect its evolving characteristics and analyze its impacts [15]. Based on multi-temporal data from 2013 to 2021, this study employs various spatiotemporal analysis methods to focus on the spatiotemporal evolution characteristics and patterns of the color steel building clusters in Lanzhou City, including overall features, centroid deviations, and clustering degrees. Starting from the perspective of spatiotemporal integration, this research provides new insights into the spatial pattern research of color steel plates under the background of urbanization, thereby extending to provide scientific support and decision-making for the construction planning of sustainable development cities.
This study is divided into a total of six sections, and Section 2 describes the research status of the color steel plate building group. Section 3 of the research area, data, and specific research methods used. Section 4 carries out experimental analysis to get the evolution results of different spatial analysis methods in the Lanzhou color steel plate building group. Section 5 discusses the comprehensive results for color steel plates and compares and analyzes them with previous studies, as well as points out the shortcomings of this study and future research directions. Section 6 summarizes the specific findings of the article.
2. Related Work
Nowadays, the status quo of color steel building complexity has attracted the attention of many scholars, and its spatial logic analysis, spatiotemporal characteristics, spatiotemporal evolution, coating aging, and fire risk analysis are the focus of attention. However, the existing studies mainly focus on urban land use, urban expansion, industrial economy, environmental pollution, urban-rural differences, and other issues [16,17]. Research on the spatiotemporal evolution and distribution patterns of color steel plate buildings is still relatively scarce in terms of theoretical and methodological frameworks. This study combines GIS spatial analysis technology and spatial theory methods to study the spatial coupling relationship of color steel plate buildings and also analyzes the spatiotemporal evolution of color steel plate buildings in urban areas of Lanzhou City.
2.1. Study on the Spatiotemporal Evolution Rules and Characteristics of Typical Geographic Entities
Geographic entities are independent natural or artificial features in the real world with spatial location and common attributes [18,19], which may be objective houses and vegetation or political districts and contour lines abstracted by human beings. Geographic entities can act as a natural bridge between geographic information and various thematic information, enabling the integration and sharing of information. The data model based on geographic entities has many advantages. First, geographic entities as cognitive units are more in line with the cognitive habits of the general public and are easy to understand and use by non-specialists; second, geographic entities can provide a basis for linking geographic information and other thematic data; and third, they provide a reliable way to realize entity-level data updates [20]. Geographic entity data adopts the entity-oriented modeling method, with geometric elements as the basic unit of spatial data expression and classification hierarchical organization [21]. The conceptual model of geographic entity data is shown in Figure 1, which consists of an entity layer and an element layer. The element layer is the constituent unit of geographic entities, expressed as points, lines, surfaces, and bodies, which represent single, connected, and homogeneous geometric objects in the space, and these points, lines, surfaces, and bodies are uniquely identified by the element identification code. The entity layer consists of one or more graphic elements, usually expressed by geometric complexes but can also be expressed by geometric primitives identified by entity codes [22,23].
Figure 1.
Geographical entity concept model.
Geographic entity data is the foundation and bridge of the geographic information platform. The production of map data is built based on basic geographic information data, firstly forming geographic entity data; then adding social and economic information based on geographic entity data to form governmental electronic map data; adding comprehensive social information based on governmental electronic map data and forming public electronic map data after encrypted processing [8]. With the in-depth development of smart city construction based on geographic entity location information integration of natural resources, transportation, environmental protection, emergency disaster mitigation, population, economic and credit information, and other multi-sectoral data to build urban management, big data has become an inevitable trend in the development of the current smart city [24]. The extension of information from the natural attributes of houses to their social attributes realizes the specialized needs of different departments while ensuring that the basic results meet relevant technical standards of the surveying and mapping industry. This can provide refined and accurate geographic information and location services for smart city construction, with extensive applications in areas such as comprehensive renovation of residential communities, finding illegal houses, and de-scaling urban development [25].
2.2. Spatial and Temporal Evolution Law and Characteristics of Color Steel Plate Building Group
Rapid and disorderly urban growth has triggered urban expansion and irreversible land cover changes. Medium-sized cities, in particular, have become increasingly important in achieving sustainable urban development and have become the focus of research and policymaking. However, there is a clear gap in assessing urban sprawl in these cities [26]. To address this challenge, the United Nations established 17 Sustainable Development Goals (SDGs) in 2015, with a particular emphasis on the goal of achieving sustainable cities and communities. The achievement of this goal requires researchers to be able to visualize and analyze the status and trends of SDG indicators [27]. In this regard, Wang et al. developed a geospatial big data analysis engine based on SuperMap iObject for Java and Apache Spark [28]. And based on this, they proposed an innovative solution: a spatiotemporal big data visualization framework that integrates open-source map libraries, visualization libraries, and modern web development techniques and utilizes Spark Streaming for real-time data processing. Meanwhile, they mapped the results in real-time to DataFlowLayer, which supports high-performance geospatial big data analytics by using GIScript (https://github.com/skyswind/GIScript?tab=readme-ov-file, accessed on 25 May 2024) and iDesktop Cross (https://supermap-idesktop.github.io/SuperMap-iDesktop-Cross/, accessed on 25 May 2024) to support high-performance spatial and temporal big data spatial analysis for more accurate assessment and planning of urban development [29].
Among the many areas of sustainable urban development, the study of spatial differences in housing conditions is of particular importance. Housing is not only a fundamental issue in determining the sustainable development of cities and regions, but it is also crucial for understanding how housing conditions affect the economic and social dimensions [30]. Peter et al. assessed the spatial constraints associated with inner-city residential construction by creating an Index of Residential Development (IoRD), which can help policymakers identify spatial development targets for further planning [31]. Meanwhile, a study by Osman et al. revealed how the urban characteristics of unplanned settlements can affect sustainable development, especially in regions such as Egypt [30]. In addition, Bai et al. used a multi-level fuzzy integrated evaluation method to construct community sustainable development evaluation indicators from a micro perspective, which provided a quantitative tool for community development [32]. And de Siqueira et al. provided another perspective by evaluating the relationship between urban development actions and sustainability based on the LEED-ND indicator system [33].
Detection of temporary color steel buildings and their spatial and temporal patterns and characterization are important for many developing cities, and areas with dense distributions of color steel buildings are usually problematic with high population densities and high levels of sustainability and risk [34]. Therefore, in the context of exploring sustainable urban development, color steel buildings also serve as an important measure of sustainable urban development, which is distributed in large quantities in large and medium-sized cities and are widely used in buildings such as factories, warehouses, workshops, and private houses due to its advantages of low price and convenient installation [35], etc. Therefore, the study of the spatial and temporal distribution pattern of the urban color steel building complex is important for understanding the city’s operating conditions, solving urban problems, and promoting sustainable urban development. Hou et al. proposed a new benchmark dataset for retrieving color steel sheds from Google Earth images with a total number of 2407 remote sensing images [36]. Samat et al. used Sentinel-2A/B MSIL2A imagery to map blue and red color steel buildings across China [37]. Hong et al. utilized remote sensing imagery and instrumental experiments to analyze the influencing factors of the reflectance of color steel plates and to investigate their spectral characteristics, providing technical support for information extraction [38]. Sun et al. used CNN-based blue steel roof information extraction and Gaofen-2 imagery to analyze the distribution of colored steel buildings [39]. Dong et al., considering the safety hazards posed by lightweight and heavy floating objects in railway operation environments, innovatively combined a large model to propose a dual-branch semantic segmentation network for extracting color steel building structures [40]. This aims to mitigate safety incidents caused by heavy floating objects resulting from color steel building structures. Most of the existing research’s attention to the color steel plate building clusters in the city focuses on fire spacing [41,42], fire characteristics [43], fire rescue countermeasures, and the illegal remediation of color steel plate buildings in the urban area, etc. And there are fewer studies on the extraction of its spatial elements, spatial distribution characteristics, etc., especially in urban industrial parks, where the large-volume color steel plate buildings are clustered and are paid less attention to. Industrial parks appeared at the end of the 19th century to carry industries and promote industrial agglomeration, and in the long course of development, the function of industrial parks has gradually changed from single to diversified. Due to the slow development of industry in Northwest China, the construction of industrial parks is also relatively simple. Color steel plate construction is low-cost and can realize large-span architecture, so it exists in a large number of industrial parks in the city. Based on Google Earth image data, Gao et al. analyzed the coupling relationship between industrial parks and color steel plate building clusters in Yinchuan City and found that the core density area of color steel plate building clusters overlapped with national and provincial industrial parks [44]. Li et al. extracted data on color steel building clusters from Google Earth imagery and combined various spatiotemporal analysis methods to investigate the spatiotemporal distribution patterns and evolutionary trends of industrial parks in Xining City [45]. Industrial parks, transportation networks, and land use are the main factors affecting the spatial distribution of color steel plate building clusters. In the key cities of Northwest China, there is a certain overlap between the color plate building clusters and industrial parks, and the study of the spatial and temporal distribution characteristics of the color plate building clusters is of great significance to the study of industrial parks in Northwest China and the analysis of the urbanization process [46].
Li et al. investigated the spatial distribution characteristics of small color steel buildings and large color steel buildings by kernel density analysis, average nearest neighbor, and standard deviation ellipse correlation methods for Anning District, Lanzhou City, respectively [47]. Ma and others selected color steel buildings in the Anning District of Lanzhou City as the research object and studied color steel buildings in terms of temporal and spatial changes, stability, degree of fragmentation, and aggregation characteristics, concluding that the distribution characteristics of color steel buildings in the region are significant [48]. One of the main directions of current research is to deconstruct the geographical distribution of color steel buildings using remote sensing imagery data. Another important direction of research involves developing new methods and integrating various data sources to characterize aspects such as urban spatial morphology and development level related to color steel buildings. Zhang et al. used satellite imagery to dynamically monitor color steel buildings, revealing the spatial morphology and development level of the Munyaka Region in Kenya [49]. Wang et al. through the analysis of the spatial layout and agglomeration characteristics of color steel plate houses in urban areas, drew the connection between large and small color steel plate houses and the spatial structure of other cities and pointed out that large and small color steel plate houses are mostly located in industrial districts and that small color steel plate houses are mostly found in urban villages and urban-rural junctions [50]. Gao et al. selected the concentrated areas of color steel buildings in urban villages and industrial parks, carried out the determination of area and spacing, and registered the corresponding use [51]. The extensive spatial analysis research on color steel buildings provides scientific support for sustainable urban development.
As shown in Figure 2, we have outlined the current state of research on color steel plates. This research is driven by the trend of urbanization and the context of the Sustainable Development Goals (SDGs). The types of research on sustainable cities are diverse, encompassing urban infrastructure, urban buildings, urban greening, and more. Color steel buildings fall under the category of urban buildings in sustainable cities. Research on color steel buildings is based on foundational studies of base materials and chemical coatings, such as coatings research, and extends to geographic applications like remote sensing extraction and spatiotemporal analysis. However, these related studies mainly rely on government work reports, statistical bulletins, statistical yearbooks, and other statistical data for analysis, with large human influence factors and periodicity and timeliness limitations, making it impossible to conduct dynamic and continuous monitoring. There is a lack of intuitive and dynamic data that can effectively map the temporal and spatial changes of the color steel plate building complex, and the study of the spatial and temporal evolution law is insufficient.
Figure 2.
Current research status of color steel building construction.
3. Materials and Methods
3.1. Study Area
Lanzhou is located in the geometric center of China’s land map, is the central city within the Yellow River Basin, and is one of the typical mountainous cities in northwest China. Lanzhou has a mesothermal continental climate, with an average annual precipitation of 324 mm, an average annual evaporation of 1676 mm, and a dryness index of 5.17. The general topography is high in the northwest and low in the southeast, with an elevation of 1418~3677 m. The geomorphological landscapes are complex and varied, and the main green spaces are dominated by meadows, croplands, and shrublands. The Yellow River passes through the city from southwest to northeast, dividing the two mountains, creating a river-valley-type city form with an east-west length of about 35 km and a north-south width of 2~8 km, which leads to the tightness of urban construction land. It is a typical mountainous city in Northwest China, with drought and little rain, scarce construction land, a large population, and great development pressure. It is subject to the double pressure of urban construction expansion and protection of the ecological environment, and this phenomenon is concentrated in the development and construction of the city center area.
In 2013, there were 20,497 color steel plate buildings in Lanzhou City, with a building area of 11.71 km2. Despite a decreasing trend in the city’s urban and suburban areas due to the ongoing transformation of shantytowns and comprehensive improvement of the urban environment, large steel sheet buildings in industrial parks have steadily increased. In 2021, Lanzhou had 26,425 steel sheet buildings covering an area of 14.72 km2. The studied urban area of Lanzhou includes the following districts: Chengguan, Qilihe, Anning, Xigu, and Honggu, with a total area of approximately 1640.37 km2. The research area is depicted in Figure 3.
Figure 3.
The administrative boundary scope of Lanzhou city.
This study obtained spatiotemporal data on Lanzhou’s steel sheet buildings from 2013 to 2021. The 2013 steel sheet building data were extracted from Google Imagery using manual vectorization. From 2014 onwards, steel sheet building data were derived from GF-2 satellite imagery using a neural network model for extraction.
3.2. Research Methods
3.2.1. Distribution and Transfer of Center of Gravity
The spatial centroid represents the geographical center of a set of spatial elements and can assist in determining the clustering location of steel structure buildings [52]. Through the transfer distance and direction of the centroid [53,54], the expansion trend of urban steel structure buildings can be inferred [55]. Simultaneously, this study takes into account the varying areas of steel structure buildings, using the area attribute as the weight value for calculating the centroid. The formulas for the weighted average gravity center [56,57], transfer distance (D), and transfer angle (β) of the centroid are as follows:
where represents the area of steel structure building , represents the abscissa of the weighted distribution centroid of steel structure buildings during a certain period, denotes the ordinate of the weighted distribution centroid of steel structure buildings during a certain period, is the offset on the y-axis between adjacent two centroid points, represents the offset on the -axis between two centroid points, represents the spatial centroid transfer distance from time to , and represents the angle between the spatial centroid transfer direction from time to and the north direction.
3.2.2. Standard Deviation Ellipse
To further analyze the spatial distribution orientation of steel structure buildings in Lanzhou City, the standard deviation ellipse method [58] is employed. Through this method, the spatial characteristics of steel structure buildings, including central tendency, dispersion trend, and diffusion direction, are summarized [59]. This method calculates the standard deviation of and coordinates from the average center as the starting point. The formula for calculating the error ellipse is as follows:
where represents the orientation of the error ellipse, indicating the angle measured clockwise from the north direction to obtain the long axis of the error ellipse. and are the deviation values from the weighted average center to steel structure building i. is the weight, representing the fractional value of the steel structure building area in this study. The standard deviations in the and directions are obtained according to the following formulas:
In the standard deviation ellipse, the long semi-axis reflects the direction with a higher degree of dispersion, while the short semi-axis represents the direction with a higher degree of clustering [60]. The greater the difference between the two, the more pronounced the directional tendency of the data.
3.2.3. Compactness Index
To further analyze the spatial distribution orientation of steel structure buildings in Lanzhou City, the standard deviation ellipse method [61] is employed. Through this method, the spatial characteristics of steel structure buildings, including central tendency, dispersion trend, and diffusion direction, are summarized. This method calculates the standard deviation of X and Y coordinates from the average center as the starting point. The formula for calculating the error ellipse is as follows:
The compactness index is a measure of the shape characteristics of a region [62]. There are various methods for calculating urban compactness, and one of the most widely used formulas was proposed by Batty in 2001 [63]. The calculation formula is as follows:
where is the compactness index, with a range of 0 to 1, and its value is positively correlated with the morphological compactness; represents the area (km2) of steel structure buildings during period ; is the perimeter (km) of the boundary outline of steel structure buildings during period .
3.2.4. Patch Density and Landscape Percentage
Landscape percentage refers to the proportion of a specific patch type to the total area of the study region [64]. It is a measurement indicator for landscape composition and patch-type dominance [65]. Patch density (PD) is the number of specific patches per unit area [66,67], which can reflect to some extent the clustering degree of color steel plate buildings [68].
3.2.5. Weighted Kernel Density Analysis
Kernel density analysis is a method used to depict the clustering intensity of features across an entire area by calculating the density of point features around each output raster pixel [69]. The kernel density function effectively reflects the distance decay effect, where the values gradually decrease as the distance from point features increases [70]. In conventional kernel density estimation, the same density distribution is applied to all local regions containing feature points [71]. However, in this study, there is a significant variation in the area of color steel plate buildings in Lanzhou, and different-sized buildings have varying degrees of impact. To enhance the density distribution of larger buildings, a weighted kernel density estimation method is employed [72], with the formula being as follows:
Here, represents the predicted density at point ; is the search radius; is the number of points within the search radius; is the spatial weight of point ; and is the distance between and .
The search radius R has a significant impact on the final results of the kernel density analysis [73]. If the value of is too small, it will result in density estimates distributed within a small range around the central point. This can lead to higher-density areas that appear scattered and lack overall coherence. Conversely, if the value is too large, it may fail to highlight local variations.
3.2.6. The Extreme Point Detection Model
In order to analyze the distribution and clustering areas of color steel plate buildings in Lanzhou more accurately, the method of extracting peak points using a digital elevation model (DEM) was employed to detect extreme points on the kernel density surface [74,75]. The specific approach is as follows: Firstly, through neighborhood statistics, the maximum density surface raster within the specified neighborhood range is obtained; then, utilizing raster calculation [76], the difference between the maximum value surface and the initial raster yields a non-negative value surface, where cells with a value of 0 indicate the locations of extreme points; subsequently, through a reclassification method, cells with a value of 0 are distinguished from those with non-zero values; finally, the cells with a value of 0 are extracted and converted into vector points. Subsequently, using graduated symbols, these extreme points can be visualized and analyzed.
3.2.7. Kappa Coefficient
To quantitatively evaluate the performance of the color steel-clad building boundary extraction model and better demonstrate the strengths and weaknesses of the self-attention mechanism U-net neural network model used in the experiments, the Kappa coefficient is employed to evaluate the extraction results obtained by the model [77]. The formula for the Kappa coefficient is as follows:
where is the total number of columns (total number of classes) in the confusion matrix; is the number of samples correctly classified in the -th row and -th column of the confusion matrix; and are the total number of samples in the -th row and -th column, respectively; is the total number of samples used for accuracy assessment.
3.2.8. FLUS Model
The FLUS model (Future Land Use Simulation Model) integrates human activities, the natural environment, climate change, and other influencing factors to simulate future land use changes and scenarios, providing a basis for land change and management [78]. Color steel plate buildings are a minor classification of land use types, and the FLUS model can be extended to the field of color steel plate building clusters for predictive analysis [79]. The FLUS model is based on a Cellular Automaton (CA) model and an Artificial Neural Network (ANN) algorithm for simulation and prediction. The ANN algorithm can learn and predict change patterns, and ANN includes prediction and pre-training stages. It is composed of an input layer, hidden layers, and an output layer, with the calculation formula as follows:
where represents the suitability probability of land use type on grid at time ; is the weight between the hidden layer and output layer, and represents the signal received from grid at time at the -th hidden layer.
3.3. Work Framework
In this study, as shown in Figure 4, the spatiotemporal data of color steel plate buildings in Lanzhou City are obtained by extracting the information on color steel plate buildings from 2013 to 2021. Due to the launch and operation of the GF-2 satellite since 2014, Google imagery needs to be utilized for 2013 data on color steel buildings to avoid errors and omissions, adopting manual vectorization methods for acquisition. From 2014 onwards, data on color steel buildings are extracted using GF-2 satellite imagery and neural network models. The extracted color steel plate building data were used to analyze the spatial distribution and extension direction of the color steel plate building cluster in Lanzhou City by using the methods of center of gravity distribution and transfer and standard deviation ellipse, to analyze the degree of aggregation of the color steel plate buildings in Lanzhou City based on the index of compactness, the density of patches and the percentage of the landscape, and the characteristics of temporal changes, and to calculate the hotspot areas of the spatial distribution of the color steel plate building groups in Lanzhou City by using the methods of kernel density analysis and extraction of extreme value points.
Figure 4.
Experimental workflow.
4. Results
4.1. Accuracy Analysis of Extraction
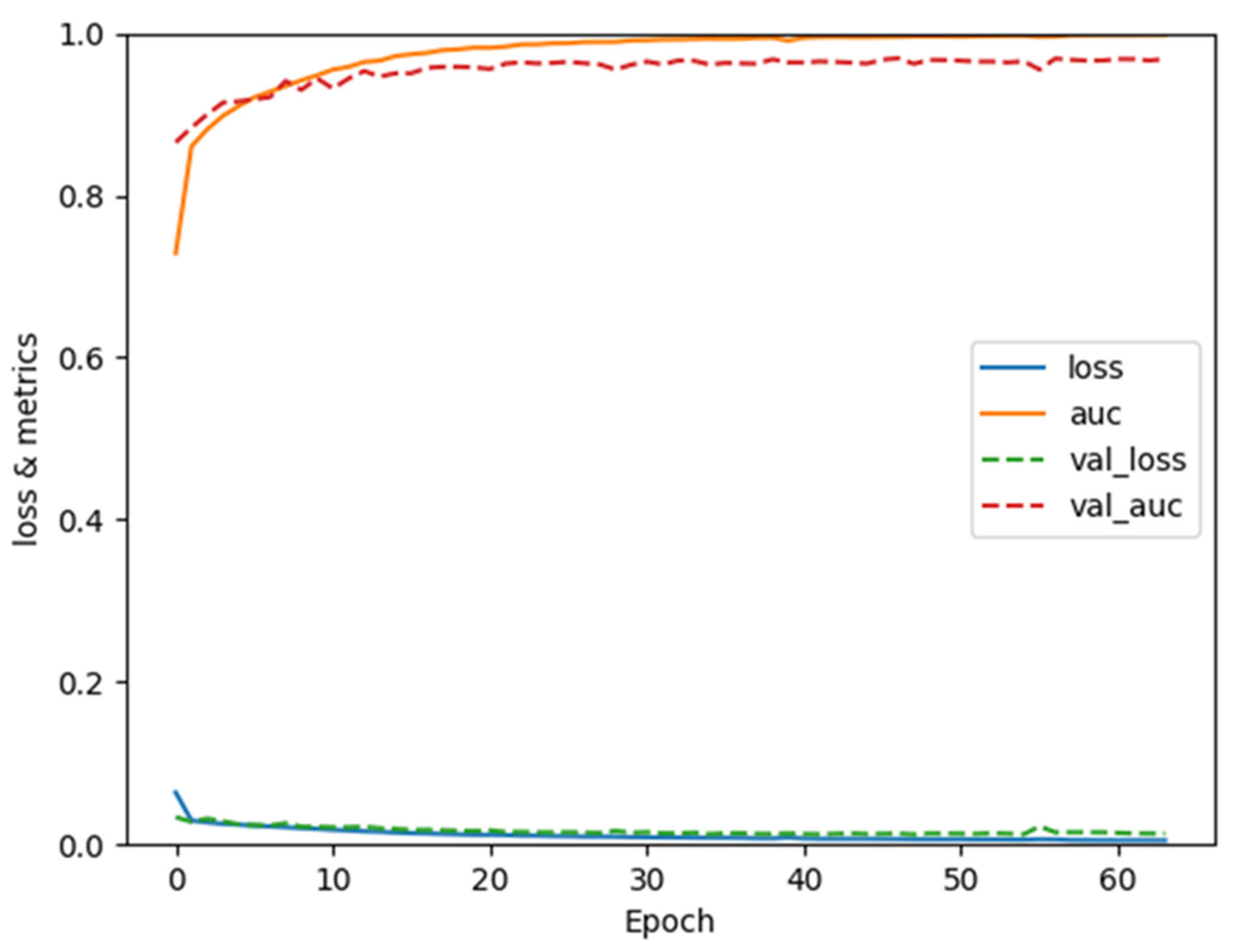
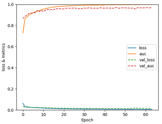
Based on high-resolution satellite imagery from the GF-2 satellite, the boundary information of color steel-clad buildings in the urban area of Lanzhou was extracted using a self-attention mechanism U-Net neural network model. During the model training process, the epoch was set to 64. With the increase in iterations, the accuracy of the self-attention mechanism U-Net neural network model gradually improved and stabilized, and the model converged. Adam optimizer was chosen, and the model was trained using augmented data samples. The performance of the model was evaluated using a confusion matrix. Figure 5 shows the training and testing curves of the self-attention mechanism U-Net neural network model.
Figure 5.
Training and testing curves of the self-attention mechanism U-Net neural network model.
As seen from Table 1, the accuracy indicators of the extraction results for the four colors of color steel-clad buildings based on the self-attention mechanism U-Net neural network model are all above 80%. This demonstrates that using deep learning methods for obtaining remote sensing information of color steel-clad building clusters is feasible and efficient, and it saves a considerable amount of manpower and time costs.
Table 1.
Accuracy of the self-attention mechanism U-Net neural network model in color steel-clad building extraction.
4.2. The Overall Spatiotemporal Distribution Characteristics of Color Steel Plate Buildings
Color steel plate buildings are primarily concentrated in Chengguan District and Qilihe District of Lanzhou City; color steel plate buildings in Honggu District are mainly distributed in stripes along the Beijing-Tibet Expressway and Lanyong Highway. From the point of view of temporal and spatial changes, the number of color steel plate buildings in Lanzhou City has a certain decreasing trend, especially near Cuijia Datan, around Mataan Xincun, and Tumendun Village in Qilihe District, and there is an obvious decrease in Liujiabao Street, Yintan Street, and Kongjiaya Street in Anning District. However, there is a significant increase in the number of color steel plate buildings in the foothills of the northern part of the city. From the scale of each municipal district, the distribution of color steel plate buildings in Qilihe District gradually shows the trend of distribution along the traffic line, especially along Gonghu Highway, Lanhai Highway, and Gonglin Road 3 lines, and this distribution, in space, is mainly dependent on the villages, middle schools, and hospitals; the number of color steel plate buildings in Xigu District has little change in the whole of the period of 2013–2021, and there is a small amount of increase; Honggu District only increases a little in Hualong Street and Mining Street. In addition, far away from the urban area in the suburbs, the color steel plate buildings show sporadic distribution characteristics and are mainly attached to villages and highways without forming a large-scale gathering, as shown in Figure 6.
Figure 6.
The spatiotemporal characteristics of color steel plate buildings.
For the distribution number and area of color steel plate buildings in Lanzhou city as a whole, statistics are carried out. From Table 2, it can be seen that the number of color steel plate buildings in the study area first increases and then decreases, first from 20,497 buildings in 2013 to 27,318 buildings in 2017, an increase of 6821 buildings and an increase in area of 3.68 km2, and then decreases to 26,425 buildings in 2021 and an area of another decrease of 0.67 km2. It shows that after 2017, the government gradually paid attention to the improvement of shantytowns and urban-rural combinations within the urban area and began to gradually clean up the color steel plate buildings.
Table 2.
The number and area of color steel plate buildings in different periods in Lanzhou.
Table 3 shows the number and area distribution of color steel plate buildings in each municipal district of Lanzhou City. First, comparing the number of color steel plate buildings in each area, it is found that the largest number of color steel plate buildings are distributed in Chengguan District and Qilihe District, and from the point of view of the total area, the largest year for the distribution of color steel plate buildings in Chengguan District is 2017, which reaches 4.57 km2. Qilihe District reached the peak of the color steel plate building area in 2016, which is 4.44 km2.
Table 3.
The quantity and area of color steel plate buildings in various urban districts of Lanzhou.
From the long-term trend, the overall trend of color steel plate building area in Chengguan District shows an increase, while the color steel plate building area in Qilihe District increases first and then decreases; from the point of view of the average area, the average area of color steel plate building in Chengguan District is larger than that in Qilihe District. On the whole, Chengguan District is the region with the largest distribution of color steel plate buildings. Anning District is the region with the least number of color steel plate building distribution and the smallest area, and the number of color steel plate buildings in Anning District also shows a decreasing trend, and the total area is also decreasing. The number and area of color steel plate buildings in Xigu and Honggu districts are both have increasing trends, and during 2013–2021, the total area of color steel plate buildings in Honggu district increased by 81.88%, and the total area of color steel plate buildings in Xigu district increased by 50.96%. Also, comparing the number of color steel plate buildings with the average area, the number of color steel plate buildings and the average area of color steel plate buildings in Xigu district are larger than that of the Honggu district in every period. Overall the number and area of color steel plate buildings distributed in Xigu District are larger than those in the Honggu District, but the growth trend of color steel plate buildings in Honggu District is more obvious.
4.3. Characterization of the Shift in the Center of Gravity of the Color Steel Plate Building Group
By calculating the weighted center of gravity of color steel plate buildings in Lanzhou, the shift distance and direction of the center of gravity can be obtained (see Table 4). This analysis allows for an understanding of the spatial development patterns of color steel plate buildings. From 2013 to 2021, the cumulative shift of the center of gravity for color steel plate buildings amounted to 2005.20 m, with an average annual shift of 250.65 m, primarily expanding in the northwest direction. During the period from 2013 to 2014, the center of gravity shift for color steel plate buildings was at its maximum distance. Subsequently, from 2014 to 2016, the shift distance gradually decreased. Between 2017 and 2021, the shift distance showed a slight increase, maintaining around 280 m. In general, the shift distance of color steel plate buildings in Lanzhou City has been decreasing, indicating a tendency for the spatial distribution of color steel plate buildings to stabilize.
Table 4.
The shift distance and direction of the center of gravity for color steel plate buildings.
Further, the standard deviation ellipse analysis of color steel plate buildings within the whole of Lanzhou city is carried out, and the results of the error ellipse analysis for the 8-year period of 2013–2021 are obtained as shown in Figure 7. From the figure, it can be seen that the center of gravity of the spatial distribution pattern of the development of the color steel plate building moves along the path of the center of gravity in general, showing a tendency to move in the northwest direction. The expansion of color steel plate buildings in Lanzhou City has a clear direction, and the long axis of the ellipse is growing during 2013–2021, indicating that overall, the color steel plate buildings in Lanzhou City are expanding in both directions of the long axis. The flatness indicates the clarity of the expansion direction and the degree of centripetal force. From the ellipse flatness, the flatness of the standard deviation ellipse of the color steel plate building in Lanzhou City is generally maintained at about 0.8.
Figure 7.
The results of standard deviation ellipse analysis for color steel plate buildings.
At the district scale, the strength of directional expansion for color steel plate buildings in different districts of Lanzhou varies, as shown in Figure 8. Among them, Honggu exhibits the strongest directionality, with the aspect ratio of the standard deviation ellipses around 0.84 for all eight periods. Following closely is Anning, with aspect ratios consistently above 0.72, reaching a maximum of 0.76 and an average of 0.75. Xigu also has relatively high aspect ratios, maintaining around 0.70. In comparison between Qilihe and Chengguan, Qilihe has a higher aspect ratio, with an average of 0.56, while Chengguan has the smallest aspect ratio, with an average of only 0.34. Therefore, in descending order of directional expansion among the five districts of Lanzhou City, it is Honggu, Anning, Xigu, Qilihe, and Chengguan. In terms of the standard deviation ellipse areas for each district, Honggu has the largest area, with an average of 384.97 km2. This indicates a relatively extensive distribution of color steel plate buildings in Honggu, which is also sparsely populated due to a lower quantity of color steel plate buildings in that area. Looking at the change in orientation of the ellipses, the overall directional expansion of color steel plate buildings in Lanzhou City has remained relatively stable, as shown in Figure 8.
Figure 8.
The standard deviation ellipse analysis results in different districts.
Overall, as shown in Figure 9, from 2013 to 2021, steel plate buildings in Lanzhou City were primarily distributed in the east-west direction, exhibiting a slight overall expansion trend. In the eastern region, the area of color steel buildings initially increased and then decreased. From 2013 to 2017, it increased by 3.08 km2, but by 2020, it had decreased by 1.56 km2. Looking at the expansion of steel plate buildings in each administrative district, Chengguan showed a noticeable expansion trend, especially in the southeast direction, where the area demonstrated an increasing trend. Over the 8-year period, the area increased by a total of 0.74 km2. In the eastern, western, and northeastern regions, the area of steel plate buildings showed an initial increase followed by a decrease. The areas of steel plate buildings in Anning and Qilihe exhibited a trend of increase followed by a decrease. In Qilihe, the most significant variation in steel plate building areas occurred in the northwest direction. Honggu showed an expansion trend in the northwest, west, and southeast directions, while Xigu experienced the most noticeable increase in steel plate building areas in the eastern and northwest regions. In summary, steel plate buildings in Lanzhou exhibit significant spatial variations, with a substantial difference between the east and west. Moreover, the area of color steel buildings in the eastern region is much larger than that in the western region. This is attributed to the city’s development center being primarily located in the east, leading to the concentration of numerous urban villages and informal settlements in that area.
Figure 9.
Radar chart of the expansion trend of steel plate buildings in Lanzhou City.
4.4. The Analysis Results of Fragmentation and Aggregation for Color Steel Plate Buildings
As can be seen from Table 5, the color steel plate building area accounted for 0.72% of the total area of the study area in 2013, and then, with an overall trend of increasing, the proportion reached 0.91% by 2021. During that period, the highest proportion of color steel plate buildings was 0.95% in 2017, and then there was a slight decline, but the overall is maintained at more than 0.90%. The overall distribution of color steel plate buildings in Lanzhou City has increased in aggregation and decreased in fragmentation. As can be seen in Table 5, the C-index was 0.0065 in 2013 and decreased to 0.0058 in 2021. As can be seen from the definition of the compactness index, the larger the value of compactness, the more compact the morphology of the landscape patches. Also, the compactness of the color steel buildings in Lanzhou City from 2013 to 2021 is relatively small and has a decreasing trend, which indicates that the degree of aggregation of the color steel buildings in the whole range of Lanzhou City is relatively low but the extensibility is gradually increasing.
Table 5.
The relevant parameters of fragmentation and aggregation.
The results of fragmentation and aggregation analysis for various administrative districts in Lanzhou are presented in Table 6. From the table, it is evident that Chengguan has the highest proportion of color steel plate building area, reaching 2.04% by 2021. In contrast, Honggu has the lowest proportion, accounting for only 0.46%. Analyzing the trend in area proportions, Anning shows an overall decreasing trend, while Chengguan, Honggu, and Xigu exhibit an increasing trend. Qilihe shows a fluctuating trend, with an initial increase followed by a decrease, reaching its highest proportion in 2016 at 1.11% and the lowest at 0.87%. Observing the changes in the number of color steel plate buildings per square kilometer, we found that Anning and Honggu show a decreasing trend in the PD index. In Honggu, the total area of color steel plate buildings increases, and the overall integrity of patches increases while fragmentation decreases. This indicates that the increase in color steel plate buildings in Honggu is mainly due to large-area buildings.
Table 6.
The relevant parameters of fragmentation and aggregation in different districts.
Examining the temporal changes in compactness for each administrative district, it is observed that the compactness of color steel plate buildings in Anning is gradually increasing, suggesting a higher degree of overall aggregation and lower expansiveness. In contrast, Chengguan, Honggu, and Xigu districts all exhibit a certain degree of decreasing compactness, indicating a more scattered distribution of color steel plate buildings and higher expansiveness in these three districts.
The results of kernel density analysis for color steel plate buildings in Lanzhou at different periods are shown in Figure 10. Overall, the areas with a dense distribution of color steel plate buildings in Lanzhou City are Qilihe and Anning, with the intersection between Anning and Qilihe being the most concentrated area for color steel plate buildings. The next densely distributed area is Chengguan, particularly in the northeast region. In contrast, the distribution of color steel plate buildings in Xigu and Honggu is relatively sparse, with no highly concentrated areas.
Figure 10.
The kernel density analysis results of color steel plate buildings in Lanzhou City.
In terms of temporal changes, the overall kernel density maximum in Lanzhou city exhibits a developmental pattern of initially increasing and then decreasing. Upon comparison, the highest density value was around 500.079 in 2013, peaked at 561.291 in 2017, and decreased to 511.922 in 2021. Generally, the clustering trend of color steel sheet buildings in Lanzhou city is less pronounced than before. Simultaneously, examining the changes in hotspots of color steel sheet buildings in various districts reveals a noticeable aggregation trend in Chengguan, with Honggu also showing a similar trend, though less pronounced than Chengguan.
4.5. Extraction of Kernel Density Extremum Points for Color Steel Plate Buildings
Through detection, extreme points of kernel density for color steel plate buildings in Lanzhou were obtained, as shown in Figure 11. Xigu also exhibits some significant extremum points, indicating the presence of hotspots for color steel plate building distribution. However, due to large distances between points, there is limited connectivity, and the extremum points are relatively isolated, suggesting a loose distribution of color steel plate buildings in this area. In contrast, for Anning and Qilihe, the extremum points cluster together, with close distances between points, forming strong connectivity, especially in the northwest direction of Qilihe and the border area with Anning. In summary, color steel plate buildings in Lanzhou are mainly distributed in urban villages, surrounding towns, and areas around primary and secondary schools.
Figure 11.
Kernel density estimation extremum points of color steel plate buildings in Lanzhou.
Through temporal comparisons, it is observed that the extremum points that were originally clustered in Anning and Qilihe show a trend of separation. In the northeast direction of Chengguan, extremum points are starting to exhibit clustering, and connectivity is also increasing. In Honggu, the position of extremum points has not significantly changed from 2013 to 2021, with only minor numerical variations, indicating that the aggregation of color steel plate buildings in Honggu is not apparent and there are no distinct hotspot areas. Notably, in the northern part of Qilihe, along Langongping Road and Gonglin Road, extremum points are gradually showing a tendency to cluster. By observing the kernel density map, it is found that these two roads are forming increasingly prominent bands. Considering the clear trend of the discrete distribution of color steel plate buildings in Qilihe, it is evident that color steel plate buildings in Qilihe are shifting from the urban area to the suburbs. Analyzing the reasons for this phenomenon, two main factors are identified. First, there are policy restrictions, as Lanzhou has gradually tightened policies on the construction of color steel plate buildings within the city, leading to a reduction or shift of such buildings within the urban area. Second, there are limitations related to land resources. In recent years, Lanzhou has undergone extensive urban development, resulting in significant consumption of land resources in the original main urban area. The rise in land lease prices has further driven the transfer of some color steel plate buildings, especially factories, to the surrounding suburbs. In recent years, areas with a gradual decrease in the distribution of color steel plate buildings include the vicinity of Yintan Street and Anningbao Street in Anning, where the density of color steel plate building distribution has noticeably decreased. In Qilihe, areas near Matan, Wanda Yuan, and Xiuchuan Street have seen a reduction. In Xigu, areas near Lintao Street, Chenguanying, and Xiping Village also experience a decrease in the distribution of color steel plate buildings.
4.6. Predictive Analysis of Color Steel Plate Building Clusters
The study utilizes data from two phases of color steel plate buildings within the built-up area of Lanzhou City, selecting six factors as driving forces affecting the distribution of color steel plates: vegetation coverage, population density, road distance, elevation, water system distance, and nighttime lighting. These factors cover a wide range of human and natural influences. Based on this, the suitability distribution probability of color steel plates is calculated (Figure 12). The closer the value is to 1, the stronger the suitability, and vice versa. Areas with strong suitability are mainly distributed near main roads, leaning towards urban areas. Conversely, regions with higher elevations and close to hilly areas have lower suitability, indicating the spatial distribution pattern of color steel plate buildings in terms of urban layout and topographical features.
Figure 12.
Suitability Probability of Color Steel Plate Buildings.
Using 5-year intervals, data from 2016 and 2021 serve as the basis for prediction. The interactions and diffusion between spatial units are simulated using the Cellular Automaton model to predict the changes in color steel plates by 2026. To evaluate the simulation accuracy of the model, we use the Kappa coefficient. A Kappa coefficient greater than or equal to 0.75 indicates high simulation accuracy, while a value between 0.5 and 0.75 indicates moderate accuracy. In the experiment, the spatial distribution of color steel plate buildings in 2021 was predicted using data from 2016. The prediction results closely matched the actual 2021 results, with a Kappa coefficient of 0.797189, which is greater than 0.75, indicating that the FLUS model is suitable for simulating changes in color steel plates in this region. Furthermore, combining the actual results from 2016 with the 2021 prediction results, we used the Markov chain model to predict the future number of color steel plate buildings. According to the prediction results, the number of pixels of color steel plate buildings in the built-up area of Lanzhou City in 2026 will be 213,024. Using this pixel number as the prediction baseline and considering the six influencing factors, the distribution of color steel plates in the built-up area of Lanzhou City in 2026 is predicted (Figure 13). Compared to the actual number of 214,915 in 2021, the difference ratio in the predicted number of pixels is 0.88%. As shown in the figure, the number of color steel plate buildings in the built-up area of Lanzhou City slightly decreased over the years, remaining generally stable.
Figure 13.
Simulated results of color steel plate building clusters in 2026.
5. Discussion
Lanzhou, as an important provincial capital in the northwest region of China, faces challenges such as low economic development levels, weak industrial clustering, and limited financial capacity. From the current distribution characteristics of color steel-clad buildings, there appears to be a certain correlation between these structures and the socioeconomic development of the city. The clustering pattern of color steel-clad buildings is a product of specific stages of regional urban development. Delving deeper into urban issues, research and analysis provides reliable spatiotemporal data for urban governance. Through the analysis of spatial and temporal characteristics of the evolution of color steel plate buildings in Lanzhou City, it was found that the number of color steel plate buildings in Lanzhou City increases first and then decreases, while compared with other regions, the distribution of the number in each region has a significant difference. For instance, in Chengguan District, Honggu District, and Xigu District, there is a significant increase in the trend. Moreover, the expansion of the color steel plate building in Lanzhou city has obvious directionality, and the overall expansion direction is northwest and southeast. At the same time, the degree of aggregation of color steel plate buildings in the scope of the whole of Lanzhou City is low, and the expandability is also gradually increasing. From the spatial aggregation degree point of view, in Lanzhou city of Anning district and Chengguan district, the color steel plate building is obviously more aggregate, but from Lanzhou city as a whole point of view, there is a clear tendency to discrete, indicating that Lanzhou city for the rectification of the color steel plate building has a preliminary effect. The continuous expansion of large-scale color steel-clad buildings in Chengguan and Xigu districts within the main urban area of Lanzhou from 2013 to 2021 indicates rapid economic development in the city and a gradual transformation and upgrading of industrial structures. Meanwhile, the decreasing number of small-scale color steel-clad buildings in the Anning and Qilihe districts suggests that the urban management system in Lanzhou is gradually improving and the level of urban governance is continuously enhancing. This reflects the progression of high-quality urbanization in Lanzhou.
Existing research is more from the economy, market, policy, planning, environmental pollution, and other perspectives on the existence of the problem of analysis and the evolution of the empty pattern of the color steel plate building group [80,81]. The aggregation of the systematic research is insufficient [82], so researchers cannot quickly, effectively, and objectively grasp the development of the current situation of the color steel plate building group. And the existence of the problem of color steel plate building information can be obtained through the real-time high precision of high-frequency satellite imagery [83]. If we can clarify the correlation relationship and quantitative expression method of color steel plate building group [84], it will provide dynamic observation data, new methods, and new indexes for the rapid monitoring, scientific evaluation, and sustainable development research of similar urban color steel plate building groups.
Color steel plate building is a product of the development of the times. With the completion of rapid urbanization and the improvement of the urban environment, the color steel plate buildings will be gradually reduced. However, at present, the spatial and temporal correlation between color steel plate buildings and urban development is still an urban spatial problem that is worth studying, and future research needs to analyze its spatial distribution by using a more detailed remote sensing data system, especially to explore the impact of urban villages and shantytowns with color steel plate buildings on the lives and safety of the residents.
6. Conclusions
From the perspectives of time and space, as well as overall and local scopes, a comprehensive analysis of the spatiotemporal evolution patterns of the color steel plate buildings in Lanzhou was conducted. The results show that from the overall trend, the number of color steel plate buildings in the study area increased first and then decreased during 2013–2021, reaching its peak in 2017 and then showing a downward trend. The trends in area, density values, and corresponding peak points are consistent with the trend in number. This indicates that the government has strengthened the renovation of color steel plate buildings in urban villages and shanty towns. In terms of direction and centroid, the overall distribution shows a northwest-southeast distribution pattern. The annual centroid shift distances are all within 800 m, with stable migration amplitude and a smooth overall spatial distribution pattern. The fragmentation degree of the whole of Lanzhou city is decreasing, but some small areas show a slight increasing trend, indicating that the increase in color steel plate buildings in this area is mainly dominated by large buildings.
From a regional perspective, the two districts with the most color steel plate buildings are Chengguan and Qilihe. Overall, Chengguan has the most color steel plate buildings, while Anning District has the fewest, and the number in Anning District shows a decreasing trend over time. As for Honggu and Xigu, the number and area of color steel plate buildings in these two districts are increasing. The total area of color steel plate buildings in Honggu increased by 81.88%, and that in Xigu increased by 50.96%. In general, the number and area of color steel plate buildings in Xigu are greater than those in Honggu, but the growth trend in Honggu is more obvious. In addition, the areas with a dense distribution of color steel plate buildings in Lanzhou are Qilihe and Anning, especially the border area between these two districts. Next is Chengguan, which is mainly in the northeast. Since Lanzhou was named a National Civilized City in 2017, the distribution density of color steel plate buildings in its jurisdictions has been gradually decreasing, and the aggregation trend is not as obvious as before.
Specific conclusions are as follows: (1) In terms of quantity, color steel buildings in downtown Lanzhou show a trend of initially increasing and then decreasing, with the peak reached in 2017. However, there are significant differences in quantity among different regions. (2) In terms of direction, color steel buildings as a whole tend to shift towards the northwest, but the extent of this shift decreases with increasing years, gradually stabilizing. (3) In terms of distribution, the clustering degree of color steel buildings has slightly increased but remains relatively low. The fragmentation has slightly decreased, indicating a gradual enhancement in expansibility. This study utilizes multi-temporal data and focuses on spatial analysis to analyze the spatial patterns and evolutionary characteristics of color steel buildings in Lanzhou. The research results provide a reference value for the facility layout in Lanzhou, aiming to strengthen the planning and management of color steel buildings, guide reasonable layouts, and provide theoretical support for further research on sustainable urban development, promoting a low-carbon, green, and healthy development model.
Author Contributions
Conceptualization, Wenda Wang and Xiao Li; methodology, Ting Wang; software, Shaohua Wang; validation, Runqiao Wang, Dachuan Xu and Junyuan Zhou; formal analysis, Xiao Li; investigation, Wenda Wang; resources, Wenda Wang; data curation, Xiao Li; writing—original draft preparation, Wenda Wang and Xiao Li; writing—review and editing, Ting Wang; visualization, T.W.; supervision, Shaohua Wang; project administration, Shaohua Wang; funding acquisition, Wenda Wang. All authors have read and agreed to the published version of the manuscript.
Funding
This work was supported by the Natural Science Foundation of Gansu Province (21JR7RA317), the National Key R&D Program of China (2021YFB1407002), Talent Introduction Program Youth Project of the Chinese Academy of Sciences (E2Z10501), innovation group project of the Key Laboratory of Remote Sensing and Digital Earth Chinese Academy of Sciences (E33D0201-5), Henan Zhongmu County Research Project (E3C1050101), CBAS project 2023, Remote Sensing Big Data Analytics Project (E3E2051401), and the Beijing Chaoyang District Collaborative Innovation Project (E2DZ050100).
Data Availability Statement
The original contributions presented in the study are included in the article, further inquiries can be directed to the corresponding author.
Conflicts of Interest
The authors declare no conflicts of interest. The funders had no role in the design of the study; in the collection, analyses, or interpretation of data; in the writing of the manuscript; or in the decision to publish the results.
References
- Song, Y.; Jiao, L.; Liu, J.; Xu, G. Analysis of the Factors Affecting the Degree of Urban Expansion: Taking Wuhan City as an Example. Geomat. Inf. Sci. Wuhan Univ. 2021, 46, 417–426. [Google Scholar] [CrossRef]
- Deng, O.; Wang, S.; Ran, J.; Huang, S.; Zhang, X.; Duan, J.; Zhang, L.; Xia, Y.; Reis, S.; Xu, J.; et al. Managing urban development could halve nitrogen pollution in China. Nat. Commun. 2024, 15, 401. [Google Scholar] [CrossRef]
- Hecht, R.; Behnisch, M.; Herold, H. Innovative Approaches, Tools and Visualization Techniques for Analysing Land Use Structures and Dynamics of Cities and Regions (Editorial). J. Geovis Spat. Anal. 2020, 4, 19. [Google Scholar] [CrossRef]
- Zhou, L.; Dang, X.; Sun, Q.; Wang, S. Multi-Scenario Simulation of Urban Land Change in Shanghai by Random Forest and CA-Markov Model. Sustain. Cities Soc. 2020, 55, 102045. [Google Scholar] [CrossRef]
- Zhang, X.; Zhang, X.; Zhong, E.; Wang, S.; Zhang, J. Study on the spatial structure and driving force of urban areas in Beijingbased on building space structure. Geogr. Res. 2013, 32, 2055–2065. [Google Scholar] [CrossRef]
- Lu, S.; Zhang, W.; Li, J.; Wang, S. Resource-Based Cities: Spatial Structure and Evolutionary Identification Based on Nighttime Light Images. Front. Earth Sci. 2022, 10, 929927. [Google Scholar] [CrossRef]
- Zhou, L.; Dang, X.; Mu, H.; Wang, B.; Wang, S. Cities Are Going Uphill: Slope Gradient Analysis of Urban Expansion and Its Driving Factors in China. Sci. Total Environ. 2021, 775, 145836. [Google Scholar] [CrossRef]
- Bao, G.; Lu, J.; Wang, J. Experimental study on full-scale fire of temporary houses. Fire Saf. Sci. 2010, 19, 205–211. [Google Scholar] [CrossRef]
- Xue, D.; Yao, S.; Zhang, H. Contacting on the function and optimizing on the structure in Guanzhong urban agglomeration. Econ. Geogr. 2000, 52–60. [Google Scholar] [CrossRef]
- Yang, S.; Ma, J.; Wang, J. Reserch on spatial and temporal distribution of color steel building based on multi-source high-resolution satellite imagery. Int. Arch. Photogramm. Remote Sens. Spat. Inf. Sci. 2018, 42, 2101–2105. [Google Scholar] [CrossRef]
- Heiden, U.; Segl, K.; Roessner, S.; Kaufmann, H. Determination of robust spectral features for identification of urban surface materials in hyperspectral remote sensing data. Remote Sens. Environ. 2007, 111, 537–552. [Google Scholar] [CrossRef]
- Zhang, X.; Yang, S.; Yang, X.; Li, C.; Xu, Y. A Triplet Network Fusing Optical and SAR Images for Colored Steel Building Extraction. Sensors 2023, 24, 89. [Google Scholar] [CrossRef]
- Zhang, N.; Yang, S.; Fu, Y.; Yan, H.; Xue, Q. Spatio-temporal Agglomeration Characteristics of color steel plate buildings in lanzhou and their influence on urban heat island effect. Geogr. Geo-Inf. Sci. 2022, 38, 43–49. [Google Scholar] [CrossRef]
- Zhang, N.; Yang, S.; Zhang, M.; Fu, Y. Analysis of influence of Concentration Density of Colored Steel Building on Urban Heat lsland Effect: Taking Lanzhou City as an Exampe. Sci. Technol. Eng. 2022, 22, 2185–2192. [Google Scholar]
- Bonsu, K.; Bonin, O. Urban Growth Process in Greater Accra Metropolitan Area: Characterization Using Fractal Analysis. J. Geovis. Spat. Anal. 2023, 7, 21. [Google Scholar] [CrossRef]
- Mubareka, S.; Koomen, E.; Estreguil, C.; Lavalle, C. Development of a Composite Index of Urban Compactness for Land Use Modelling Applications. Landsc. Urban Plan. 2011, 103, 303–317. [Google Scholar] [CrossRef]
- Sikder, S.K.; Behnisch, M.; Herold, H.; Koetter, T. Geospatial Analysis of Building Structures in Megacity Dhaka: The Use of Spatial Statistics for Promoting Data-Driven Decision-Making. J. Geovis. Spat. Anal. 2019, 3, 7. [Google Scholar] [CrossRef]
- Nunes, J. Geographic Space as a Set of Concrete Geographical Entities. In Cognitive and Linguistic Aspects of Geographic Space; Mark, D.M., Frank, A.U., Eds.; NATO ASI Series; Springer: Dordrecht, The Netherlands, 1991; pp. 9–33. ISBN 978-94-011-2606-9. [Google Scholar]
- Gao, B.; Yang, J.; Chen, Z.; Sugihara, G.; Li, M.; Stein, A.; Kwan, M.-P.; Wang, J. Causal Inference from Cross-Sectional Earth System Data with Geographical Convergent Cross Mapping. Nat. Commun. 2023, 14, 5875. [Google Scholar] [CrossRef]
- Gong, X.; Peng, S.; Lu, Y.; Wang, S.; Huang, X.; Ye, X. Social Network Analysis of Nonprofits in Disaster Response: The Case of Twitter During the COVID-19 Pandemic in the United States. Soc. Sci. Comput. Rev. 2023, 41, 2029–2054. [Google Scholar] [CrossRef]
- Zhao, Q.; Sailor, D.J.; Wentz, E.A. Impact of Tree Locations and Arrangements on Outdoor Microclimates and Human Thermal Comfort in an Urban Residential Environment. Urban For. Urban Green. 2018, 32, 81–91. [Google Scholar] [CrossRef]
- Wang, L.; Guo, G.; Liu, Y. Structuring methods of geographic entities towards construction of smart cities. Bull. Surv. Mapp. 2022, 20–24. [Google Scholar] [CrossRef]
- Zhong, E. Deep MappingA Critical Engagement of Cartography with Neuroscience. Geomat. Inf. Sci. Wuhan Univ. 2022, 47, 1988–2002. [Google Scholar] [CrossRef]
- Wang, L.; Li, C.; Xing, H. Research on the key technology of geographic materialized data processing. Bull. Surv. Mapp. 2012, 550–562. [Google Scholar]
- Zhang, Y.; Jia, G.; Tao, Y.; Zhu, X.; Zuo, X.; Cui, L. Geographic entity spatial orginzation, variety characters and its application. Bull. Surv. Mapp. 2020, 132–138. [Google Scholar] [CrossRef]
- Chettry, V. A Critical Review of Urban Sprawl Studies. J. Geovis. Spat. Anal. 2023, 7, 28. [Google Scholar] [CrossRef]
- Zhilin, L.; Gong, X.; Chen, J.; Mills, J.; Li, S.; Zhu, X.; Peng, T.; Hao, W. Functional Requirements of Systems for Visualization of Sustainable Development Goal (SDG) Indicators. J. Geovis. Spat. Anal. 2020, 4, 5. [Google Scholar] [CrossRef]
- Wang, S.; Zhong, Y.; Lu, H.; Wang, E.; Yun, W.; Cai, W. Geospatial Big Data Analytics Engine for Spark. In Proceedings of the 6th ACM SIGSPATIAL Workshop on Analytics for Big Geospatial Data, Redondo Beach, CA, USA, 7 November 2017; Association for Computing Machinery: New York, NY, USA; pp. 42–45. [Google Scholar]
- Wang, S.; Zhong, E.; Cai, W.; Zhou, Q.; Lu, H.; Gu, Y.; Yun, W.; Hu, Z.; Long, L. A Visual Analytics Framework for Big Spatiotemporal Data. In Proceedings of the 2nd ACM SIGSPATIAL Workshop on Analytics for Local Events and News, Seattle, WA, USA, 6 November 2018; pp. 1–5. [Google Scholar]
- Osman, T.; Divigalpitiya, P.; Osman, M.M.; Kenawy, E.; Salem, M.; Hamdy, O. Quantifying the Relationship between the Built Environment Attributes and Urban Sustainability Potentials for Housing Areas. Buildings 2016, 6, 39. [Google Scholar] [CrossRef]
- Vařbuchta, P.; Hromádka, V. Index of Residential Development: Evaluation of the Possibility of New Residential Construction Depending on the City Plan. Buildings 2023, 13, 3016. [Google Scholar] [CrossRef]
- Bai, Y.; Zhang, W.; Yang, X.; Wei, S.; Yu, Y. The Framework of Technical Evaluation Indicators for Constructing Low-Carbon Communities in China. Buildings 2021, 11, 479. [Google Scholar] [CrossRef]
- De Siqueira, A.C.H.; Najjar, M.K.; Hammad, A.W.A.; Haddad, A.; Vazquez, E. Sustainable Urban Development in Slum Areas in the City of Rio de Janeiro Based on LEED-ND Indicators. Buildings 2020, 10, 116. [Google Scholar] [CrossRef]
- Yang, S.; Yan, H.; Li, Y.; He, Y. Effects of Temporary Color Steel Buildings on Urban Development and Urban Space Form in China. Preprints 2019, 2019040022. [Google Scholar]
- Xing, J.; Wu, Z.; Wang, G.; Yu, Z.; Niu, Z.; Zhang, P.; Dong, Y.; Li, H. Design and Construction Method of Color Steel Plate Maintenance Structure in Arc-shaped Buildings. Contam. Control Air-Cond. Technol. 2024, 1, 84–88. [Google Scholar]
- Hou, D.; Wang, S.; Xing, H. A Novel Benchmark Dataset of Color Steel Sheds for Remote Sensing Image Retrieval. Earth Sci. Inform. 2021, 14, 809–818. [Google Scholar] [CrossRef]
- Samat, A.; Gamba, P.; Wang, W.; Luo, J.; Li, E.; Liu, S.; Du, P.; Abuduwaili, J. Mapping Blue and Red Color-Coated Steel Sheet Roof Buildings over China Using Sentinel-2A/B MSIL2A Images. Remote Sens. 2022, 14, 230. [Google Scholar] [CrossRef]
- Hong, W.; Yang, S.; Su, H.; Fu, Y.; Zhang, N. Spectral testing and analysis of color steel plate building based on satellite image. Spacecr. Recovery Remote Sens. 2023, 44, 113–124. [Google Scholar]
- Sun, M.; Deng, Y.; Li, M.; Jiang, H.; Huang, H.; Liao, W.; Liu, Y.; Yang, J.; Li, Y. Extraction and Analysis of Blue Steel Roofs Information Based on CNN Using Gaofen-2 Imageries. Sensors 2020, 20, 4655. [Google Scholar] [CrossRef]
- Dong, Q.; Chen, X.; Jiang, L.; Wang, L.; Chen, J.; Zhao, Y. Semantic Segmentation of Remote Sensing Images Depicting Environmental Hazards in High-Speed Rail Network Based on Large-Model Pre-Classification. Sensors 2024, 24, 1876. [Google Scholar] [CrossRef]
- Song, X. Study of fire safety distance between color steel sandwich panel houses and tents. Fire Sci. Technol. 2011, 30, 1007–1010. [Google Scholar] [CrossRef]
- Piroglu, F.; Baydogan, M.; Ozakgul, K. An Experimental Study on Fire Damage of Structural Steel Members in an Industrial Building. Eng. Fail. Anal. 2017, 80, 341–351. [Google Scholar] [CrossRef]
- Zhou, G.; Zhao, J.; Jin, J. Study on the correlation between the fire traces and the fire condition of ALASS fiber color steel plate. Fire Sci. Technol. 2018, 37, 854–857. [Google Scholar]
- Gao, L.; Li, Y.; Yang, S.; Song, H. Spatial Coupling Analysis between Color Steel Buildings, Urban Hot Spot and Fire Point—A Case Study of Lanzhou. IOP Conf. Ser. Earth Environ. Sci. 2021, 693, 012036. [Google Scholar] [CrossRef]
- Li, Y.; Yang, S.; Hong, W.; Su, H.; Luo, Y. Research on the spatial and temporal distribution of industrial park in Xining City from the perspective of color steel plate building complex. Remote Sens. Nat. Resour. 2023. [Google Scholar]
- Jurdy, D.M.; Stefanick, M. Models for the Hotspot Distribution. Geophys. Res. Lett. 1990, 17, 1965–1968. [Google Scholar] [CrossRef]
- Li, Y.; Yang, S.; Yang, L.; Min, X.; Zhang, S. Research on the Spatial Distribution of Color Steel Sheds in Anning District, Lanzhou City. Geospat. Inf. 2012, 15, 53–55. [Google Scholar] [CrossRef]
- Ma, J.; Yang, S.; Jia, X.; Yan, R. Temporal and spatial change of color steel sheds in Anning district of Lanzhou city. Sci. Surv. Mapp. 2018, 43, 34–37. [Google Scholar] [CrossRef]
- Zhang, W.; Liu, G.; Ding, L.; Du, M.; Yang, S. Analysis and Research on Temporal and Spatial Variation of Color Steel Tile Roof of Munyaka Region in Kenya, Africa. Sustainability 2022, 14, 14886. [Google Scholar] [CrossRef]
- Wang, J.; Yang, W.; Yang, S.; Ma, J. Research on Spatial Distribution Characteristics of Color Steel Buildings in Anning District of Lanzhou. J. Lanzhou Jiaotong Univ. 2019, 38, 110–114. [Google Scholar] [CrossRef]
- Gao, L.; Li, Y.; Yang, S.; Song, H. Analysis on Fire Rescue 0ptimization of Color Steel Building Complexes in Northwest China: A Case Study of Lanzhou. Geomat. Spat. Inf. Technol. 2021, 44, 31–39. [Google Scholar]
- Wang, H.; Zhang, B.; Liu, Y.; Liu, Y.; Xu, S.; Zhao, Y.; Chen, Y.; Hong, S. Urban Expansion Patterns and Their Driving Forces Based on the Center of Gravity-GTWR Model: A Case Study of the Beijing-Tianjin-Hebei Urban Agglomeration. J. Geogr. Sci. 2020, 30, 297–318. [Google Scholar] [CrossRef]
- Wu, D.; Zheng, L.; Wang, Y.; Gong, J.; Li, J.; Chen, Q. Urban Expansion Patterns and Their Driving Forces Analysis: A Comparison between Chengdu-Chongqing and Middle Reaches of Yangtze River Urban Agglomerations. Environ. Monit. Assess. 2023, 195, 1121. [Google Scholar] [CrossRef]
- Gu, G.; Wu, B.; Chen, Q.; Zhang, W.; Lu, R.; Lu, S.; Feng, X.; Liao, W. Spatial Differences and Influence Mechanisms of Construction Land Development Intensity in China, 2002–2020. Sci. Rep. 2023, 13, 11153. [Google Scholar] [CrossRef] [PubMed]
- Tan, X.; Ouyang, Q.; Jiang, Z.; Liu, Z.; Tan, J.; Zhou, G. Urban Spatial Expansion and lts Influence Factors Based on RS/GIS: A Case Study in Changsha. Econ. Geogr. 2017, 37, 81–85. [Google Scholar] [CrossRef]
- Gaile, G.L. Measures of Spatial Equality. In Spatial Statistics and Models; Gaile, G.L., Willmott, C.J., Eds.; Theory and Decision Library; Springer: Dordrecht, The Netherlands, 1984; pp. 223–233. ISBN 978-94-017-3048-8. [Google Scholar]
- Li, X. Visualizing spatial equality of development. Sci. Geogr. Sin. 1999, 19, 63–66. [Google Scholar]
- Yuill, R.S. The standard deviational ellipse: An updated tool for spatial description. Geogr. Ann. Ser. B Hum. Geogr. 1971, 53, 28–39. [Google Scholar] [CrossRef]
- Lu, S. Characteristics and Driving Mechanism of Urban Space Expansion in Urumqi. Geomat. Inf. Sci. Wuhan Univ. 2022, 47, 1025–1034. [Google Scholar] [CrossRef]
- Chen, W.; Yang, Z.; Yang, L.; Wu, J.; Bian, J.; Zeng, J.; Liu, Z. Identifying the Spatial Differentiation Factors of Traditional Villages in China. Herit. Sci. 2023, 11, 149. [Google Scholar] [CrossRef]
- Lefever, D.W. Measuring Geographic Concentration by Means of the Standard Deviational Ellipse. Am. J. Sociol. 1926, 32, 88–94. [Google Scholar] [CrossRef]
- Wu, Z.; Song, J.; Wang, X.; Cheng, Y.; Zhang, N. On urbanization process and spatial expansion in the urban fringe of Beijing: A case study of Daxing District. Geogr. Res. 2008, 27, 285–293. [Google Scholar] [CrossRef]
- Batty, M. Exploring Isovist Fields: Space and Shape in Architectural and Urban Morphology. Environ. Plan. B Plan. Des. 2001, 28, 123–150. [Google Scholar] [CrossRef]
- Weng, Y.-C. Spatiotemporal Changes of Landscape Pattern in Response to Urbanization. Landsc. Urban Plan. 2007, 81, 341–353. [Google Scholar] [CrossRef]
- Tian, J.; Guo, J.; Liu, L.; Jiang, Z. A Study of Landscape Pattern of Land Consolidation Based on GIS and Landscape Ecology. Remote Sens. Nat. Resour. 2011, 1, 110–114. [Google Scholar] [CrossRef]
- Cadenasso, M.L.; Pickett, S.T.A.; Schwarz, K. Spatial Heterogeneity in Urban Ecosystems: Reconceptualizing Land Cover and a Framework for Classification. Front. Ecol. Environ. 2007, 5, 80–88. [Google Scholar] [CrossRef]
- Yu, W.; Ren, T.; Zhou, W.; Li, W. Forest fragmentation and its relationship with urban expansion in Guangdong-Hong Kong-Macao Great Bay Area, China. Acta Ecol. Sin. 2020, 40, 8474–8481. [Google Scholar]
- Fan, C.; Myint, S. A Comparison of Spatial Autocorrelation Indices and Landscape Metrics in Measuring Urban Landscape Fragmentation. Landsc. Urban Plan. 2014, 121, 117–128. [Google Scholar] [CrossRef]
- Kaza, N. Landscape Shape Adjusted Compactness Index for Urban Areas. GeoJournal 2022, 87, 1399–1409. [Google Scholar] [CrossRef]
- Liu, J.; Zhang, J.; Jia, K. Boundary identification and spatial pattern optimization of central urban areas based on POl data: Taking Gaotang County for example. Urban Dev. Stud. 2021, 28, 74–83. [Google Scholar] [CrossRef]
- Xie, Z.; Yan, J. Kernel Density Estimation of Traffic Accidents in a Network Space. Comput. Environ. Urban Syst. 2008, 32, 396–406. [Google Scholar] [CrossRef]
- Kang, L.; Liu, H.; Cheng, W.; Chen, X.; Li, J. A method of urban facility hot spot recognition considering attribute characteristics. Bull. Surv. Mapp. 2022, 8–14. [Google Scholar] [CrossRef]
- Wang, Y.; Shen, Z. Comparing Luojia 1-01 and VIIRS Nighttime Light Data in Detecting Urban Spatial Structure Using a Threshold-Based Kernel Density Estimation. Remote Sens. 2021, 13, 1574. [Google Scholar] [CrossRef]
- Podobnikar, T. Detecting Mountain Peaks and Delineating Their Shapes Using Digital Elevation Models, Remote Sensing and Geographic Information Systems Using Autometric Methodological Procedures. Remote Sens. 2012, 4, 784–809. [Google Scholar] [CrossRef]
- Wang, S.; Li, Q.; Zhao, C.; Zhu, X.; Yuan, H.; Dai, T. Extreme Clustering—A Clustering Method via Density Extreme Points. Inf. Sci. 2020, 542, 24–39. [Google Scholar] [CrossRef]
- Netzel, P.; Slopek, J. Comparison of Different Implementations of a Raster Map Calculator. Comput. Geosci. 2021, 154, 104824. [Google Scholar] [CrossRef]
- Chmura Kraemer, H.; Periyakoil, V.; Noda, A. Kappa coefficients in medical research. Stat. Med. 2002, 21, 2109–2129. [Google Scholar] [CrossRef] [PubMed]
- Liu, X.; Liang, X.; Li, X.; Xu, X.; Ou, J.; Chen, Y.; Li, S.; Wang, S.; Pei, F. A future land use simulation model (FLUS) for simulating multiple land use scenarios by coupling human and natural effects. Landsc. Urban Plan. 2017, 168, 94–116. [Google Scholar] [CrossRef]
- Liang, X.; Liu, X.; Chen, G.; Leng, J.; Wen, Y.; Chen, G. Coupling fuzzy clustering and cellular automata based on local maxima of development potential to model urban emergence and expansion in economic development zones. Int. J. Geogr. Inf. Sci. 2020, 34, 1930–1952. [Google Scholar] [CrossRef]
- Song, H.; Yang, S.; Gao, L. Research on Spatial and Temporal Pattern Evolution of Large Color Steel Building in Yinchuan. IOP Conf. Ser. Earth Environ. Sci. 2021, 693, 012113. [Google Scholar] [CrossRef]
- Wang, J.; Yang, W.; Yang, S.; Yan, H. Spatial Distribution Characteristics of Color Steel Plate Buildings in Lanzhou City; Modern Environmental Science and Engineering: Brooklyn, NY, USA, 2019; pp. 583–589. [Google Scholar]
- Wang, H.; Li, D.; Ma, R. Simulation and Experimental Verification of Fire Safety Distance between Color Steel Sandwich Panel Houses. J. Tongji Univ. Nat. Sci. 2014, 42, 552–557. [Google Scholar] [CrossRef]
- Li, Y.; Jin, W.; Qiu, S.; Zuo, D.; Liu, J. Color-Coated Steel Sheet Roof Building Extraction from External Environment of High-Speed Rail Based on High-Resolution Remote Sensing Images. Remote Sens. 2023, 15, 3933. [Google Scholar] [CrossRef]
- Mills, G. The Radiative Effects of Building Groups on Single Structures. Energy Build. 1997, 25, 51–61. [Google Scholar] [CrossRef]
Disclaimer/Publisher’s Note: The statements, opinions and data contained in all publications are solely those of the individual author(s) and contributor(s) and not of MDPI and/or the editor(s). MDPI and/or the editor(s) disclaim responsibility for any injury to people or property resulting from any ideas, methods, instructions or products referred to in the content. |
© 2024 by the authors. Licensee MDPI, Basel, Switzerland. This article is an open access article distributed under the terms and conditions of the Creative Commons Attribution (CC BY) license (https://creativecommons.org/licenses/by/4.0/).












