Thermodynamic Analysis of Chemical Hydrogen Storage: Energetics of Liquid Organic Hydrogen Carrier Systems Based on Methyl-Substituted Indoles
Abstract
1. Introduction
2. Methods
2.1. Materials
2.2. Theoretical and Experimental Thermochemical Methods
3. Results
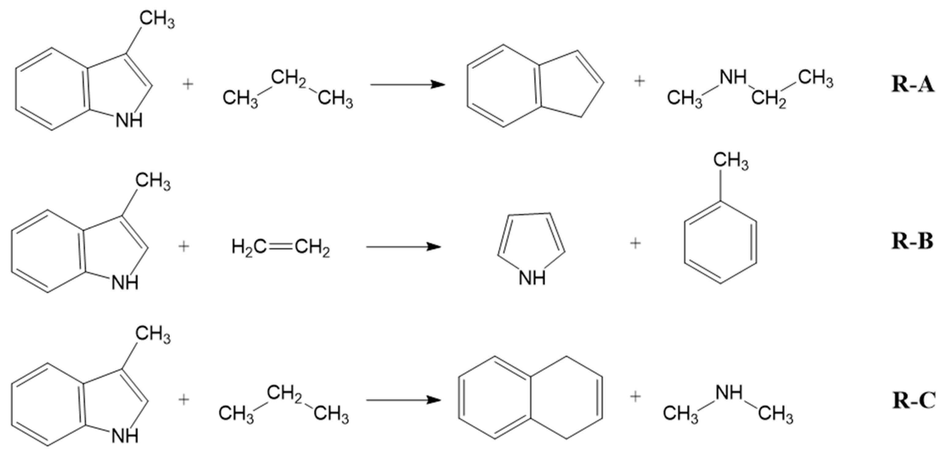
3.1. Step I: Gas-Phase Standard Molar Enthalpies of Formation: Theory and Experiment
3.2. Step II: Vaporization Enthalpies of Indole Derivatives
3.2.1. Experimental Vapor Pressures
3.2.2. Evaluation of the Vaporization Enthalpies by Consistency of Phase Transitions Solid–Gas, Liquid–Gas and Solid–Liquid
3.3. Step III: Determination of the Missing Vaporization Enthalpies
3.3.1. Determination from Boiling Temperatures Available in the Literature at Different Pressures
3.3.2. Determination by Correlation with Retention Indices
3.3.3. Determination by Correlation with Normal Boiling Temperatures Tb
3.3.4. Assessment of the Missing Vaporization Enthalpies by the “Centerpiece” Approach
3.4. Step IV: Liquid-Phase Standard Molar Enthalpies of Formation of HL and HR Materials
4. Discussion
4.1. Thermodynamic Analysis of LOHC Systems (Combination of Experimental and Theoretical Methods)
4.1.1. Energetics of Hydrogen Uptake and Release in the Liquid Phase
4.1.2. Energetics of Hydrogen Uptake and Release in an LOHC System Reacting in the Gas Phase from Pure Quantum Chemical Calculations
4.2. Thermodynamic Analysis of LOHC Systems Based on Quantum Chemical Methods Only
4.3. Empirical Simplification Instead of Quantum Chemical Calculations?
5. Conclusions
Supplementary Materials
Author Contributions
Funding
Institutional Review Board Statement
Informed Consent Statement
Data Availability Statement
Conflicts of Interest
References
- Wei, D.; Shi, X.; Qu, R.; Junge, K.; Junge, H.; Beller, M. Toward a Hydrogen Economy: Development of Heterogeneous Catalysts for Chemical Hydrogen Storage and Release Reactions. ACS Energy Lett. 2022, 7, 3734–3752. [Google Scholar] [CrossRef]
- Allendorf, M.D.; Stavila, V.; Snider, J.L.; Witman, M.; Bowden, M.E.; Brooks, K.; Tran, B.L.; Autrey, T. Challenges to developing materials for the transport and storage of hydrogen. Nat. Chem. 2022, 14, 1214–1223. [Google Scholar] [CrossRef]
- Konnova, M.E.; Li, S.; Bösmann, A.; Müller, K.; Wasserscheid, P.; Andreeva, I.V.; Turovtzev, V.V.; Zaitsau, D.H.; Pimerzin, A.A.; Verevkin, S.P. Thermochemical Properties and Dehydrogenation Thermodynamics of Indole Derivates. Ind. Eng. Chem. Res. 2020, 59, 20539–20550. [Google Scholar] [CrossRef]
- Safronov, S.P.; Vostrikov, S.V.; Samarov, A.A.; Wasserscheid, P.; Müller, K.; Verevkin, S.P. Comprehensive thermodynamic study of substituted indoles/perhydro indoles as potential liquid organic hydrogen carrier system. Fuel 2023, 331, 125764. [Google Scholar] [CrossRef]
- Bachmann, P.; Schwarz, M.; Steinhauer, J.; Späth, F.; Düll, F.; Bauer, U.; Silva, T.N.; Mohr, S.; Hohner, C.; Scheuermeyer, M.; et al. Dehydrogenation of the Liquid Organic Hydrogen Carrier System Indole/Indoline/Octahydroindole on Pt(111). J. Phys. Chem. C 2018, 122, 4470–4479. [Google Scholar] [CrossRef]
- Inman, M.; Moody, C.J. Indole synthesis—Something old, something new. Chem. Sci. 2013, 4, 29–41. [Google Scholar] [CrossRef]
- Gribble, G.W. Recent developments in indole ring synthesis—Methodology and applications. J. Chem. Soc. Perkin Trans. 1 2000, 7, 1045–1075. [Google Scholar] [CrossRef]
- Cacchi, S.; Fabrizi, G. Synthesis and Functionalization of Indoles Through Palladium-catalyzed Reactions. Chem. Rev. 2005, 105, 2873–2920. [Google Scholar] [CrossRef]
- Humphrey, G.R.; Kuethe, J.T. Practical Methodologies for the Synthesis of Indoles. Chem. Rev. 2006, 106, 2875–2911. [Google Scholar] [CrossRef]
- Nelson, D.L.; Cox, M.C. Principles of Biochemistry, 4th ed.; W. H. Freeman and Company: New York, NY, USA, 2005. [Google Scholar]
- Li, L.; Yang, M.; Dong, Y.; Mei, P.; Cheng, H. Hydrogen storage and release from a new promising Liquid Organic Hydrogen Storage Carrier (LOHC): 2-methylindole. Int. J. Hydrogen Energy 2016, 41, 16129–16134. [Google Scholar] [CrossRef]
- Yang, M.; Cheng, G.; Xie, D.; Zhu, T.; Dong, Y.; Ke, H.; Cheng, H. Study of hydrogenation and dehydrogenation of 1-methylindole for reversible onboard hydrogen storage application. Int. J. Hydrogen Energy 2018, 43, 8868–8876. [Google Scholar] [CrossRef]
- Dong, Y.; Yang, M.; Li, L.; Zhu, T.; Chen, X.; Cheng, H. Study on reversible hydrogen uptake and release of 1,2-dimethylindole as a new liquid organic hydrogen carrier. Int. J. Hydrogen Energy 2019, 44, 4919–4929. [Google Scholar] [CrossRef]
- Dong, Y.; Zhao, H.; Zhao, Y.; Yang, M.; Zhang, H.; Cheng, H. Study of catalytic hydrogenation and dehydrogenation of 2,3-dimethylindole for hydrogen storage application. RSC Adv. 2021, 11, 15729–15737. [Google Scholar] [CrossRef] [PubMed]
- Vostrikov, S.V.; Konnova, M.E.; Turovtzev, V.V.; Müller, K.; Verevkin, S.P. Thermodynamics of hydrogen storage: Equilibrium study of the LOHC system indole/octahydroindole. Fuel 2023, 335, 127025. [Google Scholar] [CrossRef]
- Verevkin, S.P.; Samarov, A.A. Thermochemistry in the twenty-first century–quo vadis? In silico assisted diagnostics of available thermochemical data. Struct. Chem. 2023, 34, 285–305. [Google Scholar] [CrossRef]
- Curtiss, L.A.; Redfern, P.C.; Raghavachari, K.; Rassolov, V.; Pople, J.A. Gaussian-3 theory using reduced Mo/ller-Plesset order. J. Chem. Phys. 1999, 110, 4703–4709. [Google Scholar] [CrossRef]
- Curtiss, L.A.; Redfern, P.C.; Raghavachari, K. Gaussian-4 theory. J. Chem. Phys. 2007, 126, 084108. [Google Scholar] [CrossRef] [PubMed]
- Ochterski, J.W.; Petersson, G.A.; Montgomery, J.A. A complete basis set model chemistry. V. Extensions to six or more heavy atoms. J. Chem. Phys. 1996, 104, 2598–2619. [Google Scholar] [CrossRef]
- Frisch, M.J.; Trucks, G.W.; Schlegel, H.B.; Scuseria, G.E.; Robb, M.A.; Cheeseman, J.R.; Scalmani, G.; Barone, V.; Petersson, G.A.; Nakatsuji, H.; et al. Gaussian 16, Revision C.01; Gaussian Inc.: Wallingford, CT, USA, 2016. [Google Scholar]
- Verevkin, S.P.; Emel’yanenko, V.N.; Notario, R.; Roux, M.V.; Chickos, J.S.; Liebman, J.F. Rediscovering the Wheel. Thermochemical Analysis of Energetics of the Aromatic Diazines. J. Phys. Chem. Lett. 2012, 3, 3454–3459. [Google Scholar] [CrossRef]
- Verevkin, S.P.; Emel’yanenko, V.N. Transpiration method: Vapor pressures and enthalpies of vaporization of some low-boiling esters. Fluid Phase Equilibria 2008, 266, 64–75. [Google Scholar] [CrossRef]
- Zaitseva, K.V.; Emel’yanenko, V.N.; Agapito, F.; Pimerzin, A.A.; Varfolomeev, M.A.; Verevkin, S.P. Benchmark thermochemistry of methylbenzonitriles: Experimental and theoretical study. J. Chem. Thermodyn. 2015, 91, 186–193. [Google Scholar] [CrossRef]
- Da Silva, M.A.V.R.; Cabral, J.I.T.A.; Gomes, J.R.B. Combined experimental and computational study of the energetics of methylindoles. J. Chem. Thermodyn. 2009, 41, 1193–1198. [Google Scholar] [CrossRef]
- Good, W.D. Enthalpies of combustion of nine organic nitrogen compounds related to petroleum. J. Chem. Eng. Data 1972, 17, 28–31. [Google Scholar] [CrossRef]
- Pracht, P.; Bohle, F.; Grimme, S. Automated exploration of the low-energy chemical space with fast quantum chemical methods. Phys. Chem. Chem. Phys. 2020, 22, 7169–7192. [Google Scholar] [CrossRef]
- Petersson, G.A.; Bennett, A.; Tensfeldt, T.G.; Al-Laham, M.A.; Shirley, W.A.; Mantzaris, J. A complete basis set model chemistry. I. The total energies of closed-shell atoms and hydrides of the first-row elements. J. Chem. Phys. 1988, 89, 2193–2218. [Google Scholar] [CrossRef]
- Verevkin, S.P.; Sazonova, A.Y.; Emel’yanenko, V.N.; Zaitsau, D.H.; Varfolomeev, M.A.; Solomonov, B.N.; Zherikova, K.V. Thermochemistry of Halogen-Substituted Methylbenzenes. J. Chem. Eng. Data 2015, 60, 89–103. [Google Scholar] [CrossRef]
- Stephenson, R.M.; Malanowski, S. Handbook of the Thermodynamics of Organic Compounds; Springer: Dordrecht, The Netherlands, 1987; ISBN 978-94-010-7923-5. [Google Scholar]
- Stull, D.R. Vapor Pressure of Pure Substances. Organic and Inorganic Compounds. Ind. Eng. Chem. 1947, 39, 517–540. [Google Scholar] [CrossRef]
- Acree, W.; Chickos, J.S. Phase Transition Enthalpy Measurements of Organic and Organometallic Compounds. Sublimation, Vaporization and Fusion Enthalpies from 1880 to 2010. J. Phys. Chem. Ref. Data 2010, 39, 043101. [Google Scholar] [CrossRef]
- Gobble, C.; Chickos, J.; Verevkin, S.P. Vapor Pressures and Vaporization Enthalpies of a Series of Dialkyl Phthalates by Correlation Gas Chromatography. J. Chem. Eng. Data 2014, 59, 1353–1365. [Google Scholar] [CrossRef]
- SciFinder—Chemical Abstracts Service. Available online: http://scifinder.cas.org/ (accessed on 7 February 2023).
- Toth, T.; Borsodi, A. Gas-chromatographic retention and chemical structure. I. Correlations between the retention indexes of five-membered cyclic compounds of different saturation, containing one nitrogen atom. Magy. Kem. F. 1971, 77, 576–587. [Google Scholar]
- Pedley, J.B.; Naylor, R.D.; Kirby, S.P. Thermochemical Data of Organic Compounds; Chapman and Hall: New York, NY, USA, 1986; pp. 1–792. [Google Scholar]
- Roux, M.V.; Temprado, M.; Chickos, J.S.; Nagano, Y. Critically evaluated thermochemical properties of polycyclic aromatic hydrocarbons. J. Phys. Chem. Ref. Data 2008, 37, 1855–1996. [Google Scholar] [CrossRef]
- Almeida, A.R.R.P.; Monte, M.J.S. Vapour pressures of 1-methyl derivatives of benzimidazole, pyrazole and indole. The energy of the intermolecular hydrogen bond NH···N. J. Chem. Thermodyn. 2014, 77, 46–53. [Google Scholar] [CrossRef]
- Vassilaros, D.L.; Kong, R.C.; Later, D.W.; Lee, M.L. Linear retention index system for polycyclic aromatic compounds. J. Chromatogr. A 1982, 252, 1–20. [Google Scholar] [CrossRef]
- Benson, S.W. Thermochemical Kinetics, 2nd ed.; John Wiley & Sons: New York, NY, USA, 1976; pp. 1–320. [Google Scholar]
- Majer, V.; Svoboda, V. Enthalpies of Vaporization of Organic Compounds: A Critical Review and Data Compilation; Blackwell Scientific Publications: Oxford, UK, 1985. [Google Scholar]
- Chase, M.W. NIST-JANAF Themochemical Tables. 4th Edition. J. Phys. Chem. Ref. Data Monogr. 1998, 9, 1. [Google Scholar]
- Rappoport, D.; Furche, F. Property-optimized Gaussian basis sets for molecular response calculations. J. Chem. Phys. 2010, 133, 134105. [Google Scholar] [CrossRef] [PubMed]
- Grimme, S.; Ehrlich, S.; Goerigk, L. Effect of the damping function in dispersion corrected density functional theory. J. Comput. Chem. 2011, 32, 1456–1465. [Google Scholar] [CrossRef] [PubMed]
- Stull, R.D.; Westrum, E.F.; Sinke, G.C. The Chemical Thermodynamics of Organic Compounds; Wiley: New York, NY, USA, 1969. [Google Scholar]
- Verevkin, S.P. Gibbs Energy and Helmholtz Energy: Liquids, Solutions and Vapours; Wilhelm, E., Letcher, T.M., Eds.; Royal Society of Chemistry: Cambridge, UK, 2021; ISBN 978-1-83916-201-5. [Google Scholar]
- Domalski, E.S.; Hearing, E.D. Estimation of the Thermodynamic Properties of C-H-N-O-S-Halogen Compounds at 298.15 K. J. Phys. Chem. Ref. Data 1993, 22, 805–1159. [Google Scholar] [CrossRef]
- Dorofeeva, O.V.; Filimonova, M.A.; Marochkin, I.I. Aliphatic Amines: A Critical Analysis of the Experimental Enthalpies of Formation by Comparison with Theoretical Calculations. J. Chem. Eng. Data 2019, 64, 5630–5647. [Google Scholar] [CrossRef]
- Verevkin, S.P. Thermochemical Investigation on α-Methyl-Styrene and Parent Phenyl Substituted Alkenes. Thermochim. Acta 1999, 326, 17–25. [Google Scholar] [CrossRef]
- Dean, B.D.; Truce, W.E. Oxidative Conversions of Sulfene-Cycloadducts from Azaheptafulvenes and from Tropone to 1,2-Disubstituted Indoles and 2-Aryl-Benzofurans, Respectively. J. Org. Chem. 1981, 46, 3575–3576. [Google Scholar] [CrossRef]
- Sigma-Aldrich. Available online: https://www.sigmaaldrich.com/ (accessed on 7 February 2023).
- Abdelaziz, A.; Zaitsau, D.H.; Kuratieva, N.V.; Verevkin, S.P.; Schick, C. Melting of Nucleobases. Getting the Cutting Edge of “Walden’s Rule”. Phys. Chem. Chem. Phys. 2019, 21, 12787–12797. [Google Scholar] [CrossRef] [PubMed]
- Walden, P. Über Die Schmelzwärme, Spezifische Kohäsion und Molekulargrösse Bei Der Schmelztemperatur. Z. Elektrotechnik Elektrochem. 1908, 14, 713–724. [Google Scholar] [CrossRef]
- Nagrimanov, R.N.; Ziganshin, M.A.; Solomonov, B.N.; Verevkin, S.P. Thermochemistry of Drugs: Experimental and Theoretical Study of Analgesics. Struct. Chem. 2019, 30, 247–261. [Google Scholar] [CrossRef]
- Verevkin, S.P.; Emel’yanenko, V.N.; Nagrimanov, R.N. Nearest-Neighbor and Non-Nearest-Neighbor Interactions between Substituents in the Benzene Ring. Experimental and Theoretical Study of Functionally Substituted Benzamides. J. Phys. Chem. A 2016, 120, 9867–9877. [Google Scholar] [CrossRef] [PubMed]
- Chickos, J.S.; Hosseini, S.; Hesse, D.G.; Liebman, J.F. Heat Capacity Corrections to a Standard State: A Comparison of New and Some Literature Methods for Organic Liquids and Solids. Struct. Chem. 1993, 4, 271–278. [Google Scholar] [CrossRef]
- Acree, W.; Chickos, J.S. Phase Transition Enthalpy Measurements of Organic and Organometallic Compounds and Ionic Liquids. Sublimation, Vaporization, and Fusion Enthalpies from 1880 to 2015. Part 2. C11-C192. J. Phys. Chem. Ref. Data 2017, 46, 013104. [Google Scholar] [CrossRef]
- Kulikov, D.; Verevkin, S.P.; Heintz, A. Determination of Vapor Pressures and Vaporization Enthalpies of the Aliphatic Branched C 5 and C 6 Alcohols. J. Chem. Eng. Data 2001, 46, 1593–1600. [Google Scholar] [CrossRef]
- Emel’yanenko, V.N.; Verevkin, S.P. Benchmark Thermodynamic Properties of 1,3-Propanediol: Comprehensive Experimental and Theoretical Study. J. Chem. Thermodyn. 2015, 85, 111–119. [Google Scholar] [CrossRef]
- Chickos, J.S.; Acree, W.E. Enthalpies of Vaporization of Organic and Organometallic Compounds, 1880–2002. J. Phys. Chem. Ref. Data 2003, 32, 519–878. [Google Scholar] [CrossRef]
- Grimme, S. Exploration of Chemical Compound, Conformer, and Reaction Space with Meta-Dynamics Simulations Based on Tight-Binding Quantum Chemical Calculations. J. Chem. Theory Comput. 2019, 15, 2847–2862. [Google Scholar] [CrossRef] [PubMed]
- NIST Chemistry WebBook. Available online: https://webbook.nist.gov/chemistry/ (accessed on 7 February 2023).












| Compound | (cr,l) | (g)exp | (g)G4 b | |
|---|---|---|---|---|
| 1 | 2 | 3 | 4 | 5 |
| indole (cr) [3] | 87.2 ± 0.9 | 75.3 ± 0.4 | 162.5 ± 1.0 | 160.4 |
| indoline (liq) [3] | 60.0 ± 0.9 | 60.8 ± 0.9 | 120.8 ± 1.3 | 117.6 |
| H8-indole (liq) [3] | −117.5 ± 1.8 | 53.5 ± 0.7 | −64.0 ± 1.9 | −63.5 |
| 2-methyl-indole (cr) [3] | 36.1 ± 1.3 | 85.3 ± 0.4 | 121.4 ± 1.4 | 120.2 |
| 2-methyl-indoline [3] | 17.2 ± 1.9 | 63.0 ± 0.4 | 80.2 ± 1.9 | 79.4 |
| 2-methyl-H8-indole [3] | −157.1 ± 2.1 | 57.8 ± 0.8 | −99.3 ± 2.2 | −100.4 |
| 3-methyl-indole (cr) | 47.4 ± 2.3 [24] | 81.3 ± 0.5 c | 128.7 ± 2.4 | 126.0 d |
| 2,3-dimethyl-indole (cr) | 4.2 ± 1.0 [25] | 86.0 ± 0.6 c | 90.2 ± 1.2 | 86.6 d |
| Method | (AT) | R-A | R-B | R-C | Exp. [Table 1] |
|---|---|---|---|---|---|
| G4 a | 126.0 | 126.6 | 125.6 | 126.6 | 128.7 ± 2.4 |
| G3MP2 b | 122.9 | 129.1 | 127.2 | 129.3 | |
| CBS-APNO c | 125.1 | 127.8 | 125.4 | 127.5 |
| Indole | Structures | (g)G4 a |
|---|---|---|
3-methyl-indole![]() | ![]() | 126.0 |
3-methyl-indoline![]() | ![]() | 85.8 |
cis-3-methyl-(H8)-indole![]() | ![]() | −93.7 |
trans-3-methyl-(H8)-indole![]() | ![]() | −93.8 |
1,2-dimethylindole![]() | ![]() | 111.4 |
1,2-dimethyl-indoline![]() | ![]() | 72.8 |
cis-1,2-dimethyl-(H8)-indole![]() | ![]() | −105.5 |
trans-1,2-dimethyl-(H8)-indole![]() | ![]() | −113.0 |
1,3-dimethylindole![]() | ![]() | 116.3 |
1,3-dimethyl-indoline![]() | ![]() | 74.6 |
1,3-dimethyl-(H8)-indole![]() | ![]() | −102.4 |
2,3-dimethylindole![]() | ![]() | 86.6 |
2,3-dimethyl-indoline![]() | ![]() | 47.0 |
2,3-dimethyl-(H8)-indole![]() | ![]() | −120.9 |
| T/ K a | m/ mg b | V(N2) c/ dm3 | Ta/ K d | Flow/ dm3·h−1 | p/ Pa e | u(p)/ Pa f | (T)/ kJ·mol−1 | (T)/ J·K−1·mol−1 |
|---|---|---|---|---|---|---|---|---|
| 3-methyl-indole: (298.15 K) = (81.4 ± 0.6) kJ·mol−1 | ||||||||
| ; pref = 1 Pa | ||||||||
| 285.2 | 1.08 | 143.6 | 296.2 | 4.03 | 0.14 | 0.01 | 81.7 | 174.7 |
| 288.2 | 1.13 | 104.3 | 296.2 | 4.03 | 0.20 | 0.01 | 81.7 | 174.4 |
| 290.2 | 1.31 | 93.58 | 296.2 | 4.03 | 0.26 | 0.01 | 81.6 | 174.4 |
| 293.2 | 1.26 | 64.12 | 298.2 | 4.05 | 0.37 | 0.01 | 81.5 | 174.2 |
| 298.2 | 1.53 | 44.26 | 298.2 | 2.95 | 0.65 | 0.02 | 81.4 | 173.7 |
| 308.2 | 1.60 | 16.20 | 296.2 | 4.05 | 1.85 | 0.05 | 81.1 | 172.6 |
| 315.8 | 1.29 | 6.038 | 296.2 | 4.03 | 4.01 | 0.11 | 80.9 | 172.0 |
| 1,2-dimethyl-indole: (298.15 K) = (83.2 ± 0.7) kJ·mol−1 | ||||||||
| ; pref = 1 Pa | ||||||||
| 298.2 | 2.12 | 47.790 | 293.2 | 3.19 | 0.75 | 0.02 | 83.2 | 180.9 |
| 302.2 | 0.84 | 11.90 | 293.2 | 5.10 | 1.19 | 0.03 | 83.1 | 180.6 |
| 306.2 | 0.83 | 7.653 | 293.2 | 5.10 | 1.81 | 0.05 | 82.9 | 180.1 |
| 310.2 | 0.85 | 5.102 | 293.2 | 5.10 | 2.81 | 0.08 | 82.8 | 179.9 |
| 312.2 | 0.76 | 3.797 | 293.2 | 5.06 | 3.36 | 0.09 | 82.8 | 179.5 |
| 314.2 | 0.34 | 1.367 | 293.2 | 4.10 | 4.13 | 0.11 | 82.7 | 179.3 |
| 314.2 | 0.72 | 2.953 | 293.2 | 5.06 | 4.09 | 0.11 | 82.7 | 179.2 |
| 316.2 | 0.81 | 2.700 | 293.2 | 5.06 | 5.06 | 0.15 | 82.6 | 179.1 |
| 318.2 | 0.62 | 1.709 | 293.2 | 4.10 | 6.13 | 0.18 | 82.6 | 178.9 |
| 320.2 | 0.73 | 1.645 | 293.2 | 5.06 | 7.48 | 0.21 | 82.5 | 178.7 |
| 322.2 | 0.75 | 1.367 | 293.2 | 4.10 | 9.18 | 0.25 | 82.4 | 178.6 |
| 324.2 | 0.94 | 1.435 | 293.2 | 5.06 | 10.94 | 0.30 | 82.4 | 178.3 |
| 326.2 | 1.08 | 1.367 | 293.2 | 4.10 | 13.25 | 0.36 | 82.3 | 178.2 |
| 1,2-dimethyl-indole: (298.15 K) = (67.6 ± 0.7) kJ·mol−1 | ||||||||
| ; pref = 1 Pa | ||||||||
| 331.2 | 1.98 | 1.543 | 293.2 | 2.06 | 21.59 | 0.56 | 65.3 | 126.9 |
| 334.2 | 1.91 | 1.200 | 293.2 | 2.06 | 26.66 | 0.69 | 65.1 | 126.3 |
| 338.2 | 1.76 | 0.857 | 293.2 | 2.06 | 34.43 | 0.89 | 64.8 | 125.3 |
| 342.2 | 1.85 | 0.686 | 293.2 | 2.06 | 45.34 | 1.16 | 64.5 | 124.5 |
| 346.2 | 2.45 | 0.698 | 293.2 | 2.09 | 59.00 | 1.50 | 64.2 | 123.7 |
| 350.2 | 2.02 | 0.441 | 293.2 | 1.06 | 76.91 | 1.95 | 63.9 | 123.0 |
| 354.2 | 2.07 | 0.353 | 293.2 | 1.06 | 98.12 | 2.48 | 63.6 | 122.1 |
| 358.2 | 2.51 | 0.344 | 293.2 | 1.06 | 122.29 | 3.08 | 63.4 | 121.2 |
| 362.2 | 2.63 | 0.282 | 293.2 | 1.06 | 155.94 | 3.92 | 63.1 | 120.4 |
| 366.2 | 5.08 | 0.423 | 293.2 | 1.01 | 201.38 | 5.06 | 62.8 | 119.9 |
| 370.2 | 3.75 | 0.254 | 293.2 | 1.01 | 247.93 | 6.22 | 62.5 | 119.0 |
| Compound/CAS | Method a | T-Range | (Tav) | (298.15 K) b | Ref. |
|---|---|---|---|---|---|
| K | kJ·mol−1 | kJ·mol−1 | |||
| 3-methyl-indole (cr II) | n/a | 288–333 | 83.3 ± 2.0 | (83.6 ± 2.1) c | [29] |
| 83-34-1 | DC | 349.9 | 83.0 ± 1.9 | (90.4 ± 2.4) | [24] |
| T | 285.2–315.8 | 81.4 ± 0.6 | 81.4 ± 0.6 | Table 4 | |
| FT | 81.2 ± 0.7 | Table S4 | |||
| 81.3 ± 0.5 d | average | ||||
| 3-methyl-indole (cr I) | T | 317.2–364.2 | 78.0 ± 0.4 | 79.3 ± 0.5 | [3] |
| 3-methyl-indole (liq) | n/a | 368.2–539.4 | 63.7 ± 1.0 | 73.8 ± 2.2 | [30] |
| FT | 69.8 ± 0.6 | Table S4 | |||
| FT | 70.0 ± 1.3 | Table S4 | |||
| Jx | 70.2 ± 1.5 | [3] | |||
| JLee | 70.2 ± 1.5 | [3] | |||
| 70.1 ± 0.5 d | average | ||||
| 2,3-dimethyl-indole (cr) | 86.0 ± 0.6 | [3] | |||
| 91-55-4 | |||||
| 2,3-dimethyl-indole (liq) | 75.2 ± 1.0 | [3] | |||
| 1,2-dimethyl-indole (cr) | T | 298.2–326.2 | 82.8 ± 0.6 | 83.2 ± 0.7 | Table 4 |
| 1,2-dimethyl-indole (liq) | T | 331.2–370.2 | 64.0 ± 0.6 | 67.6 ± 0.7 | Table 4 |
| 875-79-6 | FT | 69.9 ± 1.3 | Table S4 | ||
| JLee | 67.6 ± 1.0 | Table S7 | |||
| 67.6 ± 0.6 d | average | ||||
| 1,3-dimethyl-indole (liq) | BP | 335–533 | 58.7 ± 1.2 | 67.9 ± 1.2 | Table S6 |
| 875-30-9 | Tb | 67.3 ± 1.0 | Table 4 | ||
| 67.5 ± 0.8 d | average | ||||
| 3-methyl-indoline (liq) | BP | 329–525 | 56.6 ± 0.9 | 65.1 ± 1.9 | Table S6 |
| 4375-15-9 | Jx | 63.2 ± 1.0 | Table 6 | ||
| Jx | 64.1 ± 1.5 | [3] | |||
| CP | 63.9 ± 1.0 | this work | |||
| 63.8 ± 0.6 d | average | ||||
| 2,3-dimethyl-indoline (liq) | BP | 398–523 | 54.9 ± 3.0 | 67.1 ± 3.9 | Table S6 |
| 22120-50-9 | CP | 66.1 ± 1.0 | this work | ||
| 66.2 ± 1.0 d | average | ||||
| 1,2-dimethyl-indoline (liq) | BP | 314–501 | 53.1 ± 1.8 | 60.8 ± 2.3 | Table S6 |
| 26216-93-3 | CP | 60.5 ± 1.0 | this work | ||
| 60.5 ± 0.9 d | average | ||||
| 1,3-dimethyl-indoline (liq) | BP | 322–523 | 51.5 ± 1.6 | 60.0 ± 2.3 | Table S6 |
| 39891-78-6 | CP | 60.5 ± 1.0 | this work | ||
| 60.4 ± 0.9 d | average | ||||
| 3-methyl-(H8)-indole (liq) | Jx | 58.0 ± 1.0 | Table 6 | ||
| 85158-21-0 | Jx | 58.1 ± 1.0 | [3] | ||
| 58.0 ± 0.7 d | average | ||||
| 2,3-dimethyl-(H8)-indole (liq) | Jx | 61.2 ± 1.0 | [3] | ||
| 1394248-06-6 | |||||
| 1,2-dimethyl-(H8)-indole (liq) | CP | 52.3 ± 1.0 | this work | ||
| 87401-40-9 | |||||
| 1,3-dimethyl-(H8)-indole (liq) | CP | 52.3 ± 1.0 | this work | ||
| 87401-41-0 |
| Compound | Jx a | (298 K)exp | (298 K)calc b | Δ c |
|---|---|---|---|---|
| kJ·mol−1 | kJ·mol−1 | kJ·mol−1 | ||
| 1-methyl-pyrrolidine | 697 | 34.2 ± 0.2 [35] | 34.0 | 0.2 |
| toluene | 780 | 38.1 ± 0.2 [35] | 37.8 | 0.3 |
| 1,4-dimethylbenzene | 876 | 42.4 ± 0.2 [35] | 42.3 | 0.1 |
| indene | 1059 | 50.6 ± 1.5 [36] | 50.7 | −0.1 |
| indane | 1033 | 49.2 ± 1.0 [36] | 49.5 | −0.3 |
| tetraline | 1164 | 55.2 ± 1.0 [35] | 55.6 | −0.4 |
| quinoline | 1231 | 59.3 ± 0.4 [4] | 58.7 | 0.6 |
| 1-methyl-indole | 1285 | 61.9 ± 0.3 [37] | 61.2 | 0.7 |
| H8-indole | 1140 | 53.5 ± 0.7 [3] | 54.5 | −1.0 |
| 3-methyl-indoline | 1330 | 63.2 ± 1.0 | ||
| 3-methyl-(H8)-indole | 1217 | 58.0 ± 1.0 |
| Tb a | (298.15 K)exp | (298.15 K)calc b | Δ c | |
|---|---|---|---|---|
| Compound | K | kJ·mol−1 | kJ·mol−1 | kJ·mol−1 |
| indole | 527.0 | 65.6 ± 0.4 [4] | 65.9 | −0.3 |
| 1-methyl-indole | 512.6 | 61.9 ± 0.3 [37] | 61.6 | 0.3 |
| 2-methyl-indole | 545.2 | 71.7 ± 0.4 [3] | 71.4 | 0.3 |
| 3-methyl-indole | 538.7 | 70.1 ± 0.5 [Table 5] | 69.4 | 0.7 |
| 5-methyl-indole | 540.2 | 70.4 ± 0.7 [4] | 69.9 | 0.5 |
| 7-methyl-indole | 539.2 | 68.8 ± 0.8 [4] | 69.6 | −0.8 |
| 1,2-dimethyl-indole | 533.5 | 67.6 ± 0.7 [Table 4] | 67.9 | −0.3 |
| 2,3-dimethyl-indole | 558.2 | 75.2 ± 1.0 [Table 5] | 75.3 | −0.1 |
| 1,3-dimethyl-indole | 531.7 | 67.3 ± 1.0 |
| Compound | (Gas) a | b | (liq) c |
|---|---|---|---|
| indole [3] | 160.4 | 65.7 ± 0.6 | 94.7 |
| indoline [3] | 117.6 | 60.8 ± 0.9 | 56.8 |
| H8-indole [3] | −63.5 | 53.5 ± 0.7 | −117.0 |
| 2-methyl-indole [3] | 120.2 | 71.7 ± 0.4 | 48.5 |
| 2-methyl-indoline [3] | 79.4 | 63.0 ± 0.4 | 16.4 |
| trans-2-methyl-(H8)-indole [3] | −100.4 | 57.8 ± 0.8 | −158.2 |
| 3-methyl-indole | 126.0 | 70.1 ± 0.5 | 55.9 |
| 3-methyl-indoline | 85.8 | 63.8 ± 0.6 | 22.0 |
| trans-3-methyl-(H8)-indole | −93.8 | 58.0 ± 0.7 | −151.8 |
| 2,3-dimethylindole | 86.6 | 75.2 ± 1.0 | 11.4 |
| 2,3-dimethyl-indoline | 47.0 | 66.2 ± 1.0 | −19.2 |
| 2,3-dimethyl-(H8)-indole | −120.9 | 61.2 ± 1.0 | −182.1 |
| 1,2-dimethylindole | 111.4 | 67.6 ± 0.5 | 43.8 |
| 1,2-dimethyl-indoline | 72.8 | 60.5 ± 0.9 | 12.3 |
| trans-1,2-dimethyl-(H8)-indole | −113.0 | 52.3 ± 1.0 | −165.3 |
| 1,3-dimethylindole | 116.3 | 67.5 ± 0.8 | 48.8 |
| 1,3-dimethyl-indoline | 74.6 | 60.4 ± 0.9 | 14.2 |
| 1,3-dimethyl-(H8)-indole | −102.4 | 52.3 ± 1.0 | −154.7 |
| Substituents | R-I | R-II | R-III | |||
|---|---|---|---|---|---|---|
| (liq) a | (liq) b | (liq) c | (liq)H2 d | (g)/H2 e | Δ f | |
| R = R1 = R2 = H | −37.9 | −173.8 | −211.7 | −52.9 | −56.0 | 3.1 |
| R = 2-CH3; R1 = R2 = H | −32.1 | −174.6 | −206.7 | −51.7 | −55.2 | 3.5 |
| R = 3-CH3; R1 = R2 = H | −33.9 | −173.8 | −207.7 | −51.9 | −55.0 | 3.1 |
| R = 2-CH3; R1 = H; R2 = 3-CH3 | −30.6 | −162.9 | −193.5 | −48.4 | −51.9 | 3.5 |
| R = 2-CH3; R1 = CH3; R2 = H | −31.7 | −177.4 | −209.1 | −52.3 | −56.1 | 3.8 |
| R = H; R1 = CH3; R2 = CH3 | −34.8 | −168.7 | −203.5 | −50.8 | −54.7 | 3.9 |
| Substituents | R-I | R-II | R-III | |
|---|---|---|---|---|
| (g) a | (g) b | (g) c | (g)/H2 d | |
| R = R1 = R2 = H | −42.8 | −181.1 | −223.9 | −56.0 |
| R = 2-CH3; R1 = R2 = H | −40.8 | −179.8 | −220.6 | −55.2 |
| R = 3-CH3; R1 = R2 = H | −40.2 | −179.6 | −219.8 | −55.0 |
| R = 2-CH3; R1 = H; R2 = 3-CH3 | −39.6 | −167.9 | −207.5 | −51.9 |
| R = 2-CH3; R1 = CH3; R2 = H | −38.6 | −185.8 | −224.4 | −56.1 |
| R = H; R1 = CH3; R2 = CH3 | −41.7 | −177.0 | −218.7 | −54.7 |
| T | − | − | ||||||
|---|---|---|---|---|---|---|---|---|
| K | J·K−1·mol−1 | kJ·mol−1 | kJ·mol−1 | J·K−1·mol−1 | J·K−1·mol−1 | kJ·mol−1 | J·K−1·mol−1 | kJ·mol−1 |
| 298.15 | 146.1 | 0.0 | 0.0 | 368.8 | 734.7 | 121.6 | −365.9 | 230.7 |
| 300 | 147.0 | 0.3 | 0.4 | 369.8 | 736.0 | 121.2 | −366.2 | 231.0 |
| 320 | 156.5 | 3.2 | 5.7 | 379.5 | 751.7 | 115.9 | −372.2 | 235.1 |
| 340 | 165.9 | 6.3 | 10.0 | 389.3 | 765.7 | 111.7 | −376.4 | 239.6 |
| 360 | 175.1 | 9.7 | 14.4 | 399.1 | 779.4 | 107.2 | −380.3 | 244.1 |
| 380 | 184.1 | 13.2 | 19.0 | 408.8 | 792.8 | 102.7 | −384.0 | 248.6 |
| 400 | 192.8 | 16.9 | 24.2 | 418.4 | 804.5 | 97.4 | −386.1 | 251.8 |
| 420 | 201.3 | 20.7 | 28.6 | 428.1 | 818.8 | 93.1 | −390.7 | 257.1 |
| 440 | 209.4 | 24.7 | 33.6 | 437.6 | 831.4 | 88.0 | −393.8 | 261.3 |
| 460 | 217.2 | 28.9 | 38.7 | 447.1 | 843.7 | 82.9 | −396.6 | 265.3 |
| 480 | 224.7 | 33.3 | 44.1 | 456.5 | 855.8 | 77.6 | −399.3 | 269.2 |
| 500 | 231.9 | 37.8 | 50.8 | 465.8 | 863.9 | 70.8 | −398.1 | 269.9 |
| 520 | 238.8 | 42.4 | 55.1 | 475.0 | 879.1 | 66.5 | −404.1 | 276.6 |
| 540 | 245.4 | 47.2 | 60.9 | 484.2 | 890.3 | 60.8 | −406.1 | 280.1 |
| 560 | 251.8 | 52.1 | 66.8 | 493.2 | 901.3 | 54.9 | −408.1 | 283.4 |
| 580 | 257.8 | 57.2 | 72.8 | 502.2 | 912.1 | 48.8 | −409.9 | 286.5 |
| 600 | 263.7 | 62.4 | 79.8 | 511.0 | 924.0 | 41.9 | −413.0 | 289.7 |
| T | − | − | ||||||
|---|---|---|---|---|---|---|---|---|
| K | J·K−1·mol−1 | kJ·mol−1 | kJ·mol−1 | J·K−1·mol−1 | J·K−1·mol−1 | kJ·mol−1 | J·K−1·mol−1 | kJ·mol−1 |
| 298.15 | 178.6 | 0.0 | 0.0 | 368.8 | 1256.7 | −99.3 | −835.7 | 149.9 |
| 300 | 179.8 | 0.3 | 0.6 | 369.8 | 1259.0 | −99.6 | −836.8 | 151.4 |
| 320 | 193.0 | 4.1 | 8.1 | 379.5 | 1283.4 | −103.4 | −849.2 | 168.4 |
| 340 | 206.1 | 8.0 | 14.7 | 389.3 | 1304.2 | −106.0 | −857.9 | 185.7 |
| 360 | 219.2 | 12.3 | 21.5 | 399.1 | 1324.6 | −108.5 | −866.2 | 203.4 |
| 380 | 232.1 | 16.8 | 28.4 | 408.8 | 1344.5 | −110.9 | −873.9 | 221.2 |
| 400 | 244.8 | 21.6 | 36.1 | 418.4 | 1361.0 | −113.8 | −878.1 | 237.5 |
| 420 | 257.3 | 26.6 | 42.6 | 428.1 | 1382.9 | −115.3 | −887.8 | 257.5 |
| 440 | 269.3 | 31.9 | 50.0 | 437.6 | 1401.4 | −117.4 | −894.0 | 275.9 |
| 460 | 281 | 37.4 | 57.5 | 447.1 | 1419.4 | −119.4 | −899.8 | 294.5 |
| 480 | 292.4 | 43.1 | 65.1 | 456.5 | 1437.0 | −121.3 | −905.2 | 313.2 |
| 500 | 303.3 | 49.0 | 74.4 | 465.8 | 1446.5 | −124.6 | −902.5 | 326.6 |
| 520 | 313.9 | 55.2 | 80.9 | 475.0 | 1470.8 | −125.0 | −914.7 | 350.7 |
| 540 | 324.1 | 61.5 | 89.0 | 484.2 | 1487.0 | −126.7 | −918.9 | 369.5 |
| 560 | 333.9 | 68.1 | 97.2 | 493.2 | 1502.7 | −128.4 | −922.6 | 388.3 |
| 580 | 343.3 | 74.9 | 105.6 | 502.2 | 1518.0 | −130.0 | −926.1 | 407.1 |
| 600 | 352.4 | 81.8 | 115.1 | 511.0 | 1534.3 | −132.5 | −930.6 | 425.8 |
| T | 2-Me-8H-Ind | 2-Me-Ind | R-IV | ln K′ | K′ |
|---|---|---|---|---|---|
| K | kJ·mol−1 | kJ·mol−1 | kJ·mol−1 | ||
| 298.15 | 149.9 | 230.7 | 80.8 | −32.6 | 6.9 × 10−15 |
| 300 | 151.4 | 231.3 | 79.9 | −32.0 | 1.2 × 10−14 |
| 320 | 168.4 | 238.3 | 69.9 | −26.3 | 3.9 × 10−12 |
| 340 | 185.7 | 246.0 | 60.2 | −21.3 | 5.6 × 10−10 |
| 360 | 203.4 | 253.8 | 50.4 | −16.8 | 4.8 × 10−8 |
| 380 | 221.2 | 261.7 | 40.5 | −12.8 | 2.7 × 10−6 |
| 400 | 237.5 | 268.7 | 31.2 | −9.4 | 8.4 × 10−5 |
| 420 | 257.5 | 277.8 | 20.3 | −5.8 | 3.0 × 10−3 |
| 440 | 275.9 | 286.0 | 10.1 | −2.8 | 6.4 × 10−2 |
| 460 | 294.5 | 294.2 | −0.3 | 0.1 | 1.1 |
| 480 | 313.2 | 302.5 | −10.7 | 2.7 | 1.5 × 10 |
| 500 | 326.6 | 307.6 | −19.0 | 4.6 | 9.7 × 10 |
| 520 | 350.7 | 319.0 | −31.6 | 7.3 | 1.5 × 103 |
| 540 | 369.5 | 327.2 | −42.2 | 9.4 | 1.2 × 104 |
| 560 | 388.3 | 335.5 | −52.8 | 11.3 | 8.4 × 104 |
| 580 | 407.1 | 343.7 | −63.4 | 13.2 | 5.2 × 105 |
| 600 | 425.8 | 352.0 | −73.8 | 14.8 | 2.7 × 106 |
| T | 2-Me-8H-Ind | 2-Me-Ind | R-IV | ln K′ | K′ |
|---|---|---|---|---|---|
| K | kJ·mol−1 | kJ·mol−1 | kJ·mol−1 | ||
| 298.15 | 149.9 | 230.7 | 80.8 | −23.4 | 6.9 × 10−11 |
| 300 | 151.4 | 231.3 | 79.9 | −22.8 | 1.2 × 10−10 |
| 320 | 168.4 | 238.3 | 69.9 | −17.1 | 3.9 × 10−8 |
| 340 | 185.7 | 246.0 | 60.2 | −12.1 | 5.6 × 10−6 |
| 360 | 203.4 | 253.8 | 50.4 | −7.6 | 4.8 × 10−4 |
| 380 | 221.2 | 261.7 | 40.5 | −3.6 | 2.7 × 10−2 |
| 400 | 237.5 | 268.7 | 31.2 | −0.2 | 8.4 × 10−1 |
| 420 | 257.5 | 277.8 | 20.3 | 3.4 | 3.0 |
| 440 | 275.9 | 286.0 | 10.1 | 6.5 | 6.4 × 102 |
| 460 | 294.5 | 294.2 | −0.3 | 9.3 | 1.1 × 104 |
| 480 | 313.2 | 302.5 | −10.7 | 11.9 | 1.5 × 105 |
| 500 | 326.6 | 307.6 | −19.0 | 13.8 | 9.7 × 105 |
| 520 | 350.7 | 319.0 | −31.6 | 16.5 | 1.5 × 107 |
| 540 | 369.5 | 327.2 | −42.2 | 18.6 | 1.2 × 108 |
| 560 | 388.3 | 335.5 | −52.8 | 20.5 | 8.4 × 108 |
| 580 | 407.1 | 343.7 | −63.4 | 22.4 | 5.2 × 109 |
| 600 | 425.8 | 352.0 | −73.8 | 24.0 | 2.7 × 1010 |
| T | 2-Me-8H-Ind | 2-Me-Ind | R-IV | ln K′ | K′ |
|---|---|---|---|---|---|
| K | kJ·mol−1 | kJ·mol−1 | kJ·mol−1 | ||
| 298.15 | 149.9 | 230.7 | 80.8 | −20.62 | 1.1 × 10−9 |
| 300 | 151.4 | 231.3 | 79.9 | −20.03 | 2.0 × 10−9 |
| 320 | 168.4 | 238.3 | 69.9 | −14.28 | 6.3 × 10−7 |
| 340 | 185.7 | 246.0 | 60.2 | −9.33 | 8.9 × 10−5 |
| 360 | 203.4 | 253.8 | 50.4 | −4.86 | 7.7 × 10−3 |
| 380 | 221.2 | 261.7 | 40.5 | −0.84 | 4.3 × 10−1 |
| 400 | 237.5 | 268.7 | 31.2 | 2.60 | 1.3 |
| 420 | 257.5 | 277.8 | 20.3 | 6.17 | 4.8 × 102 |
| 440 | 275.9 | 286.0 | 10.1 | 9.23 | 1.0 × 104 |
| 460 | 294.5 | 294.2 | −0.3 | 12.06 | 1.7 × 105 |
| 480 | 313.2 | 302.5 | −10.7 | 14.66 | 2.3 × 106 |
| 500 | 326.6 | 307.6 | −19.0 | 16.56 | 1.6 × 107 |
| 520 | 350.7 | 319.0 | −31.6 | 19.30 | 2.4 × 108 |
| 540 | 369.5 | 327.2 | −42.2 | 21.39 | 2.0 × 109 |
| 560 | 388.3 | 335.5 | −52.8 | 23.32 | 1.3 × 1010 |
| 580 | 407.1 | 343.7 | −63.4 | 25.14 | 8.3 × 1010 |
| 600 | 425.8 | 352.0 | −73.8 | 26.78 | 4.3 × 1011 |
| Compound | a | b | R2 |
|---|---|---|---|
| Hydrogen-lean (HL) | |||
| indole | 151 | −738 | 0.9997 |
| 2-Me-H-indole | 169 | −822 | 0.9994 |
| indoline | 168 | −834 | 0.9993 |
| 2-Me-indoline | 187 | −894 | 0.9999 |
| 169 a | |||
| Hydrogen-rich (HR) | |||
| H8-indole | 229 | −1157 | 0.9980 |
| 2Me-H8-indole | 250 | −1253 | 0.9982 |
| 240 a |
Disclaimer/Publisher’s Note: The statements, opinions and data contained in all publications are solely those of the individual author(s) and contributor(s) and not of MDPI and/or the editor(s). MDPI and/or the editor(s) disclaim responsibility for any injury to people or property resulting from any ideas, methods, instructions or products referred to in the content. |
© 2023 by the authors. Licensee MDPI, Basel, Switzerland. This article is an open access article distributed under the terms and conditions of the Creative Commons Attribution (CC BY) license (https://creativecommons.org/licenses/by/4.0/).
Share and Cite
Vostrikov, S.V.; Samarov, A.A.; Turovtsev, V.V.; Wasserscheid, P.; Müller, K.; Verevkin, S.P. Thermodynamic Analysis of Chemical Hydrogen Storage: Energetics of Liquid Organic Hydrogen Carrier Systems Based on Methyl-Substituted Indoles. Materials 2023, 16, 2924. https://doi.org/10.3390/ma16072924
Vostrikov SV, Samarov AA, Turovtsev VV, Wasserscheid P, Müller K, Verevkin SP. Thermodynamic Analysis of Chemical Hydrogen Storage: Energetics of Liquid Organic Hydrogen Carrier Systems Based on Methyl-Substituted Indoles. Materials. 2023; 16(7):2924. https://doi.org/10.3390/ma16072924
Chicago/Turabian StyleVostrikov, Sergey V., Artemiy A. Samarov, Vladimir V. Turovtsev, Peter Wasserscheid, Karsten Müller, and Sergey P. Verevkin. 2023. "Thermodynamic Analysis of Chemical Hydrogen Storage: Energetics of Liquid Organic Hydrogen Carrier Systems Based on Methyl-Substituted Indoles" Materials 16, no. 7: 2924. https://doi.org/10.3390/ma16072924
APA StyleVostrikov, S. V., Samarov, A. A., Turovtsev, V. V., Wasserscheid, P., Müller, K., & Verevkin, S. P. (2023). Thermodynamic Analysis of Chemical Hydrogen Storage: Energetics of Liquid Organic Hydrogen Carrier Systems Based on Methyl-Substituted Indoles. Materials, 16(7), 2924. https://doi.org/10.3390/ma16072924





























