- Article
An Intelligent Monitoring System for the Driving Environment of Explosives Transport Vehicles Based on Consumer-Grade Cameras
- Jinshan Sun,
- Jianhui Tang,
- Ronghuan Zheng,
- Xuan Liu,
- Weitao Jiang and
- Jie Xu
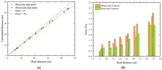
With the development of industry and society, explosives are widely used in social production as an important industrial product and require transportation. Explosives transport vehicles are susceptible to various objective factors during driving, in...

