Evolution Characteristics of the Strength and Dilation Parameters of Gas Hydrate-Bearing Sediments and a Modeling Study
Abstract
1. Introduction
2. Analytical Method
2.1. Analytical Method for the Strength Parameters of Gas Hydrate-Bearing Sediments
- (1)
- Identifying the yielding stress. According to the stress–strain curve under triaxial compression, the elastic stage of GHBS samples is not as obvious as that of rock samples. In this study, the yielding stress is defined as the stress level at which the axial strain reaches 0.2% (i.e., , as shown in Figure 1). The period before this stress level is considered as the elastic stage, and the secant modulus based on is adopted to define the initial modulus.
- (2)
- Identifying the plastic strain for each cycle. For each stress level at the post-yielding stage, a line can be drawn with the tangent value equal to the unloading modulus, and the plastic axial strain can be obtained. In the research on rock samples, the unloading modulus is usually considered to be equal to the initial modulus [26,34,36,38]. Nevertheless, it is found that the unloading modulus is about 4~8 times the initial modulus for the GHBS samples [23]. So, the unloading modulus should be identified according to the tested properties of the GHBS samples. In a similar way, the lateral plastic strain can also be identified for each stress level .
2.2. Analytical Method for the Dilation Parameter of Gas Hydrate-Bearing Sediments
3. Evolution Characteristics of the Strength Parameters of Gas Hydrate-Bearing Sediments
- (1)
- It can be observed that cohesion (c) increases quickly to a peak value and then decreases gradually to a residual value for the samples with different hydrate saturations (Figure 2a). Comparatively, previous studies show that only a decrease in cohesion (c) occurs for the rock samples [25,27,29,30,31]. The increasing stage should correspond to the compaction of the particles in the GHBS samples at the early stage of compression. The compaction was reported in [15] by analyzing the volumetric strain, while this behavior is not obvious in most rock samples. As the loading continues, dilatant behavior starts to occur [15], and cohesion (c) begins to drop.
- (2)
- The samples with higher hydrate saturations have higher initial values, peak values, and residual values of cohesion (c) (Figure 2a). This is probably due to the cementation effect of hydrate between sand grains [15]. However, cohesion (c) drops more significantly after the peak value for the samples with higher hydrate saturations, and this phenomenon is probably the result of a more significant degradation of the cementation effect during the dilatant stage of the samples with higher hydrate saturations.
- (3)
- The internal friction angle () increases quickly with increasing plastic shear strain and then becomes stable at a residual value for all the samples with different hydrate saturations (Figure 2b). The increase in should be due to the enhanced friction effect between the particles led by the compaction of the specimens.
- (4)
- For the plastic shear strain between 0 and 4%, the values of are very close for the samples with various hydrate saturations. When the plastic shear strain is higher than 4%, the samples with higher hydrate saturations have higher internal friction angles () during the whole test process with increasing plastic shear strain (Figure 2b). This indicates that the existence of hydrate supplies more friction effect between the particles. Nevertheless, the improvement in is not very significant when the hydrate saturation grows from 0% to 41~45%.
4. Evolution Characteristics of the Dilation Parameter of Gas Hydrate-Bearing Sediments
- (1)
- For all the samples with different hydrate saturations at various effective confining pressures, the dilation angle increases with increasing plastic shear strain and then becomes stable at a residual value. Specifically, it can be observed that the dilation angles are negative at the early stage and then grow to be positive gradually. The negative dilation angle indicates plastic contraction, while the positive value means an irreversible increase in volume [38]. Therefore, the evolution characteristics observed in the tests on the GHBS samples show a good agreement with the deformation behaviors reported in [15], i.e., compaction occurs at the early stage of compression before expansion happens due to dilation.
- (2)
- The samples with higher hydrate saturations show higher dilation angles (). This feature coincides well with the observation reported in [15] that samples with higher hydrate saturations show more obvious dilation behaviors because of a higher proportion of the solid component. However, this difference is not so significant when the effective confining pressure is higher ( = 2 and 3 MPa) because the effective confining pressure has a limitation effect on the dilation behavior.
- (1)
- For each certain hydrate saturation , the relation between and the effective confining pressure is fitted first. Based on the data in Table 3, it is found that this relation generally follows a linear equation for the samples with different hydrate saturations , and this equation can be expressed as:
- (2)
- The hydrate saturation is incorporated in the fitting. According to Table 4, it can be found that both m and n can be defined as linear functions of the hydrate saturation as follows:
- (3)
- Substituting Equations (9) and (10) into Equation (8), we can obtain the function of dependent on hydrate saturation and effective confining pressure as:
- (1)
- According to Table 3, with the same fitting method, it can be found that the functions of and follow the same form as Equation (11); therefore, they can be expressed as a uniform equation, as shown in Equation (12):
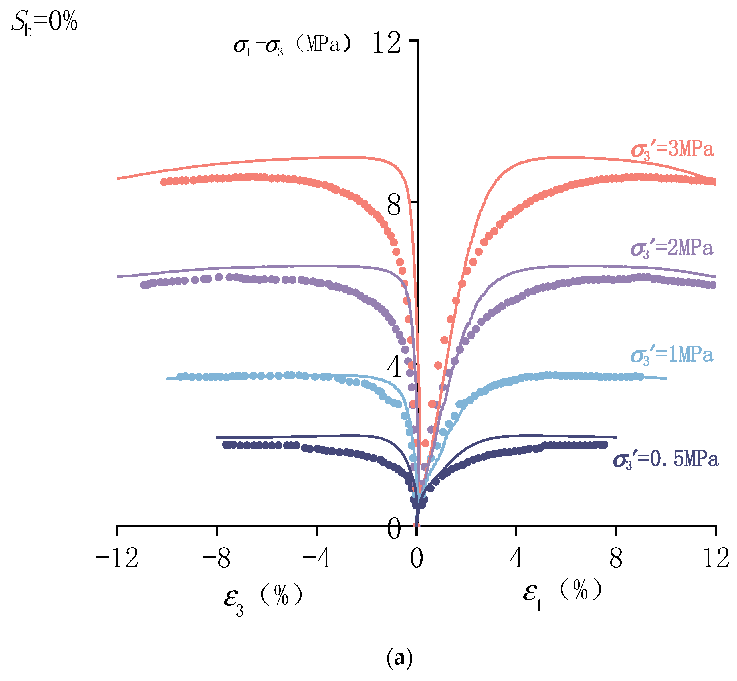
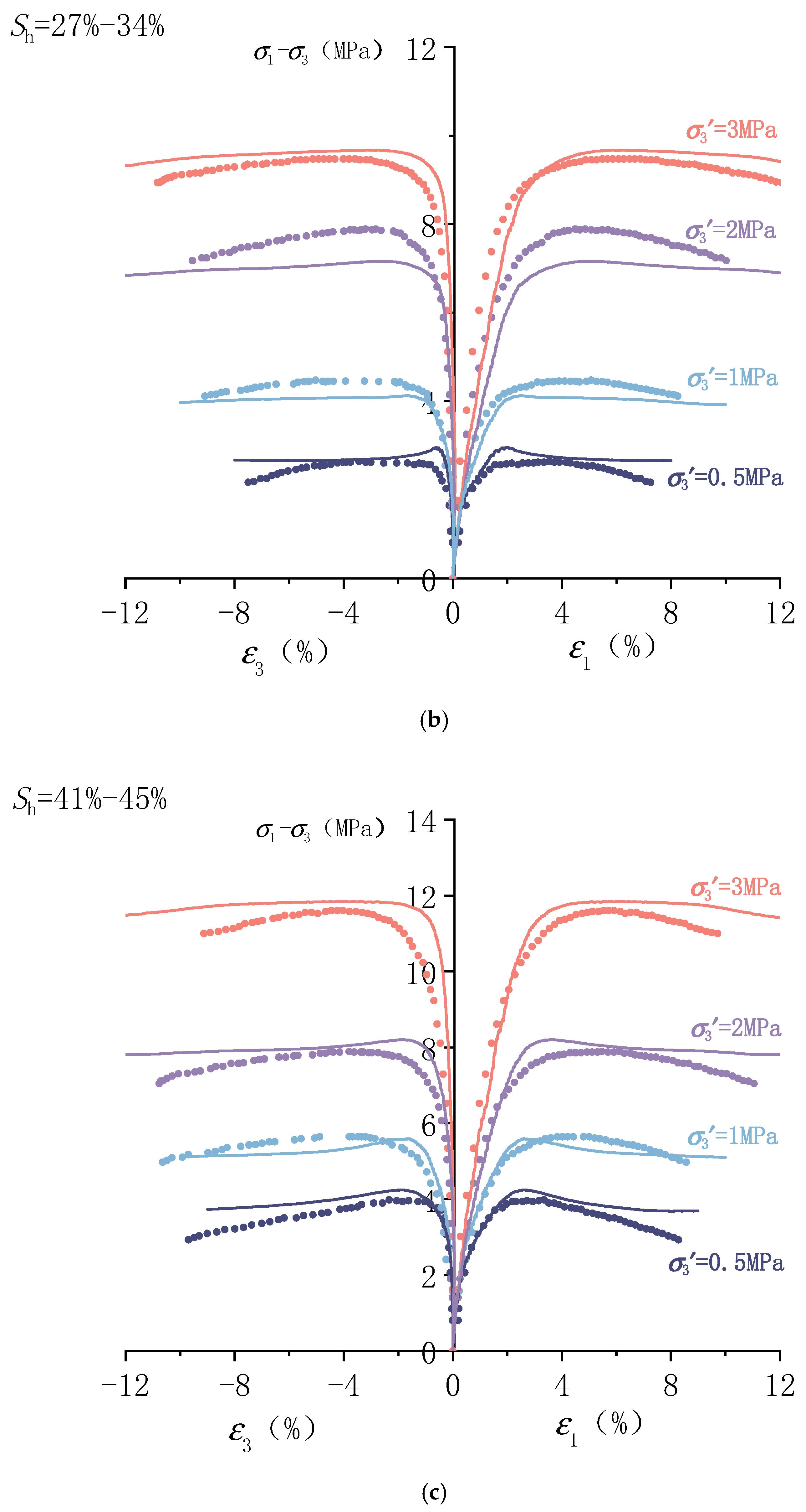
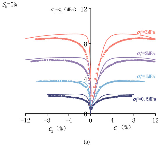
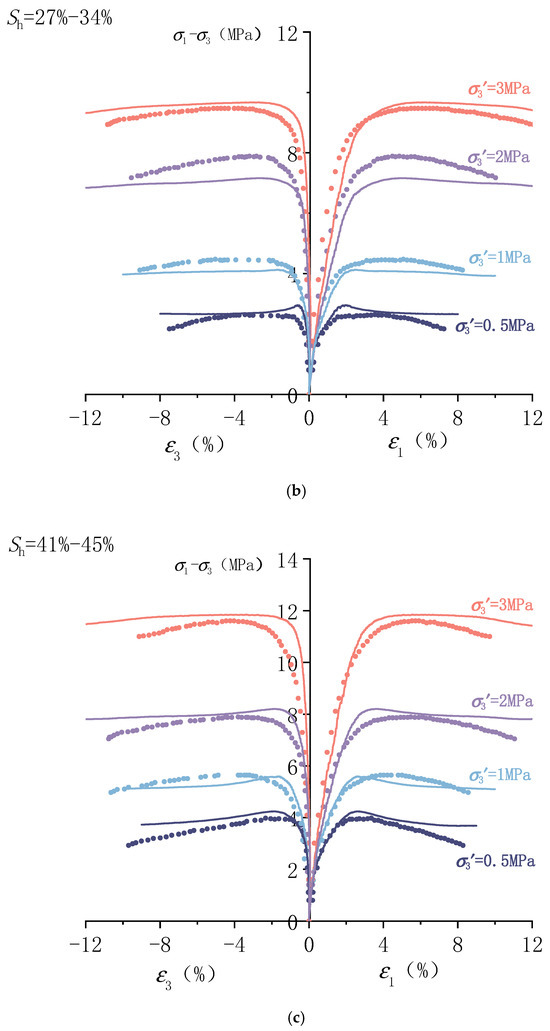
5. Model Verification
6. Slope Stability Analysis Considering the Evolution of Mechanical Parameters
7. Conclusions
- (1)
- With increasing plastic shear strain, cohesion (c) increases quickly to a peak value and then decreases gradually to a residual value for the samples with different hydrate saturations. The samples with higher hydrate saturations have higher initial values, peak values, and residual values of cohesion (c). The internal friction angle () increases quickly with increasing plastic shear strain and then becomes stable at a residual value for all the samples with different hydrate saturations.
- (2)
- The dilation angle increases from negative to positive values with increasing plastic shear strain and then becomes stable at a residual value. This shows that compaction occurs at the early stage of compression before expansion happens due to dilation.
- (3)
- A non-linearly fitted model is proposed considering the evolution of the mechanical parameters. The parameters in this proposed model have clear physical meanings.
- (4)
- The proposed model can simulate the stress–strain behaviors of the GHBS samples well. This model can be applied to different GHBS samples. This model can also be adopted in the stability analysis on the submarine slopes containing hydrate reservoirs. The analytical approach is developed accompanied by the strength reduction method.
Author Contributions
Funding
Institutional Review Board Statement
Informed Consent Statement
Data Availability Statement
Acknowledgments
Conflicts of Interest
Appendix A

Appendix B

References
- Klauda, J.B.; Sandler, S.I. Global distribution of methane hydrate in ocean sediment. Energy Fuels 2005, 19, 459–470. [Google Scholar] [CrossRef]
- Sun, C.; Li, W.; Yang, X.; Li, F.; Yuan, Q.; Mu, L.; Chen, J.; Liu, B.; Chen, G. Progress in Research of Gas Hydrate. Chin. J. Chem. Eng. 2011, 19, 151–162. [Google Scholar] [CrossRef]
- Makogon, Y.F. Perspectives for the development of gas hydrate deposits. In Gas Hydrates and Permafrost: Proceedings of the 4th Canadian Permafrost Conference; National Research Council of Canada: Ottawa, ON, Canada, 1982; pp. 299–304. [Google Scholar]
- Makogon, Y.F.; Holditch, S.; Makogon, T.Y. Natural gas-hydrates—A potential energy source for the 21st Century. J. Pet. Sci. Eng. 2007, 56, 14–31. [Google Scholar] [CrossRef]
- Makogon, Y.F. Natural gas hydrates—A promising source of energy. J. Nat. Gas Sci. Eng. 2010, 2, 49–59. [Google Scholar] [CrossRef]
- Wei, J.; Fang, Y.; Lu, H.; Lu, H.; Lu, J.; Liang, J.; Yang, S. Distribution and characteristics of natural gas hydrates in the Shenhu Sea Area, South China Sea. Mar. Pet. Geol. 2018, 98, 622–628. [Google Scholar] [CrossRef]
- Lu, Z.; Zhu, Y.; Liu, H.; Zhang, Y.; Jin, C.; Huang, X.; Wang, P. Gas source for gas hydrate and its significance in the Qilian Mountain permafrost, Qinghai. Mar. Pet. Geol. 2013, 43, 341–348. [Google Scholar] [CrossRef]
- Fujii, T.; Saeki, T.; Kobayashi, T.; Inamori, T.; Hayashi, M.; Takano, O.; Takayama, T.; Kawasaki, T.; Nagakubo, S.; Nakamizu, M.; et al. Resource Assessment of Methane Hydrate in the Eastern Nankai Trough, Japan. In Proceedings of the Offshore Technology Conference, Houston, TX, USA, 5–8 May 2008. [Google Scholar]
- Wu, P.; Li, Y.; Sun, X.; Liu, W.; Song, Y. Mechanical Characteristics of Hydrate-Bearing Sediment: A Review. Energy Fuels 2021, 35, 1041–1057. [Google Scholar] [CrossRef]
- Chen, M.; Li, Y.; Zhang, Y.; Qi, M.; Wu, N. Recent advances in creep behaviors characterization for hydrate-bearing sediment. Renew. Sustain. Energy Rev. 2023, 183, 113434. [Google Scholar] [CrossRef]
- Zhang, M.; Niu, M.; Shen, S.; Dai, S.; Xu, Y. Review of natural gas hydrate dissociation effects on seabed stability. Nat. Hazards 2021, 107, 1035–1045. [Google Scholar] [CrossRef]
- Jiang, M.; Shen, Z.; Wu, D. CFD-DEM simulation of submarine landslide triggered by seismic loading in methane hydrate rich zone. Landslides 2018, 15, 2227–2241. [Google Scholar] [CrossRef]
- Li, Q.; Wu, J. Factors affecting the lower limit of the safe mud weight window for drilling operation in hydrate-bearing sediments in the Northern South China Sea. Geomech. Geophys. Geo-Energy Geo-Resour. 2022, 8, 82. [Google Scholar] [CrossRef]
- Uchida, S.; Klar, A.; Yamamoto, K. Sand production model in gas hydrate-bearing sediments. Int. J. Rock Mech. Min. Sci. 2016, 86, 303–316. [Google Scholar] [CrossRef]
- Miyazaki, K.; Masui, A.; Sakamoto, Y.; Aoki, K.; Tenma, N.; Yamaguchi, T. Triaxial compressive properties of artificial methane-hydrate-bearing sediment. J. Geophys. Res. Solid Earth 2011, 116, B06102. [Google Scholar] [CrossRef]
- Yan, C.; Cheng, Y.; Li, M.; Han, Z.; Zhang, H.; Li, Q.; Teng, F.; Ding, J. Mechanical experiments and constitutive model of natural gas hydrate reservoirs. Int. J. Hydrogen Energy 2017, 42, 19810–19818. [Google Scholar] [CrossRef]
- Du, H.; Chen, H.; Wang, Q.; Luo, Y.; Kong, F.; Shi, B. Mechanical behavior of reservoirs with heterogeneous hydrate distribution: Analysis from the thickness and angle of the hydrate-bearing layer. Eng. Geol. 2023, 327, 107359. [Google Scholar] [CrossRef]
- Kajiyama, S.; Wu, Y.; Hyodo, M.; Nakata, Y.; Nakashima, K.; Yoshimoto, N. Experimental investigation on the mechanical properties of methane hydrate-bearing sand formed with rounded particles. J. Nat. Gas Sci. Eng. 2017, 45, 96–107. [Google Scholar] [CrossRef]
- Liu, Z.; Dai, S.; Ning, F.; Peng, L.; Wei, H.; Wei, C. Strength Estimation for Hydrate-Bearing Sediments From Direct Shear Tests of Hydrate-Bearing Sand and Silt. Geophys. Res. Lett. 2018, 45, 715–723. [Google Scholar] [CrossRef]
- Bello-Palacios, A.; Fotland, P.; Almenningen, S.; Ersland, G. Effects of methane hydrates on two-phase relative permeability in sandstone: Numerical simulation of laboratory experiments. J. Pet. Sci. Eng. 2022, 208, 109606. [Google Scholar] [CrossRef]
- Han, Z.; Zhang, L.; Zhou, J.; Pan, Z.; Wang, S.; Li, R. Effect of Mineral Grain and Hydrate Layered Distribution Characteristics on the Mechanical Properties of Hydrate-Bearing Sediments. Energies 2023, 16, 7366. [Google Scholar] [CrossRef]
- Li, Y.; Cheng, Y.; Yan, C.; Wang, Z.; Song, L. Triaxial creep tests and the visco-elastic-plastic constitutive model of hydrate formations. Gas Sci. Eng. 2023, 115, 205006. [Google Scholar] [CrossRef]
- Miyazaki, K.; Masui, A.; Tenma, N.; Ogata, Y.; Aoki, K.; Yamaguchi, T.; Sakamoto, Y. Study on mechanical behavior for methane hydrate sediment based on constant strain-rate test and unloading-reloading test under triaxial compression. Int. J. Offshore Polar Eng. 2010, 20, 61–67. [Google Scholar]
- Li, Y.; Hu, W.; Tang, H.; Wu, P.; Liu, T.; You, Z.; Yu, T.; Song, Y. Mechanical properties of the interstratified hydrate-bearing sediment in permafrost zones. Energy 2023, 282, 128970. [Google Scholar] [CrossRef]
- Martin, C.; Chandler, N. The progressive fracture of Lac du Bonnet granite. Int. J. Rock Mech. Min. Sci. Geomech. Abstr. 1994, 31, 643–659. [Google Scholar] [CrossRef]
- Walton, G. Initial guidelines for the selection of input parameters for cohesion-weakening-friction-strengthening (CWFS) analysis of excavations in brittle rock. Tunn. Undergr. Space Technol. 2019, 84, 189–200. [Google Scholar] [CrossRef]
- Jianxin, H.; Shucai, L.; Shuchen, L.; Lei, W. Post-peak stress-strain relationship of rock mass based on hoek-brown strength criterion. Procedia Earth Planet. Sci. 2012, 5, 289–293. [Google Scholar] [CrossRef]
- Niandou, H.; Shao, J.; Henry, J.; Fourmaintraux, D. Laboratory investigation of the mechanical behaviour of Tournemire shale. Int. J. Rock Mech. Min. Sci. 1997, 34, 3–16. [Google Scholar] [CrossRef]
- Jaiswal, A.; Shrivastva, B. Numerical simulation of coal pillar strength. Int. J. Rock Mech. Min. Sci. 2009, 46, 779–788. [Google Scholar] [CrossRef]
- Hajiabdolmajid, V.; Kaiser, P.; Martin, C. Modelling brittle failure of rock. Int. J. Rock Mech. Min. Sci. 2002, 6, 731–741. [Google Scholar] [CrossRef]
- Hajiabdolmajid, V.; Kaiser, P.; Martin, C. Mobilised strength components in brittle failure of rock. Geotechnique 2003, 53, 327–336. [Google Scholar] [CrossRef]
- Guo, S.; Qi, S.; Zhan, Z.; Zheng, B. Plastic-strain-dependent strength model to simulate the cracking process of brittle rocks with an existing non-persistent joint. Eng. Geol. 2017, 231, 114–125. [Google Scholar] [CrossRef]
- Pourhosseini, O.; Shabanimashcool, M. Development of an elasto-plastic constitutive model for intact rocks. Int. J. Rock Mech. Min. Sci. 2014, 66, 1–12. [Google Scholar] [CrossRef]
- Walton, G.; Arzúa, J.; Alejano, L.; Diederichs, M. A laboratory-testing-based study on the strength, deformability, and dilatancy of carbonate rocks at low confinement. Rock Mech. Rock Eng. 2015, 48, 941–958. [Google Scholar] [CrossRef]
- Klar, A.; Soga, K.; Ng, M. Coupled deformation–flow analysis for methane hydrate extraction. Geotechnique 2010, 60, 765–776. [Google Scholar] [CrossRef]
- Alejano, L.; Alonso, E. Considerations of the dilatancy angle in rocks and rock masses. Int. J. Rock Mech. Min. Sci. 2005, 42, 481–507. [Google Scholar] [CrossRef]
- Zhang, C.H.; Zhao, Q.S.; Yu, Y.J. Dilation model of heterogeneous rock affected by confined pressure. Caikuang Yu Anquan Gongcheng Xuebao/J. Min. Saf. Eng. 2011, 28, 436–440. [Google Scholar]
- Zhao, X.; Cai, M. A mobilized dilation angle model for rocks. Int. J. Rock Mech. Min. Sci. 2010, 47, 368–384. [Google Scholar] [CrossRef]
- Pinkert, S.; Grozic, J.L. An analytical-experimental investigation of gas hydrate-bearing sediment properties. In Proceedings of the Canadian Geotechnical Conference and the 11th Joint CGS/IAHCNC Ground Water Conference, Montreal, QC, Canada, 29 September–3 October 2013. [Google Scholar]
- Pinkert, S.; Grozic, J.; Priest, J. Strain-softening model for hydrate-bearing sands. Int. J. Geomech. 2015, 15, 04015007. [Google Scholar] [CrossRef]
- Elliott, G.; Brown, E. Further development of a plasticity approach to yield in porous rock. Int. J. Rock Mech. Min. Sci. Geomech. Abstr. 1986, 23, 151–156. [Google Scholar] [CrossRef]
- Cheng, C.; Xu, N.; Zheng, B. Mobilized Mohr-Coulomb and Hoek-Brown strength parameters during failure of granite in Alxa area in China for high-Level radioactive waste disposal. Energies 2019, 12, 4237. [Google Scholar] [CrossRef]
- Vermeer, P.A.; De Borst, R. Non-associated plasticity for soils, concrete and rock. HERON 1984, 29, 1984. [Google Scholar]
- Itasca Consulting Group Inc. FLAC3D 5.0 Manual; ICG: Minneapolis, MN, USA, 2010; FLAC3D; Available online: https://www.itascacg.com/software/FLAC3D (accessed on 7 March 2024).
- Xu, M.K. Numerical Simulation of Geological Disasters of Submarine Landslides in the Shenhu Area of the South China Sea; Ocean University of China: Qingdao, China, 2019. (In Chinese) [Google Scholar]









| Sh | ci (MPa) | cmax (MPa) | (%) | cr (MPa) | (%) |
|---|---|---|---|---|---|
| 0% | 0.17 | 0.26 | 12.14 | 0.23 | 30 |
| 27–34% | 0.28 | 0.47 | 0.03 | 0.03 | 30 |
| 41–45% | 0.42 | 0.70 | 1.62 | 0.42 | 30 |
| Sh | r (°) | i (°) | (%) |
|---|---|---|---|
| 0% | 33.70 | 6.30 | 5.90 |
| 27–34% | 35.59 | 7.65 | 4.99 |
| 41–45% | 37.11 | 8.65 | 7.25 |
| Sh | ψi (°) | ψr (°) | γpψ,r (%) | |
|---|---|---|---|---|
| 0% | 0.5 MPa | −8 | 23.2 | 10 |
| 1 MPa | −23 | 30 | 15 | |
| 2 MPa | −45 | 31.24 | 20 | |
| 3 MPa | −50 | 32.7 | 20 | |
| 27–34% | 0.5 MPa | −23 | 25.4 | 10 |
| 1 MPa | −15 | 32.7 | 12 | |
| 2 MPa | −40 | 26 | 21 | |
| 3 MPa | −37 | 28.7 | 20 | |
| 41–45% | 0.5 MPa | −37 | 36.8 | 16 |
| 1 MPa | −6 | 29.5 | 15 | |
| 2 MPa | −33 | 28.5 | 18 | |
| 3 MPa | −43 | 31 | 14 |
| m | n | |
|---|---|---|
| 0% | −4.07 | −16.9 |
| 27–34% | −15.25 | −6.3 |
| 41–45% | −18.23 | −7.1 |
| a1 | b1 | a2 | b2 | |
|---|---|---|---|---|
| (°) | −4.32 | −0.34 | −16.18 | 0.25 |
| a1 | b1 | a2 | b2 | |
|---|---|---|---|---|
| (°) | −4.32 | −0.34 | −16.18 | 0.25 |
| (°) | 23.5 | 0.2 | 3.27 | −0.1 |
| (°) | 8.74 | 0.1 | 4.59 | −0.08 |
| Sh | E (MPa) | ν | Initial c (MPa) | Initial φ (°) | Initial ψ (°) | Density (g/cm3) |
|---|---|---|---|---|---|---|
| 0% | 1.88 | 0.30 | 0.17 | 6.30 | 6.30 | 1660 |
| 27–34% | 2.72 | 0.35 | 0.28 | 7.65 | 7.65 | 1760 |
| 41–45% | 3.65 | 0.38 | 0.42 | 8.65 | 8.65 | 1860 |
| Sh | E (Pa) | ν | c (KPa) | φ (°) | ψ (°) | Density (g/cm3) |
|---|---|---|---|---|---|---|
| Clay layer | 3.73 × 107 | 0.28 | 25 | 16 | 8 | 1850 |
| Mudstone layer | 2.72 × 1010 | 0.36 | 25 | 25 | 12.5 | 2350 |
| Sandstone layer | 5.85 × 109 | 0.46 | 25 | 25 | 12.5 | 2600 |
| Sh | F |
|---|---|
| 0% | 1.92 |
| 27−34% | 2.15 |
| 41−45% | 2.32 |
Disclaimer/Publisher’s Note: The statements, opinions and data contained in all publications are solely those of the individual author(s) and contributor(s) and not of MDPI and/or the editor(s). MDPI and/or the editor(s) disclaim responsibility for any injury to people or property resulting from any ideas, methods, instructions or products referred to in the content. |
© 2024 by the authors. Licensee MDPI, Basel, Switzerland. This article is an open access article distributed under the terms and conditions of the Creative Commons Attribution (CC BY) license (https://creativecommons.org/licenses/by/4.0/).
Share and Cite
Yu, J.; Cheng, C.; Yang, J. Evolution Characteristics of the Strength and Dilation Parameters of Gas Hydrate-Bearing Sediments and a Modeling Study. Appl. Sci. 2024, 14, 2517. https://doi.org/10.3390/app14062517
Yu J, Cheng C, Yang J. Evolution Characteristics of the Strength and Dilation Parameters of Gas Hydrate-Bearing Sediments and a Modeling Study. Applied Sciences. 2024; 14(6):2517. https://doi.org/10.3390/app14062517
Chicago/Turabian StyleYu, Jincai, Cheng Cheng, and Jintao Yang. 2024. "Evolution Characteristics of the Strength and Dilation Parameters of Gas Hydrate-Bearing Sediments and a Modeling Study" Applied Sciences 14, no. 6: 2517. https://doi.org/10.3390/app14062517
APA StyleYu, J., Cheng, C., & Yang, J. (2024). Evolution Characteristics of the Strength and Dilation Parameters of Gas Hydrate-Bearing Sediments and a Modeling Study. Applied Sciences, 14(6), 2517. https://doi.org/10.3390/app14062517
