Sign in to use this feature.

Years

Between: -

Subjects

remove_circle_outline
remove_circle_outline
remove_circle_outline
remove_circle_outline
remove_circle_outline
remove_circle_outline
remove_circle_outline
remove_circle_outline
remove_circle_outline

Journals

remove_circle_outline
remove_circle_outline
remove_circle_outline
remove_circle_outline
remove_circle_outline
remove_circle_outline
remove_circle_outline
remove_circle_outline
remove_circle_outline
remove_circle_outline
remove_circle_outline

Article Types

Countries / Regions

remove_circle_outline
remove_circle_outline
remove_circle_outline
remove_circle_outline
remove_circle_outline

Search Results (955)

Search Parameters:
Keywords = collision prediction

Order results
Result details
Results per page
Select all
Export citation of selected articles as:
21 pages, 1850 KB  
Article
A Spatio-Temporal Hybrid Multi-Head Attention Model for AIS-Based Ship Trajectory Prediction
by Yuhui Liu, Xiongguan Bao, Shuangming Li, Chenhui Gu and Qihua Fang
Future Transp. 2026, 6(3), 94; https://doi.org/10.3390/futuretransp6030094 - 24 Apr 2026
Abstract
To improve ship AIS trajectory prediction under pronounced spatiotemporal coupling and dynamic maneuvering conditions, this study proposes a Spatio-Temporal-Hybrid-Multi-head Attention model (STHA) integrating multiscale convolution, bidirectional long short-term memory, and multi-head attention. Historical AIS data from the Zhoushan waters in 2024 were preprocessed [...] Read more.
To improve ship AIS trajectory prediction under pronounced spatiotemporal coupling and dynamic maneuvering conditions, this study proposes a Spatio-Temporal-Hybrid-Multi-head Attention model (STHA) integrating multiscale convolution, bidirectional long short-term memory, and multi-head attention. Historical AIS data from the Zhoushan waters in 2024 were preprocessed through screening, cleaning, outlier removal, resampling, and cubic spline interpolation to construct trajectory samples. Comparative experiments were conducted against BP, BiLSTM, and BiGRU using MAPE, RMSE, and R2 as evaluation metrics. The results show that STHA achieves the best overall predictive performance, more accurately follows trajectory variations across different vessel types, and exhibits better robustness in scenarios involving turning and speed changes. These findings indicate that the proposed model is effective for high-precision ship trajectory prediction and can provide useful support for subsequent collision risk assessment and navigation safety assistance. Full article
(This article belongs to the Special Issue Next-Generation AI and Foundation Models for Transportation Systems)
48 pages, 3643 KB  
Review
A Comprehensive Review of Ship Collision Risk Assessment and Safety Index Development
by Muhamad Imam Firdaus, Muhammad Badrus Zaman and Raja Oloan Saut Gurning
Safety 2026, 12(2), 57; https://doi.org/10.3390/safety12020057 - 21 Apr 2026
Viewed by 111
Abstract
Ship collision accidents remain a critical concern in maritime safety because of their potential to cause operational disruption as well as environmental and economic damage in areas with dense shipping activity. Complex traffic interactions, differences in vessel characteristics, and dynamic environmental conditions make [...] Read more.
Ship collision accidents remain a critical concern in maritime safety because of their potential to cause operational disruption as well as environmental and economic damage in areas with dense shipping activity. Complex traffic interactions, differences in vessel characteristics, and dynamic environmental conditions make collision risk increasingly difficult to manage using traditional navigation measures alone. This paper presents a structured review of ship collision research, focusing on collision impacts, collision avoidance strategies, risk assessment methodologies, and safety index development. The review synthesizes reported collision cases and their environmental consequences, examines commonly used analytical frameworks including probabilistic, data-driven, and multicriteria approaches, and discusses recent developments in AIS-based analysis, sensor-based monitoring, and intelligent prediction techniques. The analysis identifies several methodological gaps in existing studies. Collision avoidance methods and risk assessment models are often developed independently, while their integration with safety index frameworks remains limited. In addition, safety index formulations differ considerably in terms of indicator selection and modeling approaches, which reduces comparability between studies conducted in different waterways. The findings highlight how different analytical approaches contribute to maritime safety evaluation at strategic, operational, and real-time levels and provide insights for developing more integrated safety assessment frameworks to support navigation risk monitoring in high-traffic maritime environments. Full article
(This article belongs to the Special Issue Transportation Safety and Crash Avoidance Research)
24 pages, 455 KB  
Article
Fragmentation of Nuclear Remnants in Electron–Nucleus Collisions at High Energy as a Nonextensive Process
by Ting-Ting Duan, Sahanaa Büriechin, Hai-Ling Lao, Fu-Hu Liu and Khusniddin K. Olimov
Entropy 2026, 28(4), 470; https://doi.org/10.3390/e28040470 (registering DOI) - 20 Apr 2026
Viewed by 126
Abstract
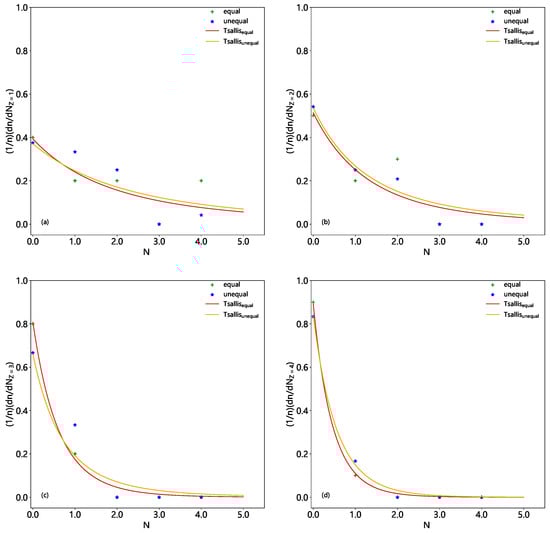
Utilizing a partitioning method based on equal (or unequal) probabilities—without incorporating the alpha-cluster (α-cluster) model—allows for the derivation of diverse topological configurations of nuclear fragments resulting from fragmentation. Subsequently, we predict the multiplicity distribution of nuclear fragments for specific excited nuclei, [...] Read more.
Utilizing a partitioning method based on equal (or unequal) probabilities—without incorporating the alpha-cluster (α-cluster) model—allows for the derivation of diverse topological configurations of nuclear fragments resulting from fragmentation. Subsequently, we predict the multiplicity distribution of nuclear fragments for specific excited nuclei, such as Be*9, C*12, and O*16, which can be formed as nuclear remnants in electron–nucleus (eA) collisions at high energy. Based on the α-cluster model, an α-cluster structure may result in deviations in the multiplicity distributions of nuclear fragments with charge Z=2, compared to those predicted by the partitioning methods. Furthermore, in the framework of Tsallis statistics, the nonextensive generalized temperature, entropy index, and q-entropy are obtained from the multiplicity distribution of nuclear fragments with a given charge number. Our work shows that fragmentation of nuclear remnants in electron–nucleus collisions at high energy is a nonextensive process. Full article
(This article belongs to the Special Issue Complexity in High-Energy Physics: A Nonadditive Entropic Perspective)
Show Figures

Figure 1

25 pages, 3192 KB  
Article
Flocking Dynamics of Multi-Agent Systems Based on an Extended Cucker–Smale Model with Nonlinear Coupling and Binding Forces
by Yimeng Li, Yinghua Jin and Wenping Fan
Appl. Sci. 2026, 16(8), 3933; https://doi.org/10.3390/app16083933 - 18 Apr 2026
Viewed by 112
Abstract
This paper develops an extended Cucker–Smale model that integrates nonlinear velocity alignment with state-dependent binding forces to achieve stable, collision-free flocking in multi-agent systems. Our framework introduces two dedicated control mechanisms: a velocity-dissipative term (K1) for accelerated convergence, and a [...] Read more.
This paper develops an extended Cucker–Smale model that integrates nonlinear velocity alignment with state-dependent binding forces to achieve stable, collision-free flocking in multi-agent systems. Our framework introduces two dedicated control mechanisms: a velocity-dissipative term (K1) for accelerated convergence, and a distance-regulating term (K2) for formation cohesion and collision avoidance, which collectively ensure stable flocking. Rigorous Lyapunov analysis establishes provable guarantees for asymptotic velocity alignment and collision safety under verifiable initial energy conditions. Numerical simulations validate the theoretical predictions for a 20-agent swarm; scalability analysis demonstrates effective coordination in systems of up to 100 agents and reveals that velocity synchronization improves substantially—with errors decreasing by nearly two orders of magnitude—as K2 increases from 0.05 to 0.50. A Pareto-optimal parameter region (K2[0.15,0.30]) is identified, which achieves sub-centimeter-per-second alignment accuracy while maintaining energy consumption below 35% of the baseline. The proposed framework provides a theoretically rigorous yet practically viable solution for applications demanding guaranteed safety and precise coordination, such as UAV formations, robotic swarms, and autonomous vehicle platoons. Full article
Show Figures

Figure 1

18 pages, 17622 KB  
Article
Investigation of Critical Liquid-Carrying Flow Rates Across Various Sections in Horizontal Gas Wells
by Muyuan Chen, Jieze Jin, Xin Xue, Yichen Zhang, Le Yuan and Jie Zheng
Processes 2026, 14(8), 1292; https://doi.org/10.3390/pr14081292 - 17 Apr 2026
Viewed by 181
Abstract
To address the challenges of complex wellbore trajectories in horizontal gas wells and the significant differences in droplet entrainment laws across various well sections, which make it difficult to accurately predict the most critical location for liquid loading, this study establishes a prediction [...] Read more.
To address the challenges of complex wellbore trajectories in horizontal gas wells and the significant differences in droplet entrainment laws across various well sections, which make it difficult to accurately predict the most critical location for liquid loading, this study establishes a prediction model for the critical liquid-carrying flow rate in different well sections. The model is based on droplet force balance and Kelvin–Helmholtz wave theory, considering droplet deformation and energy losses due to wall collisions and friction. By integrating the critical liquid-carrying flow rate models for each section with a four-field coupled wellbore prediction model, a coupled temperature-pressure and liquid-carrying prediction model is developed. Sensitivity analysis was performed on factors influencing the critical liquid-carrying flow rate, and a field data analysis was conducted on 43 gas wells. The results indicate that the proposed model provides accurate predictions, with only one well being misjudged. For four wells near the liquid loading state, the predictions were within a ±15% error range, with an average deviation of only 5.9%. The research results provide a theoretical basis for the accurate prediction of liquid loading in horizontal gas wells. Full article
(This article belongs to the Section Petroleum and Low-Carbon Energy Process Engineering)
Show Figures

Figure 1

19 pages, 586 KB  
Article
Emergent Pedestrian Safety in a World-Model Driving Agent Under Adversarial Interaction Without Explicit Safety Rewards
by Stefan Zlatinov, Gorjan Nadzinski, Vesna Ojleska Latkoska, Dushko Stavrov and Mile Stankovski
Appl. Sci. 2026, 16(8), 3915; https://doi.org/10.3390/app16083915 - 17 Apr 2026
Viewed by 196
Abstract
Pedestrian interaction remains a central safety challenge for autonomous driving, particularly under non-compliant or adversarial pedestrian behavior. Existing research and evaluations predominantly test against rule-following pedestrians, leaving a gap in understanding how learning-based agents handle worst-case interactions. We introduce the Jaywalkers Library, a [...] Read more.
Pedestrian interaction remains a central safety challenge for autonomous driving, particularly under non-compliant or adversarial pedestrian behavior. Existing research and evaluations predominantly test against rule-following pedestrians, leaving a gap in understanding how learning-based agents handle worst-case interactions. We introduce the Jaywalkers Library, a novel configurable benchmark in CARLA with three adversarial pedestrian archetypes (Intruder, Indecisive Crosser, and Protester). We evaluate a DreamerV3 agent trained with sparse rewards, where the only pedestrian-specific signal is a terminal collision penalty. Evaluation employs a frozen-policy protocol with explicit train–test separation. Safety behavior is decomposed into endpoint outcomes, evasion dynamics, and efficiency costs. Under nominal conditions, the agent achieves high route completion and generalizes to an unseen town, whereas under adversarial exposure, an archetype-sensitive evasion strategy emerges. The agent swerves at speed against dynamic pedestrians but decelerates against the slow-moving Protester. Collision rates reveal a counterintuitive difficulty ordering in which the Protester is the hardest, followed by the Intruder, with the Indecisive Crosser as the most survivable. These findings show that a sparse terminal penalty suffices for emergent pedestrian avoidance in a world-model agent, but that effectiveness is bounded by the world model’s ability to predict pedestrian persistence. Full article
(This article belongs to the Special Issue Advances in Virtual Reality and Vision for Driving Safety)
Show Figures

Figure 1

34 pages, 10503 KB  
Article
Multi-Objective Trajectory Optimization for Autonomous Vehicles Based on an Improved Driving Risk Field
by Jianping Gao, Wenju Liu, Pan Liu, Peiyi Bai and Chengwei Xie
Modelling 2026, 7(2), 75; https://doi.org/10.3390/modelling7020075 - 17 Apr 2026
Viewed by 164
Abstract
Trajectory planning in dynamic multi-vehicle interaction environments faces three critical challenges, including the difficulty of quantifying spatial risk distributions, the complexity of characterizing behavioral uncertainty arising from the multimodal maneuvers of surrounding vehicles, and the challenge of simultaneously optimizing multiple competing objectives such [...] Read more.
Trajectory planning in dynamic multi-vehicle interaction environments faces three critical challenges, including the difficulty of quantifying spatial risk distributions, the complexity of characterizing behavioral uncertainty arising from the multimodal maneuvers of surrounding vehicles, and the challenge of simultaneously optimizing multiple competing objectives such as safety, efficiency, comfort, and energy consumption. To address these challenges, this paper proposes an Improved Driving Risk Field-based Multi-objective Trajectory Optimization (IDRF-MTO) method. First, a joint spatiotemporal social attention mechanism achieves unified modeling of spatial interactions, temporal dependencies, and spatiotemporal coupling, combined with a lateral–longitudinal intent strategy for multimodal trajectory prediction. Second, an improved dynamic risk field model is constructed comprising three components: a vehicle risk field that incorporates spatial orientation and motion direction factors for anisotropic risk representation, along with a collision tendency factor that converts objective risk into effective risk; a predicted trajectory risk field that achieves anticipatory quantification of future risk from surrounding vehicles through confidence-weighted fusion; and a driving environment risk field that encapsulates road geometry, static obstacles, and environmental conditions. Finally, a multi-objective cost function embedding risk field gradients is formulated, and multi-objective coordinated optimization is realized through a three-dimensional spatiotemporal situation graph with adaptive safety sampling. Simulation results demonstrate that the proposed method enhances safety while simultaneously improving comfort and efficiency and reducing energy consumption, exhibiting excellent planning performance in complex dynamic environments. Full article
(This article belongs to the Special Issue Advanced Modelling Techniques in Transportation Engineering)
Show Figures

Graphical abstract

23 pages, 5670 KB  
Article
From Probabilistic Pedestrian Intent to Risk-Optimal Trajectories: A Prediction-Driven Planning Framework in Shared Spaces
by Yi Luo, Ting Wang, Yunyi Wang and Rongjun Cheng
Systems 2026, 14(4), 434; https://doi.org/10.3390/systems14040434 - 16 Apr 2026
Viewed by 239
Abstract
With the widespread application of autonomous vehicles (AVs), their dynamic interactions with other road users pose significant challenges to trajectory planning. Previous research on trajectory planning in shared spaces has mainly focused on generating smooth trajectories, while research considering the risks of human–vehicle [...] Read more.
With the widespread application of autonomous vehicles (AVs), their dynamic interactions with other road users pose significant challenges to trajectory planning. Previous research on trajectory planning in shared spaces has mainly focused on generating smooth trajectories, while research considering the risks of human–vehicle interactions remains insufficient. Therefore, a risk-considered trajectory planning framework for autonomous vehicles is proposed. This framework includes two modules: pedestrian trajectory prediction and vehicle planning. In the prediction module, Social-STGCNN is used to predict pedestrian trajectories, obtaining a series of trajectories and probabilities, which serve as input to the planning module. To ensure the rationality of trajectory planning, a planning model is established in Frenet coordinates based on a quintic polynomial. Combining Bayesian and equality principles, a risk-considered cost function is designed. Under this framework, the risk value is calculated using the pedestrian trajectory prediction probability, and further Bayesian and equality costs are calculated. Based on the constraints, the trajectory with the minimum cost is solved. To evaluate the rationality of this framework, we designed simulation experiments for five typical high-conflict scenarios: overtaking in the same direction, head-on collision, pedestrian crossing, encountering pedestrians from multiple directions, and turning while encountering pedestrians crossing. Simultaneously, the framework is validated in a real-world environment. The results show that the proposed method can accurately capture pedestrians’ crossing intentions and effectively avoid pedestrians. The trajectory generated in the real environment is highly consistent with that of a driver, and it exhibits excellent adaptability and robustness in high-density mixed traffic environments. Full article
Show Figures

Figure 1

52 pages, 1369 KB  
Review
Dynamic Properties in a Collisional Model for Confined Granular Fluids: A Review
by Ricardo Brito, Rodrigo Soto and Vicente Garzó
Entropy 2026, 28(4), 454; https://doi.org/10.3390/e28040454 - 15 Apr 2026
Viewed by 156
Abstract
Granular systems confined in a shallow box and subjected to vertical vibration provide an attractive geometry for studying fluidized granular media. In this configuration, grains acquire kinetic energy in the vertical direction through collisions with the confining walls, and this energy is subsequently [...] Read more.
Granular systems confined in a shallow box and subjected to vertical vibration provide an attractive geometry for studying fluidized granular media. In this configuration, grains acquire kinetic energy in the vertical direction through collisions with the confining walls, and this energy is subsequently transferred to the horizontal degrees of freedom via interparticle collisions. In recent years, the so-called Δ-model has been introduced as a simplified yet effective description of the dynamics of granular systems in such geometries. This review presents the results obtained from kinetic theory for the granular Δ-model. To model the energy transfer mechanism, a fixed velocity increment Δ is added to the normal component of the relative velocity during collisions. In this way, the vertical motion is effectively integrated out while retaining the collisional energy injection characteristic of the confined setup. This mechanism compensates for the energy loss due to inelastic collisions and leads to stable homogeneous steady states that can be analyzed within the framework of kinetic theory. The Enskog kinetic equation is formulated for this model and first analyzed in homogeneous steady states, yielding the stationary temperature and the equation of state. The dynamics of inhomogeneous states is then investigated using the Chapman–Enskog method, from which the Navier–Stokes transport coefficients are derived. The theory is further extended to granular mixtures, in which particles may differ in mass, size, restitution coefficient, or in the value of Δ. In this case, the phenomenology becomes richer; for example, energy equipartition is violated even in homogeneous steady states. The mixture dynamics is studied through the corresponding Navier–Stokes equations, and the associated transport coefficients are obtained in the low-density regime. The analysis of the hydrodynamic equations shows that, in agreement with simulations, the homogeneous state is linearly stable. Moreover, the intrinsically nonequilibrium nature of the model leads to the violation of Onsager reciprocity relations in granular mixtures. The theoretical predictions exhibit in general good agreement with both molecular dynamics simulations and direct simulation Monte Carlo results. Full article
(This article belongs to the Special Issue Review Papers for Entropy, Second Edition)
Show Figures

Figure 1

11 pages, 1880 KB  
Article
State-Selective Single-Electron Capture from H2O at Low Collision Energies Using the Classical Trajectory Monte Carlo Method
by James A. Perez and Josh A. Muller
Atoms 2026, 14(4), 33; https://doi.org/10.3390/atoms14040033 - 10 Apr 2026
Viewed by 250
Abstract
A three-body classical trajectory Monte Carlo method is used to investigate state-specific electron capture from H2O by highly charged ions. The radial and momentum distributions of the target electron are modeled using a one-center molecular orbital wave function. Total single-electron capture [...] Read more.
A three-body classical trajectory Monte Carlo method is used to investigate state-specific electron capture from H2O by highly charged ions. The radial and momentum distributions of the target electron are modeled using a one-center molecular orbital wave function. Total single-electron capture cross sections, as well as cross sections for capture into specific nl-states, are calculated for the highly charged ion projectiles, C6+, N7+, Ne10+, and Ar18+, at relative collision energies ranging from 0.01 keV/amu to 50 keV/amu. Comparisons of relative n-state capture populations and total single-electron capture cross sections are made with experimental results. The results show a marked improvement in the prediction of relative n-states populated, with the overall single-electron single capture cross sections being slightly low compared with experimental values. Overall, this method of calculating nl-states of the captured electron appears to be a promising approach for those wishing to model X-ray and Extreme Ultraviolet (EUV) emissions from comets bombarded by solar wind ions, and fusion researchers trying to determine the effects of impurities in Tokomak reactors. Full article
Show Figures

Figure 1

57 pages, 7447 KB  
Review
Dynamic Response of the Towing System for Different Seabed Topography Conditions
by Dapeng Zhang, Shengqing Zeng, Kefan Yang, Keqi Yang, Jingdong Shi, Sixing Guo, Yixuan Zeng and Keqiang Zhu
J. Mar. Sci. Eng. 2026, 14(8), 696; https://doi.org/10.3390/jmse14080696 - 8 Apr 2026
Viewed by 316
Abstract
The safe and efficient operation of deep-sea towing systems is heavily governed by the highly nonlinear dynamic interaction between the flexible towing cable and complex seabed topographies. While existing studies accurately predict cable dynamics in mid-water or over flat seabeds, the transient responses—such [...] Read more.
The safe and efficient operation of deep-sea towing systems is heavily governed by the highly nonlinear dynamic interaction between the flexible towing cable and complex seabed topographies. While existing studies accurately predict cable dynamics in mid-water or over flat seabeds, the transient responses—such as local stress concentrations and extreme tension fluctuations—induced by discontinuous topographies (e.g., stepped or 3D irregular seabeds) remain inadequately quantified. In this study, we develop an advanced 3D dynamic numerical model combining the lumped-mass finite element formulation with a modified non-linear penalty-based seabed-contact mechanics algorithm. This framework systematically evaluates the tension distribution, bending curvature, and spatial configuration shifts in the cable during the touchdown and detachment phases across inclined, stepped, and 3D seabeds. Quantitative validation against established benchmarks demonstrates robust accuracy. Results indicate that steeper seabed inclinations linearly reduce detachment time but exponentially amplify initial contact tension. Over-stepped terrains, “point-to-line” transient collisions trigger sudden tension spikes exceeding steady-state values by up to 45%. Furthermore, 3D irregular seabeds induce severe multi-directional spatial deformations, precipitating destructive whiplash effects at high towing speeds (e.g., V > 2.2 m/s). These findings provide critical physical insights and a quantitative reference for optimizing tugboat maneuvering strategies and designing fatigue-resistant cables in complex sub-sea environments. Full article
Show Figures

Figure 1

24 pages, 5827 KB  
Article
Collision Avoidance with the Novel Advanced Shared Smooth Control in Teleoperated Mobile Robot Vehicles
by Teressa Talluri, Eugene Kim, Myeong-Hwan Hwang, Amarnathvarma Angani and Hyun-Rok Cha
Electronics 2026, 15(7), 1510; https://doi.org/10.3390/electronics15071510 - 3 Apr 2026
Viewed by 333
Abstract
To address collision risks in teleoperated mobile robotic vehicles, this study proposes a Human–Machine Interaction-based Advanced Smooth Shared Control (ASSC) system aimed at enhancing obstacle avoidance and achieving smooth shared control between human operators and the automation system. The ASSC system integrates a [...] Read more.
To address collision risks in teleoperated mobile robotic vehicles, this study proposes a Human–Machine Interaction-based Advanced Smooth Shared Control (ASSC) system aimed at enhancing obstacle avoidance and achieving smooth shared control between human operators and the automation system. The ASSC system integrates a novel approach using predictive vectors to represent the vehicle’s heading position, automatically adjusting the steering position upon obstacle detection to ensure smooth collision avoidance without changing the driver’s perception. Feedback forces applied to the steering wheel are calculated through an artificial potential field algorithm. Twenty participants were invited to operate the vehicle, providing feedback on the ASSC system’s performance relative to conventional obstacle avoidance methods. Performance metrics such as the effects of communication delays, Time to Complete the Task (TTC), ASSC effectiveness, performance of the delay impact on the ASSC system, and the Number of Obstacle Collisions (NOC) are analyzed. The results demonstrate that the ASSC system significantly outperforms traditional obstacle avoidance methods, providing more precise control in teleoperation. Statistical analysis indicates that the ASSC system improves safety, comfort and operational performance by 12.8%. This research highlights the ASSC system as a promising solution for enhancing automation, safety, and human–machine interaction in teleoperated mobile robotic vehicles. Full article
(This article belongs to the Special Issue Teleoperation of Semi-Autonomous Systems)
Show Figures

Figure 1

13 pages, 4616 KB  
Review
Current Status and Future Prospects of the LHCf Experiment
by Oscar Adriani, Eugenio Berti, Pietro Betti, Lorenzo Bonechi, Massimo Bongi, Raffaello D’Alessandro, Sebastiano Detti, Elena Gensini, Elena Geraci, Maurice Haguenauer, Vlera Hajdini, Cigdem Issever, Yoshitaka Itow, Katsuaki Kasahara, Haruka Kobayashi, Clara Leitgeb, Yutaka Matsubara, Hiroaki Menjo, Yasushi Muraki, Andrea Paccagnella, Paolo Papini, Giuseppe Piparo, Sergio Bruno Ricciarini, Takashi Sako, Nobuyuki Sakurai, Monica Scaringella, Yuki Shimizu, Tadashi Tamura, Alessio Tiberio, Shoji Torii, Alessia Tricomi, Bill Turner and Kenji Yoshidaadd Show full author list remove Hide full author list
Particles 2026, 9(2), 34; https://doi.org/10.3390/particles9020034 - 2 Apr 2026
Viewed by 299
Abstract
The Large Hadron Collider forward (LHCf) experiment studies the production of neutral particles in the very forward region of high-energy hadronic collisions at the LHC. These measurements provide essential calibration data for hadronic interaction models used in simulations of extensive air showers initiated [...] Read more.
The Large Hadron Collider forward (LHCf) experiment studies the production of neutral particles in the very forward region of high-energy hadronic collisions at the LHC. These measurements provide essential calibration data for hadronic interaction models used in simulations of extensive air showers initiated by ultra-high-energy cosmic rays. The LHCf experiment measures forward-produced neutral particles, such as neutrons, photons, π0, and η mesons, which play a key role in the development of extensive air showers. Proton–proton collisions at the LHC reach center-of-mass energies up to 13.6 TeV, corresponding in the fixed-target frame to cosmic-ray interactions at energies close to 1017 eV in the Earth’s atmosphere. LHCf has collected data in proton–proton collisions at several energies, as well as in proton–lead collisions, enabling detailed comparisons between experimental results and predictions of hadronic interaction models. This contribution reviews the most significant LHCf results, with emphasis on Run II proton–proton data at s=13TeV, including measurements of forward neutron, photon, and η meson production. Finally, future prospects are discussed, focusing on ongoing analyses of Run III proton–proton data at s=13.6TeV and on the final LHCf operation in proton-oxygen collisions at sNN=9.6TeV, which best reproduces cosmic-ray interactions with nuclei of the Earth’s atmosphere. Full article
Show Figures

Figure 1

18 pages, 5683 KB  
Article
Prevention of Motorcycle–Car Door Collisions by Using a Deep-Learning-Based Automatic Braking Assistance System
by Yaojung Shiao and Tan-Linh Huynh
Sensors 2026, 26(7), 2175; https://doi.org/10.3390/s26072175 - 31 Mar 2026
Viewed by 366
Abstract
Collisions between motorcycles and car doors that are being opened are common, preventable accidents that can result in fatalities. A critical limitation of safety advancements in both cars and motorcycles is high cost associated with the use of radar sensors. In this study, [...] Read more.
Collisions between motorcycles and car doors that are being opened are common, preventable accidents that can result in fatalities. A critical limitation of safety advancements in both cars and motorcycles is high cost associated with the use of radar sensors. In this study, a deep learning model was integrated into an inexpensive and camera-utilizing automatic braking assistance system for motorcycles to enhance braking performance and alert motorcyclists to avoid collisions. This research involved two stages: (1) the training of a deep learning model for detecting car door states and (2) the design of safety mechanisms for selecting appropriate braking intensity and front braking ratio values on the basis of the model’s output, time-to-collision, the rider’s braking action, and the initial braking speed, in order to achieve optimal braking performance. Specifically, the YOLOv12s object detection model showed high performance in predicting the states of car doors, exhibiting precision, recall, and mean average precision values of 90.5%, 80.6%, and 87.8%, respectively. The braking intensity of the system was set to 0%, 25%, 50%, or 100% in scenarios involving opening states of the car door (closed, small, medium, or large opening), time-to-collision values, and the rider’s braking action. The optimal front braking ratio function was determined based on the initial braking speed to achieve the optimal braking performance. At an initial braking speed of 60 km/h, the braking stroke under a front braking ratio of 45% was 35.61% and 13.37% shorter than those under front braking ratios of 20% and 60%, respectively. The proposed braking assistance system can feasibly be deployed in the real world because it can respond within a safe time window under the conditions studied, which is approximately 0.5 s. However, further refinement is required, including improvement of the robustness of the object detection model through the collection of a larger and more diverse dataset, experimental measurement of front braking ratios to determine the optimal braking performance in real scenarios, and design of a physical actuator to control braking intensity and the front braking ratio in real time. Full article
(This article belongs to the Special Issue Intelligent Traffic Safety and Security)
Show Figures

Figure 1

20 pages, 13941 KB  
Article
A Graph Learning-Driven Method for Multi-Ship Collision Risk Prediction in Complex Waterways
by Jie Wang, Shijie Liu and Yan Zhang
J. Mar. Sci. Eng. 2026, 14(7), 658; https://doi.org/10.3390/jmse14070658 - 31 Mar 2026
Viewed by 324
Abstract
The proactive identification of emerging collision risks is pivotal for maritime traffic safety, particularly in congested hub ports where multi-ship encounters exhibit complex spatiotemporal dependencies. Conventional risk assessment methods, predominantly predicated on instantaneous geometric indicators, often fall short in capturing the systemic evolution [...] Read more.
The proactive identification of emerging collision risks is pivotal for maritime traffic safety, particularly in congested hub ports where multi-ship encounters exhibit complex spatiotemporal dependencies. Conventional risk assessment methods, predominantly predicated on instantaneous geometric indicators, often fall short in capturing the systemic evolution of risk. To address these limitations, this study proposes an Improved Spatio-Temporal Graph Convolutional Network (IST-GCN) framework for the short-term forecasting of ship collision risk. The framework models maritime traffic as a rule-integrated dynamic interaction graph, where edge weights are adaptively modulated by navigational rules and the Collision Risk Index (CRI). By leveraging historical observation windows, the model forecasts the maximum collective risk level over a subsequent prediction horizon, categorizing traffic scenes into three ordinal levels: Low, Medium, and High. A comprehensive case study utilizing real-world Automatic Identification System (AIS) data from the core waters of Ningbo–Zhoushan Port demonstrates the efficacy of the proposed approach. The IST-GCN achieves a superior prediction Accuracy of 92.4% and an F1-score of 0.91, significantly outperforming representative baselines including Long Short-Term Memory (LSTM), Temporal Convolutional Network (TCN), and standard ST-GCN. Notably, by explicitly encoding COLREGs-based interaction logic, the framework reduces the False Alarm Rate (FAR) to 8.5% in complex crossing and merging scenarios. These findings indicate that the IST-GCN serves as an interpretable, reliable, and early-warning decision-support tool for intelligent maritime supervision and modern Vessel Traffic Services (VTS). Full article
(This article belongs to the Special Issue Advances in Maritime Shipping)
Show Figures

Figure 1

Back to TopTop