Thermodynamic Behavior of (2-Propanol + 1,8-Cineole) Mixtures: Isothermal Vapor–Liquid Equilibria, Densities, Enthalpies of Mixing, and Modeling
Abstract
1. Introduction
2. Results and Discussion
2.1. Pure Components
2.2. Vapor Pressures and Derived Thermodynamic Parameters
2.3. Excess Molar Enthalpies and Densities
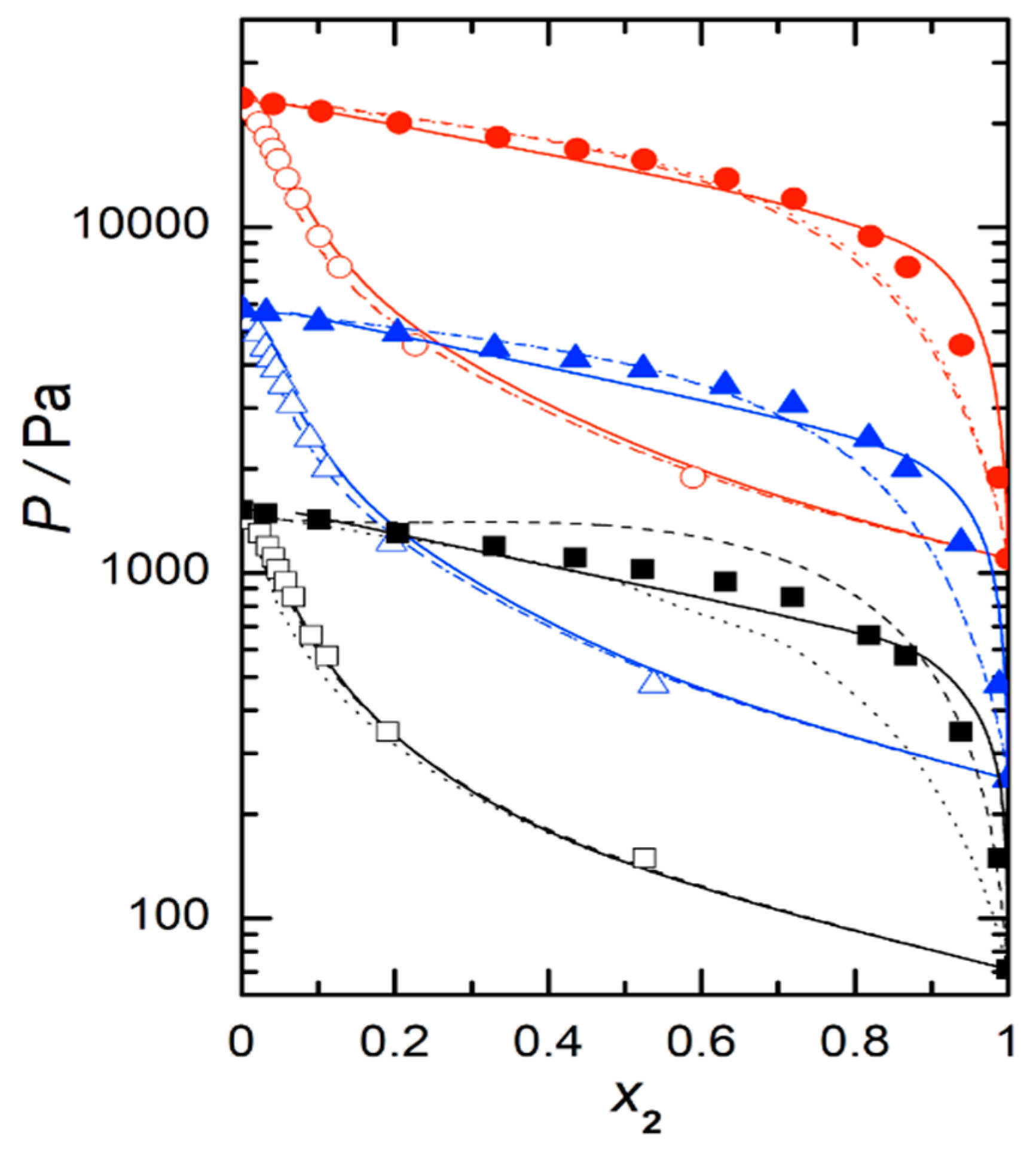
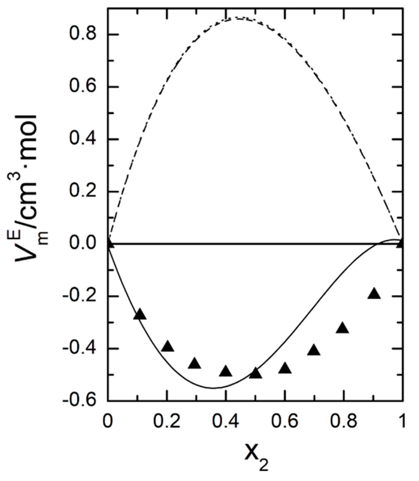
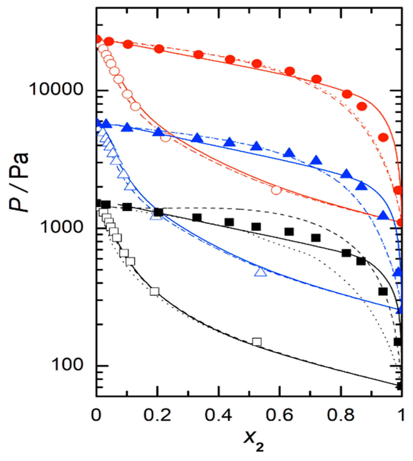
2.4. A Comparative Discussion of the Thermodynamic Excess Functions for Short-Chain Alcohol + 1,8-Cineol, or +di-n-Propylether
2.5. Equations of State (EoS)
| Mw/g·mol−1 | Tb/K | Tc/K | Pc/MPa | ω | ||
|---|---|---|---|---|---|---|
| 1,8-cineole a | 154.25 | 449.6 | 661.12 | 3.019 | 0.338 | |
| 2-propanol b | 60.096 | 355.4 | 508.3 | 4.760 | 0.665 | |
| PRM-VT | P1 | c/b | Range T/K | |||
| 1,8-cineole c | −0.003518 | −0.086491 | 278–450 | |||
| 2-propanol d | −0.256223 | 0.039731 | 278–493 | |||
| PRSV-VT | kap | c/b | Range T/K | |||
| 1,8-cineole c | 0.007355 | −0.086427 | 278–450 | |||
| 2-propanol d | 0.166735 | 0.039468 | 278–493 | |||
| SAFT | m | υ°°/L·mol−1 | u°·k−1/K | κ | ε·k−1/K | Range T/K |
| 1,8-cineole c | 4.842 | 0.0178 | 263.43 | - | - | 278–450 |
| 2-propanol e | 3.249 | 0.0120 | 202.94 | 0.0210 | 2670 | 293–493 |
3. Materials and Methods
3.1. Chemicals
3.2. Apparatus and Procedures
4. Conclusions
Author Contributions
Funding
Institutional Review Board Statement
Informed Consent Statement
Data Availability Statement
Acknowledgments
Conflicts of Interest
References
- Cai, Z.M.; Peng, J.Q.; Chen, Y.; Tao, L.; Zhang, Y.Y.; Fu, L.Y.; Long, Q.D.; Shen, X.C. 1,8-Cineole: A review of source, biological activities, and application. J. Asian Nat. Prod. Res. 2020, 23, 938–995. [Google Scholar] [CrossRef] [PubMed]
- De Vincenzi, M.; Mancini, E.; Dessi, M.R. Monographs on botanical flavouring substances used in foods. Part V. Fitoterapia 1996, 67, 241–251. [Google Scholar]
- Scientific Committee on Food. Opinion of the Scientific Committee on Food on Eucalyptol; European Commission Health and Consumer Protection Directorate-General, Ed.; Directorate C—Scientific Opinions C2—Management of Scientific Committees II; Scientific Co-Operation and Networks: Bruxelles/Brussells, Belgium, 2002; p. 2.
- Bhowal, M.; Gopal, M. Eucalyptol: Safety and Pharmacological Profile. RGUHS J. Pharm. Sci. 2015, 5, 125–131. [Google Scholar] [CrossRef]
- Majed, M.M.; Shadi, F.G.; Karem, H.A.; Al-Azzam, S.I.; Wasfi, M.O. Antimicrobial Activity of Common Mouthwash Solutions on Multidrug-Resistance Bacterial Biofilms. J. Clin. Med. Res. 2013, 5, 389–394. [Google Scholar]
- Worth, H.; Schacher, C.; Dethlefsen, U. Concomitant therapy with Cineole (Eucalyptole) reduces exacerbations in COPD: A placebo-controlled double-blind trial. Respir. Res. 2009, 10, 69. [Google Scholar] [CrossRef]
- Juergens, U.R. Anti-inflammatory properties of the monoterpene 1.8-cineole: Current evidence for co-medication in inflammatory airway diseases. Drug Res. 2014, 64, 638–646. [Google Scholar] [CrossRef] [PubMed]
- Van Vuuren, S.F.; Viljoen, A.M. Antimicrobial activity of limonene enantiomers and 1,8-cineole alone and in combination. Flavour Fragr. J. 2007, 22, 540–544. [Google Scholar] [CrossRef]
- Merghni, A.; Noumi, E.; Hadded, O.; Dridi, N.; Panwar, H.; Ceylan, O.; Mastouri, M.; Snoussi, M. Assessment of the antibiofilm and antiquorum sensing activities of Eucalyptus globulus essential oil and its main component 1,8-cineole against methicillin-resistant Staphylococcus aureus strains. Microb. Pathog. 2018, 118, 74–80. [Google Scholar] [CrossRef]
- Morcia, C.; Malnati, M.; Terzi, V. In vitro antifungal activity of terpinen-4-ol, eugenol, carvone, 1,8-cineole (eucalyptol) and thymol against mycotoxigenic plant pathogens. Food Addit. Contam. Part A-Chem. 2012, 29, 415–422. [Google Scholar] [CrossRef]
- Kin, K.Y.; Seo, H.J.; Min, S.S.; Park, M.; Seol, G.H. The effect of 1,8-cineole inhalation on preoperative anxiety: A randomized clinical trial. Evid. Based Complement. Altern. Med. 2014, 24, 820126. [Google Scholar] [CrossRef]
- Heard, C.M.; Kung, D.; Thomas, C.P. Skin penetration enhancement of mefenamic acid by ethanol and 1,8-cineole can be explained by the ‘pull’ effect. Int. J. Pharm. 2006, 321, 167–170. [Google Scholar] [CrossRef] [PubMed]
- Dougnon, G.; Ito, M. Inhalation Administration of the Bicyclic Ethers 1,8- and 1,4-cineole Prevent Anxiety and Depressive-Like Behaviours in Mice. Molecules 2020, 25, 1884. [Google Scholar] [CrossRef] [PubMed]
- Abdalla, A.N.; Shaheen, U.; Abdallah, Q.M.A.; Flamini, G.; Bkhaitan, M.M.; Abdelhady, M.I.S.; Ascrizzi, R.; Bader, A. Proapoptotic Activity of Achillea membranacea Essential Oil and Its Major Constituent 1,8-Cineole against A2780 Ovarian Cancer Cells. Molecules 2020, 25, 1582. [Google Scholar] [CrossRef] [PubMed]
- Rodenak-Kladniew, B.; Castro, M.A.; Crespo, R.; Galle, M.; de Bravo, M.G. Anti-cancer mechanisms of linalool and 1,8-cineole in non-small cell lung cancer A549 cells. Heliyon 2020, 6, e05639. [Google Scholar] [CrossRef]
- Paul, K.; Ganguly, U.; Chakrabarti, S.; Bhattacharjee, P. 1,8-Cineole-Rich Extract of Small Cardamom Seeds More Effective in Preventing Alzheimer’s Disease than 1,8-Cineole Alone? Neuromol. Med. 2020, 22, 150–158. [Google Scholar] [CrossRef]
- An, F.; Bai, Y.; Xuan, X.; Bian, M.; Zhang, G.; Wei, C. 8-Cineole Ameliorates Advanced Glycation End Products-Induced Alzheimer’s Disease-like Pathology In Vitro and In Vivo. Molecules 2022, 27, 3913. [Google Scholar] [CrossRef]
- Sharma, A.D.; Kaur, I. Targeting UDP-Glycosyltransferase, Glucosamine-6-Phosphate Synthase and Chitin Synthase by Using Bioactive 1,8 Cineole for “Aspergillosis” Fungal Disease Mutilating COVID-19 Patients: Insights from Molecular Docking, Pharmacokinetics and In-vitro Studies. Chem. Afr. 2022, 5, 149–160. [Google Scholar] [CrossRef]
- Hamiche, S.; Bouzidi, N.; Daghbouche, Y.; Badis, A.; Garrigues, S.; de la Guardia, M.; El Hattab, M. Eucalyptol-based green extraction of brown alga Zonaria tournefortii. Sustain. Chem. Pharm. 2018, 10, 97–102. [Google Scholar] [CrossRef]
- Campos, J.F.; Scherrmann, M.C.; Berteina-Raboin, S. Eucalyptol: A new solvent for the synthesis of heterocycles containing oxygen, sulfur and nitrogen. Green Chem. 2019, 6, 1531–1539. [Google Scholar] [CrossRef]
- Eisenbrand, G.; Cohen, S.M.; Fukushima, S.; Gooderham, N.J.; Guengerich, F.P.; Hecht, S.S.; Taylor, S.V. FEMA GRAS assessment of natural flavor complexes: Eucalyptus oil and other cyclic ether-containing flavoring ingredients. Food Chem. Toxicol. 2021, 155, 112357. [Google Scholar] [CrossRef]
- Sánchez-Vicente, Y.; Cabañas, A.; Renuncio, J.A.R.; Pando, C. Supercritical CO2 as a green solvent for eucalyptus and citrus essential oils processing: Role of thermal effects upon mixing. RSC Adv. 2013, 3, 6065. [Google Scholar] [CrossRef]
- Prat, D.; Hayler, J.; Wells, A. A survey of solvent selection guides. Green Chem. 2014, 16, 4546–4551. [Google Scholar] [CrossRef]
- Samudrala, S.; Bhattacharya, S. Toward the Sustainable Synthesis of Propanols from Renewable Glycerol over MoO3-Al2O3 Supported Palladium Catalysts. Catalysts 2018, 8, 385. [Google Scholar] [CrossRef]
- Wang, K.; Strobel, G.; Yan, D.H. The Production of 1,8-Cineole, a Potential Biofuel, from an Endophytic Strain of Annulohypoxylon sp. FPYF3050 When Grown on Agricultural Residues. J. Sustain. Bioenergy Syst. 2017, 7, 65–84. [Google Scholar] [CrossRef]
- Tasoren, E.; Aydogan, H.; Gokmen, M.S. Research of effect on gasoline-2-propanol blends on exhaust emission of gasoline engine with direct injection using Taguchi approach. Eur. Mech. Sci. 2021, 5, 177–182. [Google Scholar] [CrossRef]
- Weberdemenezes, E.; Dasilva, R.; Cataluna, R.; Ortega, R. Effect of ethers and ether/ethanol additives on the physicochemical properties of diesel fuel and on engine tests. Fuel 2006, 85, 815–822. [Google Scholar] [CrossRef]
- Raveendran, P.; Zimmermann, D.; Häber, T.; Suhm, M.A. Exploring a hydrogen-bond terminus: Spectroscopy of eucalyptol–alcohol clusters. Phys. Chem. Chem. Phys. 2000, 2, 3555–3563. [Google Scholar] [CrossRef]
- Du, L.; Tang, S.; Hansen, A.S.; Frandsen, B.N.; Maroun, Z.; Kjaergaard, H.G. Subtle differences in the hydrogen bonding of alcohol to divalent oxygen and sulfur. Chem. Phys. Lett. 2017, 667, 146–153. [Google Scholar] [CrossRef]
- Aparicio, S.; Alcalde, R.; Dávila, M.J.; García, B.; Leal, J.M. Properties of 1,8-Cineole: A Thermophysical and Theoretical Study. J. Phys. Chem. B 2007, 11, 3167–3177. [Google Scholar] [CrossRef]
- Štejfa, V.; Fulem, M.; Růžička, K.; Červinka, C. Thermodynamic study of selected monoterpenes III. J. Chem. Thermodyn. 2014, 79, 280–289. [Google Scholar] [CrossRef]
- Lasarte, J.M.; Martín, L.; Langa, E.; Urieta, J.S.; Mainar, A.M. Setup and Validation of a P ρ T Measuring Device. Volumetric Behavior of the Mixture 1,8-Cineole + Ethanol. J. Chem. Eng. Data 2008, 53, 1393–1400. [Google Scholar] [CrossRef]
- Alfaro, P.; Langa, E.; Martínez-López, J.F.; Urieta, J.S.; Mainar, A.M. Thermophysical properties of the binary mixtures (1,8-cineole + 1-alkanol) at T = (298.15 and 313.15) K and at atmospheric pressure. J. Chem. Thermodyn. 2010, 42, 291–303. [Google Scholar] [CrossRef]
- Torcal, M.; García-Abarrio, S.; Pardo, J.I.; Mainar, A.M.; Urieta, J.S. P, ρ, T Measurements and Isobaric Vapor-Liquid-Equilibria of the 1,3,3-Trimethyl-2-oxabicycle[2,2,2]octane + Propan-1-ol Mixture: Cubic and Statistical Associating Fluid Theory-Based Equation of State Analysis. J. Chem. Eng. Data 2010, 55, 5932–5940. [Google Scholar] [CrossRef]
- Gimeno, B.; Torcal, M.; Mainar, A.M.; Pérez, P. Isothermal Vapor-Liquid Equilibrium of (1-butanol + 1,8-cineole) at Ten Temperatures between 278.15 K and 323.15 K. J. Chem. Eng. Data 2011, 56, 2443–2448. [Google Scholar] [CrossRef]
- Gimeno, B.; Torcal, M.; Mainar, A.M.; Urieta, J.S.; Pérez, P. Total vapour pressure and excess Gibbs energy of ethanol with 1,8-cineole at temperatures between 278.15 K and 323.15 K. Fluid Phase Equilib. 2011, 309, 83–88. [Google Scholar] [CrossRef]
- Gimeno, B.; Martínez, S.; Urieta, J.S.; Pérez, P. Vapor Pressures and Activity Coefficients of (1-propanol + 1,8-cineole) at 10 Temperatures between 278.15 K and 323.15 K. J. Chem. Eng. Data 2012, 57, 3026–3031. [Google Scholar] [CrossRef]
- Peng, D.; Robinson, D.B. A New Two-Constant Equation of State. Ind. Eng. Chem. Fundam. 1976, 15, 59–64. [Google Scholar] [CrossRef]
- Huang, S.H.; Radosz, M. Equation of State for Small, Large, Polydisperse and Associating Molecules. Ind. Eng. Chem. Res. 1990, 29, 2284–2294. [Google Scholar] [CrossRef]
- van der Waals, J.D. Over de Continuiteit van den Gas en Vloeistoftoestand. Ph.D. Thesis, Leiden University, Leiden, The Netherlands, 1873. [Google Scholar]
- Papadopoulos, A.I.; Tsivintzelis, I.; Seferlis, P.; Linke, P. Computer-aided molecular design: Fundamentals, methods, and applications. In Elsevier Reference Module in Chemistry, Molecular Sciences and Chemical Engineering; Reedijk, J., Ed.; Elsevier: Waltham, MA, USA, 2018; pp. 1–76. [Google Scholar] [CrossRef]
- Lopez-Echeverry, J.S.; Reif-Acherman, S.; Araujo-Lopez, E. Peng-Robinson equation of state: 40 years through cubics. Fluid Phase Equilib. 2017, 447, 39–71. [Google Scholar] [CrossRef]
- Valderrama, J.O. The state of the cubic equations of state. Ind. Eng. Chem. Res. 2003, 42, 1603–1618. [Google Scholar] [CrossRef]
- Mathias, P.M. A Versatile Phase Equilibrium Equation of State. Ind. Eng. Chem. Process Des. Dev. 1983, 22, 385–391. [Google Scholar] [CrossRef]
- Stryjek, R.; Vera, J.H. PRSV: An Improved Peng-Robinson Equation of State for Pure Compounds and Mixtures. Can. J. Chem. Eng. 1986, 64, 323–333. [Google Scholar] [CrossRef]
- Peneloux, A.; Rauzy, E.; Freze, R. A Consistent Correction for Redlich-Kwong-Soave Volumes. Fluid Phase Equilib. 1982, 8, 7–23. [Google Scholar] [CrossRef]
- Wertheim, M.S. Fluids with highly directional attractive forces: I. Statistical thermodynamics. J. Stat. Phys. 1984, 35, 19–34. [Google Scholar] [CrossRef]
- Wertheim, M.S. Fluids with highly directional attractive forces: IV. Equilibrium polymerization. J. Stat. Phys. 1986, 42, 477–942. [Google Scholar] [CrossRef]
- Müller, E.A.; Gubbins, K.E. Molecular-Based Equations of State for Associating Fluids: A Review of SAFT and Related Approaches. Ind. Eng. Chem. Res. 2001, 40, 2193–2211. [Google Scholar] [CrossRef]
- Chapman, W.G.; Gubbins, K.E.; Jackson, G.; Radosz, M. SAFT Equationof- State Solution Model for Associating Fluids. Fluid Phase Equilib. 1989, 52, 31–38. [Google Scholar] [CrossRef]
- Chapman, W.G.; Gubbins, K.E.; Jackson, G.; Radosz, M. New Reference Equation of State for Associating Liquids. Ind. Eng. Chem. Res. 1990, 29, 1709–1721. [Google Scholar] [CrossRef]
- Gross, J.; Sadowski, G. Application of the Perturbed-Chain SAFT Equation of State to Associating Systems. Ind. Eng. Chem. Res. 2002, 41, 5510–5515. [Google Scholar] [CrossRef]
- Diamantonis, N.I.; Boulougouris, G.C.; Mansoor, E.; Tsangaris, D.M.; Economou, I.G. Evaluation of Cubic, SAFT, and PC-SAFT Equations of State for the Vapor–Liquid Equilibrium Modeling of CO2 Mixtures with Other Gases. Ind. Eng. Chem. Res. 2013, 52, 3933–3942. [Google Scholar] [CrossRef]
- Velasquez, J.A.; Hernandez, J.P.; Forero, L.A.; Cardona, L.F. Prediction of phase equilibria, density, speed of sound and viscosity of 2-alkoxyethanols mixtures: A comparison study between SAFT type EoSs and a modified PR EoS. Fluid Phase Equilib. 2022, 563, 113570. [Google Scholar] [CrossRef]
- Pliego, J.R. Building the liquid-vapour equilibrium curve through a cubic equation of state: Use of excel for teaching physical-chemistry. Quim. Nova 2016, 39, 641–645. [Google Scholar] [CrossRef]
- Kontogeorgis, G.M.; Privat, R.; Jaubert, J.-N. Taking Another Look at the van der Waals Equation of State—Almost 150 Years Later. J. Chem. Eng. Data 2019, 64, 4619–4637. [Google Scholar] [CrossRef]
- Kamesh, R.; Kumari, A.; Rani, K.Y. Measurements, Correlations, and Modified UNIFAC Predictions of Isobaric Vapor-Liquid Equilibrium Data for the Binary System of Dimethyl Carbonate plus Anisole at Different Pressures. J. Chem. Eng. Data 2021, 66, 3788–3801. [Google Scholar] [CrossRef]
- Sarkoohaki, B.; Almasi, M.; Karimkhani, M. Theoretical and experimental study of physicochemical behavior of binary mixtures: SAFT and PC-SAFT models. J. Chem. Sci. 2019, 13, 53. [Google Scholar] [CrossRef]
- Fattahi, M.; Iloukhani, H. Excess molar volume, viscosity, and refractive index study for the ternary mixture {2-methyl-2-butanol + tetrahydrofuran + propylamine} at different temperatures. Application of the ERAS-model and Peng–Robinson–Stryjek–Vera equation of state. J. Chem. Thermodyn. 2010, 42, 1335–1345. [Google Scholar] [CrossRef]
- Martínez-López, J.F.; Schneider, S.; Salavera, D.; Mainar, A.M.; Urieta, J.S.; Pardo, J.I. Molar heat capacities of the mixture {1,8-cineole + ethanol} at several temperatures and atmospheric pressure. J. Chem. Thermodyn. 2016, 92, 146–151. [Google Scholar] [CrossRef]
- Torcal, M.; Langa, E.; Pardo, J.I.; Mainar, A.M.; Urieta, J.S. Isobaric VLE of the mixture {1,8-cineole + ethanol}. EOS analysis and COSMO-RS modeling. J. Chem. Thermodyn. 2016, 97, 88–92. [Google Scholar] [CrossRef]
- Garriga, R.; Sánchez, F.; Pérez, P.; Gracia, M. Isothermal vapour-liquid equilibrium at eight temperatures and excess functions at 298.15 K of di-n-propylether with 1-propanol or 2-propanol. Fluid Phase Equilib. 1997, 138, 131–144. [Google Scholar] [CrossRef]
- Garriga, R.; Pérez, P.; Gracia, M. Vapour Pressures at Eight Temperatures of Mixtures of Di-n-Propylether + Ethanol or 1-ButanolThermodynamic Description of Mixtures of Di-n-Propylether + Alkanol According to the ERAS Model. Ber. Bunsen-Ges. Phys. Chem. 1997, 101, 1466–1473. [Google Scholar] [CrossRef]
- Thermodynamics Research Center. TRC-Thermodynamic Tables-Non-Hydrocarbons; The Texas A&M University System: College Station, TX, USA, 1966; p. d-5030.
- Ambrose, D.; Ghiassee, N.B. Vapour pressures and critical temperatures of some alkanoic acids: C1 to C10. J. Chem. Thermodynamic. 1987, 19, 505–519. [Google Scholar] [CrossRef]
- Stull, D.R. Vapour Pressure or Pure Substances. Organic Compound. Ind. Eng. Chem. 1947, 39, 517–540. [Google Scholar] [CrossRef]
- Guetachew, T.; Mokbel, I.; Batiu, I.; Cisse, Z.; Jose, J. Vapor pressures and sublimation pressures of eight constituets of essential oils at pressures in the range from 0.3 to 83,000 Pa. ELDATA Int. Electron. J. Phys. Chem. Dat. 1999, 5, 43–53. [Google Scholar]
- Tsonopoulos, C. Empirical Correlation of Second Virial Coeficients. AIChE J. 1974, 20, 263–273. [Google Scholar] [CrossRef]
- Erickson, W.D.; Roach, J.F. Composition and Thermodynamic Properties of Reacting Gas Mixtures under High Pressures Using the Lewis and Randall Rule; Nasa Technical Note TN D-2591; National Aeronautics and Space Administration: Washington, DC, USA, 1965; p. 18. [Google Scholar]
- Barker, J.A. Determination of Activity Coefficients from Total Pressure Measurements. Aust. J. Chem. 1953, 6, 207–210. [Google Scholar] [CrossRef]
- Wilson, G.M. Vapor-Liquid Equilibrium. 11. A New Expression for the Excess Free Energy of Mixing. J. Am. Chem. Soc. 1964, 86, 127–130. [Google Scholar] [CrossRef]
- Rowlinson, J.S. Excess thermodynamic functions. In Liquids and Liquid Mixtures, 3rd ed.; Swinton, F.L., Ed.; Butterworth: London, UK, 1982; Chapter 5; p. 138. [Google Scholar]
- Le Fevre, R.J.W.; Sundaram, A.; Pierens, R.K. Molecular Polarisability: The Anisotropy of the Carbon-Oxygen Link. J. Chem. Soc. 1963, 2, 479–488. [Google Scholar] [CrossRef]
- Mc Clellan, A.L. (Ed.) Tables of Experimental Dipole Moments; Rahara Enterprises: El Cerrito, CA, USA, 1974; Volume 2, p. 433. [Google Scholar]
- Meyer, L.; Büchner, A. The dipolar moment of the n-propyl ether. Physik. Z. 1932, 33, 390–391. [Google Scholar]
- Mc Clellan, A.L. (Ed.) Tables of Experimental Dipole Moments; Freeman: San Francisco, CA, USA, 1963; p. 220. [Google Scholar]
- Iñarrea, J.; Valero, J.; Pérez, P.; Gracia, M.; Gutiérrez Losa, C. and of some (butanone or dipropylether + an alkanol) mixtures. J. Chem. Thermodyn. 1988, 20, 93–199. [Google Scholar] [CrossRef]
- Brown, I.; Fock, W.; Smith, F. The thermodynamics properties of solutions of normal and branched alcohols in benzene and n-hexane. J. Chem. Thermodyn. 1969, 1, 273–291. [Google Scholar] [CrossRef]
- Christensen, C.; Gmehling, J.; Rasmussen, P.; Weidlich, U. Part 1: Heats of Mixing Data Collection. In DECHEMA Chemistry Data Series; DECHEMA: Frankfurt, Germany, 1984; Volume III, p. 594. [Google Scholar]
- Barraza, R.; Edwards, J. Thermodynamics of the isopropanol/n-hexane and isopropanol/n-heptane systems. Part III. Gas/liquid equilibrium. Monatsh. Chem. 1981, 112, 925–933. [Google Scholar] [CrossRef]
- Kashyap, P.; Rani, M.; Gahlyan, S.; Tiwari, D.P.; Maken, S. Volumetric, acoustic and optical properties of binary mixtures of 2-propanol with n-alkanes (C 6–C 10) from 293.15 K to 303.15 K. J. Mol. Liq. 2018, 268, 303–314. [Google Scholar] [CrossRef]
- Letcher, T.M.; Govender, U.P. CH4O and C4H8O. Primary linear-alkyl monoalcohols + Cyclic monoethers: Heat of Mixing and Solution. J. Chem. Eng. Data 1995, 40, 1097–1100. [Google Scholar] [CrossRef]
- González, J.A.; de la Fuente, I.G.; Cobos, J.C. Disquac analysis of binary-liquid organic mixtures containing cyclic or linear alkanols and cycloalkanes or n-alkanes. Thermochim. Acta 1996, 278, 57–69. [Google Scholar] [CrossRef]
- Lee, C.; Yang, W.; Parr, R.G. Development of the Colle-Salvetti correlation-energy formula into a functional of the electron density. Phys. Rev. B 1988, 37, 785–788. [Google Scholar] [CrossRef]
- Becke, A.D. A new mixing of Hartree–Fock and local density-functional theories. J. Chem. Phys. 1993, 98, 1372–1377. [Google Scholar] [CrossRef]
- Becke, A.D. Density functional thermochemistry. III. The role of exact exchange. J. Chem. Phys. 1993, 98, 5648–5652. [Google Scholar] [CrossRef]
- Noury, S.; Krokidis, X.; Fuster, F.; Silvi, B. Computational tools for the electron localization function topological analysis. Comput. Chem. 1999, 23, 597–604. [Google Scholar] [CrossRef]
- Patel, P.; Bhalodia, J.; Sharma, S.S.; Chandra, P. Refractive index, speed of sound, FT-IR and computational study of intermolecular interaction between binary mixtures of 1,8-cineole with o-, m- and p-cresol at 303.15, 308.15 and 313.15 K. J. Mol. Liq. 2016, 222, 1192–1211. [Google Scholar] [CrossRef]
- Jimenez, J.; Valero, J.; Gracia, M.; Gutiérrez Losa, C. HmE of (an n-alkane+ a butanol isomer). J. Chem. Thermodyn. 1988, 20, 931–936. [Google Scholar] [CrossRef]
- Pfohl, O.; Petkov, S.; Brunner, G. PE 2000. A Poweful Tool to Correlate Phase Equilibria; Herbert Utz: Munich, Germany, 2000; pp. 103–105, 115. [Google Scholar]
- Poling, B.E.; Prausnitz, J.M.; O’Connell, J.P. The Properties of Gases and Liquids, 5th ed.; Mc Graw-Hill: New York, NY, USA, 2007. [Google Scholar]
- Marsh, K.N. Thermodynamics of Octamethylcyclotetrasiloxane Mixtures. Trans. Faraday Soc. 1968, 64, 883–893. [Google Scholar] [CrossRef]
- Garriga, R.; Martínez, S.; Pérez, P.; Gracia, M. Isothermal (vapour + liquid) equilibrium at several temperatures of (1-chlorobutane + 1-butanol, or 2-methyl-2-propanol). J. Chem. Thermodyn. 2001, 33, 523–534. [Google Scholar] [CrossRef]
- Ambrose, D. Recommended reference materialsfor realization of physicochemical properties. IUPAC Pure Appl. Chem. 1977, 49, 1437–1464. [Google Scholar]
- Smith, A.; Menzies, A.W.C. Studiesin Vapor Pressure: III. A Static Method for Determining the Vapor Pressures of Solids and Liquids. J. Am. Chem. Soc. 1910, 32, 1412–1434. [Google Scholar] [CrossRef]
- Head, A.J.; Sabbah, R. Enthalpy. In Recommended Reference Materials for the Realization of Physicochemical Properties; Marsh, K.N., Ed.; Blackwell Scientific Publications: Oxford, UK, 1987; Chapter 9; pp. 282–283. [Google Scholar]
- Lafuente, C.; Artigas, H.; Lopez, M.C.; Royo, F.M.; Urieta, J.S. Excess Molar Enthalpies for Isomeric Chlorobutanes with Isomeric Butanols. Phys. Chem. Liq. 2001, 39, 665–673. [Google Scholar] [CrossRef]
- Zafarani-Moattar, M.T.; Shekaaria, H. Density and speed of sound of lithium bromide with organic solvents: Measurement and correlation. J. Chem. Thermodyn. 2007, 39, 1649–1660. [Google Scholar] [CrossRef]
- Haase, R.; Tillmann, W. Properties of the liquid-system water plus 2-propanol. Z. Phys. Chem. 1994, 187, 223–231. [Google Scholar] [CrossRef]
- Dubey, G.P.; Sharma, M. Studies of mixing properties of binary systems of 2-propanol with hexadecane and squalane at T = (298.15, 303.15, and 308.15). J. Chem. Thermodyn. 2009, 41, 115–122. [Google Scholar] [CrossRef]
- Aminabhavi, T.M.; Aralaguppi, M.I.; Harogoppad, S.B.; Balundgi, R.H. Densities, viscosities, refractive indices, and speeds of sound for methyl acetoacetate + aliphatic alcohols (C1–C8). J. Chem. Eng. Data 1993, 38, 31–39. [Google Scholar] [CrossRef]
- Barata, P.A.; Serrano, M.L. Densities and Viscosities of Thymol + 1,8-Cineole. J. Chem. Eng. Data 1994, 39, 298–301. [Google Scholar] [CrossRef]










| 2-Propanol | 1,8-Cineole | |||||
|---|---|---|---|---|---|---|
| V0 × 106/m3·mol−1 | P0/Pa | V0 × 106/m3·mol−1 | P0/Pa | |||
| T/K | lit. b,c | exp. b | lit. d | lit. b,e | exp. b | lit. |
| 278.15 | 75.35 | 1521 | 1514 | 164.6 | 71 | 54.80 g |
| 283.15 | 75.70 | 2164 | 2162 | 165.3 | 93 | 80.12 g |
| 283.51 | - | - | - | - | - | 83.55 h |
| 288.15 | 76.12 | 3069 | 3044 | 166.1 | 130 | 133 f/115.17 g |
| 293.15 | 76.52 | 4212 | 4228 | 166.9 | 178 | 163.72 g |
| 293.49 | - | - | - | - | - | 170.01 h |
| 298.15 | 76.93 | 5781 | 5797 | 167.7 | 253 | 229.50 g |
| 303.15 | 77.35 | 7851 | 7852 | 168.5 | 346 | 317.05 g |
| 303.34 | - | - | - | - | - | 323.77 h |
| 308.15 | 77.78 | 10,515 | 10,511 | 169.2 | 477 | 431.34 g |
| 313.15 | 78.23 | 13,934 | 13,913 | 170.0 | 627 | - |
| 313.23 | - | - | - | - | - | 591.71 h |
| 318.15 | 78.66 | 18,242 | 18,220 | 170.9 | 828 | - |
| 323.15 | 79.15 | 23,623 | 23,618 | 171.7 | 1101 | - |
| x2 | P/Pa | ∆P/Pa | γ1 | γ2 | x2 | P/Pa | ∆P/Pa | γ1 | γ2 | ||
|---|---|---|---|---|---|---|---|---|---|---|---|
| 2-Propanol (1) + 1,8-Cineole (2) | |||||||||||
| T/K = 278.15 | |||||||||||
| 0.0309 | 1485 | 3 | 1.0012 | 2.9938 | 81 | 0.6307 | 944 | 6 | 1.5749 | 1.1958 | 649 |
| 0.1004 | 1425 | 22 | 1.0120 | 2.5666 | 244 | 0.7188 | 849 | 13 | 1.8228 | 1.1146 | 571 |
| 0.2031 | 1303 | 1 | 1.0488 | 2.1015 | 437 | 0.8182 | 661 | −16 | 2.2277 | 1.0494 | 428 |
| 0.3294 | 1195 | 1 | 1.1308 | 1.7073 | 598 | 0.8670 | 576 | 7 | 2.4999 | 1.0271 | 335 |
| 0.4351 | 1107 | −2 | 1.2377 | 1.4756 | 670 | 0.9382 | 347 | −5 | 3.0297 | 1.0061 | 172 |
| 0.5233 | 1024 | −13 | 1.3622 | 1.3297 | 686 | 0.9882 | 149 | 16 | 3.5396 | 1.0002 | 35 |
| T/K = 283.15 | |||||||||||
| 0.0310 | 2128 | 20 | 1.0012 | 2.9499 | 82 | 0.6308 | 1323 | 2 | 1.5661 | 1.1918 | 650 |
| 0.1006 | 2007 | 14 | 1.0119 | 2.5340 | 245 | 0.7189 | 1176 | 2 | 1.8084 | 1.1121 | 572 |
| 0.2032 | 1865 | 19 | 1.0482 | 2.0801 | 439 | 0.8182 | 940 | −5 | 2.2020 | 1.0483 | 429 |
| 0.3295 | 1684 | −6 | 1.1293 | 1.6938 | 601 | 0.8670 | 808 | 17 | 2.4652 | 1.0264 | 336 |
| 0.4352 | 1569 | 1 | 1.2347 | 1.4666 | 673 | 0.9382 | 471 | −14 | 2.9741 | 1.0060 | 172 |
| 0.5234 | 1451 | −13 | 1.3573 | 1.3233 | 688 | 0.9882 | 183 | 3 | 3.4600 | 1.0002 | 35 |
| T/K = 288.15 | |||||||||||
| 0.0313 | 3010 | 22 | 1.0012 | 2.9026 | 82 | 0.6309 | 1859 | −1 | 1.5565 | 1.1875 | 651 |
| 0.1006 | 2838 | 13 | 1.0117 | 2.4997 | 246 | 0.7190 | 1655 | 6 | 1.7930 | 1.1095 | 572 |
| 0.2032 | 2622 | 7 | 1.0476 | 2.0570 | 440 | 0.8183 | 1329 | 6 | 2.1748 | 1.0471 | 428 |
| 0.3297 | 2398 | 7 | 1.1277 | 1.6793 | 602 | 0.8671 | 1112 | 7 | 2.4285 | 1.0257 | 335 |
| 0.4353 | 2205 | −11 | 1.2314 | 1.4569 | 674 | 0.9382 | 657 | −17 | 2.9160 | 1.0058 | 171 |
| 0.5235 | 2056 | −10 | 1.3519 | 1.3165 | 689 | 0.9882 | 253 | 3 | 3.3775 | 1.0002 | 35 |
| T/K = 293.15 | |||||||||||
| 0.0316 | 4112 | 12 | 1.0012 | 2.8844 | 84 | 0.6310 | 2564 | 22 | 1.5514 | 1.1811 | 651 |
| 0.1007 | 3892 | 15 | 1.0119 | 2.4806 | 249 | 0.7191 | 2274 | 28 | 1.7811 | 1.1052 | 570 |
| 0.2033 | 3574 | −15 | 1.0480 | 2.0388 | 444 | 0.8184 | 1800 | 8 | 2.1471 | 1.0450 | 426 |
| 0.3299 | 3264 | −17 | 1.1283 | 1.6638 | 607 | 0.8672 | 1469 | −22 | 2.3875 | 1.0245 | 333 |
| 0.4354 | 3010 | −28 | 1.2315 | 1.4448 | 677 | 0.9383 | 896 | −10 | 2.8430 | 1.0055 | 170 |
| 0.5236 | 2828 | −2 | 1.3506 | 1.3070 | 691 | 0.9882 | 321 | −16 | 3.2674 | 1.0002 | 34 |
| T/K = 298.15 | |||||||||||
| 0.0321 | 5654 | 29 | 1.0012 | 2.8630 | 87 | 0.6312 | 3492 | 12 | 1.5461 | 1.1752 | 651 |
| 0.1009 | 5320 | −2 | 1.0121 | 2.4607 | 252 | 0.7193 | 3078 | 11 | 1.7695 | 1.1014 | 569 |
| 0.2035 | 4936 | 6 | 1.0484 | 2.0208 | 448 | 0.8185 | 2446 | 9 | 2.1213 | 1.0431 | 424 |
| 0.3302 | 4481 | −25 | 1.1288 | 1.6490 | 611 | 0.8673 | 2003 | −21 | 2.3501 | 1.0234 | 331 |
| 0.4356 | 4154 | −18 | 1.2312 | 1.4336 | 680 | 0.9384 | 1221 | −5 | 2.7782 | 1.0052 | 168 |
| 0.5238 | 3894 | 12 | 1.3491 | 1.2983 | 692 | 0.9882 | 475 | 10 | 3.1715 | 1.0002 | 34 |
| T/K = 303.15 | |||||||||||
| 0.0329 | 7621 | −14 | 1.0013 | 2.8303 | 89 | 0.6314 | 4713 | 9 | 1.5397 | 1.1707 | 652 |
| 0.1013 | 7215 | −10 | 1.0121 | 2.4362 | 255 | 0.7195 | 4153 | 16 | 1.7580 | 1.0986 | 569 |
| 0.2038 | 6699 | 8 | 1.0484 | 2.0025 | 451 | 0.8187 | 3313 | 38 | 2.0988 | 1.0418 | 423 |
| 0.3307 | 6105 | −7 | 1.1285 | 1.6356 | 614 | 0.8675 | 2676 | −37 | 2.3189 | 1.0226 | 330 |
| 0.4358 | 5640 | −17 | 1.2298 | 1.4243 | 683 | 0.9384 | 1623 | −17 | 2.7274 | 1.0050 | 168 |
| 0.5241 | 5248 | −10 | 1.3462 | 1.2914 | 694 | 0.9883 | 633 | 7 | 3.0988 | 1.0002 | 34 |
| T/K = 308.15 | |||||||||||
| 0.0325 | 10,218 | −11 | 1.0013 | 2.8076 | 89 | 0.6318 | 6249 | −27 | 1.5338 | 1.1660 | 652 |
| 0.1017 | 9658 | −16 | 1.0122 | 2.4119 | 257 | 0.7199 | 5537 | 30 | 1.7469 | 1.0956 | 569 |
| 0.2041 | 8951 | −10 | 1.0485 | 1.9839 | 455 | 0.8189 | 4353 | 7 | 2.0764 | 1.0404 | 422 |
| 0.3315 | 8170 | −11 | 1.1286 | 1.6216 | 618 | 0.8677 | 3589 | −4 | 2.2877 | 1.0218 | 329 |
| 0.4362 | 7557 | −11 | 1.2288 | 1.4145 | 685 | 0.9386 | 2140 | −30 | 2.6763 | 1.0048 | 167 |
| 0.5245 | 7054 | 27 | 1.3437 | 1.2841 | 696 | 0.9883 | 871 | 28 | 3.0260 | 1.0002 | 34 |
| T/K = 313.15 | |||||||||||
| 0.0338 | 13,490 | −48 | 1.0014 | 2.7686 | 93 | 0.6324 | 8269 | 10 | 1.5272 | 1.1610 | 651 |
| 0.1015 | 12,790 | −27 | 1.0122 | 2.3878 | 258 | 0.7204 | 7246 | 21 | 1.7346 | 1.0924 | 567 |
| 0.2039 | 11,878 | 11 | 1.0481 | 1.9658 | 456 | 0.8193 | 5721 | 44 | 2.0524 | 1.0389 | 420 |
| 0.3310 | 10,824 | −2 | 1.1274 | 1.6093 | 619 | 0.8680 | 4656 | −24 | 2.2547 | 1.0210 | 326 |
| 0.4368 | 9977 | −20 | 1.2274 | 1.4039 | 686 | 0.9387 | 2780 | −36 | 2.6232 | 1.0046 | 165 |
| 0.5251 | 9254 | −16 | 1.3408 | 1.2763 | 696 | 0.9883 | 1072 | −26 | 2.9512 | 1.0002 | 33 |
| T/K = 318.15 | |||||||||||
| 0.0363 | 17,673 | −13 | 1.0016 | 2.7299 | 100 | 0.6319 | 10780 | 15 | 1.5195 | 1.1565 | 650 |
| 0.1024 | 16,765 | −2 | 1.0124 | 2.3622 | 262 | 0.7199 | 9481 | 84 | 1.7204 | 1.0896 | 565 |
| 0.2045 | 15,507 | −19 | 1.0485 | 1.9459 | 460 | 0.8198 | 7322 | −12 | 2.0291 | 1.0373 | 417 |
| 0.3322 | 14,127 | −25 | 1.1281 | 1.5933 | 622 | 0.8684 | 5993 | −37 | 2.2218 | 1.0200 | 323 |
| 0.4365 | 13,040 | −31 | 1.2259 | 1.3944 | 687 | 0.9389 | 3592 | −26 | 2.5692 | 1.0044 | 163 |
| 0.5247 | 12,103 | −6 | 1.3373 | 1.2693 | 696 | 0.9883 | 1432 | 7 | 2.8747 | 1.0002 | 33 |
| T/K = 323.15 | |||||||||||
| 0.0410 | 22,785 | −29 | 1.0020 | 2.6720 | 113 | 0.6328 | 13851 | −11 | 1.5135 | 1.1516 | 649 |
| 0.1037 | 21,678 | −11 | 1.0127 | 2.3316 | 266 | 0.7206 | 12092 | 22 | 1.7092 | 1.0867 | 563 |
| 0.2055 | 20,080 | −7 | 1.0487 | 1.9245 | 463 | 0.8204 | 9415 | 32 | 2.0078 | 1.0358 | 414 |
| 0.3341 | 18,256 | −32 | 1.1287 | 1.5768 | 625 | 0.8689 | 7677 | −23 | 2.1926 | 1.0192 | 321 |
| 0.4375 | 16,849 | −38 | 1.2249 | 1.3840 | 689 | 0.9392 | 4569 | −50 | 2.5224 | 1.0042 | 162 |
| 0.5257 | 15,679 | 54 | 1.3349 | 1.2616 | 696 | 0.9883 | 1889 | 38 | 2.8096 | 1.0002 | 33 |
| 2-Propanol (1) + 1,8-Cineole (2) | |||||
|---|---|---|---|---|---|
| T/K | Λ12 | Λ21 | s/Pa | λ12 − λ11 | λ12 − λ22 |
| 278.15 | 0.4255 | 0.5511 | 12 | 3783 (3815) | −429 (−460) |
| 283.15 | 0.4341 | 0.5548 | 12 | 3803 (3800) | −452 (−452) |
| 288.15 | 0.4434 | 0.5589 | 11 | 3818 (3784) | −476 (−443) |
| 293.15 | 0.4633 | 0.5504 | 19 | 3776 (3768) | −445 (−434) |
| 298.15 | 0.4815 | 0.5434 | 16 | 3743 (3752) | −420 (−425) |
| 303.15 | 0.4942 | 0.5417 | 20 | 3739 (3737) | −417 (−416) |
| 308.15 | 0.5082 | 0.5390 | 21 | 3725 (3721) | −408 (−407) |
| 313.15 | 0.5227 | 0.5371 | 28 | 3710 (3705) | −402 (−399) |
| 318.15 | 0.5401 | 0.5320 | 33 | 3682 (3689) | −383 (−390) |
| 323.15 | 0.5543 | 0.5301 | 34 | 3666 (3674) | −375 (−381) |
| x2 | ||||
|---|---|---|---|---|
| 288.15 K | 298.15 K | 308.15 K | 318.15 K | |
| 0.000 | 0 | 0 | 0 | 0 |
| 0.050 | 65 | 71 | 77 | 88 |
| 0.102 | 146 | 160 | 175 | 196 |
| 0.206 | 291 | 325 | 360 | 401 |
| 0.303 | 396 | 448 | 495 | 554 |
| 0.409 | 474 | 542 | 609 | 676 |
| 0.510 | 517 | 599 | 663 | 749 |
| 0.606 | 518 | 602 | 683 | 762 |
| 0.703 | 483 | 558 | 644 | 719 |
| 0.804 | 401 | 461 | 530 | 593 |
| 0.897 | 245 | 283 | 334 | 368 |
| 0.952 | 124 | 143 | 172 | 195 |
| 1.0000 | 0 | 0 | 0 | 0 |
| x2 | ρ/kg·m−3 | |||
|---|---|---|---|---|
| 288.15 K | 298.15 K | 308.15 K | 318.15 K | |
| 0.0000 | 789.34 | 780.99 | 772.37 | 763.40 |
| 0.1084 | 821.21 | 812.72 | 803.98 | 794.93 |
| 0.2025 | 842.65 | 834.07 | 825.27 | 816.20 |
| 0.2938 | 859.68 | 851.02 | 842.19 | 833.12 |
| 0.3996 | 875.90 | 867.22 | 858.36 | 849.56 |
| 0.5011 | 888.92 | 880.21 | 871.35 | 862.32 |
| 0.6004 | 899.70 | 890.97 | 882.13 | 873.15 |
| 0.6980 | 908.60 | 899.88 | 891.06 | 882.14 |
| 0.7953 | 916.30 | 907.60 | 898.81 | 889.96 |
| 0.9029 | 923.59 | 914.91 | 906.19 | 897.44 |
| 1.0000 | 928.96 | 920.34 | 911.73 | 903.13 |
| A0 | A1 | A2 | A2 | |||
|---|---|---|---|---|---|---|
| 288.15 K | 2063 | −617 | 136 | 6.3 | ||
| −2.017 | −0.227 | −0.770 | −0.25 | 0.007 | ||
| 298.15 K | 2380 | −768 | 75 | 6.6 | ||
| −1.979 | −0.247 | −0.765 | −0.300 | 0.006 | ||
| 308.15 K | 2667 | −981 | 197 | 7.8 | ||
| −1.912 | −0.306 | −0.737 | −0.31 | 0.006 | ||
| 318.15 K | 2978 | −1107 | 204 | 7.0 | ||
| −1.847 | −0.378 | −0.642 | −0.30 | 0.007 |
| Alkanol | 1,8-Cineole a (μ = 1.544 D) b | Di-n-Propylether (μ = 1.2 D) d | n-Hexane h | ||||||
|---|---|---|---|---|---|---|---|---|---|
| J·mol−1 | cm3·mol−1 | J·mol−1 | cm3·mol−1 | J·mol−1 | cm3·mol−1 | ||||
| Ethanol | 229 | −501 | −0.645 | 717 e | −254 f | −0.294 e | 555 | −850 | 0.410 |
| 1-Propanol | 160 | −384 | −0.700 | 741 g | −80 g | −0.388 g | 565 | −680 | 0.180 |
| 2-Propanol | 600 c | −400 c | −0.495 c | 956 g | 102 g | −0.027 g | 787 i | −270 j | 0.510 k |
| 1-Butanol | 213 | −254 | −0.664 | 743 e | 4 f | −0.468 e | 510 | −630 | 0.080 |
| Model | a | b | c | R2 |
|---|---|---|---|---|
| PRM-VT | 3.4140 | −2.1981 × 10−2 | 3.5557 × 10−5 | 0.954 |
| PRSV-VT | 1.3550 | −8.9000 × 10−3 | 1.4854 × 10−5 | 0.964 |
| SAFT | 0.5930 | −4.0773 × 10−3 | 6.9106 × 10−6 | 0.976 |
| ρ/kg·m−3 | ||||
|---|---|---|---|---|
| 2-Propanol | 1,8-Cineole | |||
| T/K | Experimental | Literature | Experimental | Literature |
| 288.15 | 789.34 | - | 928.96 | 928.78 g |
| 298.15 | 780.99 | 780.98 b 780.82 c 781.26 d | 920.34 | 920.29 g |
| 308.15 | 772.37 | 772.51 e 772.6 f | 911.73 | - |
| 318.15 | 763.40 | - | 903.13 | - |
Disclaimer/Publisher’s Note: The statements, opinions and data contained in all publications are solely those of the individual author(s) and contributor(s) and not of MDPI and/or the editor(s). MDPI and/or the editor(s) disclaim responsibility for any injury to people or property resulting from any ideas, methods, instructions or products referred to in the content. |
© 2023 by the authors. Licensee MDPI, Basel, Switzerland. This article is an open access article distributed under the terms and conditions of the Creative Commons Attribution (CC BY) license (https://creativecommons.org/licenses/by/4.0/).
Share and Cite
Gimeno, B.; Martinez, S.; Mainar, A.M.; Urieta, J.S.; Perez, P. Thermodynamic Behavior of (2-Propanol + 1,8-Cineole) Mixtures: Isothermal Vapor–Liquid Equilibria, Densities, Enthalpies of Mixing, and Modeling. Int. J. Mol. Sci. 2023, 24, 10380. https://doi.org/10.3390/ijms241210380
Gimeno B, Martinez S, Mainar AM, Urieta JS, Perez P. Thermodynamic Behavior of (2-Propanol + 1,8-Cineole) Mixtures: Isothermal Vapor–Liquid Equilibria, Densities, Enthalpies of Mixing, and Modeling. International Journal of Molecular Sciences. 2023; 24(12):10380. https://doi.org/10.3390/ijms241210380
Chicago/Turabian StyleGimeno, Beatriz, Santiago Martinez, Ana M. Mainar, José S. Urieta, and Pascual Perez. 2023. "Thermodynamic Behavior of (2-Propanol + 1,8-Cineole) Mixtures: Isothermal Vapor–Liquid Equilibria, Densities, Enthalpies of Mixing, and Modeling" International Journal of Molecular Sciences 24, no. 12: 10380. https://doi.org/10.3390/ijms241210380
APA StyleGimeno, B., Martinez, S., Mainar, A. M., Urieta, J. S., & Perez, P. (2023). Thermodynamic Behavior of (2-Propanol + 1,8-Cineole) Mixtures: Isothermal Vapor–Liquid Equilibria, Densities, Enthalpies of Mixing, and Modeling. International Journal of Molecular Sciences, 24(12), 10380. https://doi.org/10.3390/ijms241210380

