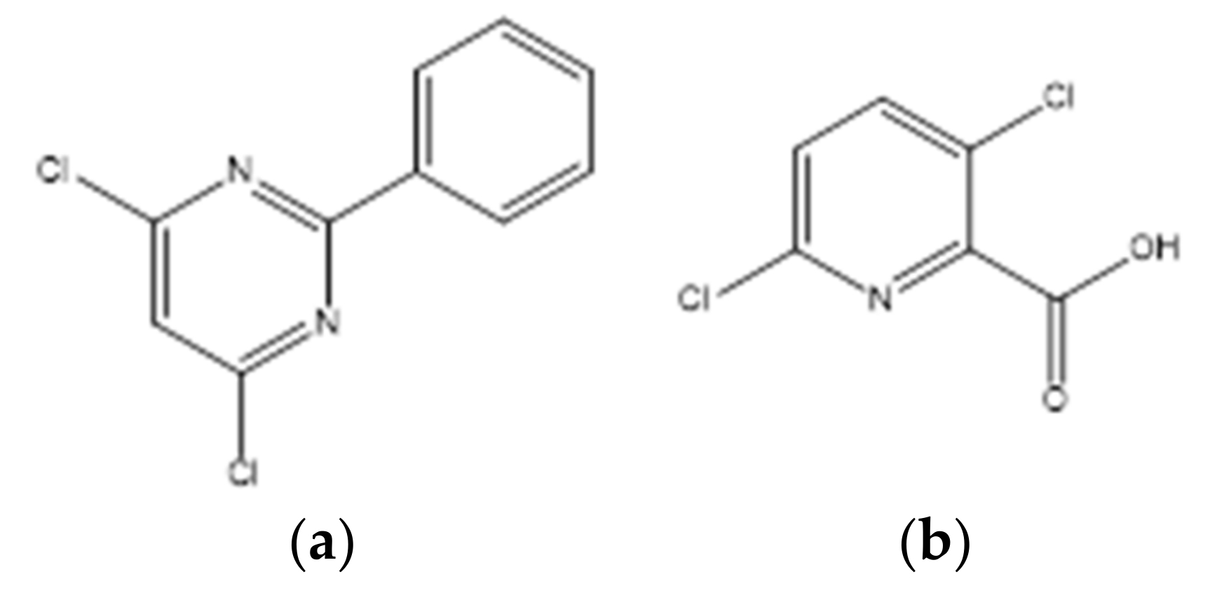
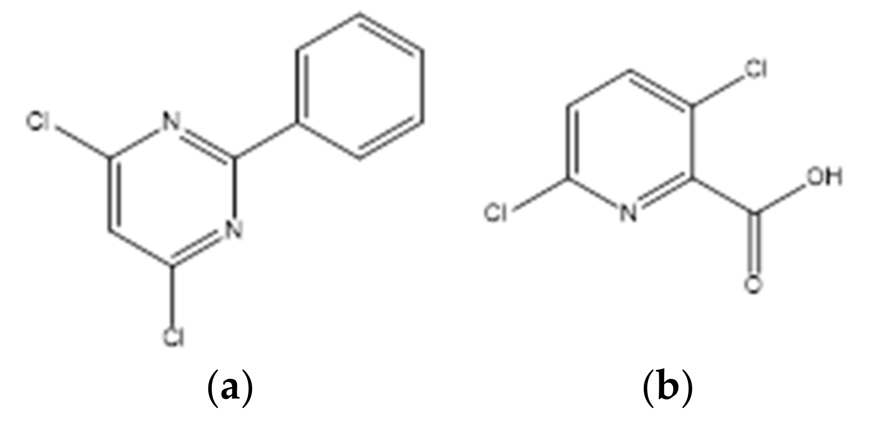
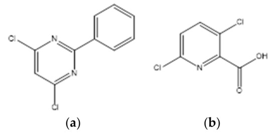
Thermodynamic Stability of Fenclorim and Clopyralid
Abstract
:1. Introduction
2. Experimental Section
2.1. Materials
2.2. Thermal Analysis
2.3. Heat Capacity Drop Calorimetry
2.4. Vapor Pressure Measurements
2.4.1. Knudsen Mass-Loss Effusion Method
2.4.2. Static Method Based on Capacitance Diaphragm Manometers
2.5. Computational Chemistry Calculations
3. Results and Discussion
3.1. Thermodynamic Properties of Phase Transitions
3.2. Thermodynamic Stability of Fenclorim and Clopyralid
3.2.1. Thermodynamic Properties of Formation in Gaseous Phase
3.2.2. Thermodynamic Properties of Formation in Crystalline Phase
4. Conclusions
- -
- The thermodynamic properties of fenclorim and clopyralid determined in this study contribute to the environmental impact assessment of these two compounds that have been used as pesticides.
- -
- The temperatures and molar enthalpies of fusion of the two nitrogen heterocyclic compounds studied were determined using DSC and their crystalline isobaric molar heat capacities were measured, at 298.15 K, using heat capacity drop calorimetry. From these results the standard isobaric specific heat capacities and the volumetric heat capacities were obtained.
- -
- The enthalpies, entropies and Gibbs energies of sublimation of both compounds and of vaporization of fenclorim were derived through vapor pressure measurements and the phase diagram representation of the (p,T) results, including triple point coordinates of this compound, is reported.
- -
- Computational calculations at the G3(MP2)//B3LYP level were carried out, and the estimated gas-phase enthalpies of formation and absolute entropies of the two compounds were used to determine their Gibbs energies of formation in this phase. These results together with the sublimation ones enabled the calculation of the Gibbs energies of formation in crystalline phase.
- -
- Considering the standard Gibbs energies of formation, it was concluded that clopyralid is thermodynamically more stable than fenclorim, in the crystalline and gaseous phases, mainly due to the enthalpic contribution.
- -
- The standard molar enthalpy of formation in crystalline phase, was estimated for both compounds.
- -
- It is probable that intramolecular OH…N hydrogen bonds occur in the gaseous phase of clopyralid and that intermolecular O-H...O and N-H...N hydrogen bonds exist between molecules of this crystalline compound, just like in the crystal structure of 2-pyridinecarboxylic acid.
Supplementary Materials
Author Contributions
Funding
Institutional Review Board Statement
Informed Consent Statement
Data Availability Statement
Conflicts of Interest
Sample Availability
References
- United States Environmental Protection Agency (USEPA). Herbicides. Available online: https://www.epa.gov/caddis-vol2/caddis-volume-2-sources-stressors-responses-herbicides (accessed on 20 September 2021).
- Ware, W.G. An Introduction to Herbicides. In The Pesticide Book, 6th ed.; Meister Publishing Co.: Willoughby, OH, USA, 2004; ISBN 13: 9781892829115. [Google Scholar]
- Riechers, D.E.; Kreuz, K.; Zhang, Q. Detoxification without Intoxication: Herbicide Safeners Activate Plant Defense Gene Expression. Plant Physiol. 2010, 153, 3–13. [Google Scholar] [CrossRef] [PubMed] [Green Version]
- George, B.H.; Brennan, P.D. Herbicides are more cost-effective than alternative weed control methods for increasing early growth of Eucalyptus dunnii and Eucalyptus saligna. New Forests 2002, 24, 147–163. [Google Scholar] [CrossRef]
- Hatzios, K.K.; Burgos, N. Metabolism-Based Herbicide Resistance: Regulation by Safeners. Weed Sci. 2004, 52, 454–467. [Google Scholar] [CrossRef]
- Liu, J.; Brazier-Hicks, M.; Edwards, R. A kinetic model for the metabolism of the herbicide safener fenclorim in Arabidopsis thaliana. Biophys. Chem. 2009, 143, 85–94. [Google Scholar] [CrossRef]
- Wu, J.; Omokawa, H.; Hatzios, K.K. Glutathione S-Transferase Activity in unsafened and fenclorim-safened rice (Oryza sativa). Pestic. Biochem. Phys. 1996, 54, 220–229. [Google Scholar] [CrossRef]
- Chen, Y.; Shen, X.; Fang, Y. Fenclorim effects on rice germination and yield. Can. J. Plant Sci. 2013, 93, 237–241. [Google Scholar] [CrossRef]
- Hu, L.; Yao, Y.; Cai, R.; Pan, L.; Liu, K.; Bai, L. Effects of fenclorim on rice physiology, gene transcription and pretilachlor detoxification ability. BMC Plant Biol. 2020, 20, 100. [Google Scholar] [CrossRef] [PubMed] [Green Version]
- Miyauchi, N.; Kobayashi, K.; Usui, K. Differential safening activity of dymron and fenclorim on pretilachlor injury in rice seedlings in soil. Weed Biol. Manag. 2002, 2, 46–51. [Google Scholar] [CrossRef]
- Sahoo, S.; Adak, T.; Bagchi, T.B.; Kumar, U.; Munda, S.; Saha, S.; Berliner, J.; Jena, M.; Mishra, B.B. Non-target effects of pretilachlor on microbial properties in tropical rice soil. Environ. Sci. Pollut. Res. 2016, 23, 7595–7602. [Google Scholar] [CrossRef]
- Cox, C. Herbicide Factsheet—Clopyralid. J. Pestic. Reform 1998, 18, 15–19. [Google Scholar]
- Tu, M.; Hurd, C.; Robison, R.; Randall, J.M. Clopyralid. In Weed Control Methods Handbook; The Nature Conservancy: Salt Lake City, UT, USA, 2001; pp. 7b1–7b6. [Google Scholar]
- Teevs, L.; Vorlop, K.-D.; Prüße, U. Model study on the aqueous—phase hydrodechlorination of clopyralid on noble metal catalysts. Catal. Commun. 2011, 14, 96–100. [Google Scholar] [CrossRef]
- Sojic, D.V.; Anderluh, V.B.; Orcic, D.Z.; Abramovic, B.F. Photodegradation of clopyralid in TiO2 suspensions: Identification of intermediates and reaction pathways. J. Hazard. Mater. 2009, 168, 94–101. [Google Scholar] [CrossRef]
- Meija, J.; Coplen, T.B.; Berglund, M.; Brand, W.A.; De Bièvre, P.; Gröning, M.; Holden, N.E.; Irrgeher, J.; Loss, R.D.; Walczyk, T.; et al. Atomic weights of the elements 2013 (IUPAC Technical Report). Pure Appl. Chem. 2016, 88, 265–291. [Google Scholar] [CrossRef]
- Konicek, J.S.; Suurkuusk, J.; Wadsö, I. A precise drop heat capacity calorimeter for small samples. Chem. Scr. 1971, 1, 217–220. [Google Scholar]
- Suurkuusk, J.; Wadsö, I. Design and testing of an improved precise drop calorimeter for the measurement of the heat capacity of small samples. J. Chem. Thermodyn. 1974, 6, 667–679. [Google Scholar] [CrossRef]
- Santos, L.M.N.B.F.; Rocha, M.A.A.; Rodrigues, A.S.M.C.; Štejfa, V.; Fulem, M.; Bastos, M. Reassembling and testing of a high-precision heat capacity drop calorimeter. Heat capacity of some polyphenyls at T = 298.15K. J. Chem. Thermodyn. 2011, 43, 1818–1823. [Google Scholar] [CrossRef]
- Bernardes, C.E.S.; Santos, L.M.N.B.F.; Minas da Piedade, M.E. A new calorimetric system to measure heat capacities of solids by the drop method. Meas. Sci. Technol. 2006, 17, 1405–1408. [Google Scholar] [CrossRef]
- Sabbah, R.; Xu-wu, A.; Chickos, J.S.; Leitão, M.L.P.; Roux, M.V.; Torres, L.A. Reference materials for calorimetry and differential thermal analysis. Thermochim. Acta 1999, 331, 93–204. [Google Scholar] [CrossRef]
- Rocha, M.A.A.; Bastos, M.; Coutinho, J.A.P.; Santos, L.M.N.B.F. Heat capacities at 298.15K of the extended [CnC1im][NTf2] ionic liquid series. J. Chem. Thermodyn. 2012, 53, 140–143. [Google Scholar] [CrossRef]
- Rocha, M.A.A.; Coutinho, J.A.P.; Santos, L.M.N.B.F. Evidence of nanostructuration from the heat capacities of the 1,3-dialkylimidazoliumbis(trifluoromethylsulfonyl)imide ionic liquid series. J. Chem. Phys. 2013, 139, 104502. [Google Scholar] [CrossRef] [Green Version]
- Serra, P.B.P.; Ribeiro, F.M.S.; Rocha, M.A.A.; Fulem, M.; Růžička, K.; Santos, L.M.N.B.F. Phase behavior and heat capacities of the 1-benzyl-3- methylimidazolium ionic liquids. J. Chem. Thermodyn. 2016, 100, 124–130. [Google Scholar] [CrossRef]
- Serra, P.B.P.; Ribeiro, F.M.S.; Rocha, M.A.A.; Fulem, M.; Růžička, K.; Coutinho, J.A.P.; Santos, L.M.N.B.F. Solid-liquid equilibrium and heat capacity trend in the alkylimidazolium PF6 series. J. Mol. Liq. 2017, 248, 678–687. [Google Scholar] [CrossRef]
- Costa, J.C.S.; Lima, C.F.R.A.C.; Mendes, A.; Santos, L.M.N.B.F. Fluorination effect on the thermodynamic properties of long-chain hydrocarbons and alcohols. J. Chem. Thermodyn. 2016, 102, 378–385. [Google Scholar] [CrossRef]
- Rodrigues, A.S.M.C.; Almeida, H.F.D.; Freire, M.G.; Lopes-da-Silva, J.A.; Coutinho, J.A.P.; Santos, L.M.N.B.F. The effect of n vs. iso isomerization on the thermophysical properties of aromatic and non-aromatic ionic liquids. Fluid Phase Equilib. 2016, 423, 190–202. [Google Scholar] [CrossRef] [PubMed] [Green Version]
- Ribeiro da Silva, M.A.V.; Monte, M.J.S.; Santos, L.M.N.B.F. The design, construction and testing of a new Knudsen effusion apparatus. J. Chem. Thermodyn. 2006, 38, 778–787. [Google Scholar] [CrossRef]
- Newell, D.B.; Cabiati, F.; Fischer, J.; Fujii, K.; Karshenboim, S.G.; Margolis, H.S.; de Mirandes, E.; Mohr, P.J.; Nez, F.; Pachucki, K.; et al. The CODATA 2017 values of h, e, k, and NA for the revision of the SI. Metrologia 2018, 55, L13–L16. [Google Scholar] [CrossRef]
- Monte, M.J.S.; Santos, L.M.N.B.F.; Fulem, M.; Fonseca, J.M.S.; Sousa, C.A.D. New static apparatus and vapor pressure of reference materials: Naphthalene, benzoic acid, benzophenone and ferrocene. J. Chem. Eng. Data 2006, 51, 757–766. [Google Scholar] [CrossRef]
- Freitas, V.L.S.; Monte, M.J.S.; Gomes, J.R.B.; Santos, L.M.N.B.F.; Ribeiro da Silva, M.D.M.C. Energetic studies and phase diagram of thioxanthene. J. Phys. Chem. A 2009, 113, 12988–12994. [Google Scholar] [CrossRef]
- Almeida, A.R.R.P.; Cunha, A.F.G.; Matos, M.A.R.; Morais, V.M.F.; Monte, M.J.S. Thermodynamic properties of the methyl esters of p-hydroxy and p-methoxy benzoic acids. J. Chem. Thermodyn. 2014, 78, 43–57. [Google Scholar] [CrossRef]
- Frisch, M.J.; Trucks, G.W.; Schlegel, H.B.; Scuseria, G.E.; Robb, M.A.; Cheeseman, J.R.; Scalmani, G.; Barone, V.; Mennucci, B.; Petersson, G.A.; et al. Gaussian 09, Revision B.01; Gaussian, Inc.: Wallingford, CT, USA, 2010. [Google Scholar]
- Baboul, A.G.; Curtiss, L.A.; Redfern, P.C.; Raghavachari, K. Gaussian-3 theory using density functional geometries and zero-point energies. J. Chem. Phys. 1999, 110, 7650–7657. [Google Scholar] [CrossRef]
- Curtiss, L.A.; Raghavachari, K.; Redfern, P.C.; Rassolov, V.; Pople, J.A. Gaussian-3 (G3) theory for molecules containing first and second-row atoms. J. Chem. Phys. 1998, 109, 7764–7776. [Google Scholar] [CrossRef]
- Clarke, E.C.W.; Glew, D.N. Evaluation of thermodynamic functions from equilibrium constants. Trans. Faraday Soc. 1966, 62, 539–547. [Google Scholar] [CrossRef]
- Acree Jr., W.; Chickos, J.S. Phase transition enthalpy measurements of organic and organometallic compounds. sublimation, vaporization and fusion enthalpies from 1880 to 2015. Part 1. C1–C10. J. Phys. Chem. Ref. Data 2016, 45, 033101. [Google Scholar] [CrossRef]
- Kwon, E.; Kim, J.; Kang, G.; Kim, T.H. Crystal structure of fenclorim. Acta Cryst. 2015, 71, o714. [Google Scholar] [CrossRef] [Green Version]
- NIST Computational Chemistry Comparison and Benchmark Database. NIST Standard Reference Database Number 101, Release 16a. Johnson, R.D., III, Ed.; August 2013. Available online: https://cccbdb.nist.gov/vibscalex.asp (accessed on 16 September 2021).
- Červinka, C.; Fulem, M.; Růžička, K.J. Evaluation of uncertainty of ideal-gas entropy and heat capacity calculations by Density Functional Theory (DFT) for molecules containing symmetrical internal rotors. Chem. Eng. Data 2013, 58, 1382–1390. [Google Scholar]
- Chase, M.W., Jr. NIST-JANAF Thermochemical Tables, 4th Edition. J. Phys. Chem. Ref. Data Monogr. 1998, 9, 1–1951. [Google Scholar]
- Hamazaki, H.; Hosomi, H.; Takeda, S.; Kataoka, H.; Ohba, S. 2-Pyridinecarboxylic Acid. Acta Cryst. 1998, 54, IUC9800049. [Google Scholar] [CrossRef]
- Matos, M.A.R.; Morais, V.M.F.; Ribeiro da Silva, M.D.M.C.; Marques, M.C.F.; Sousa, E.A.; Castinheiras, J.P.; Santos, C.P.; Acree, W.E., Jr. Thermochemical and Theoretical Studies of Dimethylpyridine-2,6-dicarboxylate and Pyridine-2,3-, Pyridine-2,5-, and Pyridine-2,6-dicarboxylic Acids. J. Chem. Eng. Data 2005, 50, 1184–1191. [Google Scholar] [CrossRef]
- Estácio, S.G.; Couto, P.C.; Cabral, B.J.C.; Minas da Piedade, M.E.; Martinho Simões, J.A. Energetics of Intramolecular Hydrogen Bonding in Di-substituted Benzenes by the ortho-para Method. J. Phys. Chem. A 2004, 108, 10834–10843. [Google Scholar] [CrossRef]
- Merrick, P.; Moran, D.; Radom, L. An evaluation of harmonic vibrational frequency scale factor. J. Phys. Chem. A 2007, 111, 11683–11700. [Google Scholar] [CrossRef]





| Compound | CASNR | Source | Minimum Initial Purity | Purification Method | Final Mass Fraction Purity | Analysis Method a | Water Content b (%) |
|---|---|---|---|---|---|---|---|
| Fenclorim | 3740-92-9 | TCI | 0.999 c | Sublimation d | 0.9993 | GC | 0.02 ± 0.01 |
| Clopyralid | 1702-17-6 | TCI | >0.98 e | 0.9989 | 0.04 ± 0.01 |
| T/K | p/Pa | 100Δp/p b | T/K | p/Pa | 100Δp/p b | T/K | p/Pa | 100Δp/p b |
|---|---|---|---|---|---|---|---|---|
| Fenclorim | ||||||||
| Crystalline phase (Knudsen effusion method) c | ||||||||
| 311.11 | 0.106 | 0.2 | 319.31 | 0.279 | 0.0 | 327.25 | 0.677 | −0.5 |
| 313.29 | 0.136 | −1.2 | 321.27 | 0.355 | 1.6 | 329.11 | 0.833 | 0.0 |
| 315.23 | 0.172 | −0.8 | 323.10 | 0.430 | 0.1 | 331.27 | 1.051 | 0.0 |
| 317.10 | 0.220 | 1.8 | 325.28 | 0.538 | −1.8 | 333.23 | 1.301 | 0.6 |
| Crystalline phase (Static method) | ||||||||
| 326.01 | 0.58 | −1.1 | 339.81 | 2.54 | 0.8 | 353.58 | 9.67 | 0.8 |
| 327.95 | 0.72 | −0.7 | 341.81 | 3.09 | 0.3 | 355.57 | 11.51 | −0.2 |
| 329.90 | 0.89 | −0.7 | 343.77 | 3.75 | 0.2 | 357.55 | 13.79 | −0.3 |
| 331.91 | 1.11 | −0.1 | 345.72 | 4.57 | 0.8 | 359.49 | 16.35 | −0.8 |
| 333.91 | 1.37 | −0.1 | 347.70 | 5.52 | 0.5 | 361.50 | 19.64 | −0.4 |
| 335.88 | 1.69 | 0.3 | 349.70 | 6.69 | 0.5 | 363.49 | 23.32 | −0.9 |
| 337.86 | 2.09 | 1.1 | 351.65 | 8.02 | 0.2 | 365.53 | 28.05 | 0.2 |
| Liquid phase (Static method) | ||||||||
| 338.80 | 4.40 d | −0.1 | 360.41 | 20.97 d | 0.8 | 382.19 | 80.91 | −0.4 |
| 340.84 | 5.13 d | −0.3 | 362.38 | 23.91 d | 0.8 | 384.18 | 90.85 | −0.4 |
| 342.76 | 5.95 d | 0.0 | 364.43 | 27.33 d | 0.7 | 386.23 | 102.8 | 0.2 |
| 344.71 | 6.92 d | 0.5 | 366.43 | 30.85 d | −0.1 | 388.06 | 114.7 | 0.8 |
| 346.72 | 8.00 d | 0.2 | 368.43 | 35.37 | 0.7 | 390.07 | 126.6 | −0.6 |
| 348.67 | 9.21 d | 0.1 | 370.36 | 39.54 | −0.3 | 392.06 | 143.2 | 0.7 |
| 350.60 | 10.55 d | −0.1 | 372.36 | 45.07 | 0.3 | 393.98 | 157.7 | −0.1 |
| 352.60 | 12.18 d | 0.1 | 374.42 | 50.47 | −1.1 | 396.07 | 177.0 | 0.1 |
| 354.43 | 13.72 d | −0.8 | 376.30 | 57.21 | 0.0 | 397.94 | 194.6 | −0.4 |
| 356.55 | 15.91 d | −0.7 | 378.37 | 64.37 | −0.7 | 399.88 | 217.0 | 0.2 |
| 358.53 | 18.29 d | −0.2 | 380.22 | 72.49 | 0.2 | |||
| Clopyralid | ||||||||
| Crystalline phase (Knudsen effusion method) c | ||||||||
| 334.11 | 0.107 | 1.9 | 342.36 | 0.266 | −1.3 | 350.40 | 0.640 | −0.4 |
| 336.38 | 0.137 | 0.1 | 344.36 | 0.330 | −1.6 | 352.13 | 0.783 | 1.4 |
| 338.46 | 0.172 | −1.0 | 346.12 | 0.410 | 0.8 | 354.41 | 0.985 | 0.7 |
| 340.12 | 0.211 | 0.5 | 348.34 | 0.508 | −1.6 | 356.38 | 1.203 | 0.4 |
| ΔT | θ | pb | R2 | σrd | ||||
|---|---|---|---|---|---|---|---|---|
| K | K | kJ.mol−1 | Pa | kJ.mol−1 | J.K−1.mol−1 | J.K−1.mol−1 | ||
| Fenclorim | ||||||||
| Crystalline phase (Knudsen effusion method) | ||||||||
| 311.1 to 333.2 | 298.15 | 38.19 ± 0.06 | 2.04 × 10−2 | 98.1 ± 0.8 | 200.9 ± 2.7 | 0.9998 | 23.5 ± 5.8 e | 0.0110 |
| 322.17 f | 33.38 ± 0.02 | 3.87 × 10−1 | 97.6 ± 0.8 | |||||
| Crystalline phase (static method) | ||||||||
| 326.0 to 365.5 | 298.15 | 38.22 ± 0.03 | 2.01 × 10−2 | 98.1 ± 0.2 | 200.8 ± 0.7 | 1.0000 | 23.5 ± 5.8 e | 0.0064 |
| 345.77 f | 28.74 ± 0.02 | 4.55 | 97.0 ± 0.2 | |||||
| Crystalline phase (Knudsen effusion + static methods) | ||||||||
| 311.1 to 365.5 | 298.15 | 38.18 ± 0.06 | 2.05 × 10−2 | 98.0 ± 1.1 | 200.6 ± 3.7 | 1.0000 | 26.4 ± 13.3 g | 0.0092 |
| 338.32 f | 30.20 ± 0.01 | 2.17 | 96.9 ± 0.2 | |||||
| 367.39 h | 24.50 ± 0.03 | 32.9 | 96.1 ± 0.2 | |||||
| Liquid phase (static method) i | ||||||||
| 338.8 to 399.9 | 298.15 | 33.85 ± 0.10 | 1.17 × 10−1 | 76.1 ± 1.0 | 141.7 ± 3.4 | 1.0000 | 61.5 ± 7.1 g | 0.0053 |
| 369.34 f | 24.25 ± 0.01 | 37.2 | 71.7 ± 0.1 | |||||
| 367.39 h | 24.50 ± 0.01 | 32.9 | 71.9 ± 0.1 | |||||
| Clopyralid | ||||||||
| Crystalline phase (Knudsen effusion method) | ||||||||
| 334.1 to 356.4 | 298.15 | 45.82 ± 0.14 | 9.39 × 10−4 | 109.1 ± 1.0 | 212.2 ± 3.4 | 0.9998 | 21.5 ± 4.8 e | 0.0124 |
| 345.24 f | 35.91 ± 0.02 | 3.69 × 10−1 | 108.1 ± 1.0 | |||||
| Compound | Molar Mass | Density | ||||
|---|---|---|---|---|---|---|
| J.K−1.mol−1 | g·mol−1 | J·K–1·g–1 | g.cm−3 | J·K–1·cm–3 | J·K–1·mol–1 | |
| Fenclorim | 214.3 ± 1.2 | 225.074 | 0.952 ± 0.005 | 1.541 d | 1.467 ± 0.008 | 221.8 ± 17.0 |
| Clopyralid | 175.3 ± 1.2 | 191.999 | 0.913 ± 0.006 | 1.64 ± 0.05 e | 1.497 ± 0.050 | 181.4 ± 17.0 |
| Ttp/K | Tfus/K a | /kj·mol−1 | /J·K−1·mol−1 | Method/Ref. |
|---|---|---|---|---|
| Fenclorim | ||||
| 368.61 ± 0.35 | 23.08 ± 0.69 a | 62.6 ± 1.9 | DSC/this work | |
| 367.39 | 24.2 ± 0.2 | VP/this work | ||
| Clopyralid | ||||
| 422.63 ± 0.38 | 27.59 ± 0.67 a | 65.3 ± 1.6 | DSC/this work | |
| Fenclorim | Clopyralid | ||
|---|---|---|---|
| Gas phase | /kJ·mol−1 | 201.4 ± 2.9 | −280.3 ± 1.7 |
| /J·K−1·mol−1 | 447.6 | 407.7 | |
| /J·K−1·mol−1 | −416.5 | −346.8 | |
| /kJ·mol−1 | −124.2 | −103.4 | |
| /kJ·mol−1 | 325.6 ± 2.9 | −176.9 ± 1.7 | |
| Thermodynamic Properties of Sublimation d | /kJ·mol−1 | 98.0 ± 1.1 | 109.1 ± 1.0 |
| /J·K−1·mol−1 | 200.6 ± 3.7 | 212.2 ± 3.4 | |
| /kJ·mol−1 | 38.2 ± 0.1 | 45.8 ± 0.1 | |
| Crystalline phase | /kJ·mol−1 | 103.4 ± 3.1 | −389.4 ± 2.0 |
| /J·K−1·mol−1 | 247.0 ± 3.7 | 195.5 ± 3.4 | |
| /J·K−1·mol−1 | −617.1 ± 3.7 | −559.0 ± 3.4 | |
| /kJ·mol−1 | −184.0 ± 1.1 | −166.7 ± 1.0 | |
| /kJ·mol−1 | 287.4 ± 2.9 | −222.7 ± 1.7 |
Publisher’s Note: MDPI stays neutral with regard to jurisdictional claims in published maps and institutional affiliations. |
© 2021 by the authors. Licensee MDPI, Basel, Switzerland. This article is an open access article distributed under the terms and conditions of the Creative Commons Attribution (CC BY) license (https://creativecommons.org/licenses/by/4.0/).
Share and Cite
Almeida, A.R.R.P.; Pinheiro, B.D.A.; Lobo Ferreira, A.I.M.C.; Monte, M.J.S. Thermodynamic Stability of Fenclorim and Clopyralid. Molecules 2022, 27, 39. https://doi.org/10.3390/molecules27010039
Almeida ARRP, Pinheiro BDA, Lobo Ferreira AIMC, Monte MJS. Thermodynamic Stability of Fenclorim and Clopyralid. Molecules. 2022; 27(1):39. https://doi.org/10.3390/molecules27010039
Chicago/Turabian StyleAlmeida, Ana R. R. P., Bruno D. A. Pinheiro, Ana I. M. C. Lobo Ferreira, and Manuel J. S. Monte. 2022. "Thermodynamic Stability of Fenclorim and Clopyralid" Molecules 27, no. 1: 39. https://doi.org/10.3390/molecules27010039
APA StyleAlmeida, A. R. R. P., Pinheiro, B. D. A., Lobo Ferreira, A. I. M. C., & Monte, M. J. S. (2022). Thermodynamic Stability of Fenclorim and Clopyralid. Molecules, 27(1), 39. https://doi.org/10.3390/molecules27010039

