Abstract
This experimental and computational study on the energetic properties of 2-methyl-, 3-methyl-, 4-methoxy- and 5-methoxy-indanones has been carried out using mostly calorimetric techniques and a suitable computational approach. The combustion and sublimation/vaporization enthalpies were determined via combustion calorimetry and Calvet microcalorimetry, respectively, allowing for the calculation of the standard molar enthalpies of formation in the gaseous phase. The enthalpy of sublimation of 5-methoxy-indanone was also derived via Knudsen effusion. Additionally, the gas-phase standard molar enthalpies of formation of these compounds were determined from high-level ab initio calculations at the G3(MP2)//B3LYP level of theory. The results obtained experimentally and through the computational approach are in good agreement. Thus, the gas-phase enthalpy of formation of 2-methylcyclopentanone was estimated with this approach. Moreover, the energetic effects associated with the presence of a methyl and methoxy group on the indanone core were analyzed, using the experimental values reported in this work. The presence of a methoxy group contributes to a decrease in the gas-phase enthalpy of formation, of about 153 kJ·mol−1, whereas in the case of a methyl group, the corresponding value is c.a. 35 kJ·mol−1. Finally, a quantitative analysis of the effects of delocalization of the electron density on the methyl-indanones was performed, using NBO calculations at the B3LYP/6-311+G(2df,2p) wave function.
1. Introduction
Scientific research and the chemical industry have developed a great interest in the production of advanced biofuels via pyrolysis bio-oil upgrading [1,2]. Several chemical transformations are involved, including deoxygenation and hydrocracking, which entail the reaction of hydrogen with organic compounds to break long-chain molecules into lower-molecular-weight compounds. In these studies, model compounds can be used to understand the reactivities of different components. Consequently, to overcome the industrial challenges regarding the reaction mechanisms leading to advanced biofuels, a significant input of accurate thermodynamic data is required. These data enable the evaluation of species reactivity and the exploration of various sustainable pathways towards biofuel synthesis. In this context, our research group has been involved in a comprehensive experimental and theoretical study of key compounds derived from biomass, with focus on vanillyl alcohol [3], levoglucosan [4], cellulose allomorphs [5] and α-D-xylose [6]. For instance, these data have made significant contributions to the modeling of the fast pyrolysis of wood for predicting bio-oil composition [7]. More recently, we have published some studies on bio-based ketones [8,9,10].
The purpose of this work is to report the study of four indanone derivatives, namely the 2-methyl-, 3-methyl-, 4-methoxy- and 5-methoxy-1-indanones shown in Figure 1. The energetic study of different isomers intends to rationalize possible relationships involving the crystalline structure, thermodynamic properties and electronic effects of the substituents. The experimental results were obtained mainly via calorimetric methods, in which the massic energy of combustion of each compound has been determined via static-bomb combustion calorimetry, and the corresponding enthalpy of vaporization/sublimation was determined via Calvet microcalorimetry. The Knudsen effusion method was also used to determine the enthalpy of sublimation of the crystalline 5-methoxy-1-indanone. Afterwards, the gas-phase standard molar enthalpy of formation of each indanone derivative was also derived. In addition, the standard molar enthalpies of formation in the gaseous state of these compounds were calculated using high-level quantum chemical calculations.
Figure 1.
Structural formulas of compounds studied.
The energetic contribution for the presence of a methyl and a methoxy substituent in the indanone structure, as well as the energy–structure correlation between the base molecule [11] and the substituted ones will be analysed using the results reported in this work and other data available in the literature.
2. Materials and Methods
The indanones studied in this work were obtained commercially. Solid and liquid samples were purified via sublimation and fractional distillation under reduced pressure, respectively. Purity control was carried out on an Agilent 4890D gas chromatograph–flame ionization detector (GC–FID) apparatus, equipped with an HP-5 column. Table 1 shows the provenance and the specifications of the purification process of each compound, as well as the final degree of purity of the samples after purification.
Table 1.
Provenance and purity of the studied compounds.
To confirm the presence or absence of water in the liquid samples, before the calorimetric experiments, its content was determined via coulometric Karl Fischer titration (KF), using a Metrohm 831KF coulometer and hydranal as the reagent. In the case of 3MI, a significant mass fraction of water at the level of (0.28 ± 0.02)% was found, a slightly lower value in comparison with the one from the average CO2 recovery obtained in the combustion experiments of this compound (Table 1). For 2MI, the result of the water content obtained was (0.07 ± 0.01)%, consistent with the average result of the CO2 recoveries in combustion experiments (Table 1). Regarding the solid samples, there was no need for their analysis via KF titration since the results of CO2 recoveries in combustion experiments show the absence of water in the samples.
The standard (p° = 0.1 MPa) massic energies of combustion of the compounds studied were determined using two different static-bomb combustion calorimetric systems:
- (i)
- The combustion experiments of 2MI, 3MI and 4MI were performed with a static-bomb calorimeter having a twin valve bomb with an internal volume of 0.290 dm3, with a detailed description in the literature [12].
- (ii)
- The combustion experiments of 5MI were performed with a static-bomb calorimeter, using a twin valve bomb whose internal volume is of 0.342 dm3 (type 1108 of Parr Instrument Company). The apparatus and technique have been described previously [13,14].
For each compound, the standard massic energy of combustion, , was calculated using a similar procedure to that developed by Hubbard et al. [15]. Further details about the experimental procedure are provided in the Supporting Information.
The enthalpies of sublimation/vaporization of indanones were measured with a high-temperature Calvet microcalorimeter (Setaram HT1000), using the “vacuum sublimation” drop method described by Skinner et al. [16]. This method was also adapted to the study of liquid samples by Ribeiro da Silva [17]. The details of the apparatus and the technique were previously reported [18].
The vapor pressures of 5MI, at several temperatures, were measured via the mass-loss Knudsen effusion method [19]. The standard molar enthalpy of sublimation was derived from the temperature dependency of the vapor pressures.
The standard molar enthalpies of formation in the gaseous phase of the compounds studied were calculated using the composite G3(MP2)//B3LYP approach as the methodology employed [20]. This method is a variation of G3(MP2) theory based on geometries and zero-point vibrational energies calculated at the B3LYP/6-31G(d) level of theory. All standard computational calculations were performed using the Gaussian 09 software package [21]. The NBO analysis were obtained using the NBO 3.1 program [22,23,24], implemented through the same software.
3. Results
3.1. Combustion Energies and Enthalpies of Indanones
Results of a typical combustion experiment for the title compounds are shown in Table 2; their detailed results are given in Tables S1–S4 (Supporting Information). Δm(H2O) is the deviation of the mass of water added to the calorimeter from 2900.0 g (calorimetric system I) or 3119.6 g (calorimetric system II); ΔUΣ is the energy correction to the standard state; ΔU(IBP) is the internal energy for the isothermal bomb process calculated according to Equation (1). The remaining terms have been previously described [15].
ΔU(IBP) = −{εcal + Cp(H2O, l)·Δm(H2O) + εf} ΔTad + ΔU(ign)
Table 2.
Results of a typical combustion experiment for the title compounds at T = 298.15 K and p° = 0.1 MPa.
The standard massic energies of combustion, , for methyl-indanones and methoxy-indanones, refer to the quantitative combustion reactions (2) and (3), respectively.
C10H10O(l) + 12O2(g) → 10CO2(g) + 5H2O(l)
C10H10O2(cr) + 11.5O2(g) → 10CO2(g) + 5H2O(l)
The mean values of the massic energy of combustion, Δcu°, as well as the derived standard molar internal energy of combustion, , enthalpy of combustion, , and the standard molar enthalpy of formation, at T = 298.15 K, are reported in Table 3. The uncertainties associated with the standard molar energy and enthalpy of combustion are twice the overall standard deviation of the mean and include the uncertainties in calibration with benzoic acid [25,26]. To derive from , the standard molar enthalpies of formation, at T = 298.15 K, were used for H2O(l), −(285.830 ± 0.040) kJ·mol−1 [27] and CO2(g), −(393.51 ± 0.13) kJ·mol−1 [27].
Table 3.
Standard (p° = 0.1 MPa) massic energy of combustion, , molar energy of combustion, enthalpy of combustion, and enthalpy of formation, for the compounds studied, at T = 298.15 K a.
3.2. Sublimation or Vaporization Enthalpies of Indanones
Phase transitions corresponding to the sublimation of the solids and the vaporization of the liquids were studied via high-temperature Calvet microcalorimetry and the standard molar enthalpies of sublimation/vaporization, , of the indanones were derived. The experimental values, , were converted to T = 298.15 K, through Equation (4). For this purpose, is calculated from the gas-phase molar heat capacities, (g), whose values are derived from statistical thermodynamics using the vibrational frequencies obtained from DFT calculations with the B3LYP functional and the 6-31G(d) basis set (scaled by a factor of 0.9613 [28]). These computed (g) values in the range 150–550 K are collected in Table S5. A summary of the results obtained through this technique are registered in Table 4.
Table 4.
Standard (p° = 0.1 MPa) molar enthalpies of sublimation/vaporization, , at T = 298.15 K for indanones determined via Calvet microcalorimetry.
3.3. Vapor Pressures and Sublimation Enthalpy of 5MI
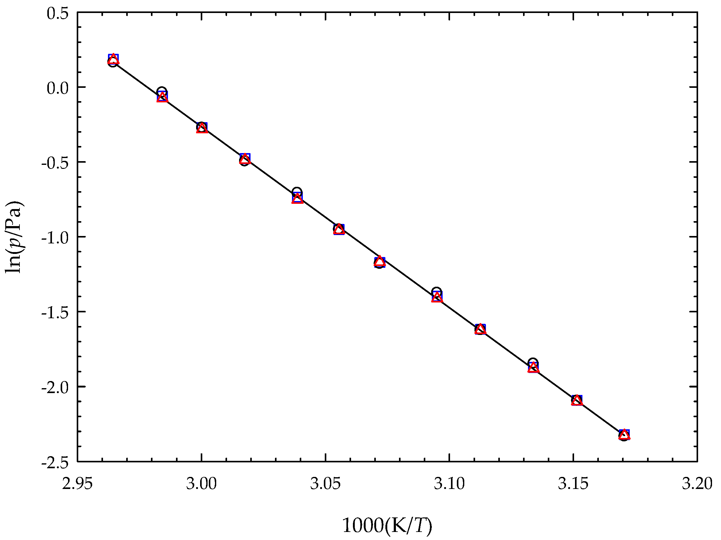
The vapor pressures of crystalline 5MI were measured using a mass-loss Knudsen effusion method. The equipment is prepared for the simultaneous use of nine effusion cells assembled in three series (“Small”—series A; “Medium”—series B; “Large”—series C); Details about the areas and the transmission probability factors of the effusion orifices are presented in Table S6. The corresponding experimental results obtained from each effusion cell are presented in Table S7. For the series of effusion orifices, Table 5 presents the detailed parameters of the Clausius–Clapeyron equation, where a is a constant and ; the standard molar enthalpies of sublimation at the mean temperature <T> of the experiments are , and the entropy of sublimation at the equilibrium pressure for T = <T> is . The plot of ln p = f(1/T) for 5MI is presented in Figure 2.
Table 5.
Experimental results for 5MI via the effusion method, where a and b are from the Clausius–Clapeyron equation , and ; R = 8.3145 J∙K−1∙mol−1 a.
Figure 2.
Plot of ln p = f(1/T) for 5MI: □, small effusion orifices; ○, medium effusion orifices; Δ, large effusion orifices.
The standard molar enthalpy of sublimation at T = 298.15 K was derived from the sublimation enthalpy calculated at the mean temperature of the experiments, using Equation (6), where is the difference between the molar heat capacities at constant pressure, between the gas and crystal phases. The value of (298.15 K) was calculated using Equation (7) developed by Monte et al. [29], which is a rearrangement of an equation proposed by Chickos et al. [30].
Table 6 summarizes the values of (g) and , as well as the derived values, at T = 298.15 K, of the standard molar enthalpy of sublimation, the standard molar entropy of sublimation (calculated using Equation (8), where p° = 105 Pa) and the standard molar Gibbs energy of sublimation.
Table 6.
Gas phase molar heat capacity, (g), difference between gas and crystalline phase molar heat capacities, , and enthalpy, , entropy, , and Gibbs energy of sublimation, , at T = 298.15 K, for 5MI a.
3.4. Gas-Phase Enthalpies of Formation of Indanones
The combustion results and the ones obtained from the vaporization/sublimation studies allowed for the calculation of the experimental gas-phase standard molar enthalpy of formation, , at T = 298.15 K, for each compound. The data used in these calculations are presented in Table 7. As can be seen, the two sets of isomers present identical values of enthalpies of vaporization and sublimation, and an identical trend is also verified for the crystalline enthalpy of formation of the methoxy-indanones. In the case of methyl-indanones, an unexpected difference of 13 was observed for the results, which will also affect the results .
Table 7.
Derived standard (p° = 0.1 MPa) molar enthalpies of formation in the gaseous phase, at T = 28.15 K, for the compounds studied a.
The values of have been derived computationally using the G3MP2B3 composite method, which has been widely tested in our research group, with reliable results for these types of polycyclic compounds [8,10,31]. Therefore, a conformational analysis at the B3LYP/6-31G(d) level of theory was performed to evaluate the more energetically stable conformers. For 2MI, 3MI and 4MI there is only one stable conformation (Figure S1) that corresponds to the global minimum energy conformation, while for 5MI, two possible conformations exist associated with the geometrical changes of the methoxy group (more details in Table S8). Working reactions were selected considering a set of the molecules with an accurate energetic characterization already available in the literature [9,11,31,32,33,34]. A group of six reactions were chosen for each indanone (Tables S9–S12), and the mean values of the calculated are presented in Table 8. For the methyl-indanones, practically the same value was obtained, −94.4 ± 4.2 for 2MI and −94.3 ± 4.2 for 3MI. The same occurred for the methoxy-indanones, −219.1 ± 3.3 for 4MI and −220.3 ± 3.3 for 5MI. This leads us to conclude that, theoretically, different positions do not affect the enthalpic value of the gas-phase enthalpy of formation of indanones. Table 8 compiles the experimental and calculated ) values, showing a very good agreement between them, except for 2MI, in which the difference between the results is considerable (~). In order to rationalize the energetic effects of the two substituents in the indanone structure, the enthalpic increments associated with the presence of a methyl- and methoxy- group in the indanone core were calculated, being the corresponding results reported in the next section.
Table 8.
Comparison between the experimental and computed G3(MP2)//B3LYP gas-phase enthalpies of formation, in , of the indanones studied in this work, at T = 298.15 K a.
3.5. Energetic Effects Associated with the Substitution of H in Indanone by CH3 or by OCH3
Considering the experimental ) values of the molecules studied (Table 8), a structural analysis was performed based on the presence of a methoxy and a methyl group in the 1-indanone as molecular core. It is intended to evaluate the effects of the different substituents on the thermodynamic properties of this class of cyclic compounds. Comparing these results with those for other cyclic systems, such as benzene, anthracene and cyclopentanone, trends in the enthalpic increments of cyclic molecules were identified, which may be useful for predicting the chemical behavior of these molecules in several chemical reactions and can support the design and optimization of chemical processes.
Figure 3 shows the enthalpic increments resulting from the insertion of a methoxy group into benzene, anthracene and 1-indanone. The values obtained exhibit good agreement, indicating that the energy contribution to the enthalpy of formation in the gas phase due to the insertion of this functional group in aromatic cyclic systems, as well as in positions 4, 5 and 6 of the 1-indanone, is equivalent. In addition, the electron-donating nature of this functional group confers a stabilizing effect on each compound in comparison with the molecular core. Similarly, the enthalpic increments associated with the presence of the methyl group at positions 2 and 3 of both 1-indanone and cyclopentanone are presented in Figure 4. These values are in good agreement, indicating that the energetic effect of the methyl group on these cyclic systems is almost independent of the surrounding chemical environment.
Figure 3.
Enthalpic increments (all values in kJ·mol−1) for the insertion of a methoxy group in benzene, anthracene and 1-indanone. a Benzene [32]. b Anthracene [33]. c 1-methoxynaphthalene [31]. d 1-indanone [11]. e This work. f 6-methoxy-1-indanone [10].
Figure 4.
Enthalpic increments (all values in kJ·mol−1) for the insertion of methyl group in cyclopentanone and 1-indanone. a Cyclopentanone [33]. b 2-methylcyclopentanone, value estimated at G3(MP2)//B3LYP level (Table S13). c 3-methylcyclopentanone [9]. d 1-indanone [11]. e This work.
Following an extensive literature review, no experimental or computational data for the 2-methylcyclopentanone were found. Therefore, the standard molar enthalpy of formation has been estimated using the G3(MP2)//B3LYP computational method, obtaining . Details of this calculation are in the Supporting Information (Table S13).
Finally, a quantitative analysis of the effects of the delocalization of the electron density on 2MI and 3MI was performed, using NBO calculations at the B3LYP/6-311+G(2df,2p) level of theory, seeking a possible contribution on the difference between the experimental ) values. The strongest (donor/acceptor) interactions, responsible for the differences in electronic delocalization processes in both systems, are presented in Table 9. The first four interactions have practically the same energy, whereas the electronic interactions (5) and (6) show a slightly greater stabilization on the rings of 2MI (Figure 5), which is in accordance with the slightly larger enthalpic increment obtained for the presence of a methyl group in position 2 of 1-indanone structure (−41.4 ± 5.4 kJ·mol−1), shown in Figure 4. For the identical insertion in position 3, (−28.9 ± 5.2 kJ·mol−1) was obtained.
Table 9.
Partial calculation results obtained for 2MI and 3MI molecules via NBO analysis.
Figure 5.
Strongest electronic interactions for 2MI (more details in Table 9).
4. Conclusions
From the experimental data, new thermochemical and thermophysical properties were obtained for two methyl-indanones and two methoxy-indanones, namely the standard molar enthalpies of formation in the condensed and gaseous phases and the standard molar enthalpies of vaporization/sublimation. Complementarily, computational calculations at the G3(MP2)//B3LYP level were carried out, and the estimated gas-phase enthalpies of formation of indanones studied compared very well with the experimental data. Thus, this methodology was used to estimate the value of the corresponding property for 2-methylcyclopentanone.
The energetic effects associated with the presence of a methyl and a methoxy group in different positions of 1-indanone were analyzed and compared with an identical insertion in benzene and naphthalene. Thus, it can be assumed that the indanone cyclic system with these substituents positioned in several positions are almost energetically independent of the surrounding chemical environment. Similar studies should be enlarged to other structurally related compounds in order to establish more accurate structural–energy correlations for estimates of the same properties in compounds whose experimental study is not feasible.
Supplementary Materials
The following supporting information can be downloaded at: https://www.mdpi.com/article/10.3390/app131810262/s1, Tables S1–S4: data of all the combustion calorimetry experiments of indanones; Table S5: values of the standard molar heat capacities in the gaseous phase of indanones; Table S6: areas and transmission probability factors of the effusion orifices; Table S7: data of all the effusion experiments for 5-methoxy-1-indanone; Figure S1: molecular structures of the most stable conformation of 2-methyl-1-indanone, 3-methyl-1-indanone and 4-methoxy-1-indanone in the gaseous phase, optimized by B3LYP/6-31G(d) level of theory; Table S8: conformational analysis of 5-methoxy-1-indanone; Tables S9–S12: working reactions for the estimation of the gas-phase enthalpy of formation of indanones; Table S13: working reactions for the estimation of the gas-phase enthalpy of formation of 2-methylcyclopentanone; Table S14: G3(MP2)//B3LYP calculated absolute enthalpies, at T = 298.15 K, and experimental gas-phase values for all the molecules used.
Author Contributions
Conceptualization, A.L.R.S. and M.D.M.C.R.d.S.; Methodology, A.L.R.S. and M.D.M.C.R.d.S.; Software, A.L.R.S.; Formal analysis, A.L.R.S. and M.D.M.C.R.d.S.; Investigation, A.L.R.S. and G.P.L.; Writing—original draft, A.L.R.S. and G.P.L.; Writing—review & editing, A.L.R.S. and M.D.M.C.R.d.S. All authors have read and agreed to the published version of the manuscript.
Funding
Fundacão para a Ciência e Tecnologia (FCT) (funded by national funds through the FCT/MCTES (PIDDAC)) to CIQUP, Faculty of Sciences, University of Porto (Project UIDB/00081/2020) and IMS-Institute of Molecular Sciences (LA/P/0056/2020).
Institutional Review Board Statement
Not applicable.
Data Availability Statement
The data presented in this study are available in [present article and Supplementary Material].
Acknowledgments
This work was supported by the Fundacão para a Ciência e Tecnologia (FCT) (funded by national funds through the FCT/MCTES (PIDDAC)) to CIQUP, Faculty of Sciences, University of Porto (Project UIDB/00081/2020) and IMS-Institute of Molecular Sciences (LA/P/0056/2020)). G.P.L. thanks CIQUP for his contract under project CIQUP-UIDP/00081/2020 funded by FCT. A.L.R.S. thanks FCT/MCTES for her contract under Stimulus of Scientific Employment 2017 (CEECIND/01161/2017).
Conflicts of Interest
The authors declare no conflict of interest.
References
- Brown, R.C. Thermochemical Processing of Biomass: Conversion into Fuels, Chemicals and Power, 2nd ed.; John Wily & Sons Ltd.: Ames, IA, USA, 2019. [Google Scholar]
- Serrano-Ruiz, J.C. Advanced Biofuels: Using Catalytic Routes for the Conversion of Biomass Platform Molecules, 1st ed.; Apple Academic Press: Oakville, ON, Canada, 2015. [Google Scholar]
- Freitas, V.L.S.; Lima, A.C.M.O.; Sapei, E.; Ribeiro da Silva, M.D.M.C. Comprehensive thermophysical and thermochemical studies of vanillyl alcohol. J. Chem. Thermodyn. 2016, 102, 287–292. [Google Scholar] [CrossRef]
- Rocha, I.M.; Galvão, T.L.P.; Sapei, E.; Ribeiro da Silva, M.D.M.C.; Ribeiro da Silva, M.A.V. Levoglucosan: A calorimetric, thermodynamic, spectroscopic, and computational investigation. J. Chem. Eng. Data 2013, 58, 1813–1821. [Google Scholar] [CrossRef]
- Goldberg, R.N.; Schliesser, J.; Mittal, A.; Decker, S.R.; Santos, A.F.L.O.M.; Freitas, V.L.S.; Urbas, A.; Lang, B.E.; Heiss, C.; Ribeiro da Silva, M.D.M.C.; et al. A thermodynamic investigation of the cellulose allomorphs: Cellulose (am), cellulose Iβ (cr), cellulose II (cr), and cellulose III (cr). J. Chem. Thermodyn. 2015, 81, 184–226. [Google Scholar] [CrossRef]
- Goldberg, R.N.; Ribeiro da Silva, M.A.V.; Ribeiro da Silva, M.D.M.C.; Lobo Ferreira, A.I.; Shi, Q.; Woodfield, B.F. Thermochemistry of α-D-xylose (cr). J. Chem. Thermodyn. 2013, 58, 20–28. [Google Scholar]
- Kohl, T.; Sapei, E.; Rocha, I.M.; Galvão, T.L.; Ribeiro da Silva, M.D.M.C.; Ribeiro da Silva, M.A.V. Modeling of fast pyrolysis of wood for prediction of bio-oil composition. In Proceedings of the Asia Pacific Confederation of Chemical Engineering Congress 2015: APCChE 2015, Incorporating CHEMECA, Melbourne, Australia, 26 September–1 October 2015; Engineers Australia: Melbourne, Australia, 2015; p. 2410. [Google Scholar]
- Silva, A.L.R.; Ribeiro da Silva, M.D.M.C. Energetic and structural studies of two biomass-derived compounds: 6- and 7-hydroxy-1-indanones. Appl. Sci. 2020, 10, 8512. [Google Scholar] [CrossRef]
- Silva, A.L.R.; Moura, C.; Ribeiro da Silva, M.D.M.C. Energetic vs structural study of two biomass degradation derivatives: 2-cyclopentenone and 3-methyl-2-cyclopentenone. J. Chem. Thermodyn. 2019, 132, 390–396. [Google Scholar] [CrossRef]
- Silva, A.L.R.; Lima, A.C.M.O.; Ribeiro da Silva, M.D.M.C. Energetic characterization of indanone derivatives involved in biomass degradation. J. Therm. Anal. Calorim. 2018, 134, 1267–1276. [Google Scholar] [CrossRef]
- Matos, M.A.R.; Miranda, M.S.; Monte, M.J.S.; Santos, L.M.N.B.F.; Morais, V.M.F.; Chickos, J.S.; Umnahanant, P.; Liebman, J.F. Calorimetric and computational study of indanones. J. Phys. Chem. A 2007, 111, 11153–11159. [Google Scholar] [CrossRef] [PubMed]
- Ribeiro da Silva, M.D.M.C.; Santos, L.M.N.B.F.; Silva, A.L.R.; Fernandez, O.; Acree, W.E., Jr. Energetics of 6-methoxyquinoline and 6-methoxyquinoline N-oxide: The dissociation enthalpy of the (N–O) bond. J. Chem. Thermodyn. 2003, 35, 1093–1100. [Google Scholar] [CrossRef]
- Ribeiro da Silva, M.A.V.; Ribeiro da Silva, M.D.M.C.; Pilcher, G. The construction, calibration and use of a new high-precision static-bomb calorimeter. Rev. Port. Quím. 1984, 26, 163–172. [Google Scholar]
- Ribeiro da Silva, M.A.V.; Ribeiro da Silva, M.D.M.C.; Pilcher, G. Enthalpies of combustion of 1,2-dihydroxybenzene and of six alkylsubstituted 1,2-dihydroxybenzenes. J. Chem. Thermodyn. 1984, 16, 1149–1155. [Google Scholar] [CrossRef]
- Hubbard, W.N.; Scott, D.W.; Waddington, G. Standard states and corrections for combustions in a bomb at constant volume. In Experimental Thermochemistry. Measurement of Heats of Reaction, 1st ed.; Rossini, F.D., Ed.; Interscience Publishers, Inc.: New York, NY, USA, 1956; Volume 1, pp. 75–128. [Google Scholar]
- Adedeji, F.A.; Brown, D.L.S.; Connor, J.A.; Leung, W.L.; Paz-Andrade, I.M.; Skinner, H.A. Thermochemistry of arene chromium tricarbonyls and the strenghts of arene-chromium bonds. J. Organomet. Chem. 1975, 97, 221–228. [Google Scholar] [CrossRef]
- Ribeiro da Silva, M.A.V.; Matos, M.A.R.M.; Amaral, L.M.P.F. Thermochemical study of 2-, 4-, 6-, and 8-methylquinoline. J. Chem. Thermodyn. 1995, 27, 565–574. [Google Scholar] [CrossRef]
- Santos, L.M.N.B.F.; Schröder, B.; Fernandes, O.O.P.; Ribeiro da Silva, M.A.V. Measurement of enthalpies of sublimation by drop method in a Calvet type calorimeter: Design and test of a new system. Thermochim. Acta 2004, 415, 15–20. [Google Scholar] [CrossRef]
- Ribeiro da Silva, M.A.V.; Monte, M.J.S.; Santos, L.M.N.B.F. The design, construction, and testing of a new Knudsen effusion apparatus. J. Chem. Thermodyn. 2006, 38, 778–787. [Google Scholar] [CrossRef]
- Baboul, A.G.; Curtiss, L.A.; Redfern, P.C.; Raghavachari, K. Gaussian-3 theory using density functional geometries and zero-point energies. J Chem Phys. 1999, 110, 7650–7657. [Google Scholar] [CrossRef]
- Frisch, M.J.; Trucks, G.W.; Schlegel, H.B.; Scuseria, G.E.; Robb, M.A.; Cheeseman, J.R.; Scalmani, G.; Barone, V.; Mennucci, B.; Petersson, G.A. Gaussian 09, Revision A.1; Gaussian Inc.: Wallingford, CT, USA, 2009. [Google Scholar]
- Foster, J.P.; Weinhold, F. Natural hybrid orbitals. J. Am. Chem. Soc. 1980, 102, 7211–7218. [Google Scholar] [CrossRef]
- Reed, A.E.; Weinhold, F. Natural bond orbital analysis of near-Hartree-Fock water dimer. J. Chem. Phys. 1983, 78, 4066–4073. [Google Scholar] [CrossRef]
- Reed, A.E.; Curtiss, L.A.; Weinhold, F. Intermolecular interactions from a natural bond orbital, donor-acceptor viewpoint. Chem. Rev. 1988, 88, 899–926. [Google Scholar] [CrossRef]
- Rossini, F.D. Assignment of uncertainties to thermochemical data. In Experimental Thermochemistry. Measurement of Heats of Reaction, 1st ed.; Rossini, F.D., Ed.; Interscience Publishers, Inc.: New York, NY, USA, 1956; Volume 1, pp. 297–325. [Google Scholar]
- Olofson, G. Assignment of uncertainties. In Combustion Calorimetry, 1st ed.; Sunner, S., Mansson, M., Eds.; Pergamon Press: Oxford, UK, 1979; Volume 1, pp. 137–159. [Google Scholar]
- Cox, J.D.; Wagman, D.D.; Medvedev, V.A. CODATA Key Values for Thermodynamics; Hemisphere: New York, NY, USA, 1979. [Google Scholar]
- Merrick, J.P.; Moran, D.; Radom, L. An evaluation of harmonic vibrational frequency scale factors. J. Phys. Chem. A 2007, 111, 11683–11700. [Google Scholar] [CrossRef]
- Monte, M.J.S.; Almeida, A.R.R.P.; Matos, M.A.R. Thermodynamic study on the sublimation of five aminomethoxybenzoic acids. J. Chem. Eng. Data 2010, 55, 419–423. [Google Scholar] [CrossRef]
- Chickos, J.S.; Hosseini, S.; Hesse, D.G.; Liebman, J.F. Heat capacity corrections to a standard state: A comparison of new and some literature methods for organic liquids and solids. Struct. Chem. 1993, 4, 271–278. [Google Scholar] [CrossRef]
- Silva, A.L.R.; Freitas, V.L.S.; Ribeiro da Silva, M.D.M.C. Effects of methoxy and formyl substituents on the energetics and reactivity of α-naphthalenes: A calorimetric and computational study. Chemosphere 2014, 107, 203–210. [Google Scholar] [CrossRef] [PubMed]
- Roux, M.V.; Temprado, M.; Chickos, J.S.; Nagano, Y. Critically evaluated thermochemical properties of polycyclic aromatic hydrocarbons. J. Phys. Chem. Ref. Data 2008, 37, 1855–1996. [Google Scholar] [CrossRef]
- Pedley, J.B. Thermochemical Data and Structures of Organic Compounds; Thermodynamics Research Center: College Station, TX, USA, 1994. [Google Scholar]
- Amaral, L.M.P.F.; Ribeiro da Silva, M.A.V. Thermochemistry of some methoxypyridines. J. Chem. Thermodyn. 2012, 48, 65–69. [Google Scholar] [CrossRef]
Disclaimer/Publisher’s Note: The statements, opinions and data contained in all publications are solely those of the individual author(s) and contributor(s) and not of MDPI and/or the editor(s). MDPI and/or the editor(s) disclaim responsibility for any injury to people or property resulting from any ideas, methods, instructions or products referred to in the content. |
© 2023 by the authors. Licensee MDPI, Basel, Switzerland. This article is an open access article distributed under the terms and conditions of the Creative Commons Attribution (CC BY) license (https://creativecommons.org/licenses/by/4.0/).




