Sign in to use this feature.

Years

Between: -

Subjects

remove_circle_outline
remove_circle_outline
remove_circle_outline
remove_circle_outline
remove_circle_outline
remove_circle_outline
remove_circle_outline
remove_circle_outline
remove_circle_outline

Journals

remove_circle_outline
remove_circle_outline
remove_circle_outline
remove_circle_outline
remove_circle_outline
remove_circle_outline
remove_circle_outline
remove_circle_outline
remove_circle_outline
remove_circle_outline
remove_circle_outline
remove_circle_outline
remove_circle_outline
remove_circle_outline
remove_circle_outline

Article Types

Countries / Regions

remove_circle_outline
remove_circle_outline
remove_circle_outline
remove_circle_outline
remove_circle_outline
remove_circle_outline

Search Results (805)

Search Parameters:
Keywords = puberty

Order results
Result details
Results per page
Select all
Export citation of selected articles as:
22 pages, 413 KB  
Review
Sex-Specific Oral Health: A Narrative Review of Hormonal Influences and Disease Patterns
by Agnes Holtkamp, Florian Beuer, Thomas Gerhard Wolf and Michael Naumann
Dent. J. 2026, 14(3), 147; https://doi.org/10.3390/dj14030147 - 6 Mar 2026
Abstract
This narrative review aims to analyze sex-specific differences in oral health, examine hormonal influences in women during puberty, pregnancy, and menopause, and compare oral health behaviors between men and women. Articles were selected based on: (1) sex-specific aspects of oral diseases, (2) hormonal [...] Read more.
This narrative review aims to analyze sex-specific differences in oral health, examine hormonal influences in women during puberty, pregnancy, and menopause, and compare oral health behaviors between men and women. Articles were selected based on: (1) sex-specific aspects of oral diseases, (2) hormonal influences on oral health, (3) comparative analyses between sexes, and (4) sex-disaggregated data on oral disease prevalence. Women experience hormonal vulnerabilities with estrogen deficiency causing xerostomia, mucosal atrophy, and increased caries susceptibility, showing parallels between oral and vaginal mucosa. Men demonstrate higher periodontitis prevalence (57% vs. 38%), utilize preventive services one-third less frequently, and show higher smoking rates (67% vs. 42%) and traumatic dental injuries (2:1 ratio). Women maintain better oral hygiene and treatment adherence. Sex-specific factors affecting both sexes remain unconsidered in dental practice. Women need targeted interventions during hormonal transitions, while men require improved preventive care engagement. Future research integrating sex-specific considerations is required to enable personalized oral health approaches for both sexes. Full article
(This article belongs to the Topic Oral Health Management and Disease Treatment)
23 pages, 1689 KB  
Article
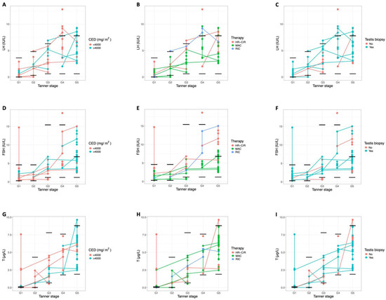
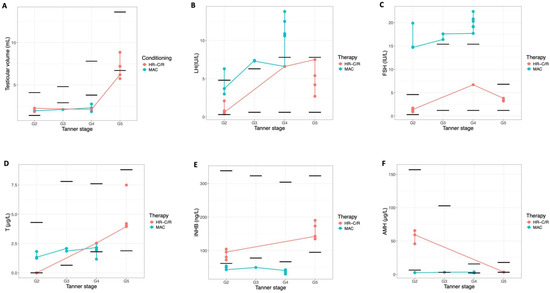
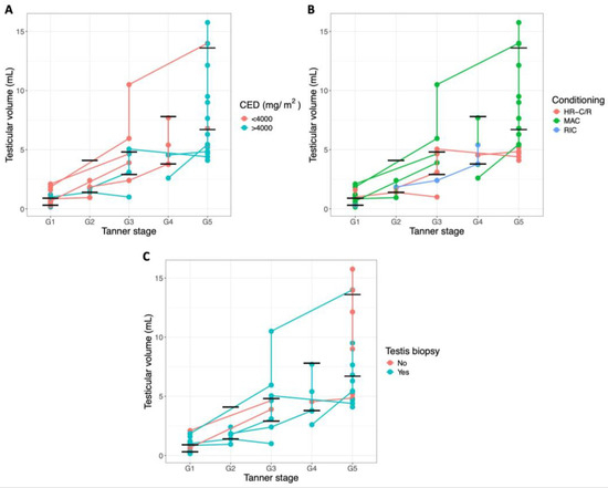
Pubertal Development Following Paediatric Gonadotoxic Treatment and Immature Testicular Tissue Banking
by Emily Delgouffe, Marius Regin, Veerle Vloeberghs, Caroline Ernst, Herman Tournaye, Inge Gies and Ellen Goossens
Int. J. Mol. Sci. 2026, 27(5), 2139; https://doi.org/10.3390/ijms27052139 - 25 Feb 2026
Viewed by 183
Abstract
Paediatric gonadotoxic treatments can compromise male fertility, yet prospective data systematically tracking pubertal development are scarce. Immature testicular tissue banking (TTB) has been introduced as an experimental fertility preservation option for (pre-)pubertal boys, but its long-term safety and interaction with gonadotoxic treatment are [...] Read more.
Paediatric gonadotoxic treatments can compromise male fertility, yet prospective data systematically tracking pubertal development are scarce. Immature testicular tissue banking (TTB) has been introduced as an experimental fertility preservation option for (pre-)pubertal boys, but its long-term safety and interaction with gonadotoxic treatment are not fully understood. This single-centre prospective cohort study systematically followed 23 boys, treated for malignant or non-malignant conditions, between 2017 and 2025 [median 4.0 (0.1–6.9) years], including 15 who underwent TTB. Unlike previous studies, this research combined repeated assessments of pubertal staging, testicular volumes, parenchymal integrity, reproductive hormones, and bone age and density, enabling a multidimensional evaluation of pubertal development. Gonadotoxic treatments, particularly myeloablative conditioning, were associated with reduced post-pubertal testicular volumes and altered hormone profiles, including elevated luteinising hormone and follicle-stimulating hormone, and reduced inhibin B, while anti-Müllerian hormone remained largely stable. Puberty occurred spontaneously and testosterone production was preserved in all patients. The testicular parenchyma appeared unaffected by the biopsy, and although some biopsied testes showed lower volumes, similar reductions could be observed in non-biopsied testes. These results support the safety of TTB, with no evident adverse effects on testicular structure or function; however, larger multicentric prospective studies are needed to confirm these findings. Full article
Show Figures

Figure 1

20 pages, 1012 KB  
Article
Growth and Development Dynamic of the Lena Population Siberian Sturgeon (Acipenser baerii Brandt, 1869) Bred in a Recirculating Aquaculture System
by Anna A. Belous, Petr I. Otradnov, Amina K. Nikipelova, Nikolay V. Bardukov, Vladislav I. Nikipelov, Grigoriy A. Shishanov, Alisa S. Rakova, Polina S. Ilyushina, Igor V. Gusev and Natalia A. Zinovieva
Animals 2026, 16(4), 677; https://doi.org/10.3390/ani16040677 - 21 Feb 2026
Viewed by 230
Abstract
Siberian sturgeon (Acipenser baerii Brandt, 1869), characterized by its rapid mass accumulation and high survival rate under industrial breeding conditions, is one of the most promising aquacultural species. This research aimed to study the growth and development of farmed Siberian sturgeon ( [...] Read more.
Siberian sturgeon (Acipenser baerii Brandt, 1869), characterized by its rapid mass accumulation and high survival rate under industrial breeding conditions, is one of the most promising aquacultural species. This research aimed to study the growth and development of farmed Siberian sturgeon (Acipenser baerii Brandt, 1869) to improve breeding programs. This research was conducted at the Federal Research Center for Animal Husbandry named after Academy Member L.K. Ernst and focused on the Lena population broodstock of Siberian sturgeon of the April 2022 generation (n = 98), grown in a recirculating aquaculture system (RAS). The experiment took into account body weight (W, g) and eleven morphological measurements: L—absolute length (cm); LR—fish body length increase (cm/day); l—commercial length (cm); L2—fork length (cm); HL—head length (cm); PV—pectoventral distance (cm); VA—ventroanal distance (cm); pl1—peduncle length (cm); H—body height (cm); h—peduncle height (cm); SC—body thickness (cm); GC—body circumference (cm); and Cc—peduncle circumference (cm). These measurements were taken from the same sample of fish at five different time points, all belonging to the same generation and approximately the same age. Measurements were taken every 3 to 9 months: 1 y (group G1), 1 y. 5 m. (group G2), 2 y. 2 m. (group G3), 2 y. 5 m. (group G4), 3 y. 2 m. (group G5), and 3 y. 5 m. (group G6). To evaluate the rate of growth and development, relative speed of growth (SGR) and relative speed of lengthening (SLR) during the observation period were determined. To characterize the fish’s exterior, we evaluated Fulton’s condition factor (KF) and the leanness index (Q). With increasing age, there was a significant (p < 0.01) decline in both SGR (from 0.454 to 0.065 g%/day) and SLR (from 0.132 to 0.028 cm%/day), which reflects changes in the fish’s physiological processes tied to the transition from the growth phase to the puberty phase. Relatively large variability was observed in body weight (Cv = 19.7–30.4%) compared to morphological measurements (Cv = 5.7–14.9%). Correlations between morphological measurements and the body weight of the fish varied from low to high (r = 0.22–0.97). Equations that allow for very precise (coefficient of determination R2 = 0.800–0.933) estimation of the fish’s body weight based on morphological measurements were developed. The most preferable predictors were measurements of H (R2 = 0.931), SC (R2 = 0.933), and L2 (R2 = 0.930). These morphological measurements are promising candidates for future development of contactless live weight detection using computer vision and machine learning algorithms. The study of live weight conjugacy at different ages showed that the best time to use this measurement to select fish for reproduction is at the age of 2 y. 2 m. or older. Acquired data can be used for the development and improvement of programs for the selection and breeding of Siberian sturgeon grown in a recirculating aquaculture system. Full article
(This article belongs to the Section Aquatic Animals)
Show Figures

Figure 1

14 pages, 597 KB  
Article
Metabolic Dysfunction-Associated Fatty Liver Disease and Bone Mineral Density in School-Aged Children in China: A Propensity Score-Matched Analysis
by Junting Liu, Hanyue Guo, Qin Liu, Tao Li, Guimin Huang, Dongqing Hou, Yijing Cheng, Fangfang Chen, Xinnan Zong and Shaoli Li
Nutrients 2026, 18(4), 621; https://doi.org/10.3390/nu18040621 - 13 Feb 2026
Viewed by 203
Abstract
Background/Objectives: To examine the association between metabolic dysfunction–associated fatty liver disease (MAFLD) and bone mineral density in school-aged children. To investigate the association between metabolic dysfunction-associated fatty liver disease (MAFLD) and bone mineral density among school-aged children using a propensity score-matched study [...] Read more.
Background/Objectives: To examine the association between metabolic dysfunction–associated fatty liver disease (MAFLD) and bone mineral density in school-aged children. To investigate the association between metabolic dysfunction-associated fatty liver disease (MAFLD) and bone mineral density among school-aged children using a propensity score-matched study design. Methods: A cross-sectional analysis was performed using baseline data from the Beijing Children and Adolescents Health Cohort, with samples collected between September 2022 and May 2023. The study included 5170 children aged 7–18 years. Standardized questionnaires collected behavioral, lifestyle, and dietary data. Anthropometric measurements (height, weight, waist circumference) were obtained to calculate body mass index (BMI). Fasting venous blood samples were analyzed for glucose and lipid profiles. Clinical assessments included pubertal development evaluation, abdominal ultrasound for hepatic steatosis, oscillometric blood pressure measurement, quantitative ultrasound for calcaneal bone mineral density (BMD), and bioelectrical impedance analysis for body fat percentage. MAFLD was diagnosed as hepatic steatosis combined with metabolic abnormalities (assessed via BMI, blood glucose, lipid levels, and blood pressure). Propensity score matching (PSM) was conducted at a 1:3 ratio between the MAFLD and non-MAFLD groups, matching on age, sex, and pubertal stage. Multiple linear regression, conditional logistic regression, and quantile regression (10th–90th percentiles) were used to analyze the association between MAFLD and BMD. Results: Of 5170 participants, 579 had MAFLD and were matched to 1737 non-MAFLD controls (standardized mean differences < 0.001). Children with MAFLD had higher BMI, body fat percentage, and waist circumference, and lower BMD versus controls. Multiple linear regression confirmed a significant negative association between MAFLD and BMD, which was stronger in boys and mid-pubertal children. Conditional logistic regression analyses further showed that boys with MAFLD had a higher risk of reduced BMD. The odds ratios were 1.77 (95% CI: 1.14–2.75) overall, 2.74 (95% CI: 1.56–4.81) among those aged 12–14 years, 1.81 (95% CI: 1.04–3.17) in mid-puberty, and 2.27 (95% CI: 1.17–4.40) in late puberty. Quantile regression revealed the strongest associations between MAFLD and BMD at the 40th–75th percentiles (regression coefficients: −9.5 to −6.7). Conclusions: MAFLD was associated with lower bone mineral density in children, with the strongest associations observed in the lower-to-middle range. Boys, children in mid-puberty, and those with obesity may represent particularly vulnerable groups with respect to bone health in the presence of MAFLD. This highlights the importance of early MAFLD identification and targeted interventions to mitigate long-term skeletal risks. Prospective studies are needed to clarify the causal pathways between MAFLD and pediatric bone health, and future research should integrate multiple factors to elucidate the underlying mechanisms. Full article
(This article belongs to the Section Pediatric Nutrition)
Show Figures

Figure 1

27 pages, 973 KB  
Review
Early to Mature, Early to Detect: Artificial Intelligence in the Risk Prediction and Diagnosis of Precocious Puberty
by Manisha Chavan, Sameena Tabassum, Divya Dinesh Joshi, Kusalik Boppana, Nasreen Banu, Riya Kayarkar, Kalp Chauhan, Gayathri Yerrapragada, Poonguzhali Elangovan, Mohammed Naveed Shariff, Thangeswaran Natarajan, Jayarajasekaran Janarthanan, Shreshta Agarwal, Sancia Mary Jerold Wilson, Mini Virmani, Atishya Ghosh, Mimi Adu Serwaah, Shiva Sankari Karuppiah, Keerthy Gopalakrishnan, Divyanshi Sood, Swetha Rapolu, Swathi Priya Cherukuri and Shivaram P. Arunachalamadd Show full author list remove Hide full author list
Reprod. Med. 2026, 7(1), 9; https://doi.org/10.3390/reprodmed7010009 - 13 Feb 2026
Viewed by 543
Abstract
Background/Objectives: Precocious puberty (PP), defined as the onset of secondary sexual characteristics before 8 years in girls and 9 years in boys, is associated with psychosocial distress, compromised adult height, and long-term metabolic risk. Early identification remains challenging, as current diagnostic approaches [...] Read more.
Background/Objectives: Precocious puberty (PP), defined as the onset of secondary sexual characteristics before 8 years in girls and 9 years in boys, is associated with psychosocial distress, compromised adult height, and long-term metabolic risk. Early identification remains challenging, as current diagnostic approaches are largely reactive and rely on invasive or resource-intensive testing. This narrative review examines how artificial intelligence (AI) can support earlier risk prediction and detection of PP through integration of clinical, hormonal, imaging, lifestyle, and environmental data. Methods: A narrative literature review was conducted using PubMed, Scopus, Embase, Web of Science, and Google Scholar to identify relevant studies published between 2005 and 2025. Eligible studies included original research and high-quality reviews that examined AI-based approaches, such as machine learning and deep learning, in pediatric endocrinology, particularly for the prediction or diagnosis of central or peripheral precocious puberty. Studies incorporating clinical, hormonal, radiological, lifestyle, environmental, or multi-omics data relevant to AI modeling were included. Results: AI models, including XGBoost, random forest, convolutional neural networks, and regression-based approaches, have demonstrated potential utility in predicting central precocious puberty using hormonal, imaging, and growth data. Reported applications include automated bone age assessment, lifestyle and dietary risk stratification, and exploratory use of wearable-derived behavioral data. However, progress is limited by small pediatric datasets, population bias, limited interpretability, and unresolved ethical challenges related to privacy, consent, and equity. Conclusions: Artificial intelligence represents a promising decision-support approach for earlier, non-invasive, and individualized risk assessment in precocious puberty. Future progress will depend on the integration of longitudinal, multimodal data, the development of ethical models, and interdisciplinary collaboration among pediatric endocrinologists, data scientists, and public health stakeholders. Full article
(This article belongs to the Special Issue Game-Changing Concepts in Reproductive Health)
Show Figures

Figure 1

25 pages, 1413 KB  
Article
Lifelong n-3 PUFA Consumption Reduces HER2+ Mammary Tumour Growth and Alters Immune Markers Compared to Safflower- or Corn Oil-Based Sources of n-6 PUFA
by Rahbika Ashraf, Connor D. C. Buchanan, Lyn M. Hillyer, Elizaveta Ogloblina, Geoffrey A. Wood, Richard P. Bazinet, Sanjeena Subedi, A. Michelle Edwards, Young-In Kim, William J. Muller, Jennifer M. Monk, Lindsay E. Robinson and David W. L. Ma
Nutrients 2026, 18(4), 606; https://doi.org/10.3390/nu18040606 - 12 Feb 2026
Viewed by 441
Abstract
Background: n-3 PUFA derived from marine sources, including eicosapentaenoic acid (EPA) and docosahexaenoic acid (DHA), exhibit potential for breast cancer prevention. In contrast, higher dietary intakes of n-6 PUFA, such as linoleic acid (LA), have been implicated in promoting mammary tumourigenesis. [...] Read more.
Background: n-3 PUFA derived from marine sources, including eicosapentaenoic acid (EPA) and docosahexaenoic acid (DHA), exhibit potential for breast cancer prevention. In contrast, higher dietary intakes of n-6 PUFA, such as linoleic acid (LA), have been implicated in promoting mammary tumourigenesis. However, there is a need for further exploration into how n-3 PUFA influence breast cancer development in comparison to different amounts and sources of LA. Objective: The purpose of this study was to compare the effects of n-3 PUFA-enriched diets versus n-6 PUFA diets differing in LA content, including corn oil (50% LA) and safflower oil (70% LA), on mammary tumour development in a HER2+ breast cancer model. Methods: Using the HER2+ breast cancer MMTV-neu(ndl)YD5 transgenic mouse model, this study determined the effects of: (1) 10% w/w corn oil (CO, n-6 PUFA, n = 14), (2) 10% w/w safflower oil (SO, n-6 PUFA, n = 14), (3) 3% w/w menhaden oil + 7% w/w CO (3% FO 7% CO, n-3 PUFA, n = 12), and (4) 3% w/w menhaden oil + 7% w/w SO (3% FO 7% SO, n-3 PUFA, n = 14) on puberty onset, tumour incidence, tumour volume, and tumour number in utero until 20 weeks of age. Results: Mice fed the n-3 PUFA-enriched diets showed a lower trajectory of tumour development compared to the n-6 PUFA diets, although the differences for palpated tumour volume and number over time reached significance only between the 10% CO and 3% FO 7% CO groups. This suggests that high LA content in CO may represent a threshold for promoting tumour growth whereby further LA content marginally influences additional tumour development. Exposure to the CO n-6 PUFA diet further resulted in earlier onset of puberty compared to the n-3 PUFA-enriched diet containing CO. To investigate the underlying mechanisms, a qPCR analysis of mammary glands and tumour tissue revealed that the n-3 PUFA diets downregulated the expression of pro-tumourigenic immune markers, including CD206 and F4/80 in the mammary glands and the cannabinoid receptor CB2 in tumours, compared to the n-6 PUFA diets. Conclusions: These findings indicate that the presence of dietary n-3 PUFA plays a key role in modulating mammary tumour development, which may be further influenced by the underlying n-6 PUFA background. The associated changes in immune markers suggest that n-3 PUFA exert anticancer effects in part by shifting the tumour immune microenvironment toward an anti-tumour phenotype and modulating cannabinoid receptor signalling. Collectively, this work informs future human studies investigating the role of dietary fat composition in breast cancer risk. Full article
(This article belongs to the Special Issue Nutritional Factors, Lifestyle Patterns and Breast Cancer)
Show Figures

Figure 1

19 pages, 6652 KB  
Article
Differential microRNA Expression Profiles in Girls with Idiopathic Central Precocious Puberty and Premature Thelarche
by Hye Jin Lee, Seon Joo Bae, Eu Seon Noh, Hye Young Jin, Il Tae Hwang, Seongho Ryu and Hwal Rim Jeong
Int. J. Mol. Sci. 2026, 27(4), 1742; https://doi.org/10.3390/ijms27041742 - 11 Feb 2026
Viewed by 380
Abstract
Idiopathic central precocious puberty (CPP) is increasingly observed in girls. Premature thelarche (PT) and exaggerated thelarche (ET) are early pubertal variants that can be challenging to distinguish from CPP in clinical practice. Exosomal microRNAs are stable biomarkers capable of crossing the blood–brain barrier. [...] Read more.
Idiopathic central precocious puberty (CPP) is increasingly observed in girls. Premature thelarche (PT) and exaggerated thelarche (ET) are early pubertal variants that can be challenging to distinguish from CPP in clinical practice. Exosomal microRNAs are stable biomarkers capable of crossing the blood–brain barrier. Although miR-30b-5p has been reported to increase in pubertal boys and girls, human studies investigating microRNAs in CPP and puberty remain limited. To investigate exosomal microRNA expression profiles and associated pathways in early pubertal development, we conducted a cross-sectional study of 28 girls aged 6–8 years. Serum exosomal microRNA expression was analyzed using next-generation sequencing. Differentially expressed microRNAs (DEmiRNAs) between groups were identified, followed by pathway enrichment analysis. Distinct exosomal miRNA expression patterns were observed among the CPP, ET, and control groups, with 307 DEmiRNAs identified. The CPP, PT, and ET groups exhibited distinct miRNA expression profiles compared with the control group. miR-30b-5p was upregulated in the CPP, ET, and PT groups compared with the control group. Pathway enrichment analysis revealed the involvement of various signaling pathways including AGE–RAGE, MAPK, and mTOR signaling pathways. Serum exosomal microRNAs may serve as biomarkers for early puberty and provide insight into metabolic influences on pubertal development. Full article
(This article belongs to the Section Molecular Genetics and Genomics)
Show Figures

Figure 1

25 pages, 2693 KB  
Article
Morphometric Findings in Adolescents with Robin Sequence: A Photographic and Cephalometric Study of the Face and Mandible
by Silvia Müller-Hagedorn, Helen So, Brigitte Vi-Fane, Véronique Soupre, Bachar Houssamo, Nancy Vegas, Walter Lehmacher, Arnaud Picard and Véronique Abadie
Children 2026, 13(2), 242; https://doi.org/10.3390/children13020242 - 9 Feb 2026
Viewed by 332
Abstract
Background: The aims of the study were to describe facial morphology and analyze facial growth in adolescents with Robin sequence (RS) or Stickler syndrome. Methods: The facial morphology, mandibular size, and facial growth of 69 adolescents (ages 12–18) with RS were analyzed using [...] Read more.
Background: The aims of the study were to describe facial morphology and analyze facial growth in adolescents with Robin sequence (RS) or Stickler syndrome. Methods: The facial morphology, mandibular size, and facial growth of 69 adolescents (ages 12–18) with RS were analyzed using existing cephalometric radiographs (n = 37) and photographs (n = 69). All participants were followed in our institution since birth. None underwent growth-modifying treatment for micrognathia during infancy, but all had conservative orthodontic treatment during adolescence. Results: Cross-sectional cephalometric analysis according to Tweed revealed differences in RS adolescents as compared with reference values, such as a proportionate retrusion of both jaws, as indicated by decreased SNA and SNB angles (p < 0.05). This finding was mostly associated with skeletal Class I (62.2%) and a vertical facial pattern as indicated by increased FMA and CoGoMe angles (p < 0.05). In Delaire’s analysis, patients showed decreased maxillary, maxillary alveolar (p < 0.05), and mandibular body territories (p > 0.05) but increased ramus (p > 0.05) and nasopremaxillary territories (p < 0.05). According to Ricketts’ analysis, mandibular width was decreased in half of our patients (p > 0.05). The mandibles were harmoniously downsized before and after the growth spurt (p < 0.05); however, they exhibited greater growth velocities than controls. A long-term study during puberty revealed an increase in SNB angles and a decrease in ANB angles (both p < 0.05), which improved the maxillomandibular relationship. Additionally, the vertical facial pattern attenuated (FMA, SNGoGn, and CoGoMe angles decreased; p > 0.05). On cross-sectional photographic analysis, 33.3% of patients had an orthofrontal (straight), 59.4% a cisfrontal (convex), and 7.3% a transfrontal (concave) profile. Their vertical facial proportions were normal. In the subjective profile analysis, most patients (approximately 84%) had good or acceptable profiles, with no major deficit of chin projection. The initial degree of neonatal retrognathia and type of cleft palate surgery did not affect major skeletal parameters (p > 0.05). However, the degree of neonatal functional impairment affected the vertical parameters (SNGoGn, FMA angle; p < 0.05). Conclusions: Overall, RS patients presented a bi-retrognathic profile, a normal jaw relationship, and a tendency toward a vertical growth pattern. Partial mandibular catch-up growth occurred during the pubertal growth spurt. The degree of neonatal retrognathia does not predict further mandibular growth. Full article
(This article belongs to the Special Issue Current Advances in Paediatric Sleep Medicine (2nd Edition))
Show Figures

Figure 1

25 pages, 1909 KB  
Article
Preliminary Study on Sexual Maturation Pattern of Shenxian Pigs and Molecular Characteristics of Sexual Precocity in Boars
by Jialong Zhao, Shan Yang, Haitao Chen, Yu Li, Jiahui Yuan, Mingxin Sun, Chunlian Lu and Hongzhan Cao
Int. J. Mol. Sci. 2026, 27(4), 1663; https://doi.org/10.3390/ijms27041663 - 9 Feb 2026
Viewed by 304
Abstract
This study aimed to determine the sexual maturation pattern of Shenxian pigs by combining observation, teaser boar testing, and back-pressure methods, and to apply this pattern for early breeding to shorten the generation interval and increase production efficiency. Subsequently, high-throughput transcriptome technology was [...] Read more.
This study aimed to determine the sexual maturation pattern of Shenxian pigs by combining observation, teaser boar testing, and back-pressure methods, and to apply this pattern for early breeding to shorten the generation interval and increase production efficiency. Subsequently, high-throughput transcriptome technology was used to compare gene expression levels in testicular tissues of Shenxian pigs before and after sexual maturity, as well as between sexually mature Shenxian pigs and Shenxian × Large White crossbred pigs. Functional analysis of differentially expressed genes (DEGs) was conducted to screen candidate genes related to sexual maturation and precocity in Shenxian pigs. The results showed that boars reached sexual maturity at an average age of 116 days in winter and 129 days in summer. For sows, the first estrus occurred at 114 days, the second at 134 days, and the third at 154 days in winter; corresponding ages in summer were 125, 144, and 164 days, respectively. The duration of estrus was around 3 days, and the estrus interval was approximately 20 days for both seasons. Comparative trials revealed no significant change in production performance when selection and first mating were conducted at 5 months of age compared to previous practices. Transcriptome sequencing of testicular tissues before and after sexual maturity in Shenxian pigs identified 6016 upregulated genes, primarily associated with reproduction and sperm function, influencing sexual maturation. The comparison between sexually mature Shenxian pigs and crossbred pigs identified 582 upregulated genes, mainly involved in hormone synthesis, affecting the onset of puberty in Shenxian pigs. After intersecting and functionally analyzing the upregulated genes from both sets, SRD5A1 and CYP11B2 were selected as the most likely candidate genes to affect precocious puberty in Shenxian pigs. Full article
Show Figures

Figure 1

18 pages, 1069 KB  
Review
Human Sexual Development in the Somatic and Psychosexual Context
by Krzysztof Dobrzeniecki, Zuzanna Poczta, Monika Kacprzak, Anna Kasprzyk, Jadwiga Kolasińska, Małgorzata Mizgier, Magdalena Pisarska-Krawczyk, Katarzyna Plagens-Rotman, Witold Kędzia and Grażyna Jarząbek-Bielecka
J. Clin. Med. 2026, 15(3), 1220; https://doi.org/10.3390/jcm15031220 - 4 Feb 2026
Viewed by 745
Abstract
Human sexual development begins in the prenatal period and continues throughout life, shaped by both biological and psychosocial factors. Somatic development leads to reproductive maturity through several stages regulated by the hypothalamic–pituitary–gonadal axis. Psychosexual development, described in classical theories such as Freud’s and [...] Read more.
Human sexual development begins in the prenatal period and continues throughout life, shaped by both biological and psychosocial factors. Somatic development leads to reproductive maturity through several stages regulated by the hypothalamic–pituitary–gonadal axis. Psychosexual development, described in classical theories such as Freud’s and in contemporary models, emphasizes the development of gender identity and sexual behaviors from infancy through early and middle childhood into adolescence, a period characterized by the integration of sexual and emotional components. This developmental trajectory evolves from a biologically driven process into a conscious, socially shaped phenomenon through concretization, mentalization, and socialization. To synthesize current knowledge, this paper is based on a literature review conducted across multiple databases, with studies selected and evaluated for relevance to both somatic and psychosexual development. Understanding the dynamics of these processes is essential for clinical practice, sexual education, and health prevention. It emphasizes integrated clinical practices that employ a multidisciplinary approach, incorporating both medical treatment and psychological support, particularly in the care of children and adolescents with disorders of sexual development. This article presents a comprehensive overview of human sexual development from the prenatal period through adolescence, considering its somatic and psychosexual aspects. Full article
(This article belongs to the Section Reproductive Medicine & Andrology)
Show Figures

Scheme 1

12 pages, 1222 KB  
Review
Enterocyte Autoantibodies (GECAs) and HLA: Their Relationship with HIV Infection Pathogenesis
by Antonio Arnaiz-Villena, Tomas Lledo, Christian Vaquero-Yuste, Ignacio Juarez and Jose Manuel Martin-Villa
Int. J. Mol. Sci. 2026, 27(3), 1254; https://doi.org/10.3390/ijms27031254 - 27 Jan 2026
Viewed by 277
Abstract
The significance of gut epithelial cell autoantibodies (GECAs), human leukocyte antigen (HLA) alleles, and other scientifically relevant factors has been largely overlooked, despite their potential importance in the medical management of HIV-infected individuals, in understanding the pathogenesis of AIDS, and in improving epidemiological [...] Read more.
The significance of gut epithelial cell autoantibodies (GECAs), human leukocyte antigen (HLA) alleles, and other scientifically relevant factors has been largely overlooked, despite their potential importance in the medical management of HIV-infected individuals, in understanding the pathogenesis of AIDS, and in improving epidemiological and diagnostic approaches. This review may be considered as a hypothesis-driven narrative paper mostly considering GECAs and some easily detectable genetic markers. Thus, the aim is to highlight these neglected medical and scientific issues. Addressing them may contribute to a deeper understanding of HIV pathology at both the individual and population levels. Autoantibodies against enterocytes (GECAs) are present in the majority of HIV-positive patients. These intestinal epithelial cells are crucial for nutrient absorption and because of their role as antigen-presenting cells (APCs) within the immune system. Furthermore, the number of CD4-positive lymphocytes depends largely on daily antigenic stimulation rather than on thymic function, which becomes residual or inactive after puberty. The fall of CD4+ lymphocyte counts observed in HIV-infected patients may therefore be exacerbated by enterocyte dysfunction/damage, as indicated by the presence of GECAs. These autoantibodies either cause or reflect damage to these important antigen-presenting cells, which may impair intestinal antigen presentation by their surface HLA proteins to the clonotypic T-cell receptor of lymphocytes. Additionally, the association between specific HLA alleles and a CCR5 variant affects HIV disease progression or transmission and should be considered in both adults and mother–infant pairs. In particular, HLA-B35 and HLA-B57 allelic groups have been implicated in influencing both the transmission and progression of HIV infection. Moreover, several aspects of the natural history of HIV infection remain unresolved and controversial, and these issues warrant urgent clarification. For instance, diagnostic tests are not yet standardised globally, and viral abundance in HIV-infected individuals or AIDS patients’ cells may be relatively low. In summary, the neglected facets of HIV infection demand renewed investigation, particularly now that an HIV diagnosis is no longer the devastating prognosis it once was. The objective of this work is to emphasise additional factors that may influence the course of AIDS, such as enterocyte injury reflected by presence of GECAs. Ultimately, we propose that GECAs may impair enterocytes’ HLA (MHC II)-mediated antigen presentation by enterocytes to CD4+ T lymphocytes (through T-cell receptors), thereby diminishing T-cell proliferation, reducing CD4+ cell numbers, and impairing immune function. Full article
Show Figures

Figure 1

22 pages, 7222 KB  
Article
Cadmium Impairs Human GnRH Neuron Development: Mechanistic Insights into Reproductive Dysfunction
by Giulia Guarnieri, Jacopo J. V. Branca, Rachele Garella, Letizia Lazzerini, Flavia Mencarelli, Francesco Palmieri, Paolo Comeglio, Matteo Becatti, Mario Maggi, Massimo Gulisano, Alessandra Pacini, Roberta Squecco and Annamaria Morelli
Int. J. Mol. Sci. 2026, 27(3), 1221; https://doi.org/10.3390/ijms27031221 - 26 Jan 2026
Viewed by 236
Abstract
There is increasing evidence that exposure to environmental toxicants may impact fertility, especially during critical windows of reproductive axis development. Hypothalamic gonadotropin-releasing hormone (GnRH) neurons, essential for puberty onset and fertility, originate from the olfactory placode and migrate toward the hypothalamus during development, [...] Read more.
There is increasing evidence that exposure to environmental toxicants may impact fertility, especially during critical windows of reproductive axis development. Hypothalamic gonadotropin-releasing hormone (GnRH) neurons, essential for puberty onset and fertility, originate from the olfactory placode and migrate toward the hypothalamus during development, making them particularly vulnerable to environmental insults. Cadmium (Cd), a widespread heavy metal, is well known for its gonadotoxicity, but its impact on human hypothalamic neuron development remains unclear. Using human fetal GnRH neuroblasts (FNCB4) we investigated the effects of Cd exposure on their morpho-functional and developmental features. Cd induced oxidative stress and COX2 mRNA upregulation, indicative of inflammatory pathway activation, which was accompanied by reduced cell migration and downregulation of motility-related genes. These effects were associated with F-actin disassembly and altered expression of adhesion molecules. Electrophysiological analyses showed that Cd altered membrane potential, increased capacitance and permeability, and disrupted gap junctional communication, as also confirmed by connexin-43 delocalization. Moreover, Cd significantly reduced the expression of specific GnRH neuronal markers, suggesting impaired functional maturation. Overall, our findings provide the first evidence that Cd may interfere with mechanisms crucially involved in human GnRH neuron development, adding new mechanistic insights into the comprehension of how early-life exposure to Cd may contribute to fertility concerns. Full article
(This article belongs to the Special Issue Molecular Mechanisms and Pathways Involved in Toxicant-Induced Stress)
Show Figures

Figure 1

15 pages, 552 KB  
Review
Sleep, Emotion, and Sex-Specific Developmental Trajectories in Childhood and Adolescence
by Giuseppe Marano and Marianna Mazza
Children 2026, 13(2), 171; https://doi.org/10.3390/children13020171 - 26 Jan 2026
Viewed by 453
Abstract
Sleep plays a central role in shaping emotional development during childhood and adolescence, yet increasing evidence indicates that these processes unfold differently in boys and girls. This narrative review synthesizes current findings on sex-specific associations between sleep patterns, neurodevelopmental trajectories, and emotional regulation [...] Read more.
Sleep plays a central role in shaping emotional development during childhood and adolescence, yet increasing evidence indicates that these processes unfold differently in boys and girls. This narrative review synthesizes current findings on sex-specific associations between sleep patterns, neurodevelopmental trajectories, and emotional regulation across pediatric populations. It examines how biological factors, including pubertal timing, sex hormones, circadian physiology, and maturation of fronto-limbic circuits, interact with environmental influences to generate distinct vulnerabilities to anxiety, depression, and behavioral dysregulation. Growing data suggest that girls exhibit greater sensitivity to sleep disturbances, particularly during the pubertal transition, with stronger links to internalizing symptoms such as anxiety and mood disorders. In contrast, boys appear more prone to externalizing behaviors and show differential responses to circadian misalignment and short sleep duration. Emerging evidence on sex-specific sleep architecture, REM-related emotional processing, and the bidirectional pathways through which sleep quality affects affective functioning are explored. Finally, clinical implications for early detection, personalized prevention, and targeted interventions tailored by sex and developmental stage are discussed. Understanding sex-based differences in sleep–emotion interactions offers a critical opportunity to refine pediatric mental health strategies and improve outcomes across developmental trajectories. Full article
(This article belongs to the Special Issue Advances in Mental Health and Well-Being in Children (Third Edition))
Show Figures

Figure 1

9 pages, 653 KB  
Case Report
Anteromedial Globus Pallidus Internus Deep Brain Stimulation for Gilles de la Tourette Syndrome: A Two-Case Report and Review of the Literature
by Tomislav Felbabić, Rok Berlot, Maja Trošt, Dejan Georgiev and Mitja Benedičič
Neurol. Int. 2026, 18(2), 21; https://doi.org/10.3390/neurolint18020021 - 25 Jan 2026
Viewed by 338
Abstract
Background: Gilles de la Tourette syndrome is a neurobehavioral disorder that typically begins in childhood, subsides during puberty, and may reappear in adolescence. Treatment is primarily conservative, involving psychological and pharmacological therapy. Patients who do not respond to conservative therapy may be treated [...] Read more.
Background: Gilles de la Tourette syndrome is a neurobehavioral disorder that typically begins in childhood, subsides during puberty, and may reappear in adolescence. Treatment is primarily conservative, involving psychological and pharmacological therapy. Patients who do not respond to conservative therapy may be treated with deep brain stimulation, although this remains an experimental treatment. Methods: In this two-case report we present the first two cases of patients with Gilles de la Tourette syndrome in Slovenia treated with deep brain stimulation of the anteromedial globus pallidus internus. Results: Over an 18-month follow-up period, we observed an improvement in both cases. In the first case, the Yale Global Tic Severity Scale score decreased from 71 (17 for motor tics, 14 for phonic tics, and 40 on the impairment scale) to 44 points (12 motor, 12 phonic, and 20 impairment). In the second case, the score decreased from 72 (16 motor, 16 phonic, and 40 impairment) to 38 points (8 motor, 10 phonic, and 20 impairment). Conclusions: Deep brain stimulation could be a promising treatment for this disorder. However, further research is needed to determine the most suitable patients and targets. Full article
(This article belongs to the Section Movement Disorders and Neurodegenerative Diseases)
Show Figures

Figure 1

18 pages, 2912 KB  
Article
Correlation Between Endocrine and Other Clinical Factors with Peripapillary Retinal Nerve Fiber Layer Thickness After Surgical Treatment of Pediatric Craniopharyngioma
by Agnieszka Bogusz-Wójcik, Klaudia Rakusiewicz-Krasnodębska, Wojciech Hautz, Maciej Jaworski, Paweł Kowalczyk and Elżbieta Moszczyńska
Biomedicines 2026, 14(1), 239; https://doi.org/10.3390/biomedicines14010239 - 21 Jan 2026
Viewed by 428
Abstract
Background: Visual dysfunction resulting from damage to the optic nerve and retinal neurons represents a significant concern in the postoperative management of childhood-onset craniopharyngioma (CP) survivors. The study aims to evaluate the influence of clinical parameters assessed in patients before and after [...] Read more.
Background: Visual dysfunction resulting from damage to the optic nerve and retinal neurons represents a significant concern in the postoperative management of childhood-onset craniopharyngioma (CP) survivors. The study aims to evaluate the influence of clinical parameters assessed in patients before and after neurosurgery of CP on peripapillary retinal nerve fiber layer (RNFL) thickness results, using optical coherence tomography (OCT) as early markers of compressive neuropathy. Methods: This study retrospectively examined 73 eyes from 38 individuals diagnosed with CP and 64 eyes from 32 healthy controls matched for age and sex. All patients in the study group underwent a complete endocrine examination before and after surgery. Moreover, all participants in both groups underwent a thorough ophthalmological examination and OCT imaging. The average RNFL thickness was analyzed, along with the RNFL in the superior and inferior sectors and in eight peripapillary sectors around the optic nerve. Clinical variables were analyzed to assess how they relate to alterations in RNFL thickness within specific sectors. Results: After surgery, the peripapillary RNFL thickness was much lower in the CP group than in the healthy control group. Preoperative factors significantly affecting RNFL reduction are as follows: age below 5 years at the time of diagnosis, birth in the country, optic disc oedema, delayed puberty, arginine vasopressin deficiency (AVD), growth hormone deficiency (GHD), hyperprolactinemia, and the degree of preoperative hypothalamic involvement. Moreover, syndrome of inappropriate secretion of antidiuretic hormone (SIADH), as well as the end of AVD, memory disorder and hyperfagia after surgery, correlated with damage to RNFL. Conclusions: CP causes significant thinning of the RNFL, which demonstrates the tumor’s impact on the visual pathway. Monitoring optic nerve damage and assessing outcomes after surgery can be performed effectively using OCT. Additionally, the relationship between RNFL thickness in specific areas and clinical indicators can provide vital information for diagnosing and monitoring. This highlights their usefulness in forecasting visual results. As a result, ongoing RNFL assessments should be part of the long-term management of CP patients to improve visual outlook and identify ongoing or remaining damage. Full article
(This article belongs to the Special Issue Pediatric Tumors: Diagnosis, Pathogenesis, Treatment, and Outcome)
Show Figures

Figure 1

Back to TopTop