Skip to Content

1,124 Results Found

  • Article
  • Open Access
3 Citations
2,454 Views
12 Pages

15 April 2023

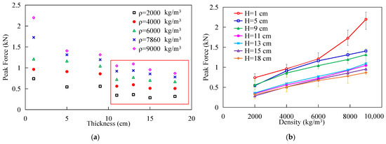
Deck structures subjected to drop-weight low-velocity impact are critical safety elements for ships and offshore structures. Therefore, the aim of the present study is to propose experimental research on dynamic responses of deck structures composed...

  • Article
  • Open Access
54 Citations
10,420 Views
14 Pages

3 September 2015

According to the principle and method of drop-weight impact test, the impact resistance of concrete was measured using self-designed U-shape specimens and a newly designed drop-weight impact test apparatus. A series of drop-weight impact tests were c...

  • Proceeding Paper
  • Open Access
2 Citations
2,126 Views
9 Pages

20 December 2023

The utilization of composite materials in structural components has been on the rise in the aerospace, automotive, and marine industries. Although these materials offer numerous benefits, they can be damaged by various sources, such as low-velocity d...

  • Article
  • Open Access
885 Views
27 Pages

16 October 2025

This study focuses on the behavior of hybrid polymer composites made from glass fiber and natural fiber-based flax fabric when subjected to low velocity drop-weight impacts. With the rise in the utilization of composites in structural components in v...

  • Article
  • Open Access
16 Citations
3,444 Views
13 Pages

9 November 2022

Lightweight structures with high energy absorption capacity are in high demand for energy absorption applications in a variety of engineering fields, such as aerospace, automotive, and marine engineering. Anti-impact composites are made of energy-abs...

  • Article
  • Open Access
5 Citations
2,893 Views
34 Pages

13 November 2021

The breakage index equation (BIE), or t10 model from drop weight testing (DWT) data for rocks and ores is used in the design of crushers and mills. Such models are becoming increasingly difficult to visualize as the number of variables increases. The...

  • Article
  • Open Access
4 Citations
2,525 Views
17 Pages

Research on Grinding Characteristics and Comparison of Particle-Size-Composition Prediction of Rich and Poor Ores

  • Shaojian Ma,
  • Hengjun Li,
  • Zhichao Shuai,
  • Jinlin Yang,
  • Wenzhe Xu and
  • Xingjian Deng

26 October 2022

The particle size composition of grinding products will significantly affect the technical and economic indexes of subsequent separation operations. The polymetallic complex ores from Tongkeng and Gaofeng are selected as the research object in this p...

  • Article
  • Open Access
6 Citations
5,578 Views
17 Pages

Thermoelastic Investigation of Carbon-Fiber-Reinforced Composites Using a Drop-Weight Impact Test

  • Zahra Andleeb,
  • Sohail Malik,
  • Hassan Abbas Khawaja,
  • Anders Samuelsen Nordli,
  • Ståle Antonsen,
  • Ghulam Hussain and
  • Mojtaba Moatamedi

28 December 2020

Composite materials are becoming more popular in technological applications due to the significant weight savings and strength offered by these materials compared to metallic materials. In many of these practical situations, the structures suffer fro...

  • Article
  • Open Access
45 Citations
4,083 Views
16 Pages

Experimental Investigation on the Impact Resistance of Carbon Fibers Reinforced Coral Concrete

  • Bing Liu,
  • Jingkai Zhou,
  • Xiaoyan Wen,
  • Jianhua Guo,
  • Xuanyu Zhang,
  • Zhiheng Deng and
  • Huailiang Wang

2 December 2019

In this study, the impact resistance of coral concrete with different carbon fiber (CF) dosages subjected to drop-weight impact test was investigated. For this purpose, three concrete strength grades (C20, C30, C40) and six CF dosages (0.0%, 0.3%, 0....

  • Article
  • Open Access
65 Citations
5,619 Views
17 Pages

Impact Performance of Steel Fiber-Reinforced Self-Compacting Concrete against Repeated Drop Weight Impact

  • Sallal R. Abid,
  • Murali Gunasekaran,
  • Sajjad H. Ali,
  • Ahmed L. Kadhum,
  • Thaar S. Al-Gasham,
  • Roman Fediuk,
  • Nikolai Vatin and
  • Maria Karelina

22 January 2021

The self-compacting concrete (SCC) was invented to overcome the compaction problems in deep sections, owing to its perfect workability characteristics. Steel fibers when used with SCC would affect the required fluidity characteristics but improve its...

  • Article
  • Open Access
4 Citations
2,178 Views
14 Pages

19 January 2023

Macrofibers have often been used to increase the tensile strength, durability, crack resistance, spalling, impact resistance, and toughness of concrete. However, the impact behavior of fiber-reinforced concrete (FRC) structures is quite different fro...

  • Article
  • Open Access
3 Citations
2,490 Views
17 Pages

7 December 2020

In this study, we investigated the breakage behavior of a bed of olivine sand particles using a drop-weight impact test, with drop weights of various shapes (oval, cube, and sphere). An Attainable Region (AR) technique, which is a model-free and equi...

  • Article
  • Open Access
3 Citations
2,761 Views
13 Pages

Development of a Weight-Drop Impact Testing Method for Dental Applications

  • Satoru Watanabe,
  • Yoshiki Ishida,
  • Daisuke Miura,
  • Taira Miyasaka and
  • Akikazu Shinya

26 November 2020

For evaluating the impact strength of dental materials, the Izod test or Charpy test has been used, but specimen preparation for these tests is difficult due to the adjustment of a notch on them. By contrast, a weight-drop impact test does not requir...

  • Article
  • Open Access
11 Citations
2,890 Views
11 Pages

8 June 2022

Porous concrete is an energy absorption material, which has been widely used in civil engineering, traffic engineering and disaster reduction engineering. However, the effect of pore structure on the impact behavior of the porous concrete is lacked....

  • Article
  • Open Access
13 Citations
3,203 Views
19 Pages

Study on Impact Crushing Characteristics of Minerals Based on Drop Weight Tests

  • Shaojian Ma,
  • Hengjun Li,
  • Xiaojing Yang,
  • Wenzhe Xu,
  • Xingjian Deng and
  • Jinlin Yang

30 April 2023

The degree of difficulty in crushing an ore depends on the composition of the ore itself. Due to different types and compositions of ores, the crushing mechanism of ores during the crushing process is also different. In order to quantitatively analyz...

  • Article
  • Open Access
832 Views
24 Pages

Experimental and Numerical Study on Damage Characteristics of Web Frame Structure Under Conical Impact

  • Zhengjie Li,
  • Caixia Jiang,
  • Gaofei Wang,
  • Nan Zhao,
  • Yue Lu and
  • Kun Liu

This paper investigates the dynamic performance of web frame structures under the impact of a conical hammer head. Compared with existing research on flat plates and stiffened panels, web frame structures exhibit significant differences in load-beari...

  • Article
  • Open Access
7 Citations
3,127 Views
12 Pages

8 January 2021

With the increasing use of carbon fiber reinforced plastics in various fields, carbon fiber composites based on prepregs have attracted attention in industries and academia research. However, prepreg manufacturing processes are costly, and the streng...

  • Article
  • Open Access
16 Citations
4,402 Views
16 Pages

Dynamic Fracture Behavior of Steel Fiber Reinforced Self-Compacting Concretes (SFRSCCs)

  • Xiaoxin Zhang,
  • Gonzalo Ruiz,
  • Manuel Tarifa,
  • David Cendón,
  • Francisco Gálvez and
  • Waleed H. Alhazmi

5 November 2017

Three-point bending tests on notched beams of three types of steel fiber-reinforced self-compacting concrete (SFRSCC) have been performed by using both a servo-hydraulic machine and a drop-weight impact instrument. The lo ading rates had a range of s...

  • Article
  • Open Access
2 Citations
3,688 Views
12 Pages

Drop Weight Testing of Samples Made of Different Building Materials Designed for the Protection of Classified Information

  • Jakub Durica,
  • Andrej Velas,
  • Martin Boros,
  • Radoslav Sovjak,
  • Petr Konrad and
  • Premysl Kheml

31 January 2023

Classified information is information of vital importance to the State, which must be protected against disclosure, misuse, damage, unauthorized reproduction, destruction, loss or theft in the interest of the State. At present, there are four levels...

  • Article
  • Open Access
8 Citations
2,793 Views
10 Pages

25 December 2021

Drop-weight tests were conducted to investigate the impact-initiation sensitivity of high-temperature PTFE-Al-W reactive materials. The test results show that the impact-initiation sensitivity of the materials more than doubles with increasing the sa...

  • Article
  • Open Access
1,620 Views
15 Pages

Investigation of Impact Behavior of STS304L Steel Plate Under Cryogenic Temperature

  • Seok-Min Kim,
  • Byeong-Kwan Hwang,
  • Hee-Tae Kim,
  • Dong-Ha Lee,
  • Jeong-Hyeon Kim and
  • Jae-Myung Lee

29 March 2025

STS304L is widely used in liquefied natural gas cargo containment systems for cryogenic liquefied gas storage because of its excellent mechanical properties at low temperatures. However, unpredictable sloshing impacts can induce excessive plastic def...

  • Article
  • Open Access
28 Citations
7,217 Views
13 Pages

Engineering Properties and Correlation Analysis of Fiber Cementitious Materials

  • Wei-Ting Lin,
  • Yuan-Chieh Wu,
  • An Cheng,
  • Sao-Jeng Chao and
  • Hui-Mi Hsu

20 November 2014

This study focuses on the effect of the amount of silica fume addition and volume fraction of steel fiber on the engineering properties of cementitious materials. Test variables include dosage of silica fume (5% and 10%), water/cement ratio (0.35 and...

  • Article
  • Open Access
3 Citations
3,256 Views
14 Pages

18 October 2019

Cement-based material is brittle and is easily damaged by an impact load with a few blows. The purpose of this paper is to study the relations between the impact resistance and tensile properties of cement-based materials reinforced by polyvinyl alco...

  • Article
  • Open Access
2,729 Views
15 Pages

Modeling Technology of Bonded Particle Model for Gold Ore and Its Validation Based on Drop Weight Test

  • Xiao Wang,
  • Xiqiang Ma,
  • Mian Zhang,
  • Yuanyuan Huang,
  • Zhiqiang Guan and
  • Jishun Li

In recent years, studies have focused mainly on the selection of appropriate parameters for ore crushing technology to achieve optimal distributions of particle sizes. The control of particle sizes in mineral processing plays a significant role in im...

  • Article
  • Open Access
6 Citations
2,694 Views
18 Pages

14 June 2022

Steel fiber foamed concrete (SFFC) combines the impact resistance of steel fiber concrete (SFC) and the energy absorption characteristics of foamed concrete (FC), and it has brought attention to the impact field. Using the mechanical properties of SF...

  • Article
  • Open Access
6 Citations
3,220 Views
15 Pages

Damage Resistance of Kevlar® Fabric, UHMWPE, PVB Multilayers Subjected to Concentrated Drop-Weight Impact

  • Manal A. Nael,
  • Dmitriy A. Dikin,
  • Natnael Admassu,
  • Omar Bahgat Elfishi and
  • Simona Percec

14 June 2024

The impact resistance of layered polymer structures using polyvinyl butyral (PVB) in combination with Kevlar® fabric and ultra-high molecular weight polyethylene (UHMWPE) were fabricated and tested. Methods of wet impregnation and hot-press impre...

  • Article
  • Open Access
3 Citations
1,639 Views
29 Pages

Study on Impact and Abrasion Resistance of Minerals Based on JK Drop Weight Test and Grinding Test

  • Jinlin Yang,
  • Yuan Li,
  • Pengyan Zhu,
  • Runnan Guo,
  • Hengjun Li,
  • Shaojian Ma and
  • Dingzheng Wang

12 April 2025

Most grinding operations are the process of reducing the particle size of ore materials under the combined action of impact and abrasion. The action mechanism of impact damage and abrasion damage of materials in the grinding process is different, and...

  • Article
  • Open Access
4 Citations
1,900 Views
36 Pages

24 August 2024

Reinforced concrete two-way slabs are important elements in the construction field, and their impact response under drop-weight impact is a complex mechanical issue that can cause the collapse of heavy structures. Previous research has documented the...

  • Article
  • Open Access
3 Citations
1,933 Views
15 Pages

26 September 2024

The effectiveness of repair work relies on whether the interface substrate can achieve sufficient bond strength when subjected to numerous stresses. This study investigated the bond properties of repaired normal concrete (NC-to-NC) elements, includin...

  • Article
  • Open Access
868 Views
21 Pages

As a by-product of phosphate fertilizer production, phosphogypsum (PG) poses pressing environmental challenges that demand urgent resolution. To address the research gap in dynamic impact behavior of PG-modified concrete (PGC), this study developed t...

  • Article
  • Open Access
55 Citations
5,160 Views
14 Pages

17 December 2018

In this paper, the impact energy potential of hybrid fiber reinforced concrete (HFRC) was explored with different fiber mixes manufactured for comparative analyses of hybridization. The uniaxial compression and 3-point bending tests were conducted to...

  • Article
  • Open Access
2 Citations
1,624 Views
18 Pages

Experimental and Simulation Studies on Protective Structures in Floating Dock

  • Zhengyao Wang,
  • Kun Liu,
  • Jingqiao Liu,
  • Qingao Meng,
  • Weijian Qiu and
  • Shuai Zong

In this research, two distinct designs of protective structures were developed to address structural damage caused by ships impacting the internal structures of floating docks during maintenance operations. The designed protective structures consist...

  • Article
  • Open Access
10 Citations
2,507 Views
14 Pages

6 May 2022

In order to investigate the effect of high-performance polypropylene (HPP) fiber on the impact resistance of recycled aggregate concrete (RAC), the impact resistance of HPP fiber-reinforced RAC (HFRAC) was investigated using drop-weight impact equipm...

  • Article
  • Open Access
5 Citations
4,411 Views
15 Pages

17 October 2018

This work is concerned with the study of the influence of impactor’s velocity parameters, impactor’s geometry, the target plate properties, and thickness, on the response of a tropical wood plastic composite (WPC) Azobé/urea formal...

  • Article
  • Open Access
7 Citations
2,377 Views
22 Pages

20 June 2024

Ultra-high-performance concrete (UHPC) has been used in building joints due to its increased strength, crack resistance, and durability, serving as a repair material. However, efficient repair depends on whether the interfacial substrate can provide...

  • Article
  • Open Access
7 Citations
4,244 Views
18 Pages

18 September 2018

This work presents the results of experimental and finite element modeling studies of impact behavior on the response of a high content of manganese steel blanks with a 1.2 mm thickness of sheets, known also commercially as Hadfield steel (an austeni...

  • Article
  • Open Access
2 Citations
1,449 Views
14 Pages

13 December 2024

The prestress loss of prefabricated continuous beam bridges directly affects their stress state and operating conditions. Excessive prestress loss can lead to increased mid span deflection of the main beam, cracking of the web and bottom plates, redu...

  • Article
  • Open Access
23 Citations
2,831 Views
17 Pages

Residual Impact Performance of ECC Subjected to Sub-High Temperatures

  • Raad A. Al-Ameri,
  • Sallal Rashid Abid,
  • Gunasekaran Murali,
  • Sajjad H. Ali,
  • Mustafa Özakça and
  • Nikolay Ivanovich Vatin

7 January 2022

Despite the fact that the mechanical properties of Engineered Cementitious Composites (ECC) after high-temperature exposure are well investigated in the literature, the repeated impact response of ECC is not yet explored. Aiming to evaluate the resid...

  • Review
  • Open Access
3 Citations
3,710 Views
14 Pages

The efficacy of topical drug delivery via eye drops is often achieved at the expense of tolerability, and consequently, efforts are being made to design strategies that minimize the adverse effects associated with the passage of active pharmaceutical...

  • Article
  • Open Access
7 Citations
2,218 Views
22 Pages

5 October 2022

For structures and load-bearing beams under extreme impact loading, the prediction of the transmitted peak impact force is the most challenging task. Available numerical and soft computing-based methods for finding peak impact force are not very accu...

  • Article
  • Open Access
10 Citations
2,430 Views
21 Pages

The Combined Effect of Glass Fiber Mesh and Steel Fiber on Two-Layered Preplaced Aggregate Concrete against Drop Weight Impact

  • Muniraj Karthikeyan,
  • Maruthasalam Verapathran,
  • Sallal R. Abid and
  • Gunasekaran Murali

17 August 2022

Buildings and other infrastructure should be designed to withstand impact loads in terrorist attacks or industrial catastrophes. Fibrous concrete is utilized in a variety of ways in the construction of structures to resist impact loads. Preplaced agg...

  • Article
  • Open Access
8 Citations
3,362 Views
18 Pages

3 December 2021

In this paper, the mechanical properties of fiber-reinforced epoxy laminates are experimentally tested. The relaxation behavior of carbon and glass fiber composite laminates is investigated at room temperature. In addition, the impact strength under...

  • Article
  • Open Access
16 Citations
3,731 Views
14 Pages

12 August 2020

Single-particle breakage test is becoming increasingly popular, as researchers seek to understand fracture response that is purely a function of the material being tested, instead of that which is based on the performance of the comminution device be...

  • Article
  • Open Access
14 Citations
8,994 Views
30 Pages

The influences of (1) a high fiber content, (2) the arrangement of fibers in fiber groups, and (3) a layered hierarchical composition of the bark of the giant sequoia (Sequoiadendron giganteum) on its energy dissipation capability are analyzed and di...

  • Article
  • Open Access
10 Citations
2,834 Views
20 Pages

Experimental and Statistical Analysis of Repeated Impact Records of Hybrid Fiber-Reinforced High-Performance Concrete

  • Sajjad H. Ali,
  • Sallal R. Abid,
  • Karrar Al-Lami,
  • Angelo Savio Calabrese,
  • Ahmed M. Yosri and
  • Thaar S. Al-Ghasham

The effect of fiber type and fiber hybridization on the repeated impact strength was investigated experimentally using six high-performance concrete mixtures reinforced with a 2.5% fiber volume fraction. The fiber types considered in this study inclu...

  • Article
  • Open Access
9 Citations
5,004 Views
17 Pages

Mechanical Characterization of Gres Porcelain and Low-Velocity Impact Numerical Modeling

  • Cristiano Fragassa,
  • Felipe Vannucchi de Camargo,
  • Ana Pavlovic,
  • Antonio Carlos De Figueiredo Silveira,
  • Giangiacomo Minak and
  • Carlos Pérez Bergmann

26 June 2018

The current investigation was conducted on gres porcelain stoneware, a robust, impermeable and aesthetically pleasing type of ceramic mainly used for flooring, characterizing its resistance to bending and low-velocity impact, both representative effo...

  • Article
  • Open Access
85 Citations
5,611 Views
14 Pages

Experimental Tests and Reliability Analysis of the Cracking Impact Resistance of UHPFRC

  • Hussain A. Jabir,
  • Sallal R. Abid,
  • Gunasekaran Murali,
  • Sajjad H. Ali,
  • Sergey Klyuev,
  • Roman Fediuk,
  • Nikolai Vatin,
  • Vladimir Promakhov and
  • Yuriy Vasilev

4 December 2020

Ultra-high performance (UHP) concrete is a special type of fibrous cementitious composite that is characterized by high strength and superior ductility, toughness, and durability. This research aimed to investigate the resistance of ultra-high perfor...

  • Article
  • Open Access
1 Citations
1,021 Views
18 Pages

Low-Velocity Impact Behavior of PLA BCC Lattice Structures: Experimental and Numerical Investigation with a Novel Dimensionless Index

  • Giuseppe Iacolino,
  • Giuseppe Mantegna,
  • Emilio V. González,
  • Giuseppe Catalanotti,
  • Calogero Orlando,
  • Davide Tumino and
  • Andrea Alaimo

1 October 2025

Lattice structures are lightweight architected materials particularly suitable for aerospace and automotive applications due to their ability to combine mechanical strength with reduced mass. Among various topologies, Body-Centered Cubic (BCC) lattic...

  • Article
  • Open Access
65 Citations
10,751 Views
14 Pages

The Effects of High Molecular Weight Hyaluronic Acid Eye Drop Application in Environmental Dry Eye Stress Model Mice

  • Takashi Kojima,
  • Taeko Nagata,
  • Haruka Kudo,
  • Wolfgang G. K. Müller-Lierheim,
  • Gysbert-Botho van Setten,
  • Murat Dogru and
  • Kazuo Tsubota

Hyaluronic acid (HA) ophthalmic solution is widely used in dry eye treatment worldwide. However, there are no reports comparing the dry eye treatment effects of high molecular weight HA with low molecular weight HA. Sixty eight-week-old C57BL/6 mice...

  • Article
  • Open Access
2 Citations
2,009 Views
15 Pages

29 June 2021

This study describes a methodology that allows evaluating the behavior of a glass fibre reinforced polymer (GFRP) laminate impacted by a vertical weight drop, analyzing the damage that occurred inside. The purpose of the designers was, by means of ch...

of 23