Abstract
To effectively determine the influences of fuzzy uncertainties on structural systems in engineering, according to the fuzzy failure probability (FFP) model, which is based on the probabilistic perspective, the importance measure (IM) technique is extended to fuzzy uncertain structural systems. A novel IM framework, i.e., the fuzzy-failure-probability-based IM (FFP-IM), is established. By transforming the fuzzy failure probability into the expected value of the function for the failure domain, the proposed FFP-IM index can be represented as the variance-based IM of that index function. Then, an efficient solution algorithm for the proposed FFP-IM index is established based on the state-dependent parameter method. Ultimately, the Ishigami function, alongside three practical engineering examples, validates the proposed FFP-IM’s rationality and applicability. Furthermore, these examples illustrate the solution algorithm’s superior computational efficiency and accuracy.
1. Introduction
In modern engineering and scientific research, the uncertainty analysis of structural systems is key to ensuring the system’s safety and reliability [1,2]. Traditional reliability analysis methods are usually based on random uncertainties. However, in practical engineering, there are also a large number of fuzzy uncertainties due to inadequate data and the limitations of knowledge [3,4,5], such as failure processes for mechanical wear, structure fatigue, and corrosion, which do not have a clear boundary between reliability and failure, and there is a gradual and fuzzy phase from structural reliability to failure. Accordingly, fuzzy variables are introduced to analyze the safety and reliability of structural systems [6,7]. Fuzzy variables characterize uncertainties through a membership function, which more accurately reflects the fuzziness encountered in real-world scenarios. The membership function defines the degree of membership of an element in a designated fuzzy set and is usually formulated as a function taking values in the range [0, 1]. This characteristic gives the fuzzy uncertainty analysis a significant advantage in dealing with the reliability of complex structural systems.
Safety and reliability analysis under fuzzy uncertainty is mainly based on the fuzzy set theory proposed by Zadeh [8]. Brown [9] first introduced the fuzzy set theory to assess the degree of safety of structural systems, and the fuzzy safety factor was defined to quantify the safety level for fuzzy uncertainty structures. Cai [10] introduced the fundamental concepts and theoretical framework of fuzzy reliability analysis based on the possibilistic theory and further developed the possibility degree reliability analysis approach for general systems [11]. Cheng and Mon [12,13] proposed a fuzzy security level index based on the confidence interval, which provides both the upper and lower bounds for the security level of a structural system. Cremona and Gao [14] suggested employing the minimal Chebyshev distance from the coordinate origin to the failure domain within the standard space as a metric for a fuzzy safety index. Although the index possesses a clear geometric interpretation and has shown practical value in specific applications, its implementation is strictly limited to situations where the membership function of the input variable conforms to a Gaussian distribution. Therefore, Guo et al. [15,16] modified the distance index presented by Cremona based on interval analysis theory, and the modified index can be widely applied to cases where membership functions of input variables are arbitrary, but it is still the fuzzy possibility measure. On this basis, Li et al. [16,17] established a fuzzy structural failure probability analysis model based on a probability perspective by introducing random variables that obey the uniform distribution of [0, 1] into the membership level of the fuzzy variable. This model not only gives the fuzzy structure safety evaluation based on familiar probability theory but also considers the case of different fuzzy variable membership levels to different values. The model exhibits a broad spectrum of application prospects.
In the structural reliability analysis, besides evaluating the reliability of uncertain structural systems, another important task is to effectively identify the impact of input uncertain parameters on the output response of the structures [17], which can guide the engineers to carry out the design more targeted, and this technique is called as sensitivity analysis (SA), which mainly includes local SA (LSA) and global SA (GSA), with GSA also referred to as an importance measure (IM). LSA is characterized by the partial derivatives of failure probability or reliability in relation to the distribution parameters of random variables, assessed at their nominal values. However, LSA fails to consider the impact of the entire range of random variables on the structural response, resulting in a lack of global perspective and computational stability [18]. Therefore, scholars have proposed IM techniques, among which the most widely used are variance-based IM [19,20] and moment-independent sensitivity [21,22,23]. Variance-based IM is defined by the variance of the conditional mean of the output response given the input variables. This measure directly captures the impact of individual input variables and their interactions on the variance of the output response from an average perspective. Since its introduction in the mid-1990s, this technique has remained the dominant method in IM. However, Helton and Davis [24] argued that the IM index ought to encompass the full output distribution rather than merely one of its moments, advocating for moment-independent measures. Borgonovo [21], Chun [22], and Liu [23] independently developed moment-independent IM that assesses the influence of input variables across the entire output probability distribution. Among these, Borgonovo’s index [21] is particularly effective in reflecting the significance of each input variable on output performance and has seen wider application. In practical reliability engineering, the failure probability of structures is often the primary focus, as it is more closely linked to the tail distribution of the model output. The influence that input variables exert on the overall distribution may not correspond directly to their impact on the failure probability [25]. To tackle this discrepancy, Cui et al. [26] introduced a moment-independent index that specifically assesses the effect of input random variables on the probability of failure. Compared to conventional output distribution analysis, this approach offers more straightforward and practical information for dependability design.
At present, the established IM technology primarily focuses on scenarios where the input variables are random. However, for the fuzzy uncertainty problems in practical engineering, a perfect fuzzy structural IM technological system has not been established. Song et al. [27] drew on the idea of the independent index of IM under probability theory. To investigate the effects of input fuzzy variables on the output response, the authors proposed a generalized moment-independent index derived from the change in the output response’s membership function. They further proposed using an optimization technique to solve the moment-independent index. To inquire into how input fuzzy factors influence the likelihood of failure, Tang et al. [28] developed an entropy-based importance measure index, which quantifies the change in entropy associated with the failure probability of the membership function. Zhang et al. [29] proposed an importance measure index for fuzzy structural systems based on failure credibility and discussed its mathematical properties.
The primary objective of this study is to propose an efficient novel fuzzy structural IM technique based on the fuzzy failure probability (FFP) approach. This technique, referred to as the FFP-based importance measure (FFP-IM), evaluates the effects of input fuzzy variables on structural systems from a probabilistic perspective. The contributions of this work are threefold: (1) the derivation and proposal of the FFP-IM index, which assesses the influence of input fuzzy variables on structural systems from a probabilistic standpoint; (2) the development of an efficient algorithm for solving the FFP-IM using state-dependent parameter (SDP) [25,30,31]; and (3) the validation of the proposed method through typical examples, demonstrating its theoretical soundness, computational efficiency, and practical applicability to complex structural systems.
The subsequent structure of this paper unfolds as follows: Section 2 briefly reviews the process of modeling the failure probability for fuzzy structural systems from a probabilistic perspective. Section 3 defines the IM index on the FFP and derives its basic properties. Section 4 transforms the unconditional and conditional FFP into the mathematical expectation of the index function of the failure domain and proposes an efficient algorithm for solving the FFP-IM using the SDP method. Section 5 utilizes typical examples to validate the theoretical soundness and engineering relevance of the FFP-IM, alongside demonstrating the precision and efficacy of the algorithm proposed. The paper concludes with Section 6.
2. FFP Grounded in the Probability Perspective
Considering a structural system with fuzzy input variables, the limit state function (LSF) Y can be formulated as follows:
where represents input fuzzy variables, and is the membership function for the fuzzy variable . The function defines the degree to which an element belongs to , and is specified as follows:
Let be the left branch of , which is a monotonically increasing function of , and let be the right branch of , which is a monotonically decreasing function of .
According to the cut set theory of convex fuzzy variables [11], the convex fuzzy variable can be represented by a family of -cut set , as shown in Figure 1.
Figure 1.
The cut set of the fuzzy variable at any membership level .
Under each membership level , the set is a continuous interval . When , the lower boundary value and upper boundary value can be calculated, respectively, by Equation (4):
Based on the above properties of convex fuzzy variables, the LSF Equation (1) can be rewritten in the form containing double interval variables as follows:
where and are the membership levels and normalized interval vectors corresponding to the fuzzy variables , respectively.
When is taken a realization value in the range of [0, 1], fuzzy variables degenerate into bounded interval variables. So, the LSF with double interval variables in Equation (5) will only contain an interval variable , and it can be formulated as:
Since Equation (6) only contains interval variables , the response is also an interval variable. Let and be the median and deviation of the response when the membership level takes a realization value , which can be formulated as and , respectively. In which, and are the lower and upper bounds of the output response , respectively.
Non-probabilistic reliability (NPR) theory [15,16] is applicable for measuring the reliability of uncertain structures with interval variables, and its measurement index (NPR index) can be articulated as follows:
In accordance with the definition of the NPR index Equation (7), the following conclusions can be inferred:
- (1)
- When , namely , then for any , the LSF . Currently, the structural system is safe and reliable. The larger is, the farther the structure is from the failure domain, and the safer the structure is, as illustrated in Figure 2a;
Figure 2. Significance of non-probabilistic reliability metrics [16]. (a) Structural systems must be reliable. (b) Structural systems may be reliable or failing. (c) Structural systems must fail. - (2)
- When , namely , for any , the LSF , and the structure failure is inevitable, as illustrated in Figure 2c;
- (3)
- When , for any , the LSF or . The structure may be safe or fail, as illustrated in Figure 2b.
Consider the membership level ranging from [0, 1], refs. [16,17] treats as random variables obeying uniform distribution in [0, 1]. According to NPR theory, when , the structural system will not fail, so a new LSF can be re-established, which is referred to as the second-order LSF relative to the original LSF, and can be formulated as:
where the vector is the membership level of the fuzzy variable , and is independent of each other. is the NPR index function corresponding to , and is the function of . Considering the randomness of , based on probability theory, the failure probability associated with the fuzzy structure is defined as follows:
where is the failure domain determined by the LSF, and is the joint probability density function (PDF) of the random variable , .
The above method can give evaluation results for failures from the familiar probability perspective for the fuzzy structure system. It can be considered the case where different fuzzy variables take different membership levels. So, it makes full use of known information and is more consistent with objective reality.
Therefore, this paper will establish an IM model for fuzzy uncertainty structural systems based on this method.
3. Definition of the FFP-IM
In practical engineering applications, there is a general focus on the failure of structural systems. Therefore, this paper will establish the IM for the fuzzy structural system based on the FFP [16] mentioned in Section 2, which is called the FFP-IM.
Set represents the unconditional failure probability associated with the second-order LSF given in Equation (8). When the membership level of the fuzzy variable is taken as a realization value , the unconditional failure probability value of is denoted as . At this point, the fuzzy variable converges to the interval variable , which eliminates the fuzziness of the fuzzy variable . Considering the impact of the membership level on FFP within its distribution domain, similar to the random SA on failure probability in Ref. [31], the IM index of the fuzzy variable on failure probability (also called FFP-IM) is defined as follows:
where is the PDF of the membership level of the fuzzy variable .
The IM index of a set of input fuzzy variables on failure probability is defined as follows:
The important properties of FFP-IM are derived as follows:
Prop. 1: ;
Prop. 2: If , then the fuzzy variable takes any membership level that does not influence the failure probability;
Prop. 3: If , it shows that the impact of the fuzzy variable on the failure probability is not increased by increasing the variable ;
Prop. 4: ;
Prop. 5: .
The FFP-IM index can characterize the mean impact exerted by the input fuzzy variable on the FFP as its membership level varies within the specified range.
4. SDP Solution Method for the FFP-IM
When the established Monte Carlo simulation (MCS) method to resolve the proposed , the process will involve a double-layer sampling procedure. The inner layer sampling is to calculate the conditional FFP when the membership level of the fuzzy variable is taken as a realized value , and the sample number is noted as . The outer layer is to calculate the mathematical expectation of the membership level within the range [0, 1], and the sample number is noted as samples. Therefore, the quantity of samples necessary for the computation of the FFP-IM for the fuzzy variable is . So, sample points are needed to calculate the FFP-IM index of fuzzy variables. Furthermore, the computation of the NPR index (Equation (7)) necessitates the use of an optimization method for non-monotonic LSF. In practical engineering contexts where finite element analysis (FEA) is crucial for determining the response relationship, the computational demand can become extensive and often unmanageable.
To optimize the computation of the FFP-IM in fuzzy structural systems, a transformative approach is taken. Initially, both the unconditional and conditional FFP are metamorphosed into the mathematical expectations of the failure domain index function. Subsequently, the presented FFP-IM is reframed into a form resembling the variance of the expectation of this conditional failure index function. This essentially represents the variance-based IM of the very same failure domain index function. With the application of the SDP method, this complex equation becomes manageable and capable of being solved with relative efficiency. Consequently, this operational methodology enables the effective calculation of the FFP-IM through the SDP method, streamlining the process.
4.1. Conversion of the FFP-IM Index
The FFP is precisely defined as the integral of the joint PDF across the membership level within the failure domain. This definition can alternatively be expressed as the mathematical expectation of the index function corresponding to the failure domain.
where is the index function for the failure domain of the LSF , and is the space of dimensional variables.
Just as with the unconditional failure probability, the conditional failure probability associated with the fuzzy input variable, given a specific membership level , can be formulated as:
where is the failure domain index function of the conditional limit state definition, and is the conditional LSF of the fuzzy variable given the membership level .
Substituting the unconditional Equation (12) and conditional failure probability Equation (13) into Equation (10), respectively, the relationship between the FFP-IM index and the corresponding variance-based IM of the failure domain index function can be obtained as follows:
As demonstrated by Equation (14), the solution algorithm designed for the variance-based IM applies to the presented FFP-IM index. Owing to its superior efficiency and precision, the SDP method will be utilized to develop an advanced algorithm for computing the FFP-IM index, which is crucial for variance-based IM calculations.
Given the superior efficiency and precision of the SDP method in addressing variance-based IM calculations, it will be employed to develop an efficient algorithm for the FFP-IM index.
4.2. The SDP Solution Method
The key contents of the SDP are briefly reviewed below to help readers better understand the solution algorithm based on the SDP method for the FFP-IM index.
The SDP method is extensively applied in modeling nonlinear stochastic systems and time series analyses, as documented in seminal works [30,31]. Initially pioneered by Ratto et al., the application of SDP to compute variance-based IM with independent variables has markedly enhanced computational efficiency, thereby facilitating the integration of variance-based IM into engineering applications [32,33]. The efficacy of SDP in this context is grounded in the utilization of first-order terms derived from the high-dimensional model representation (HDMR) within the framework of functional analysis of variance [34]. This approach involves estimating the first-order HDMR terms through a recursive criterion that resolves the parameters of the input–output relationship, culminating in the determination of the IM index.
4.2.1. First-Order HDMR for Response Models
From the joint PDF of the input variables, sample , samples , and their corresponding output response samples can be obtained. The first-order truncated HDMR for the model can be formulated as follows [34]:
where , , and represents the sample label.
Assuming that all higher-order terms approximate Gaussian white noise characterized by a normal distribution, the truncated HDMR can consequently be regarded as a stochastic nonlinear system [32].
4.2.2. SDP Model
The state-dependent auto-regressive with exogenous variables model [32], applicable to dynamic systems containing external variables, can be formulated as follows:
where is the Gaussian white noise input, and
where is defined as the time series representation, and represent the inputs and outputs of , respectively, and denotes the pure time delay in the sampling interval. Additionally, and are state-dependent parameters, which are commonly assumed to be functions of the state vector .
4.2.3. SDP Method for Estimating HDMR First-Order Terms
In Equation (15), each term is contingent upon the input variable and may be characterized as a state-dependent parameter.
Comparing the first-order HDMR in Equation (15) with the definition of the SDP model in Equation (16), and acknowledging that the inputs and outputs are usually deterministic concerning each other, there is no recursive term of the output variable in the signal processing (i.e., ) as well as the lagging and delaying of the input signal (i.e., ), there are , . In addition, each term in Equation (15) functions as a dependent on a single input variable, implying that each state-dependent parameter is contingent solely upon its corresponding input variable , which is designated as Therefore, to maintain the broad applicability of the model, each term in Equation (15) may be redefined as , thereby facilitating the formulation of the corresponding SDP model, as detailed in the following text [34]:
Consequently, resolving the state-dependent parameter in the SDP model as outlined in Equation (18) is tantamount to solving the first-order term of the HDMR. To estimate in Equation (18), it is typically necessary to describe its variation through a stochastic approach. Within the framework of the SDP method, the generalized random walk (GRW) class of non-stationary processes is commonly employed to model the variation in each state-dependent parameter . Notably, within the GRW processes, the integrated random walk process is chosen for its ability to ensure that the estimated SDP relationship maintains the smoothness characteristic of cubic spline interpolation, thereby providing enhanced outcomes for estimating state-dependent parameters. In-depth discussions regarding the SDP model and its criteria for parameter estimation are available in Refs. [32,33].
After obtaining each state-dependent parameter in Equation (18), due to , the first-order HDMR model of the response function, i.e., the conditional expectation of the response model , can be obtained.
4.2.4. SDP Method for Solving FFP-IM
The SDP method for estimating variance-based IM can obtain all the first-order terms in the response function HDMR at one time with only a few sets of input–output samples, which in turn yields the principal variance contribution of the input variable. This method is versatile, as it applies to continuous functions, non-smooth functions, and discontinuous functions alike. For the failure domain indicator function , it can be viewed as a function of the membership levels, denoted as , of the fuzzy variables , there is an implicit functional relationship between and the membership level , represented by . Employing the membership level as the input and the value of the failure domain indicator function as the output, the SDP method is utilized to estimate the first-order HDMR of the indicator function . This estimation facilitates the determination of the principal variance contribution of all input fuzzy variables to the failure domain indicator function, subsequently deriving the FFP-IM index for all input fuzzy variables .
In this paper, since the membership level of the fuzzy variable is taken as a realized value , the fuzzy variable is degraded to an interval variable, which eliminates its fuzziness. Then, the IM of the fuzzy variable on the FFP is established by considering the uniform change in the membership level in the range of [0, 1]. The proposed IM model can well evaluate the average impact of the input fuzzy variable on the FFP and directly guide the fuzzy reliability design.
Before conducting example studies to validate the rationality of the proposed FFP-IM index and its efficient SDP-based solving algorithm, it is imperative to systematically elucidate the anticipated advantages of the proposed index and methodology in the field of fuzzy structural importance measures. The FFP-IM index proposed in this study, computed through the SDP-based approach, enables efficient evaluation of the impact of input fuzzy variables on structural systems from the perspective of failure probability. This method not only ensures the accuracy of computational results but also significantly reduces the computational complexity of the algorithm, thereby offering a novel solution for the reliability analysis of complex structural systems. This innovative approach enhances computational efficiency while maintaining a high level of precision, providing a new technical pathway for research in the field of fuzzy structural importance measures.
To enhance the accessibility of the proposed FFP-IM method, a flowchart summarizing the key derivation steps is provided in Figure 3.
Figure 3.
Flowchart of FFP-IM index analysis.
5. Examples
This section elucidates the application of the proposed FFP-IM index computed via the efficient SDP-based method through three typical examples. The analysis results demonstrate the effectiveness of the method in evaluating the impact of fuzzy uncertainties on structural reliability, while also confirming the computational efficiency of the proposed SDP-based solving algorithm and its practicality in real-world engineering applications. Collectively, these examples affirm the robustness and versatility of the FFP-IM index in addressing complex reliability analysis problems under fuzzy uncertainty conditions.
In this study, the FFP-IM index is integrated into the structural analysis workflow. Specifically, in the step of calculating the IM index based on failure probability, the efficient SDP method is employed. This approach aims to enhance computational efficiency while maintaining a high level of accuracy in the IM index, thereby enabling the ranking of the impact of fuzzy input variables on structural failure probability and providing a comprehensive evaluation of the influence of fuzzy uncertainties on structural reliability.
Example 1.
Consider the highly nonlinear and non-monotonic Ishigami function that is usually used in IM: , where the constants a, b, and c are 2, 0.1, and 3, and , and represent fuzzy input variables characterized by triangular membership functions, defined as follows:
Table 1 shows the analysis results for the FFP-IM index acquired via the MCS and SDP methods. To present the results more clearly, Figure 4 illustrates a comparison.
Table 1.
Analysis results of the FFP-IM index, for example, 1.
Figure 4.
Example 1: Comparison of FFP-IM results obtained using the MCS and SDP methods.
It can be seen from Table 1 and Figure 4 that the ordering of FFP-IM is as follows: . This indicates that the fuzzy variable exerts the most significant influence on the FFP for the structural system and should receive greater consideration in reliability design. Utilizing the MCS method, we compute the conditional failure probability based on a robust sample size of , and samples are used for the mathematical expectation. For this example, the LSF is non-monotonic, and optimization algorithms are needed to calculate the NPR index, so the sequential quadratic optimization approach is used in this paper. As illustrated in Figure 4, the SDP method attains a level of accuracy comparable to that of the MCS method; yet, it achieves this with a substantially lower computational burden. Specifically, the MCS method necessitates a cumulative sample count of 4 × 108, whereas the SDP method accomplishes the task with merely 1500 samples.
Upon contrasting the results procured from both methodologies, as illustrated in Table 1 and Figure 4, it is apparent that the SDP method has good calculation accuracy, which further illustrates its efficiency and high accuracy.
Example 2.
In practical engineering problems, the input–output response relationship usually cannot be formulated explicitly, and FEA is often used to obtain input–output.
A ten-bar structure, illustrated in Figure 5, has been chosen for analysis. The extent and cross-sectional area of the horizontal and vertical bars are designated by and , correspondingly. For bars oriented diagonally, the length and cross-sectional area are given as and , respectively. The elastic modulus applicable to all bars is denoted as , whereas , , and stand for the external loads. For this example, it is hypothesized that the membership functions of the fuzzy variables , , , and are symmetric triangular distributions, while the membership functions for are Gaussian distributions. The membership functions for these variables are defined in the following:
Figure 5.
Schematic diagram of ten-bar structure.
The restriction condition dictates that the vertical shift in node 3 must not surpass 0.0043 m. In compliance with this condition, the LSF can be assembled, where is an implicit function of the input variables. This function is ascertained through FEA, as demonstrated in Figure 6.
Figure 6.
Finite element model of ten-rod bar structure.
The FFP-IM index was evaluated using both the MCS and SDP methods, with the results detailed in Table 2 and Figure 7. The MCS method required 5 × 108 calls to the finite element model, resulting in a computational time of 1.424 × 109 s. In contrast, the SDP method achieved comparable accuracy with only 3200 calls, significantly reducing the computational time to 9.110 × 103 s. As illustrated in Figure 7, the SDP method demonstrated equivalent precision to the MCS approach but with markedly lower computational overhead. This enhanced efficiency is particularly advantageous in practical engineering applications, where computational resources are often a limiting factor, thereby significantly improving the feasibility and scalability of the proposed methodology.
Table 2.
Analysis results of the FFP-IM index, for example, 2.
Figure 7.
Example 2: Comparison of FFP-IM results obtained using the MCS and SDP methods.
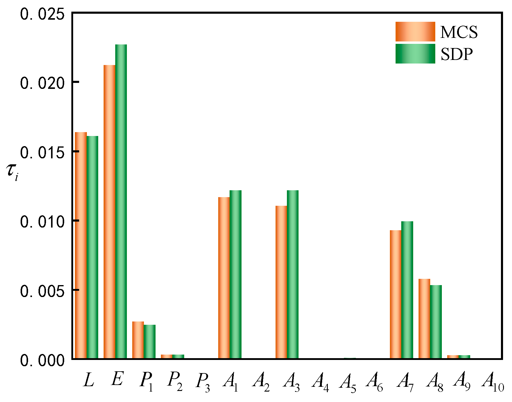
Observations from Table 2 and Figure 7 indicate that the fuzzy variable , and have major influences on the FFP and should be paid more attention to them. The influences of the fuzzy variables on the FFP are very small, so the uncertainty of these variables can be ignored, which can be regarded as deterministic variables.
Example 3:
Figure 8 shows a simplified model of a leading-edge stiffener rib of a civil aircraft [35], with detailed size parameters depicted in Figure 9. The stiffener rib features six circular holes, the largest of which is utilized for engine mounting to facilitate the control of the slat’s movement. The top hole serves as a conduit for pipelines and cables, while the remaining four holes are designed to support the slideway of the slat. The stiffener ribs are constructed from 7050-T7451 aluminum alloy, characterized by a specific Poisson’s ratio. The left end of the stiffener rib is fixed, and aerodynamic loads and are applied at the edges of the stiffener rib, as illustrated in Figure 10.
Figure 8.
The stiffener rib is on the leading edge of a civil aircraft.
Figure 9.
Simplified stiffener rib structure.
Figure 10.
Force analysis of the stiffener rib.
The input variables include web thickness , the modulus of elasticity of aluminum alloy , and aerodynamic loads and . The membership functions for these variables are presented as follows:
The LSF is constructed under the constraint that the maximum longitudinal displacement of the structure does not exceed 0.061 mm. In this context, is defined as an implicit function of the displacement , the elastic modulus , and the external loads and .
Figure 11 presents the schematic representation of the FEA conducted on the stiffener rib, wherein the membership levels of the fuzzy variables have been established at 1.
Figure 11.
FEA of the stiffener rib. (a) Mesh grids and loads and constraints. (b) Deformation maps.
The LSF of this example is implicit, and the response output needs to be obtained by FEA. The traditional MCS method requires double-layer sampling, which requires many calls to the finite element model. The calculation cost is huge and time-consuming, and practical engineering cannot afford it. Therefore, the presented SDP method is utilized to calculate the FFP-IM index, with the analytical findings presented in Table 3. Figure 12 illustrates the convergence trend of the FFP-IM index for the fuzzy variable E, demonstrating that the results stabilize when the sample count reaches 2800.
Table 3.
Analysis results of the FFP-IM index, for example, 3.
Figure 12.
The convergence process of the FFP-IM index of fuzzy variable E.
It can also be observed from Table 3 that the ranking of the influences of the input fuzzy variables on the FFP is as follows: . Therefore, according to the ranking results, engineers can more effectively prioritize the collection of information for input variables with higher IM index, thereby reducing their associated uncertainties, such as , while for the variable with a smaller IM index, such as , they can reduce their attention to save the cost of designing and analyzing.
Analysis of the examples demonstrates the limitations of the MCS method in solving the FFP-IM index. Its high computational cost and slow convergence rate make it unfeasible for large-scale or real-time applications, especially when handling complex structural systems. In contrast, the proposed method demonstrates superior accuracy while requiring significantly lower computational resources, thereby establishing itself as a more viable and efficient alternative for the FFP-IM index.
The FFP-IM index is crucial for analyzing fuzzy structural models, enabling analysts to reduce output uncertainty efficiently and cost-effectively. Additionally, it enhances the robustness of model predictions and diminishes the FFP of structural systems. Furthermore, disregarding the uncertainty of less significant variables can decrease the dimensionality of design parameters. This approach also assists with handling the over-parameterization issue that can arise during the optimization of uncertain structural systems. By ranking the influence of fuzzy variables on failure probability, engineers can identify and prioritize the most critical variables for further analysis or optimization, simplifying the design process and reducing computational costs.
In this study, three typical examples were employed to validate the effectiveness of the proposed method. These examples encompass numerical models, typical engineering structures, and complex components in practical aerospace engineering, demonstrating the applicability and universality of the method across diverse scenarios. The Ishigami function, as a classical numerical example, effectively validates the applicability of the proposed method in nonlinear problems. The ten-bar truss structure and the reinforced rib of a civil aircraft, as representative examples in the field of engineering, verify the reliability of the method in structural mechanics analysis. Through the validation of these three examples, the proposed method has been thoroughly tested across multidimensional scenarios, ranging from numerical models to real-world engineering applications. The results of this study indicate that the proposed method exhibits broad applicability and significant value for engineering applications.
6. Discussion and Conclusions
This paper introduces a new IM technique for structures incorporating input fuzzy variables from a probabilistic viewpoint, termed the fuzzy-failure-probability-based importance measure (FFP-IM). The FFP-IM index can discern the impact of input fuzzy variables on the failure probability of structural systems from a conventional probabilistic perspective, and it provides a ranking of the levels of influence. Designers can selectively focus on the variables with a large FFP-IM index according to the ranking, thus reducing the design difficulty. By transforming the unconditional and conditional FFP into the mathematical expectation of the index function of the failure domain, the proposed FFP-IM index becomes the variance-based IM index. Therefore, an efficient SDP-based solution algorithm is established. Compared to the conventional MCS method, the proposed SDP approach markedly decreases the number of calls to the LSF, while maintaining a high degree of accuracy that aligns closely with the outcomes derived from MCS. Therefore, the SDP-based method has more advantages for dealing with complex nonlinear structural systems. Numerical and practical engineering examples are used to verify the feasibility and practicality of the presented FFP-IM in practical engineering applications, as well as the correctness and efficiency of the established SDP solution algorithm. The established FFP-IM provides a novel and efficient tool to deal with fuzzy uncertainty IM analysis for complex structural systems, which is not only significant in theory but also shows a broader prospect in practical engineering applications.
Traditional importance measures mainly focus on studying the impact of input random variables on input responses. For example, variance-based importance measures primarily reflect the influence of input uncertainty variables on the output response variance, while entropy-based importance measures reflect the degree to which input uncertainty variables affect the output response entropy. However, these important measures do not reflect the impact of input fuzzy variables on the failure probability of the structural system. The FFP-IM proposed in this paper studies the degree to which fuzzy input variables affect the failure probability of interest in engineering from a probabilistic perspective. Nevertheless, it should be noted that while the SDP algorithm exhibits improved computational efficiency, it may still encounter challenges when dealing with extremely high-dimensional systems.
Future research could explore the extension of the proposed FFP-IM framework to address time-dependent reliability analysis and machine learning-based predictions. For time-dependent reliability, the framework could be adapted to account for the evolution of fuzzy uncertainties over time, enabling the assessment of structural systems under dynamic loading conditions. Additionally, introducing machine learning techniques, such as neural networks or Gaussian processes, could further enhance the computational efficiency and predictive accuracy of the FFP-IM, particularly for large-scale and complex systems.
Author Contributions
Conceptualization, G.L. and S.L.; methodology, G.L. and M.Z.; software, M.Z.; validation, G.L., M.Z. and S.L.; formal analysis, G.L. and M.Z.; investigation, G.L.; writing—original draft preparation, G.L. and M.Z.; writing—review and editing, M.Z., G.L. and S.L. All authors have read and agreed to the published version of the manuscript.
Funding
This research was funded by the National Key Laboratory of Strength and Structural Integrity Opening Fund, grant number 2011ZA53015, and the National Natural Science Foundation of China, grant number NSFC 52275143.
Institutional Review Board Statement
Not applicable.
Informed Consent Statement
Not applicable.
Data Availability Statement
Data is contained within the article.
Conflicts of Interest
The authors declare no conflicts of interest.
Abbreviations
The following abbreviations are used in this manuscript:
| FFP | Fuzzy failure probability |
| IM | Importance measure |
| FFP-IM | Fuzzy-failure-probability-based importance measure |
| SA | Sensitivity analysis |
| GSA | Global sensitivity analysis |
| SDP | State-dependent parameter |
| LSF | Limit state function |
| NPR | Non-probabilistic reliability |
| MCS | Monte Carlo simulation |
| FEA | Finite element analysis |
| HDMR | High-dimensional model representation |
| GRW | Generalized random walk |
| List of Symbols | |
| Output response | |
| Limit state function | |
| Input variables | |
| Membership function of the fuzzy variable | |
| Cut level | |
| Non-probabilistic reliability index | |
| Left branch of the membership function of the fuzzy variable | |
| Right branch of the membership function of the fuzzy variable | |
| Fuzzy variable at cut level | |
| Normalized interval vectors | |
| Output response | |
| Failure probability | |
| Probability operator | |
References
- Zhao, Y.-G.; Ono, T. A General Procedure for First/Second-Order Reliability method (FORM/SORM). Struct. Saf. 1999, 21, 95–112. [Google Scholar] [CrossRef]
- Wang, Z.; Broccardo, M.; Song, J. Hamiltonian Monte Carlo Methods for Subset Simulation in Reliability Analysis. Struct. Saf. 2019, 76, 51–67. [Google Scholar] [CrossRef]
- Helton, J.C.; Johnson, J.D.; Oberkampf, W.L.; Sallaberry, C.J. Representation of Analysis Results Involving Aleatory and Epistemic Uncertainty. Int. J. Gen. Syst. 2010, 39, 605–646. [Google Scholar] [CrossRef]
- Keshtegar, B.; Bagheri, M.; Meng, D.; Kolahchi, R.; Trung, N.-T. Fuzzy Reliability Analysis of Nanocomposite ZnO Beams Using Hybrid Analytical-Intelligent Method. Eng. Comput. 2021, 37, 2575–2590. [Google Scholar] [CrossRef]
- Adduri, P.R.; Penmetsa, R.C. System Reliability Analysis for Mixed Uncertain Variables. Struct. Saf. 2009, 31, 375–382. [Google Scholar] [CrossRef]
- Wang, C.; Matthies, H.G. Epistemic Uncertainty-Based Reliability Analysis for Engineering System with Hybrid Evidence and Fuzzy Variables. Comput. Methods Appl. Mech. Eng. 2019, 355, 438–455. [Google Scholar] [CrossRef]
- Zadeh, L.A. Fuzzy Sets as a Basis for a Theory of Possibility. Fuzzy Sets Syst. 1999, 100, 9–34. [Google Scholar] [CrossRef]
- Zadeh, L. Fuzzy Sets. Inf. Control 1965, 8, 338. [Google Scholar] [CrossRef]
- Brown, C.B. A Fuzzy Safety Measure. J. Eng. Mech. Div. 1979, 105, 855–872. [Google Scholar] [CrossRef]
- Kai-Yuan, C.; Chuan-Yuan, W.; Ming-Lian, Z. Fuzzy Variables as a Basis for a Theory of Fuzzy Reliability in the Possibility Context. Fuzzy Sets Syst. 1991, 42, 145–172. [Google Scholar] [CrossRef]
- Utkin, L.V.; Gurov, S.V. A General Formal Approach for Fuzzy Reliability Analysis in the Possibility Context. Fuzzy Sets Syst. 1996, 83, 203–213. [Google Scholar]
- Cheng, C.-H.; Mon, D.-L. Fuzzy System Reliability Analysis by Interval of Confidence. Fuzzy Sets Syst. 1993, 56, 29–35. [Google Scholar] [CrossRef]
- Mon, D.-L.; Cheng, C.-H. Fuzzy System Reliability Analysis for Components with Different Membership Functions. Fuzzy Sets Syst. 1994, 64, 145–157. [Google Scholar] [CrossRef]
- Cremona, C.; Gao, Y. The Possibilistic Reliability Theory: Theoretical Aspects and Applications. Struct. Saf. 1997, 19, 173–201. [Google Scholar] [CrossRef]
- Guo, S.; Lu, Z.; Feng, L. A Fuzzy Reliability Approach for Structures in the Possibility Context. Chin. J. Comput. Mech. 2002, 19, 89–93. [Google Scholar]
- Li, G.; Lu, Z.; Xu, J. A Fuzzy Reliability Approach for Structures Based on the Probability Perspective. Struct. Saf. 2015, 54, 10–18. [Google Scholar] [CrossRef]
- Li, G.; Lu, Z.; Zhang, X.; Zhang, F. A New Reliability Approach for the Fuzzy and Random Structure Based on the Uniformly Distributed Membership Level. Int. J. Fuzzy Syst. 2022, 24, 2753–2766. [Google Scholar] [CrossRef]
- Borgonovo, E. Measuring Uncertainty Importance: Investigation and Comparison of Alternative Approaches. Risk Anal. 2006, 26, 1349–1361. [Google Scholar]
- Iman, R.L.; Hora, S.C. A Robust Measure of Uncertainty Importance for Use in Fault Tree System Analysis. Risk Anal. 1990, 10, 401–406. [Google Scholar] [CrossRef]
- Soboĺ, I.M. Sensitivity Estimates for Nonlinear Mathematical Models. Math. Model. Comput. Exp. 1993, 1, 407. [Google Scholar]
- Borgonovo, E. A New Uncertainty Importance Measure. Reliab. Eng. Syst. Saf. 2007, 92, 771–784. [Google Scholar] [CrossRef]
- Chun, M.-H.; Han, S.-J.; Tak, N.-I. An Uncertainty Importance Measure Using a Distance Metric for the Change in a Cumulative Distribution Function. Reliab. Eng. Syst. Saf. 2000, 70, 313–321. [Google Scholar] [CrossRef]
- Liu, Q.; Homma, T. A New Computational Method of a Moment-Independent Uncertainty Importance Measure. Reliab. Eng. Syst. Saf. 2009, 94, 1205–1211. [Google Scholar] [CrossRef]
- Helton, J.C.; Davis, F.J. Latin Hypercube Sampling and the Propagation of Uncertainty in Analyses of Complex Systems. Reliab. Eng. Syst. Saf. 2003, 81, 23–69. [Google Scholar] [CrossRef]
- Li, L.; Lu, Z.; Chen, C. Moment-Independent Importance Measure of Correlated Input Variable and Its State Dependent Parameter Solution. Aerosp. Sci. Technol. 2016, 48, 281–290. [Google Scholar] [CrossRef]
- Cui, L.; Lü, Z.; Zhao, X. Moment-Independent Importance Measure of Basic Random Variable and Its Probability Density Evolution Solution. Sci. China Technol. Sci. 2010, 53, 1138–1145. [Google Scholar] [CrossRef]
- Song, S.; Lu, Z.; Cui, L. A Generalized Borgonovo’s Importance Measure for Fuzzy Input Uncertainty. Fuzzy Sets Syst. 2012, 189, 53–62. [Google Scholar] [CrossRef]
- Zhangchun, T.; Zhenzhou, L.; Wang, P.; Feng, Z. An Entropy-Based Global Sensitivity Analysis for the Structures with Both Fuzzy Variables and Random Variables. Proc. Inst. Mech. Eng. Part C J. Mech. Eng. Sci. 2013, 227, 195–212. [Google Scholar] [CrossRef]
- Zhang, X.; Lu, Z.; Wang, L.; Li, G. The Importance Measure of Fuzzy Input on Failure Credibility under the Fuzzy Uncertainty. Aerosp. Sci. Technol. 2020, 107, 106320. [Google Scholar] [CrossRef]
- Young, P.M. Time Variable and State Dependent Modelling of Nonstationary and Nonlinear Time Series. In Developments in Time Series Analysis; Chapman Hall: Boca Raton, FL, USA, 1993; pp. 374–413. [Google Scholar]
- Young, P.C. Time Variable and State Dependent Parameter Estimation. IFAC Proc. Vol. 2000, 33, 259–264. [Google Scholar] [CrossRef]
- Ratto, M.; Tarantola, S.; Saltelli, A.; Young, P. Accelerated Estimation of Sensitivity Indices Using State Dependent Parameter Models, Sensitivity Analysis of Model Output. In Proceedings of the 4th International Conference on Sensitivity Analysis of Model Output, Santa Fe, NM, USA, 8–11 March 2004. [Google Scholar]
- Ratto, M.; Pagano, A.; Young, P. State Dependent Parameter Metamodelling and Sensitivity Analysis. Comput. Phys. Commun. 2007, 177, 863–876. [Google Scholar]
- Rabitz, H.; Aliş, Ö.F.; Shorter, J.; Shim, K. Efficient Input—Output Model Representations. Comput. Phys. Commun. 1999, 117, 11–20. [Google Scholar]
- Lei, J.; Lu, Z.; Wang, L. An Efficient Method by Nesting Adaptive Kriging into Importance Sampling for Failure-Probability-Based Global Sensitivity Analysis. Eng. Comput. 2022, 38, 3595–3610. [Google Scholar]
Disclaimer/Publisher’s Note: The statements, opinions and data contained in all publications are solely those of the individual author(s) and contributor(s) and not of MDPI and/or the editor(s). MDPI and/or the editor(s) disclaim responsibility for any injury to people or property resulting from any ideas, methods, instructions or products referred to in the content. |
© 2025 by the authors. Licensee MDPI, Basel, Switzerland. This article is an open access article distributed under the terms and conditions of the Creative Commons Attribution (CC BY) license (https://creativecommons.org/licenses/by/4.0/).











