You are currently on the new version of our website. Access the old version .

130 Results Found

  • Article
  • Open Access
4 Citations
2,820 Views
9 Pages

22 June 2021

The vaporization enthalpy, and vapor pressure as a function of temperature of N-ethylamphetamine, a substance used in the 1950s as an appetite suppressant and more currently abused as a designer drug, is reported. Its physical properties are compared...

  • Feature Paper
  • Article
  • Open Access
2,957 Views
17 Pages

Tools to predict vapor–liquid phase equilibria are indispensable for the conceptualization and design of separation processes. Modified separation of cohesive energy density (MOSCED) is a solubility-parameter-based method parameterized to make...

  • Article
  • Open Access
4 Citations
1,639 Views
12 Pages

27 May 2024

This paper reports the vapor pressure and enthalpy of vaporization for a promising phase change material (PCM) guanidinium methanesulfonate ([Gdm][OMs]), which is a typical guanidinium organomonosulfonate that displays a lamellar crystalline architec...

  • Article
  • Open Access
1 Citations
1,317 Views
14 Pages

27 June 2024

Vaporization enthalpies and vapor pressures of 5α-androstane and 5α-cholestane are reported using correlation gas chromatography (CGC). The results for 5α-cholestane are compared to both estimated and experimental values reported pr...

  • Article
  • Open Access
3 Citations
2,056 Views
20 Pages

12 September 2024

A protocol is proposed that combines the use of the known properties of a surrogate containing various functional groups together with n-alkanes as standards to evaluate the properties of much larger related substances using correlation gas chromatog...

  • Article
  • Open Access
1 Citations
1,653 Views
17 Pages

10 February 2025

The majority of the studies of vaporization enthalpy dealt with pure substances. Reports of this quantity for azeotropes were scarce despite that similar experimental methods could be applied in such measurements. Vaporization enthalpies of azeotrope...

  • Article
  • Open Access
64 Citations
9,003 Views
41 Pages

The calculation of the standard enthalpies of vaporization, sublimation and solvation of organic molecules is presented using a common computer algorithm on the basis of a group-additivity method. The same algorithm is also shown to enable the calcul...

  • Feature Paper
  • Review
  • Open Access
10 Citations
3,265 Views
20 Pages

28 September 2021

We propose and test an efficient approach for the assessment of the enthalpies of vaporization of ionic liquids at the reference temperature 298.15 K. The approach is based on activity coefficients at infinite dilution of volatile organic solutes in...

  • Article
  • Open Access
7 Citations
5,278 Views
13 Pages

Density, Enthalpy of Vaporization and Local Structure of Neat N-Alkane Liquids

  • Gerrick E. Lindberg,
  • Joseph L. Baker,
  • Jennifer Hanley,
  • William M. Grundy and
  • Caitlin King

6 August 2021

The properties of alkanes are consequential for understanding many chemical processes in nature and industry. We use molecular dynamics simulations with the Amber force field GAFF2 to examine the structure of pure liquids at each respective normal bo...

  • Article
  • Open Access
20 Citations
4,451 Views
21 Pages

10 December 2021

The liquid organic hydrogen carriers (LOHC) are aromatic molecules, which can be considered as an attractive option for the storage and transport of hydrogen. A considerable amount of hydrogen up to 7–8% wt. can be loaded and unloaded with a re...

  • Article
  • Open Access
11 Citations
2,874 Views
14 Pages

Aprotic Ionic Liquids: A Framework for Predicting Vaporization Thermodynamics

  • Sergey P. Verevkin,
  • Dzmitry H. Zaitsau and
  • Ralf Ludwig

Ionic liquids (ILs) are recognized as an environmentally friendly alternative to replacing volatile molecular solvents. Knowledge of vaporization thermodynamics is crucial for practical applications. The vaporization thermodynamics of five ionic liqu...

  • Article
  • Open Access
10 Citations
3,713 Views
20 Pages

1 March 2023

Scandium complexes with β-diketonate ligands are valuable precursors for the metal–organic chemical vapor deposition (MOCVD) of scandia based materials, but data on their volatilization thermodynamics crucial to MOCVD technology are in a h...

  • Article
  • Open Access
3 Citations
3,407 Views
21 Pages

5 July 2022

Abraham model L solute descriptors have been determined for 149 additional C11 to C42 monomethylated and polymethylated alkanes based on published Kovat’s retention indices based upon gas–liquid chromatographic measurements. The calculate...

  • Article
  • Open Access
4 Citations
3,250 Views
15 Pages

Determination of Volatility Parameters of Secondary Organic Aerosol Components via Thermal Analysis

  • Fawad Ashraf,
  • Zaeem Bin Babar,
  • Jun-Hyun Park,
  • Pham Duy Quang Dao,
  • Chan Sik Cho and
  • Ho-Jin Lim

29 April 2022

To date, there are limited data on the thermal properties of secondary organic aerosol (SOA) components. In this study, we employed an experimental method to evaluate the physical properties of some atmospherically relevant compounds. We estimated th...

  • Article
  • Open Access
2,656 Views
13 Pages

Thermodynamic Properties of Two Cinnamate Derivatives with Flavor and Fragrance Features

  • Vera L. S. Freitas,
  • Carlos A. O. Silva and
  • Maria D. M. C. Ribeiro da Silva

11 October 2024

The standard molar enthalpies of formation in the liquid phase for ethyl (E)-cinnamate and ethyl hydrocinnamate, two cinnamate derivatives with notable flavor and fragrance characteristics, were determined experimentally using combustion calorimetry...

  • Feature Paper
  • Article
  • Open Access
8 Citations
8,160 Views
12 Pages

17 July 2023

In general, for an organic compound a plot of the log vapor pressure versus inverse temperature is linear over a wide temperature range. This however can lead to a point of confusion in an undergraduate thermodynamics course. This linear behavior is...

  • Article
  • Open Access
6 Citations
2,903 Views
17 Pages

18 August 2023

Metal acetylacetonates belong to the β-diketonate family and are considered as classics among precursors for metal–organic chemical vapor deposition (MOCVD). The success of film preparation is crucially dependent on the volatilization thermodynamics...

  • Article
  • Open Access
3 Citations
2,109 Views
16 Pages

Thermodynamic Properties of γ- and δ-Lactones: Exploring Alkyl Chain Length Effect and Ring-Opening Reactions for Green Chemistry Applications

  • Ana L. R. Silva,
  • Gastón P. León,
  • Vladimír Lukeš,
  • Erik Klein and
  • Maria D. M. C. Ribeiro da Silva

18 January 2025

An extensive thermochemical study of γ-undecanolactone and δ-undecanolactone has been developed using two complementary calorimetric techniques. The combustion energy of each compound was determined by static-bomb combustion calorimetry,...

  • Article
  • Open Access
2 Citations
1,858 Views
13 Pages

Phase Transition Thermodynamics of 1,3,5-Tris-(α-naphthyl)benzene: Theory and Experiment

  • Mikhail I. Yagofarov,
  • Dmitrii N. Bolmatenkov,
  • Airat A. Notfullin,
  • Andrey A. Sokolov,
  • Ilya S. Balakhontsev,
  • Timur A. Mukhametzyanov and
  • Boris N. Solomonov

1,3,5-Tris-(α-naphthyl)benzene is an organic non-electrolyte with notable stability of an amorphous phase. Its glassy and supercooled liquid states were previously studied by spectroscopic and calorimetric methods. Despite the continuing intere...

  • Article
  • Open Access
1 Citations
1,940 Views
12 Pages

13 September 2023

This experimental and computational study on the energetic properties of 2-methyl-, 3-methyl-, 4-methoxy- and 5-methoxy-indanones has been carried out using mostly calorimetric techniques and a suitable computational approach. The combustion and subl...

  • Feature Paper
  • Article
  • Open Access
1,251 Views
11 Pages

18 March 2025

The thermochemical properties of three sulfur-containing furan derivatives, 2-furanmethanethiol, furfuryl methyl sulfide, and methyl 2-methyl-3-furyl disulfide, were investigated using experimental and theoretical methods. Standard molar enthalpies o...

  • Article
  • Open Access
3 Citations
2,459 Views
14 Pages

Thermochemical Research on Furfurylamine and 5-Methylfurfurylamine: Experimental and Computational Insights

  • Luísa M. P. F. Amaral,
  • Ana R. R. P. Almeida and
  • Manuel A. V. Ribeiro da Silva

The need to transition from fossil fuels to renewables arises from factors such as depletion, price fluctuations, and environmental considerations. Lignocellulosic biomass, being abundant, and quickly renewable, and not interfering with food supplies...

  • Article
  • Open Access
4 Citations
3,078 Views
20 Pages

Thermodynamic Study of N-Methylformamide and N,N-Dimethyl-Formamide

  • Květoslav Růžička,
  • Vojtěch Štejfa,
  • Ctirad Červinka,
  • Michal Fulem and
  • Jiří Šturala

An extensive thermodynamic study of N-methylformamide (CAS RN: 123-39-7) and N,N-dimethylformamide (CAS RN: 68-12-2), is presented in this work. The liquid heat capacities of N-methylformamide were measured by Tian–Calvet calorimetry in the tem...

  • Article
  • Open Access
2 Citations
2,639 Views
21 Pages

Thermophysical Properties of FUNaK (NaF-KF-UF4) Eutectics

  • Maxime Fache,
  • Laura Voigt,
  • Jean-Yves Colle,
  • John Hald and
  • Ondřej Beneš

6 June 2024

General interest in the deployment of molten salt reactors (MSRs) is growing, while the available data on uranium-containing fuel salt candidates remains scarce. Thermophysical data are one of the key parameters for reactor design and understanding r...

  • Article
  • Open Access
2 Citations
3,022 Views
14 Pages

Sublimation Study of Six 5-Substituted-1,10-Phenanthrolines by Knudsen Effusion Mass Loss and Solution Calorimetry

  • Bruno Brunetti,
  • Andrea Ciccioli,
  • Andrea Lapi,
  • Aleksey V. Buzyurov,
  • Ruslan N. Nagrimanov,
  • Mikhail A. Varfolomeev and
  • Stefano Vecchio Ciprioti

27 January 2022

The vapor pressures of six solid 5-X-1,10-phenanthrolines (where X = Cl, CH3, CN, OCH3, NH2, NO2) were determined in suitable temperature ranges by Knudsen Effusion Mass Loss (KEML). From the temperature dependencies of vapor pressure, the molar subl...

  • Article
  • Open Access
61 Citations
10,114 Views
23 Pages

3 June 2011

The Hildebrand solubility parameters have been calculated for eight ionic liquids. Retention data from the inverse gas chromatography measurements of the activity coefficients at infinite dilution were used for the calculation. From the solubility pa...

  • Article
  • Open Access
1,059 Views
17 Pages

Polymorphism and Phase-Transition Thermodynamic Properties of Phenazone (Antipyrine)

  • Dmitrii N. Bolmatenkov,
  • Ilyas I. Nizamov,
  • Andrey A. Sokolov,
  • Airat A. Notfullin,
  • Boris N. Solomonov and
  • Mikhail I. Yagofarov

30 June 2025

In this work, detailed information on the phase-transition thermodynamics of the analgesic and antipyretic drug phenazone, also known as antipyrine, is reported. It was found that the compound forms two polymorphs. Fusion thermodynamics of both forms...

  • Article
  • Open Access
119 Citations
18,920 Views
18 Pages

27 April 2010

The Hildebrand’s solubility parameters have been calculated for 18 ionic liquids from the inverse gas chromatography measurements of the activity coefficients at infinite dilution. Retention data were used for the calculation. The solubility paramete...

  • Article
  • Open Access
17 Citations
7,606 Views
17 Pages

19 August 2015

In the present work, the sublimation of crystalline solid 2-(2-nitrovinyl) furan (G-0) in the temperature range of 35 to 60 °C (below the melting point of the drug) was studied using thermogravimetric analysis (TGA). The sublimated product was charac...

  • Article
  • Open Access
4 Citations
2,858 Views
14 Pages

Properties and Atmospheric Oxidation of Norpinic Acid Aerosol

  • Evangelia Kostenidou,
  • Spiro Jorga,
  • John K. Kodros,
  • Kalliopi Florou,
  • Agata Kołodziejczyk,
  • Rafal Szmigielski and
  • Spyros N. Pandis

13 September 2022

Norpinic acid is a major semi-volatile oxidation product of α-pinene and β-pinene, two of the most important biogenic atmospheric volatile organic compounds. In this study we characterized the physicochemical properties of norpinic acid ae...

  • Article
  • Open Access
4 Citations
2,308 Views
22 Pages

Polymer Membranes for Enthalpy Exchangers

  • Kamil Križo,
  • Andrej Kapjor and
  • Michal Holubčík

19 August 2022

A membrane-based enthalpy exchanger is a device used for heat and humidity recovery in ventilated buildings. The energy-saving potential of such a device is dependent on the parameters responsible for heat and moisture recovery. The trend is toward c...

  • Article
  • Open Access
3 Citations
3,091 Views
22 Pages

Vapor pressures and other thermodynamic properties of liquids, such as density and enthalpy of mixtures, are the key parameters in chemical engineering for designing new process units, and are also essential for understanding the physical chemistry,...

  • Article
  • Open Access
7 Citations
3,234 Views
31 Pages

Thermodynamic Analysis of Chemical Hydrogen Storage: Energetics of Liquid Organic Hydrogen Carrier Systems Based on Methyl-Substituted Indoles

  • Sergey V. Vostrikov,
  • Artemiy A. Samarov,
  • Vladimir V. Turovtsev,
  • Peter Wasserscheid,
  • Karsten Müller and
  • Sergey P. Verevkin

6 April 2023

Liquid organic hydrogen carriers can store hydrogen in a safe and dense form through covalent bonds. Hydrogen uptake and release are realized by catalytic hydrogenation and dehydrogenation, respectively. Indoles have been demonstrated to be interesti...

  • Article
  • Open Access
2 Citations
2,202 Views
18 Pages

Thermodynamics of Formation and Liquid–Vapor Phase Transitions of Antimony Alloys with Selenium and Sulfur

  • Valeriy Volodin,
  • Alina Nitsenko,
  • Sergey Trebukhov,
  • Xeniya Linnik and
  • Yerkebulan Gapurov

26 December 2023

The authors conducted liquid solution studies of antimony with selenium and sulfur in order to provide information on the thermodynamic functions of the formation of these alloys. The studies are based on the vapor pressure values of the components,...

  • Article
  • Open Access
1 Citations
2,342 Views
16 Pages

24 April 2024

The organic component of biomass pyrolysis oils is composed of a light fraction (C2–C4 volatiles, sugar- and lignin-derived monomers) and a less polar heavy fraction (pyrolytic lignin/humins, greater than approximately 200 g/mol). Importantly,...

  • Article
  • Open Access
1 Citations
2,585 Views
9 Pages

Thermochemical Study of 1-Methylhydantoin

  • Juan M. Ledo,
  • Henoc Flores,
  • Fernando Ramos and
  • Elsa A. Camarillo

16 January 2022

Using static bomb combustion calorimetry, the combustion energy of 1-methylhydantoin was obtained, from which the standard molar enthalpy of formation of the crystalline phase at T = 298.15 K of the compound studied was calculated. Through thermograv...

  • Article
  • Open Access
1 Citations
2,239 Views
15 Pages

Phase Transitions Equilibria of Five Dichlorinated Substituted Benzenes

  • Ana R. R. P. Almeida,
  • Bruno D. A. Pinheiro and
  • Manuel J. S. Monte

7 February 2023

This work reports an experimental study aiming to determine the thermodynamic properties of five chlorinated compounds with environmental impact. The vapor pressures of the crystalline phases of three isomers of dichlorobenzoic acid (2,4-, 2,5-, and...

  • Feature Paper
  • Article
  • Open Access
1 Citations
3,964 Views
17 Pages

Vapor Composition and Vaporization Thermodynamics of 1-Ethyl-3-methylimidazolium Hexafluorophosphate Ionic Liquid

  • Anatoliy M. Dunaev,
  • Vladimir B. Motalov,
  • Mikhail A. Korobov,
  • Dmitrii Govorov,
  • Victor V. Aleksandriiskii and
  • Lev S. Kudin

The processes of the sublimation and thermal decomposition of the 1-ethyl-3-methylimidazolium hexafluorophosphate ionic liquid (EMImPF6) were studied by a complex approach including Knudsen effusion mass spectrometry, IR and NMR spectroscopy, and qua...

  • Article
  • Open Access
5 Citations
2,570 Views
7 Pages

Thermochemistry of Solution, Solvation, and Hydrogen Bonding of Cyclic Amides in Proton Acceptor and Donor Solvents. Amide Cycle Size Effect

  • Ilnaz T. Rakipov,
  • Artem A. Petrov,
  • Aydar A. Akhmadiyarov,
  • Artashes A. Khachatrian,
  • Timur A. Mukhametzyanov and
  • Boris N. Solomonov

In the present work, the thermochemistry of solution, solvation, and hydrogen bonding of cyclic amides in proton acceptor (B) and proton donor (RXH) solvents were studied. The infinite dilution solution enthalpies of δ-valerolactam, N-methylvalerolac...

  • Article
  • Open Access
1 Citations
2,114 Views
14 Pages

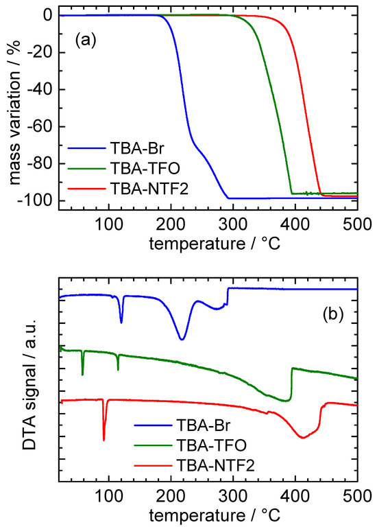
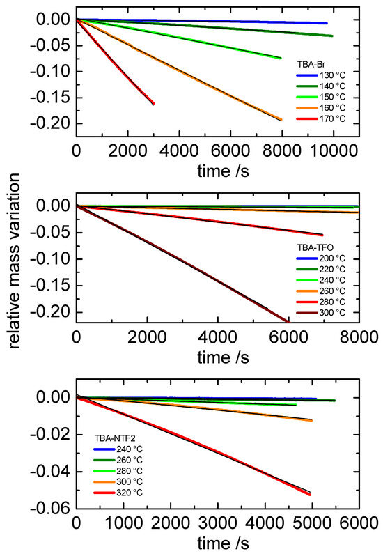
Vapor Pressure of Ionic Liquids with a Common Tetrabutylammonium Cation and Three Different Anions

  • Ivan Fabrizi,
  • Simone Di Muzio,
  • Fabio Ramondo,
  • Francesco Trequattrini,
  • Oriele Palumbo and
  • Annalisa Paolone

27 May 2025

The vapor pressures, pv, of three ionic compounds used as starting materials of deep eutectic systems, namely, tetrabutylammonium bromide (TBA-Br), tetrabutylammonium trifluoromethanesulfonate (TBA-TFO), and tetrabutylammonium bis(trifluoromethanesul...

  • Article
  • Open Access
8 Citations
2,720 Views
9 Pages

15 March 2021

Liquefied Natural Gas (LNG) must be vaporized before it is used in the combustion process. In most regasification terminals, energy that was previously expended to liquefy natural gas is dissipated in the environment. The paper proposes the use of th...

  • Article
  • Open Access
2 Citations
2,208 Views
16 Pages

Determination and Analysis of Thermodynamic Properties of Methyl Methylanthranilate Isomers

  • Carlos A. O. Silva,
  • Vera L. S. Freitas and
  • Maria D. M. C. Ribeiro da Silva

18 September 2023

The enthalpies of formation in the gaseous phase of methyl 3-methylanthranilate and methyl 5-methylanthranilate were determined from experimental measurements of the corresponding standard energies of combustion, obtained from combustion calorimetry,...

  • Article
  • Open Access
3 Citations
3,848 Views
12 Pages

Experimental and Computational Study of the Properties of Imidazole Compounds with Branched and Cycloalkyl Substituents

  • Shuai Qian,
  • Patrick Mileski,
  • Adam C. Irvin,
  • Ademola Soyemi,
  • Tibor Szilvási and
  • Jason E. Bara

7 February 2022

N-functionalized imidazole compounds with linear alkyl groups have been widely utilized precursors for imidazolium ionic liquids (ILs) while the effects of branched and cycloalkyl substituents on properties of imidazole compounds have not been studie...

  • Article
  • Open Access
2,428 Views
9 Pages

Calculation of Crystal-Solution Dissociation Constants

  • Sergiy O. Garbuzynskiy and
  • Alexei V. Finkelstein

18 January 2022

The calculation of dissociation constants is an important problem in molecular biophysics. For such a calculation, it is important to correctly calculate both terms of the binding free energy; that is, the enthalpy and entropy of binding. Both these...

  • Article
  • Open Access
12 Citations
3,407 Views
18 Pages

Comprehensive Thermodynamic Study of Alkyl-Cyclohexanes as Liquid Organic Hydrogen Carriers Motifs

  • Sergey P. Verevkin,
  • Artemiy A. Samarov,
  • Sergey V. Vostrikov,
  • Peter Wasserscheid and
  • Karsten Müller

10 January 2023

Alkyl-cyclohexanes can be considered as suitable model compounds to understand the thermochemistry of aromatic compounds and their hydrogenated counterparts discussed as Liquid Organic Hydrogen Carrier systems. Thermochemical measurements on these hy...

  • Article
  • Open Access
4 Citations
3,684 Views
15 Pages

A Promising Thermodynamic Study of Hole Transport Materials to Develop Solar Cells: 1,3-Bis(N-carbazolyl)benzene and 1,4-Bis(diphenylamino)benzene

  • Juan Mentado-Morales,
  • Arturo Ximello-Hernández,
  • Javier Salinas-Luna,
  • Vera L. S. Freitas and
  • Maria D. M. C. Ribeiro da Silva

7 January 2022

The thermochemical study of the 1,3-bis(N-carbazolyl)benzene (NCB) and 1,4-bis(diphenylamino)benzene (DAB) involved the combination of combustion calorimetric (CC) and thermogravimetric techniques. The molar heat capacities over the temperature range...

  • Article
  • Open Access
3 Citations
3,153 Views
14 Pages

Thermodynamic Stability of Fenclorim and Clopyralid

  • Ana R. R. P. Almeida,
  • Bruno D. A. Pinheiro,
  • Ana I. M. C. Lobo Ferreira and
  • Manuel J. S. Monte

22 December 2021

The present work reports an experimental thermodynamic study of two nitrogen heterocyclic organic compounds, fenclorim and clopyralid, that have been used as herbicides. The sublimation vapor pressures of fenclorim (4,6-dichloro-2-phenylpyrimidine) a...

  • Technical Note
  • Open Access
5 Citations
3,353 Views
9 Pages

Calorimetric Studies of Magnesium-Rich Mg-Pd Alloys

  • Adam Dębski,
  • Sylwia Terlicka,
  • Władysław Gąsior,
  • Wojciech Gierlotka,
  • Magda Pęska,
  • Julita Dworecka-Wójcik and
  • Marek Polański

2 February 2021

Solution calorimetry with liquid aluminum as the bath was conducted to measure the enthalpy of a solution of magnesium and palladium as well as the standard formation enthalpies of selected magnesium-palladium alloys. These alloys were synthesized fr...

  • Article
  • Open Access
554 Views
29 Pages

9 December 2025

This article evaluates and develops a thermodynamic steady-state model, analyzing the thermodynamic properties of ammonia–ionic liquid (NH3–IL) working pairs for use in high-temperature (>100 °C) absorption heat pumps. Given the in...

  • Feature Paper
  • Article
  • Open Access
10 Citations
6,682 Views
16 Pages

Stabilized SPEEK Membranes with a High Degree of Sulfonation for Enthalpy Heat Exchangers

  • Riccardo Narducci,
  • Maria Luisa Di Vona,
  • Assunta Marrocchi and
  • Giorgio Baldinelli

In this investigation, we explored for the first time the use of cross-linked sulfonated poly (ether ether ketone) (SPEEK) membranes in the fabrication of enthalpy heat exchangers. SPEEK is very sensitive to changes in relative humidity, especially w...

of 3