Sign in to use this feature.

Years

Between: -

Subjects

remove_circle_outline
remove_circle_outline
remove_circle_outline
remove_circle_outline
remove_circle_outline
remove_circle_outline
remove_circle_outline

Journals

Article Types

Countries / Regions

Search Results (109)

Search Parameters:
Keywords = GJB2

Order results
Result details
Results per page
Select all
Export citation of selected articles as:
17 pages, 1214 KB  
Article
A Study of Gene Expression Levels of Parkinson’s Disease Using Machine Learning
by Sonia Lilia Mestizo-Gutiérrez, Joan Arturo Jácome-Delgado, Nicandro Cruz-Ramírez, Alejandro Guerra-Hernández, Jesús Alberto Torres-Sosa, Viviana Yarel Rosales-Morales and Gonzalo Emiliano Aranda-Abreu
BioMedInformatics 2025, 5(4), 60; https://doi.org/10.3390/biomedinformatics5040060 - 29 Oct 2025
Viewed by 312
Abstract
Parkinson’s disease (PD) is the second most common neurodegenerative disorder, characterized primarily by motor impairments due to the loss of dopaminergic neurons. Despite extensive research, the precise causes of PD remain unknown, and reliable non-invasive biomarkers are still lacking. This study aimed to [...] Read more.
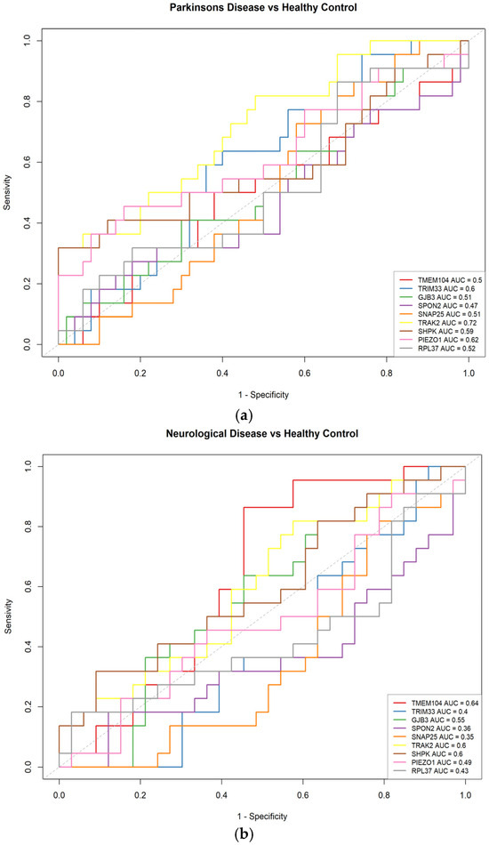
Parkinson’s disease (PD) is the second most common neurodegenerative disorder, characterized primarily by motor impairments due to the loss of dopaminergic neurons. Despite extensive research, the precise causes of PD remain unknown, and reliable non-invasive biomarkers are still lacking. This study aimed to explore gene expression profiles in peripheral blood to identify potential biomarkers for PD using machine learning approaches. We analyzed microarray-based gene expression data from 105 individuals (50 PD patients, 33 with other neurodegenerative diseases, and 22 healthy controls) obtained from the GEO database (GSE6613). Preprocessing was performed using the “affy” package in R with Expresso normalization. Feature selection and classification were conducted using a decision tree approach (C4.5/J48 algorithm in WEKA), and model performance was evaluated with 10-fold cross-validation. Additional classifiers such as Support Vector Machine (SVM), the Naive Bayes classifier and Multilayer Perceptron Neural Network (MLP) were used for comparison. ROC curve analysis and Gene Ontology (GO) enrichment analysis were applied to the selected genes. A nine-gene decision tree model (TMEM104, TRIM33, GJB3, SPON2, SNAP25, TRAK2, SHPK, PIEZO1, RPL37) achieved 86.71% accuracy, 88% sensitivity, and 87% specificity. The model significantly outperformed other classifiers (SVM, Naive Bayes, MLP) in terms of overall predictive accuracy. ROC analysis showed moderate discrimination for some genes (e.g., TRAK2, TRIM33, PIEZO1), and GO enrichment revealed associations with synaptic processes, inflammation, mitochondrial transport, and stress response pathways. Our decision tree model based on blood gene expression profiles effectively discriminates between PD, other neurodegenerative conditions, and healthy controls, offering a non-invasive method for potential early diagnosis. Notably, TMEM104, TRIM33, and SNAP25 emerged as promising candidate biomarkers, warranting further investigation in larger and synthetic datasets to validate their clinical relevance. Full article
Show Figures

Graphical abstract

10 pages, 1467 KB  
Case Report
A Novel 1259 bp Intragenic Deletion in the GJB2 Gene in a Mexican Family with Congenital Profound Hearing Loss
by David Oaxaca-Castillo, Laura Taño-Portuondo, Montserrat Rodríguez-Ballesteros, Gerardo Pérez-Mendoza, Igrid García-González, Jorge Canto-Herrera, María Domínguez-Ruiz, Doris Pinto-Escalante, Orlando Vargas-Sierra, Damaris Estrella-Castillo, Paola López-González, Javier E. Sosa-Escalante, Ignacio del Castillo and Lizbeth González-Herrera
Audiol. Res. 2025, 15(5), 111; https://doi.org/10.3390/audiolres15050111 - 2 Sep 2025
Viewed by 575
Abstract
Hearing loss is a genetically heterogeneous sensory defect for which biallelic pathogenic variants in the GJB2 gene are a frequent cause. Here, we report a novel intragenic large deletion in GJB2 in a Mayan family with several members affected by congenital non-syndromic hearing [...] Read more.
Hearing loss is a genetically heterogeneous sensory defect for which biallelic pathogenic variants in the GJB2 gene are a frequent cause. Here, we report a novel intragenic large deletion in GJB2 in a Mayan family with several members affected by congenital non-syndromic hearing loss. The analysis of the GJB2 gene in the proband was performed through Sanger sequencing. A novel homozygous 1259 bp deletion in GJB2 was identified, starting at nucleotide 248 of the coding region and ending at nucleotide 825 of the 3′-UTR (g.20188077_20189335del). Bioinformatic tools were used to predict the structural impact of the variant. This deletion would result in a truncated protein of 86 amino acids, p.(Phe83Cysfs*5), disrupting several critical domains of the connexin-26 protein. We developed an endpoint-PCR assay to test for the deletion. It was present homozygously in all affected siblings and was absent in 153 ethnically matched controls with normal hearing. Both parents and two unaffected siblings were heterozygous carriers, consistent with an autosomal recessive inheritance pattern. The identification of this novel large deletion expands the spectrum of GJB2 pathogenic variants causing non-syndromic hearing loss, and it is of concern to GJB2 screening methods that rely primarily on Sanger sequencing for its coding region. Full article
(This article belongs to the Section Hearing)
Show Figures

Figure 1

17 pages, 5644 KB  
Article
Mutation Spectrum of GJB2 in Taiwanese Patients with Sensorineural Hearing Loss: Prevalence, Pathogenicity, and Clinical Implications
by Yi-Feng Lin, Che-Hong Chen, Chang-Yin Lee, Hung-Ching Lin and Yi-Chao Hsu
Int. J. Mol. Sci. 2025, 26(17), 8213; https://doi.org/10.3390/ijms26178213 - 24 Aug 2025
Viewed by 2479
Abstract
Hearing loss is often caused by genetic and environmental factors, with inherited mutations responsible for 50–60% of cases. The GJB2 gene, encoding connexin 26, is a major contributor to nonsyndromic sensorineural hearing loss (NSHL) due to its role in cellular communication critical for [...] Read more.
Hearing loss is often caused by genetic and environmental factors, with inherited mutations responsible for 50–60% of cases. The GJB2 gene, encoding connexin 26, is a major contributor to nonsyndromic sensorineural hearing loss (NSHL) due to its role in cellular communication critical for auditory function. In Taiwan, common deafness-associated genes include GJB2, SLC26A4, OTOF, MYO15A, and MTRNR1, which were similar to those found in other populations. The most common pathogenic genes is GJB2 mutations and the hearing level in children with GJB2 p.V37I/p.V37I or p.V37I/c.235delC was estimated to deteriorate at approximately 1 decibel hearing level (dB HL)/year. We found another common mutation in Taiwan Biobank, GJB2 p.I203T, which were identified in our data and individuals carrying this mutation experienced more severe hearing loss, suggesting a synergistic effect of these mutations on auditory impairment. We suggest GJB2 whole genetic screening is recommended for clinical management and prevention strategies in Taiwan. This study used data from the Taiwan Biobank to analyze allele frequencies of GJB2 gene variants. Predictive software (PolyPhen-2 version 2.2, SIFT for missense variants 6.2.1, MutationTaster Ensembl 112 and Alphamissense CC BY-NC-SA 4.0) assessed the pathogenicity of specific mutations. Additionally, 82 unrelated NSHL patients were screened for mutations in these genes using PCR and DNA sequencing. The study explored the correlation between genetic mutations and the severity of hearing loss in patients. Several common GJB2 mutation sites were identified from the Taiwan Biobank, including GJB2 p.V37I (7.7%), GJB2 p.I203T (6%), GJB2 p.V27I (31%), and GJB2 p.E114G (22%). Bioinformatics analysis classified GJB2 p.I203T as pathogenic, while GJB2 p.V27I and GJB2 p.E114G were considered polymorphisms. Patients with GJB2 p.I203T mutation experienced more severe hearing loss, emphasizing the potential interaction between the gene in auditory impairment. The mutation patterns of GJB2 in the Taiwanese population are similar to other East Asian regions. Although GJB2 mutations represent the predominant genetic cause of hereditary hearing loss, the corresponding mutant proteins exhibit detectable aggregation, particularly at cell–cell junctions, suggesting at least partial trafficking to the plasma membrane. Genetic screening for these mutations—especially GJB2 p.I203T (6%), GJB2 p.V27I (31%), and GJB2 p.E114G (22%)—is essential for the effective diagnosis and management of non-syndromic hearing loss (NSHL) in Taiwan. We found GJB2 p.I203T which were identified in our data and individuals carrying this mutation experienced more severe hearing loss, suggesting a synergistic effect of these mutations on auditory impairment. We suggest whole GJB2 gene sequencing in genetic screening is recommended for clinical management and prevention strategies in Taiwan. These findings have significant clinical and public health implications for the development of preventive and therapeutic strategies. Full article
(This article belongs to the Special Issue Hearing Loss: Recent Progress in Molecular Genomics)
Show Figures

Figure 1

22 pages, 2943 KB  
Article
Identification of Genes Linked to Meniscal Degeneration in Osteoarthritis: An In Silico Analysis
by Aliki-Alexandra Papageorgiou, Charalampos Balis and Ioanna Papathanasiou
Int. J. Mol. Sci. 2025, 26(14), 6651; https://doi.org/10.3390/ijms26146651 - 11 Jul 2025
Cited by 1 | Viewed by 839
Abstract
Meniscal degradation is considered a driver of osteoarthritis (OA) progression, but the underlying mechanisms leading to age-related meniscus degeneration remain unknown. This study aimed to identify key genes and pathways involved in meniscal degradation through a computational analysis. Gene expression profiles were obtained [...] Read more.
Meniscal degradation is considered a driver of osteoarthritis (OA) progression, but the underlying mechanisms leading to age-related meniscus degeneration remain unknown. This study aimed to identify key genes and pathways involved in meniscal degradation through a computational analysis. Gene expression profiles were obtained from the Gene Expression Omnibus (GEO) database. Differential expression gene (DEG) analysis was performed using DESeq2 accompanied by functional enrichment analysis, protein–protein interaction (PPI) and clustering analysis. Additionally, gene set enrichment analysis (GSEA) was performed. A total of 85 mRNAs (DEMs) and 8 long non-coding RNAs (DE LncRNAs) were found to be differentially expressed in OA meniscus tissues. Among 85 DEMs, 12 genes were found to be known OA-related genes, whereas 15 genes acted as transcription regulators, including RUNX2 and TBX4, which were identified as effector genes for OA. Enrichment analysis revealed the implication of DEMs in cartilage-degradation-related processes, including inflammatory pathways, lipid metabolism, extracellular matrix organization and superoxide/nitric oxide metabolic processes. Target genes of DE lncRNAs were found to be involved in chondrocyte differentiation and pathways related to cartilage degradation. A comparative analysis of meniscus, synovium and cartilage datasets identified three genes (GJB2, PAQR5 and CLEC12A) as being differentially expressed across all three OA-affected tissues, which were implicated in inflammatory and cholesterol metabolism processes. Our results support that shared mechanisms lead to meniscal and cartilage degradation during OA progression, providing further insights into the processes underlying OA pathogenesis and potential therapeutic targets for knee OA. Full article
(This article belongs to the Special Issue Computer Analysis for Molecular Pathological Research)
Show Figures

Figure 1

20 pages, 1462 KB  
Article
Transcriptomic Profiling of Lesional and Perilesional Skin in Atopic Dermatitis Suggests Barrier Dysfunction, Inflammatory Activation, and Alterations to Vitamin D Metabolism
by Teresa Grieco, Giovanni Paolino, Elisa Moliterni, Camilla Chello, Alvise Sernicola, Colin Gerard Egan, Mariangela Morelli, Fabrizio Nannipieri, Santina Battaglia, Marina Accoto, Erika Tirotta, Silvia Trasciatti, Silvano Bonaretti, Giovanni Pellacani and Stefano Calvieri
Int. J. Mol. Sci. 2025, 26(13), 6152; https://doi.org/10.3390/ijms26136152 - 26 Jun 2025
Viewed by 1089
Abstract
Atopic dermatitis (AD) is a chronic inflammatory skin disease marked by impaired barrier function and immune dysregulation. This study explores transcriptomic differences between lesional (IL) and perilesional (PL) skin in patients with AD, focusing on barrier-related and vitamin D-associated pathways. RNA sequencing was [...] Read more.
Atopic dermatitis (AD) is a chronic inflammatory skin disease marked by impaired barrier function and immune dysregulation. This study explores transcriptomic differences between lesional (IL) and perilesional (PL) skin in patients with AD, focusing on barrier-related and vitamin D-associated pathways. RNA sequencing was performed on matched IL and PL biopsies from 21 adults with moderate-to-severe AD. Differential gene expression, pathway enrichment, and correlation analysis with clinical variables were assessed. A total of 8817 genes were differentially expressed in IL versus PL skin (padj < 0.05). Among genes with the highest level of dysregulation, strong upregulation was observed for inflammatory mediators (IL-19, IL-8, CXCL6), and epidermal remodeling and barrier-disrupting genes (MMP1, GJB2). The vitamin D pathway genes CYP27B1 and CYP24A1 were also significantly upregulated. In contrast, key barrier-related genes such as FLG2 and CGNL1 were markedly downregulated. While some patterns in gene expression showed subgroup-specific trends, no independent clinical predictors emerged in multivariate models. Reactome pathway analysis revealed the enrichment of pathways involved in keratinization, cornified envelope formation, IL-4/IL-13 signaling, chemokine activity, and antimicrobial responses, highlighting coordinated structural and immunologic dysregulation in lesional skin. Lesional skin in AD displays a distinct transcriptomic profile marked by barrier impairment, heightened inflammatory signaling, and activation of vitamin D-related pathways. These findings provide the first RNA-seq-based comparison of IL and adjacent PL skin in AD. We identify subclinical activation in PL skin and vitamin D pathway upregulation with disrupted gene coordination in lesions. These findings enhance our understanding of the molecular mechanisms underlying inflammation in AD. Full article
(This article belongs to the Special Issue Molecular and Cellular Mechanisms of Skin Diseases (Second Edition))
Show Figures

Graphical abstract

12 pages, 1862 KB  
Article
A Novel Recurrent 200 kb CRYL1 Deletion Underlies DFNB1A Hearing Loss in Patients from Northwestern Spain
by Guadalupe A. Cifuentes, Marta Diñeiro, Alicia R. Huete, Raquel Capín, Adrián Santiago, Alberto A. R. Vargas, Dido Carrero, Esther López Martínez, Beatriz Aguiar, Anja Fischer, Roland Rad, María Costales, Rubén Cabanillas and Juan Cadiñanos
Genes 2025, 16(6), 670; https://doi.org/10.3390/genes16060670 - 30 May 2025
Cited by 1 | Viewed by 1430
Abstract
Background/Objectives: Pathogenic recessive GJB2 variants are the main genetic cause of non-syndromic sensorineural hearing loss. However, following GJB2 testing, a significant proportion of deaf patients are only found to be heterozygous carriers of pathogenic GJB2 alleles. Five large deletions not affecting GJB2 but [...] Read more.
Background/Objectives: Pathogenic recessive GJB2 variants are the main genetic cause of non-syndromic sensorineural hearing loss. However, following GJB2 testing, a significant proportion of deaf patients are only found to be heterozygous carriers of pathogenic GJB2 alleles. Five large deletions not affecting GJB2 but encompassing a minimal common 62 kb region within the neighbouring CRYL1 gene have been described to cause loss of cis GJB2 expression and, as a result, produce hearing loss when in trans with pathogenic GJB2 variants. We describe the identification and characterization of a novel deletion of this type in deaf patients from northwestern Spain. Methods: We used panel NGS sequencing to detect the deletion, MLPA to validate it, whole-genome sequencing to map its breakpoints, PCR + Sanger sequencing to finely characterize it and triple-primer PCR to screen for it. Results: We identified a novel 200 kb deletion spanning the whole CRYL1 gene in two unrelated deaf patients from Asturias (in northwestern Spain) who were heterozygous for the pathogenic GJB2 c.35delG variant. Although the large deletion was absent from gnomAD v4.1.0 and 2052 local control alleles, screening for it in 20 additional deaf carriers of monoallelic pathogenic GJB2 variants detected it in another patient from Galicia (also in northwestern Spain). The novel deletion, termed del(200 kb)insATTATA, explained hearing loss in 3/43 (7%) deaf patients from our cohort that were otherwise heterozygous for pathogenic GJB2 variants. Conclusions: This work highlights the importance of comprehensively testing all genomic regions known to be clinically relevant for a given genetic condition, including thorough CRYL1 CNV screening for DFNB1A diagnostics. Full article
(This article belongs to the Section Human Genomics and Genetic Diseases)
Show Figures

Figure 1

22 pages, 2991 KB  
Article
Deficits of Alzheimer’s Disease Neuropsychological Architecture Correlate with Specific Exosomal mRNA Expression: Evidence of a Continuum?
by Ernesto Barceló, María I. Mosquera-Heredia, Oscar M. Vidal, Daniel A. Bolívar, Ricardo Allegri, Luis C. Morales, Carlos Silvera-Redondo, Mauricio Arcos-Burgos, Pilar Garavito-Galofre and Jorge I. Vélez
Int. J. Mol. Sci. 2025, 26(10), 4897; https://doi.org/10.3390/ijms26104897 - 20 May 2025
Viewed by 1138
Abstract
Alzheimer’s disease (AD) is a neurodegenerative disorder characterized by cognitive decline and complex molecular changes. Extracellular vesicles (EVs), particularly exosomes, play a key role in intercellular communication and disease progression, transporting proteins, lipids, and nucleic acids. While altered exosomal mRNA profiles have emerged [...] Read more.
Alzheimer’s disease (AD) is a neurodegenerative disorder characterized by cognitive decline and complex molecular changes. Extracellular vesicles (EVs), particularly exosomes, play a key role in intercellular communication and disease progression, transporting proteins, lipids, and nucleic acids. While altered exosomal mRNA profiles have emerged as potential biomarkers for AD, the relationship between mRNA expression and AD neuropsychological deficits remains unclear. Here, we investigated the correlation between exosomx10-derived mRNA signatures and neuropsychological performance in a cohort from Barranquilla, Colombia. Expression profiles of 16,585 mRNAs in 15 AD patients and 15 healthy controls were analysed using Generalized Linear Models (GLMs) and the Predictive Power Score (PPS). We identified significant correlations between specific mRNA signatures and key neuropsychological variables, including the Mini-Mental State Examination (MMSE), Montreal Cognitive Assessment (MoCA), Functional Assessment Screening Tool (FAST), Boston Naming Test, and Rey–Osterrieth Figure test. These mRNAs were in key AD-associated genes (i.e., GABRB3 and CADM1), while other genes are novel (i.e., SHROOM3, SLC7A2, GJB4, and XBP1). PPS analyses further revealed predictive relationships between mRNA expression and neuropsychological variables, accounting for non-linear patterns and asymmetric associations. If replicated in more extensive and heterogeneous studies, these findings provide critical insights into the molecular basis governing the natural history of AD, potential personalized and non-invasive diagnosis, prognosis, follow-up, and potential targets for future therapies. Full article
Show Figures

Figure 1

21 pages, 1072 KB  
Article
Advancing Non-Invasive Prenatal Screening: A Targeted 1069-Gene Panel for Comprehensive Detection of Monogenic Disorders and Copy Number Variations
by Roberto Sirica, Alessandro Ottaiano, Luigi D’Amore, Monica Ianniello, Nadia Petrillo, Raffaella Ruggiero, Rosa Castiello, Alessio Mori, Eloisa Evangelista, Luigia De Falco, Mariachiara Santorsola, Michele Misasi, Giovanni Savarese and Antonio Fico
Genes 2025, 16(4), 427; https://doi.org/10.3390/genes16040427 - 2 Apr 2025
Viewed by 2641
Abstract
We introduce an innovative, non-invasive prenatal screening approach for detecting fetal monogenic alterations and copy number variations (CNVs) from maternal blood. Method: Circulating free DNA (cfDNA) was extracted from maternal peripheral blood and processed using the VeriSeq NIPT Solution (Illumina, San Diego, CA, [...] Read more.
We introduce an innovative, non-invasive prenatal screening approach for detecting fetal monogenic alterations and copy number variations (CNVs) from maternal blood. Method: Circulating free DNA (cfDNA) was extracted from maternal peripheral blood and processed using the VeriSeq NIPT Solution (Illumina, San Diego, CA, USA), with shallow whole-genome sequencing (sWGS) performed on a NextSeq550Dx (Illumina). A customized gene panel and bioinformatics tool, named the “VERA Revolution”, were developed to detect variants and CNVs in cfDNA samples. Results were compared with genomic DNA (gDNA) extracted from fetal samples, including amniotic fluid and chorionic villus sampling and buccal swabs. Results: The study included pregnant women with gestational ages from 10 + 3 to 15 + 2 weeks (mean: 12.1 weeks). The fetal fraction (FF), a crucial measure of cfDNA test reliability, ranged from 5% to 20%, ensuring adequate DNA amount for analysis. Among 36 families tested, 14 showed a wild-type genotype. Identified variants included two deletions (22q11.2, and 4p16.3), two duplications (16p13 and 5p15), and eighteen single-nucleotide variants (one in CFTR, three in GJB2, three in PAH, one in RIT1, one in DHCR7, one in TCOF1, one in ABCA4, one in MYBPC3, one in MCCC2, two in GBA1 and three in PTPN11). Significant concordance was found between our panel results and prenatal/postnatal genetic profiles. Conclusions: The “VERA Revolution” test highlights advancements in prenatal genomic screening, offering potential improvements in prenatal care. Full article
(This article belongs to the Section Technologies and Resources for Genetics)
Show Figures

Figure 1

13 pages, 1768 KB  
Article
Etiologies of Early-Onset Hearing Impairment in Rwanda
by Esther Uwibambe, Leon Mutesa, Charles Muhizi, Isaie Ncogoza, Elvis Twumasi Aboagye, Norbert Dukuze, Samuel M. Adadey, Carmen DeKock and Ambroise Wonkam
Genes 2025, 16(3), 257; https://doi.org/10.3390/genes16030257 - 23 Feb 2025
Viewed by 1401
Abstract
Background: Over three-quarters of the people living with hearing impairment (HI) live in low- and middle-income countries. However, Rwanda has limited data on the clinical profile of HI. Aim: We used community-based nationwide recruitment of participants to determine the etiology of early-onset (<7 [...] Read more.
Background: Over three-quarters of the people living with hearing impairment (HI) live in low- and middle-income countries. However, Rwanda has limited data on the clinical profile of HI. Aim: We used community-based nationwide recruitment of participants to determine the etiology of early-onset (<7 years of age) HI in Rwanda. Methods: Participants were included after clinical examination, including audiological assessment by pure tone audiometry and/or auditory brainstem response. DNA was extracted from peripheral blood, and the entire coding region of GJB2 was interrogated using Sanger sequencing. Multiplex PCR and Sanger sequencing were used to analyze the prevalence of the GJB6-D3S1830 deletion. Results: The participants were recruited from seven inclusive schools, one university teaching hospital, and four independent communities nationwide. We reviewed the clinical histories of 422 individuals affected by early-onset HI from 348 families and found that 21.18% (n = 89/422) was linked to early childhood meningitis infection while 51.23% (n = 216/422) was categorized as unknown HI etiology. Because of putative genetic causes, 82/348 (23.6%) families were reviewed and identified for genetic testing. Within the 82 families with potential genetic causes, 122 individuals were affected by HI, and 205 were unaffected. The male/female ratio of those enrolled for genetic investigations was 0.79 (n = 145/182). The mean age of diagnosis of HI was 4.3 ± 2.6 years. Most cases (89.36%, n = 109/122) reviewed were prelingual. Pedigree analysis suggested autosomal recessive inheritance in 46.3% (n = 38/82) of families. Most HI participants from familial cases had nonsyndromic HI (94.2%, n = 115/122). Waardenburg syndrome was found in three participants out of seven participants who presented with syndromic HI, while three other participants manifested signs of Usher syndrome and one with suspected Noonan syndrome. Molecular analysis did not find pathogenic variants in GJB2 or GJB6-D3S1830 deletion in any of the probands tested (n = 27/122; 22.13%) or 100 non-affected control participants. Conclusions: This study revealed an overall late diagnosis (mean at 4.3 years) of HI in Rwanda. Most cases were of unknown origin or putative environmental origin (76.4%), with meningitis predominating as the acquired cause of early-onset HI. Among cases of putative genetic etiology, nonsyndromic HI accounted for the large majority (94.2%). However, GJB2 and GJB6 pathogenic variants were not identified in the screened proportion of the cohort. This study calls for the implementation of neonatal hearing screening as well as reinforcement of immunization programs to reduce the burden of acquired early-onset HI in Rwanda. Additional genomic studies, ideally using exome sequencing for familial cases, are needed. Full article
(This article belongs to the Section Molecular Genetics and Genomics)
Show Figures

Figure 1

13 pages, 6122 KB  
Article
Research on the Impact of the Sand and Dust Ingestion Test on the Overall Performance of Turboshaft Engines
by Qingping Wang, Wenchao Zhang, Xin Yuan, Yixuan Wang, Zhongliang Shen and Fei Wang
Aerospace 2025, 12(2), 146; https://doi.org/10.3390/aerospace12020146 - 14 Feb 2025
Cited by 2 | Viewed by 1911
Abstract
Based on GJB 242A, a detailed experimental procedure for the sand and dust ingestion of a turboshaft engine was established. A specific type of turboshaft engine was used to conduct 54 h full-engine sand and dust ingestion experiments. This research studied the impact [...] Read more.
Based on GJB 242A, a detailed experimental procedure for the sand and dust ingestion of a turboshaft engine was established. A specific type of turboshaft engine was used to conduct 54 h full-engine sand and dust ingestion experiments. This research studied the impact of sand and dust ingestion on the engine’s common operating line, power loss, specific fuel consumption, and gas turbine exhaust temperature, among other performance parameters. The experimental results indicate that under the same equivalent power conditions, the impact of short-term sand and dust ingestion on the engine’s common operating line is minimal; as the sand and dust ingestion time increases, the equivalent airflow decreases significantly, causing the engine’s common operating line to shift upward and the gas turbine exhaust temperature to rise, with the maximum increase reaching 27.9 °C. However, the impact of sand and dust ingestion on the gas turbine exhaust temperature at high power levels is relatively small. After completing the sand and dust ingestion test, the engine’s power loss at maximum continuous operation was approximately 11.33%, and the specific fuel consumption increased by about 6.05%. The power loss does not meet the requirement of being less than 10% as stipulated in GJB 242A. Based on the engine disassembly inspection results, subsequent improvement suggestions were proposed. The findings of this paper can provide a scientific and rational basis and reference for the sand and dust resistance design and sand ingestion testing of similar aero-engines. Full article
(This article belongs to the Section Aeronautics)
Show Figures

Figure 1

10 pages, 563 KB  
Systematic Review
Cochlear Implant Challenges in Children with Ichthyosis: A Systematic Review
by Valeria Caragli, Laura Luppi, Nicole Carrie Tegmeyer, Elisabetta Genovese and Davide Soloperto
Genes 2025, 16(2), 129; https://doi.org/10.3390/genes16020129 - 23 Jan 2025
Viewed by 1621
Abstract
Background/Objectives: Ichthyosis refers to a group of genetic disorders characterized by extensive scaling of the skin. Syndromic ichthyosis, such as KID syndrome, is associated with mutations in connexin 26, resulting in a triad of keratosis, ichthyosis, and deafness. Cochlear implant (CI) is considered [...] Read more.
Background/Objectives: Ichthyosis refers to a group of genetic disorders characterized by extensive scaling of the skin. Syndromic ichthyosis, such as KID syndrome, is associated with mutations in connexin 26, resulting in a triad of keratosis, ichthyosis, and deafness. Cochlear implant (CI) is considered an effective rehabilitation option for severe hearing loss in these patients, though challenges related to skin complications may arise. This study aims to systematically review the existing literature to evaluate the effectiveness of CI in patients with ichthyosis, focusing on auditory and communicative abilities. Methods: A comprehensive literature search was conducted across PubMed, Scopus, and Web of Science databases according to the PRISMA statement. Studies were included based on the presence of genetically confirmed ichthyosis patients who underwent CI. Results: A total of 29 studies were identified, of which 11 met the inclusion criteria, encompassing 47 patients. Genetic analysis revealed GJB2 mutations in 40 patients, with a prevalence of the c.148G>A (D50N) mutation. All patients experienced sensorineural hearing loss, predominantly severe to profound. CI was performed in all patients, with significant improvements in speech discrimination and auditory thresholds (89.4%). Complications post-implant were noted in 78.6% of cases, primarily involving wound infections and dehiscence. Conclusions: Despite the potential for significant complications, the overall outcomes suggest that CI can markedly enhance the quality of life of subjects. Multidisciplinary approaches and careful surgical planning are crucial to managing these patients effectively. Future research should aim for larger sample sizes and extended follow-up periods to further understand CI outcomes in this population. Full article
(This article belongs to the Section Human Genomics and Genetic Diseases)
Show Figures

Figure 1

14 pages, 710 KB  
Review
A Role of Inflammation in Charcot–Marie–Tooth Disorders—In a Perspective of Treatment?
by Joanna Kamińska and Andrzej Kochański
Int. J. Mol. Sci. 2025, 26(1), 15; https://doi.org/10.3390/ijms26010015 - 24 Dec 2024
Cited by 2 | Viewed by 1912
Abstract
Despite the fact that there are published case reports and model work providing evidence of inflammation in Charcot–Marie–Tooth disorders (CMTs), in clinical practice, CMT and inflammatory neuropathies are always classified as two separate groups of disorders. This sharp separation of chronic neuropathies into [...] Read more.
Despite the fact that there are published case reports and model work providing evidence of inflammation in Charcot–Marie–Tooth disorders (CMTs), in clinical practice, CMT and inflammatory neuropathies are always classified as two separate groups of disorders. This sharp separation of chronic neuropathies into two groups has serious clinical implications. As a consequence, the patients harboring CMT mutations are practically excluded from pharmacological anti-inflammatory treatments. In this review, we present that neuropathological studies of peripheral nerves taken from some patients representing familial aggregation of CMTs revealed the presence of inflammation within the nerves. This shows that neurodegeneration resulting from germline mutations and the inflammatory process are not mutually exclusive. We also point to reports demonstrating that, at the clinical level, a positive response to anti-inflammatory therapy was observed in some patients diagnosed with CMTs, confirming the role of the inflammatory component in CMT. We narrowed a group of more than 100 genes whose mutations were found in CMT-affected patients to the seven most common (MPZ, PMP22, GJB1, SEPT9, LITAF, FIG4, and GDAP1) as being linked to the coexistence of hereditary and inflammatory neuropathy. We listed studies of mouse models supporting the idea of the presence of an inflammatory process in some CMTs and studies demonstrating at the cellular level the presence of an inflammatory response. In the following, we discuss the possible molecular basis of some neuropathies involving neurodegenerative and inflammatory processes at both the clinical and morphological levels. Finally, we discuss the prospect of a therapeutic approach using immunomodulation in some patients affected by CMTs. Full article
Show Figures

Figure 1

9 pages, 725 KB  
Article
Impact of Long-Term Cannabidiol (CBD) Treatment on Mouse Kidney Transcriptome
by Mikołaj Rokicki, Jakub Żurowski, Sebastian Sawicki, Ewa Ocłoń, Tomasz Szmatoła, Igor Jasielczuk, Karolina Mizera-Szpilka, Ewelina Semik-Gurgul and Artur Gurgul
Genes 2024, 15(12), 1640; https://doi.org/10.3390/genes15121640 - 21 Dec 2024
Cited by 3 | Viewed by 2339
Abstract
Background: Cannabidiol, which is one of the main cannabinoids present in Cannabis sativa plants, has been shown to have therapeutic properties, including anti-inflammatory and antioxidant effects that may be useful for treatment of various kidney conditions. Objectives: This article investigates the effect of [...] Read more.
Background: Cannabidiol, which is one of the main cannabinoids present in Cannabis sativa plants, has been shown to have therapeutic properties, including anti-inflammatory and antioxidant effects that may be useful for treatment of various kidney conditions. Objectives: This article investigates the effect of long-term cannabidiol (CBD) treatment on changes in the renal transcriptome in a mouse model. The main hypothesis was that systematic CBD treatment would affect gene expression associated with those processes in the kidney. Methods: The study was conducted on male C57BL/6J mice. Mice in the experimental groups received daily intraperitoneal injections of CBD at doses of 10 mg/kg or 20 mg/kg body weight (b.w.) for 28 days. After the experiment, kidney tissues were collected, RNA was isolated, and RNA-Seq sequencing was performed. Results: The results show CBD’s effects on changes in gene expression, including the regulation of genes related to circadian rhythm (e.g., Ciart, Nr1d1, Nr1d2, Per2, and Per3), glucocorticoid receptor function (e.g., Cyp1b1, Ddit4, Foxo3, Gjb2, and Pck1), lipid metabolism (e.g., Cyp2d22, Cyp2d9, Decr2 Hacl1, and Sphk1), and inflammatory response (e.g., Cxcr4 and Ccl28). Conclusions: The obtained results suggest that CBD may be beneficial for therapeutic purposes in treating kidney disease, and its effects should be further analyzed in clinical trials. Full article
(This article belongs to the Section Molecular Genetics and Genomics)
Show Figures

Figure 1

18 pages, 8281 KB  
Article
Structural Design and Simulation of Multi-Detector Same-Platform Laser Gyro Reflector Substrate Defect Detection Prototype
by Jun Wang, Zhenyang Li, Maoxin Song, Zhilong Xu, Huan Luo, Mingchun Ling, Hengwei Qin, Wuhao Liu, Zhenhai Liu and Jin Hong
Micromachines 2024, 15(12), 1498; https://doi.org/10.3390/mi15121498 - 15 Dec 2024
Viewed by 5269
Abstract
Defect detection and classification in super-high reflector mirrors and their substrates are crucial for manufacturing laser gyroscope systems. This paper presents a prototype designed to meet the requirements for the reflection and transmission of laser gyroscope mirror substrates. The prototype featured two measurement [...] Read more.
Defect detection and classification in super-high reflector mirrors and their substrates are crucial for manufacturing laser gyroscope systems. This paper presents a prototype designed to meet the requirements for the reflection and transmission of laser gyroscope mirror substrates. The prototype featured two measurement channels (bright field and dark field) and could detect defects on patterned and unpatterned surfaces. Key components were simulated using Ansys software, (Ansys Workbench 2022 R1)which showed a maximum static deformation of 4.65 μm, a resonant frequency of at least around 230 Hz, and a maximum stress of 9.86 MPa under transportation conditions (GJB150.16A-2009). These results confirm the prototype’s stability for optical performance testing and structural design. The experimental testing on laser gyroscope reflector substrates and USAF 1951 plates demonstrated that the prototype effectively detected defects on reflection and transmission surfaces, with a detection resolution that exceeded 170 nm, which met the design requirements. Full article
(This article belongs to the Special Issue Lab on Chips and Optical Sensors)
Show Figures

Figure 1

14 pages, 2414 KB  
Article
Heterogeneous Group of Genetically Determined Auditory Neuropathy Spectrum Disorders
by Anastasiia A. Buianova, Marina V. Bazanova, Vera A. Belova, Galit A. Ilyina, Alina F. Samitova, Anna O. Shmitko, Anna V. Balakina, Anna S. Pavlova, Oleg N. Suchalko, Dmitriy O. Korostin, Anton S. Machalov, Nikolai A. Daikhes and Denis V. Rebrikov
Int. J. Mol. Sci. 2024, 25(23), 12554; https://doi.org/10.3390/ijms252312554 - 22 Nov 2024
Viewed by 1759
Abstract
Auditory neuropathy spectrum disorder (ANSD) is often missed by standard hearing tests, accounting for up to 10% of hearing impairments (HI) and commonly linked to variants in 23 genes. We assessed 122 children with HI, including 102 with sensorineural hearing loss (SNHL) and [...] Read more.
Auditory neuropathy spectrum disorder (ANSD) is often missed by standard hearing tests, accounting for up to 10% of hearing impairments (HI) and commonly linked to variants in 23 genes. We assessed 122 children with HI, including 102 with sensorineural hearing loss (SNHL) and 20 with ANSD. SNHL patients were genotyped for common GJB2 variants using qPCR, while ANSD patients underwent whole exome sequencing, with variants analyzed across 249 genes. Homozygous GJB2 variants were found in 54.9% of SNHL patients. In 60% of ANSD patients, variants were detected in OTOF (25%), CDH23, TMC1, COL11A1, PRPS1, TWNK, and HOMER2 genes, including eight novel variants. Transient evoked otoacoustic emissions testing revealed differences at 4000 Hz (p = 0.0084) between the ANSD and SNHL groups. The auditory steady-state response (ASSR) test showed significant differences at 500 Hz (p = 2.69 × 10−4) and 1000 Hz (p = 0.0255) compared to pure-tone audiometry (PTA) in ANSD patients. Our questionnaire shows that the parents of children with SNHL often report an improved quality of life with hearing aids or cochlear implants, while parents of children with ANSD frequently experience uncertainty about outcomes (p = 0.0026), leading to lower satisfaction. Full article
(This article belongs to the Section Molecular Genetics and Genomics)
Show Figures

Figure 1

Back to TopTop