Experimental Research on Dynamic Behavior of Stiffened Plates under Drop-Weight Impacts of a Wedge Impactor
Abstract
1. Introduction
2. Impact Test Setup
3. Test Specimens
3.1. Specimen Design and Fabrication
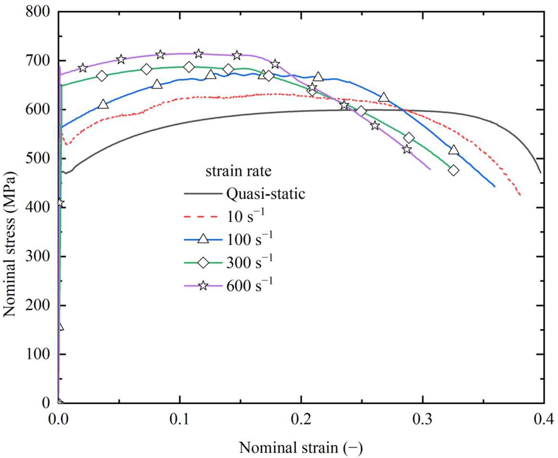
3.2. Mechanical Properties
4. Results and Discussion
4.1. Impact Locations
4.2. Deformation and Failure Modes
4.3. Impact Force–Displacement Relationships
5. Conclusions
Author Contributions
Funding
Institutional Review Board Statement
Informed Consent Statement
Data Availability Statement
Conflicts of Interest
References
- Mazzola, A. A Probabilistic Methodology for the Assessment of Safety from Dropped Loads in Offshore Engineering. Risk Anal. 2000, 20, 327–338. [Google Scholar] [CrossRef] [PubMed]
- Storheim, M.; Amdahl, J. Design of offshore structures against accidental ship collisions. Mar. Struct. 2014, 37, 135–172. [Google Scholar] [CrossRef]
- Haris, S.; Amdahl, J. Crushing resistance of a cruciform and its application to ship collision and grounding. Ships Offshore Struct. 2012, 7, 185–195. [Google Scholar] [CrossRef]
- Zhang, M.; Zhu, Z.; Zeng, Y.; Liu, J.; Hu, Z. Analytical Method for Evaluating the Impact Response of Stiffeners in a Ship Side Shell Subjected to Bulbous Bow Collision. Math. Probl. Eng. 2020, 2020, 5025438. [Google Scholar] [CrossRef]
- Yu, Z.; Hu, Z.; Amdahl, J.; Liu, Y. Investigation on structural performance predictions of double-bottom tankers during shoal grounding accidents. Mar. Struct. 2013, 33, 188–213. [Google Scholar] [CrossRef]
- Haris, S.; Amdahl, J. Analysis of ship–ship collision damage accounting for bow and side deformation interaction. Mar. Struct. 2013, 32, 18–48. [Google Scholar] [CrossRef]
- Ringsberg, J.W.; Amdahl, J.; Chen, B.Q.; Cho, S.-R.; Ehlers, S.; Hu, Z.; Kubiczek, J.M.; Kõrgesaar, M.; Liu, B.; Marinatos, J.N.; et al. MARSTRUCT benchmark study on nonlinear FE simulation of an experiment of an indenter impact with a ship side-shell structure. Mar. Struct. 2018, 59, 142–157. [Google Scholar] [CrossRef]
- Ellis, N.; Perrett, G.R.; Rae, K. The Design of an Impact Resistant Roof for Platform Wellhead Modules. In Proceedings of the Annual Offshore Technology Conference, Houston, TX, USA, 5 May 1980. [Google Scholar]
- Paik, J.K. Cutting of a longitudinally stiffened plate by a wedge. J. Ship Res. 1994, 38, 340–348. [Google Scholar] [CrossRef]
- Al-Obaid, Y. Automated analysis of topside platform hatch covers subject to drill collar impact. Comput. Struct. 1996, 59, 665–689. [Google Scholar] [CrossRef]
- Colwill, A.D.; Ahilan, A.V. Reliability Analysis of the Behavior of Dropped Objects. Int. J. Impact Eng. 1992, 5, 45–52. [Google Scholar]
- Sun, L.P.; Ma, G.; Nie, C.Y.; Wang, Z.H. The Simulation of Dropped Objects on the Offshore Structure. Adv. Mater. Res. 2011, 339, 553–556. [Google Scholar] [CrossRef]
- Andreas, B. Assessment of Hull Response Due to Impact from Falling Object. Ph.D. Thesis, Norwegian University of Science and Technology, Trondheim, Norway, 2014. [Google Scholar]
- Zhou, S.; Zhang, W. Nonlinear Finite-Element Analysis of Offshore Platform Impact Load Based on Two-Stage PLS-RBF Neural Network. In Proceedings of the International Conference on Bio-inspired Computing: Theories and Applications, Singapore, 1 July 2018; pp. 508–517. [Google Scholar]
- Kim B, J. Experimental study on impact damage of membrane-type LNG carrier cargo containment system due to dropped objects. Ships Offshore Struct. 2018, 13, 339–347. [Google Scholar] [CrossRef]
- Seo, J.K.; Park, D.K.; Jo, S.W. Experimental assessment of the structural behaviour of aluminium helideck structures under stat-ic/impact loads. Ships Offshore Struct. 2018, 13, 348–363. [Google Scholar] [CrossRef]
- Zhu, L.; Gao, J.Y.; Xu, L.; Cai, W. Dynamic plastic response of ship plates subjected to rectangular mass impact. J. Ship Mech. 2020, 24, 643–650. [Google Scholar]
- Yang, L.; Wang, D.-Y. Experimental and numerical investigation on the response of stiffened panels subjected to lateral impact considering material failure criteria. Ocean Eng. 2019, 184, 193–205. [Google Scholar] [CrossRef]
- Chen, B.-Q.; Liu, B.; Soares, C.G. Experimental and numerical investigation on a double hull structure subject to collision. Ocean Eng. 2022, 256, 111437. [Google Scholar] [CrossRef]
- Zhou, H.; Han, Y.; Zhang, Y.; Luo, W.; Liu, J.; Yu, R. Numerical and Experimental Research on Similarity Law of the Dynamic Responses of the Offshore Stiffened Plate Subjected to Low Velocity Impact Loading. Metals 2022, 12, 657. [Google Scholar] [CrossRef]
- Zhu, L.; Guo, K.L.; Li, Y.G.; Zi, H. Experimental Investigation on Dynamic Behavior of Porous Material Sandwich Plates for Light-weight Ship. J. Ship Mech. 2019, 23, 706–718. [Google Scholar]
- Li, Y.; Xiao, W.; Wu, X.; Zhu, L. Analytical study on the dynamic response of foam-core sandwich plate under wedge impact. Int. J. Impact Eng. 2023, 173, 104464. [Google Scholar] [CrossRef]
- Wang, Z.; Liu, K.; Yu, T.; Zong, S.; Wang, X. Structural deformation mechanism of the hat-stiffened plate used in marine structures under impact load. Ocean Eng. 2022, 266, 112736. [Google Scholar] [CrossRef]
- Zhu, L.; Cai, W.; Chen, M.; Tian, Y.; Bi, L. Experimental and numerical analyses of elastic-plastic responses of ship plates under ice floe impacts. Ocean Eng. 2020, 218, 108174. [Google Scholar] [CrossRef]
- Li, Y.; Wu, X.; Xiao, W.; Wang, S.; Zhu, L. Experimental study on the dynamic behaviour of aluminium honeycomb sandwich panel subjected to ice wedge impact. Compos. Struct. 2021, 282, 115092. [Google Scholar] [CrossRef]
- Yu, T.; Wang, J.; Liu, J.; Liu, K. Experimental and Numerical Simulation of the Dynamic Response of a Stiffened Panel Suffering the Impact of an Ice Indenter. Metals 2022, 12, 505. [Google Scholar] [CrossRef]
- GB/T 228.1; Metallic Materials-Tensile Testing-Part 1: Method of Test at Room Temperature. China Standardization Administration: Beijing, China, 2010.















| Item | Mass Density | Elastic Modulus | Poisson’s Ratio | Yield Stress | Ultimate Tensile Stress | Fracture Strain |
|---|---|---|---|---|---|---|
| Units | kg/m3 | GPa | - | MPa | MPa | - |
| Value | 7850 | 210 | 0.3 | 472 | 786 | 0.33 |
| Strain rate (s−1) | Quasistatic | 10 | 100 | 300 | 600 |
| Yield stress (MPa) | 472 | 530 | 561 | 649 | 675 |
Disclaimer/Publisher’s Note: The statements, opinions and data contained in all publications are solely those of the individual author(s) and contributor(s) and not of MDPI and/or the editor(s). MDPI and/or the editor(s) disclaim responsibility for any injury to people or property resulting from any ideas, methods, instructions or products referred to in the content. |
© 2023 by the authors. Licensee MDPI, Basel, Switzerland. This article is an open access article distributed under the terms and conditions of the Creative Commons Attribution (CC BY) license (https://creativecommons.org/licenses/by/4.0/).
Share and Cite
Yu, R.; Luo, W.; Chen, H.; Liu, J. Experimental Research on Dynamic Behavior of Stiffened Plates under Drop-Weight Impacts of a Wedge Impactor. Materials 2023, 16, 3128. https://doi.org/10.3390/ma16083128
Yu R, Luo W, Chen H, Liu J. Experimental Research on Dynamic Behavior of Stiffened Plates under Drop-Weight Impacts of a Wedge Impactor. Materials. 2023; 16(8):3128. https://doi.org/10.3390/ma16083128
Chicago/Turabian StyleYu, Rong, Wei Luo, Hao Chen, and Jingxi Liu. 2023. "Experimental Research on Dynamic Behavior of Stiffened Plates under Drop-Weight Impacts of a Wedge Impactor" Materials 16, no. 8: 3128. https://doi.org/10.3390/ma16083128
APA StyleYu, R., Luo, W., Chen, H., & Liu, J. (2023). Experimental Research on Dynamic Behavior of Stiffened Plates under Drop-Weight Impacts of a Wedge Impactor. Materials, 16(8), 3128. https://doi.org/10.3390/ma16083128

