Study on Impact Crushing Characteristics of Minerals Based on Drop Weight Tests
Abstract
1. Introduction
2. Materials and Methods
2.1. Materials
2.2. Drop Weight Test Equipment and Principle
2.3. Methods
2.3.1. JK Drop Weight Test
2.3.2. SMC Drop Weight Test
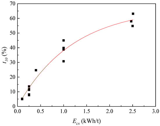
2.3.3. Impact Crushing Characteristic Parameters
3. Results and Discussion
3.1. Impact Resistance Characteristics of Quartz and Particle Size Characteristics of Its Impact Crushing Products
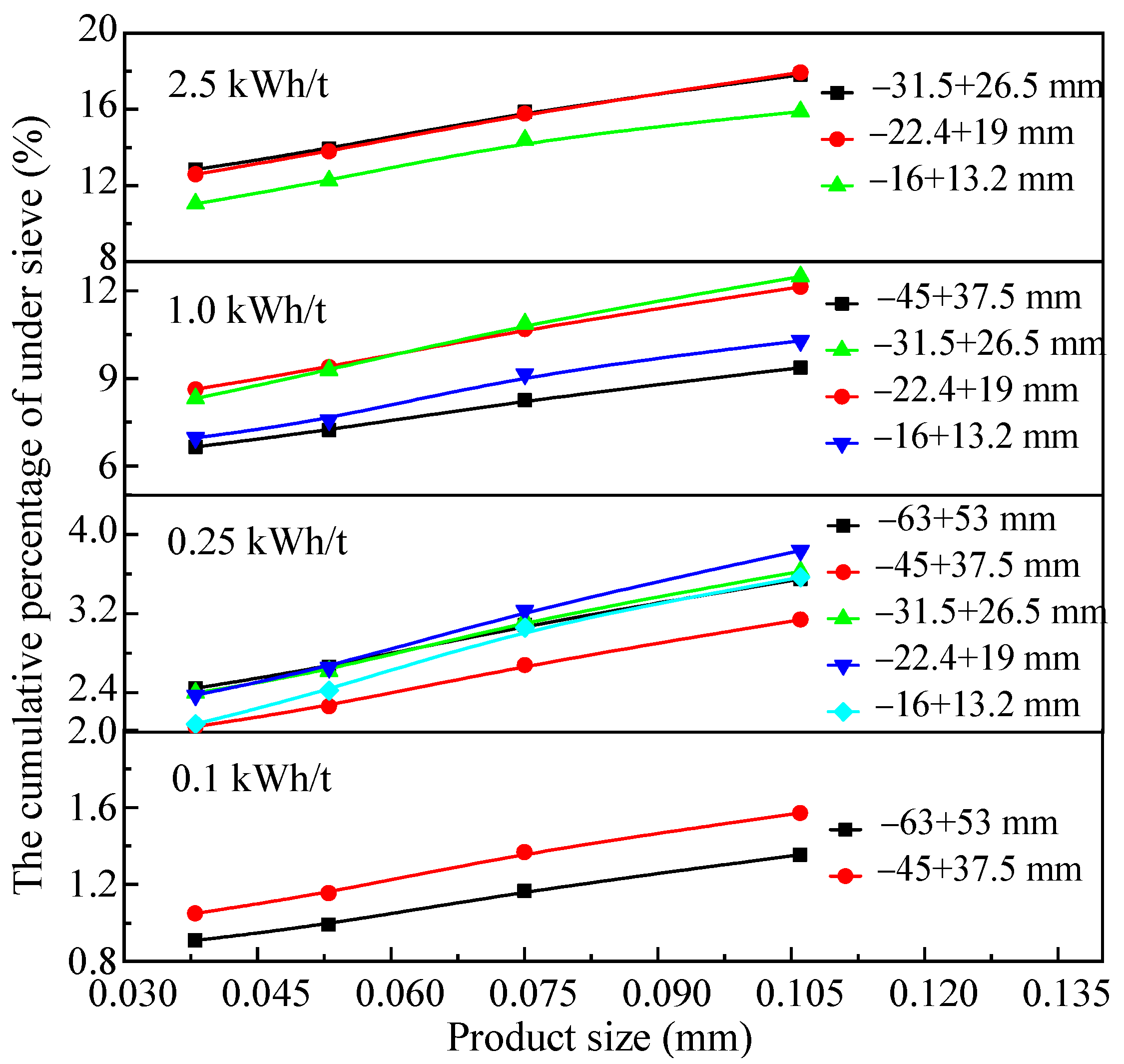
3.1.1. Analysis Results of the Particle Size Composition of Impact Crushing Products Obtained by the JK Drop Weight Test
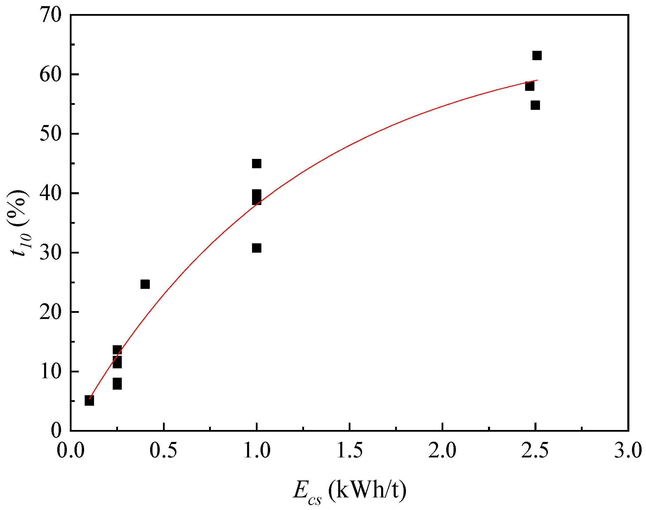
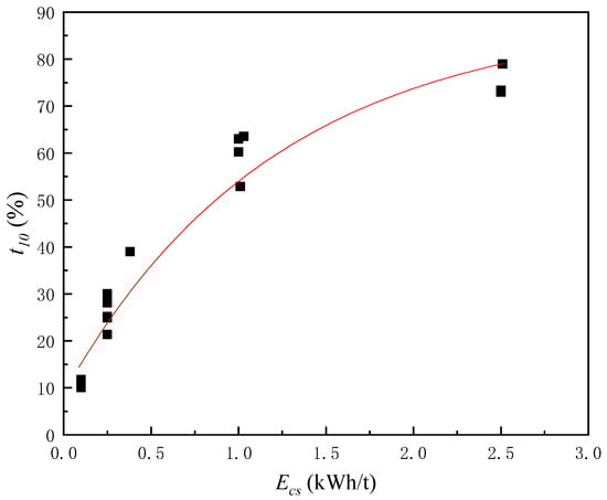
3.1.2. Particle Energy Relationship Equation for Impact Crushing of Quartz
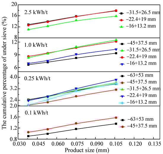
3.1.3. Variation Characteristics and Influencing Factors of the Yield of Coarse and Fine Particle Sizes of Crushed Products
3.1.4. Effect of Ecs on the Particle Size of Crushed Products
3.2. Impact Resistance Characteristics of Pyrrhotite and Particle Size Characteristics of Its Impact Crushing Products
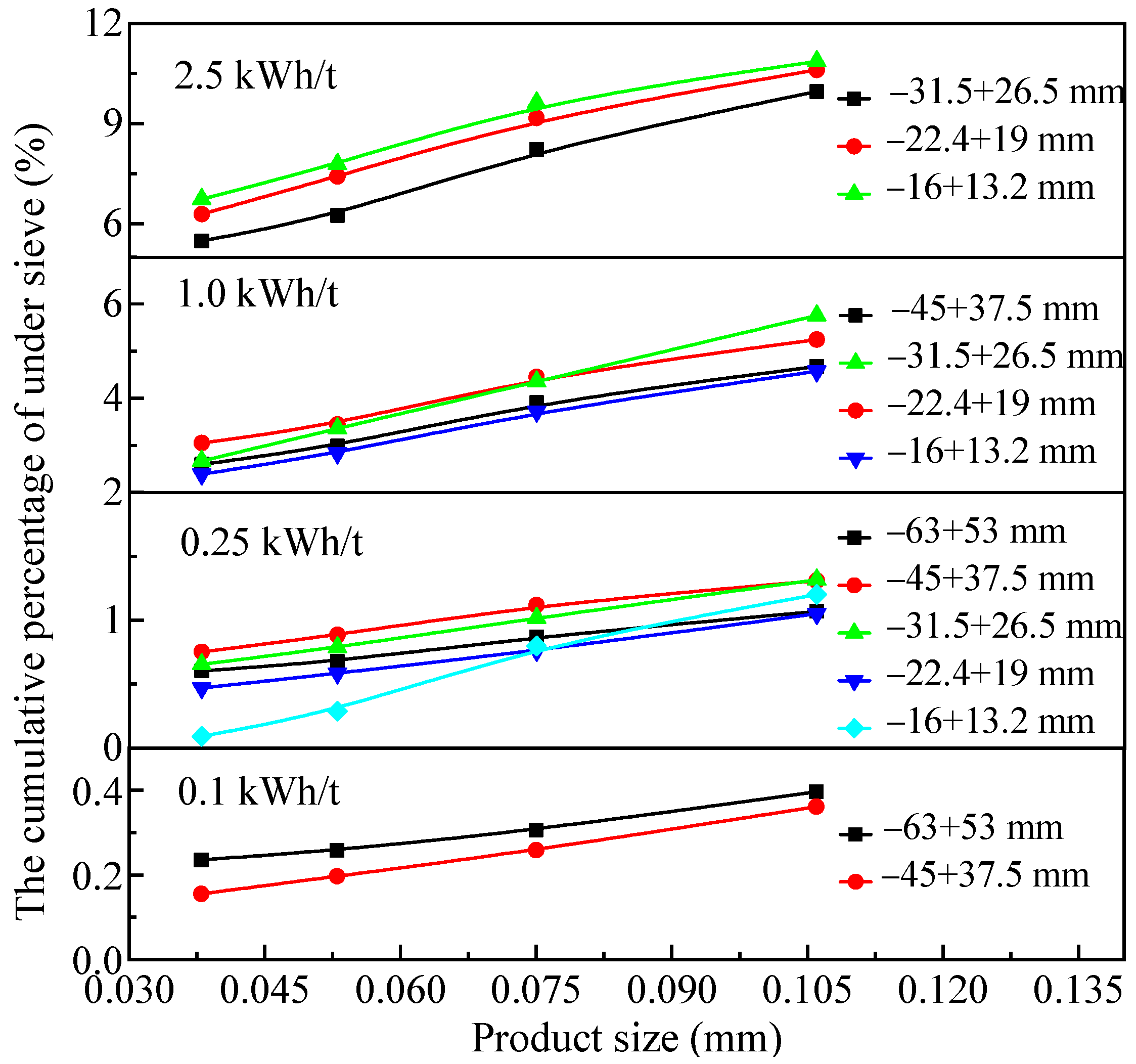
3.2.1. Analysis Results of the Particle Size Composition of Impact Crushing Products Obtained by the JK Drop Weight Test
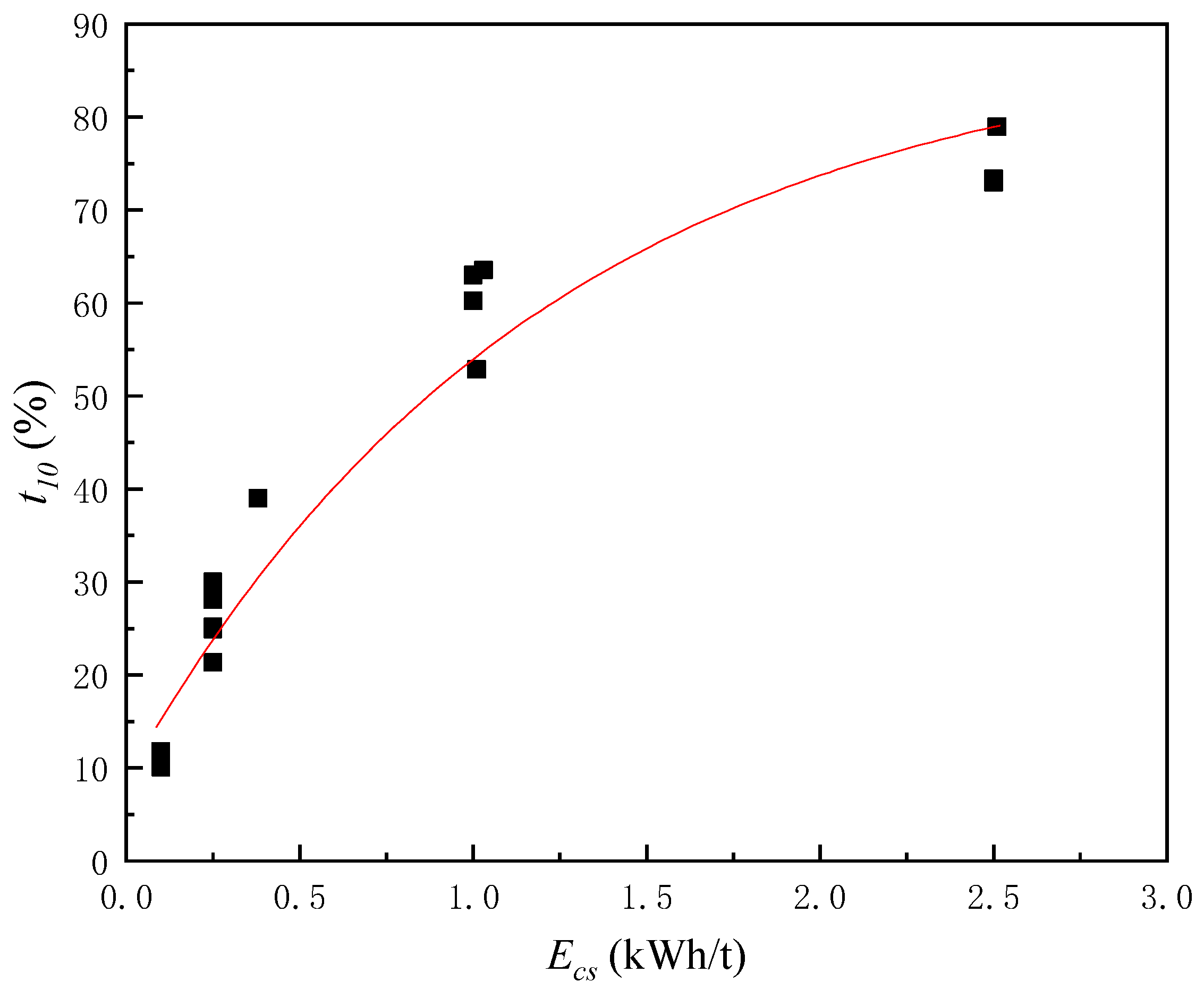
3.2.2. Particle Energy Relationship Equation for Impact Crushing of Pyrrhotite
3.2.3. Variation Characteristics and Influencing Factors of the Yield of Coarse and Fine Particle Sizes of Crushed Products
3.2.4. Effect of Ecs on the Particle Size of Crushed Products
3.3. Impact Resistance Characteristics of Pyrite and Particle Size Characteristics of Its Impact Crushing Products
3.3.1. Analysis Results of the Particle Size Composition of Impact Crushing Products Obtained by the SMC Drop Weight Test
3.3.2. Particle Energy Relationship Equation for Impact Crushing of Pyrite
3.3.3. Variation Characteristics and Influencing Factors of the Yield of Coarse and Fine Particle Sizes of Crushed Products
3.4. Study on the Consistency Relationship of the Crushing Characteristics of Three Minerals Based on Different Indicators
4. Conclusions
- (1)
- The impact crushing characteristic parameters of quartz, pyrrhotite, and pyrite, as well as the particle energy relationship equation characterizing the crushing process, were obtained through the drop weight test. The particle energy relationship equation for quartz is t10 = 67.335 × [1 − exp(−0.8334 × Ecs)]. The particle energy relationship equation for pyrrhotite is t10 = 76.60 × [1 − exp(−1.59 × Ecs)]. The particle energy relationship equation for pyrite is t10 = 72.19 × [1 − exp(−2.07 × Ecs)]. Based on this research result, the impact crushing degree of three mineral samples under arbitrary Ecs conditions can be calculated.
- (2)
- The particle size distribution of the impact crushing products of quartz, pyrrhotite, and pyrite samples is very wide, covering all particle sizes from “0” to close to the feed particle size. However, the yield of the +0.106 mm particle size was significantly higher than the yield of the −0.106 mm particle size. This indicates that impact action has a significant contribution to the formation of +0.106 mm particle size products in the crushed products.
- (3)
- Ecs has a significant impact on the particle size distribution and crushing effect of the crushing product and has an interactive impact on the feed particle size and mineral species. Overall, with increases in Ecs, the crushing effect of mineral samples increases. Moreover, there is a critical Ecs in impact crushing. Under the conditions of this study, the critical Ecs is 1.0 kWh/t. When Ecs > 1.0 kWh/t, t10 increases with the increase in Ecs and decreases with the increase in feed particle size. When Ecs < 1.0 kWh/t, t10 increases with the increase in Ecs, independent of feed particle size.
- (4)
- Based on the above analysis, it can be seen that for quartz and pyrite samples with high purity, when using Mohs hardness, impact resistance parameters, impact crushing resistance level, and the limit value of t10 to characterize impact crushing resistance ability, the ranking results of the two minerals are completely consistent. Compared with pyrite, pyrrhotite has a variety of mineral binding interfaces due to its low purity. When using Mohs hardness, impact resistance parameters, impact crushing resistance level, and the limit value of t10 to characterize impact crushing resistance ability, the ranking results of the two are not completely consistent. When Ecs is higher, the impact of mineral purity decreases, and the results of various characterization methods tend to be consistent.
Author Contributions
Funding
Data Availability Statement
Conflicts of Interest
References
- Park, J.; Kim, K. Use of drilling performance to improve rock-breakage efficiencies: A part of mine-to-mill optimization studies in a hard-rock mine. Int. J. Min. Sci. Technol. 2020, 30, 179–188. [Google Scholar] [CrossRef]
- Wang, Z.W.; Liu, Q.S. Failure criterion for soft rocks considering intermediate principal stress. Int. J. Min. Sci. Technol. 2021, 31, 565–575. [Google Scholar] [CrossRef]
- Camalan, M. Correlating common breakage modes with impact breakage and ball milling of cement clinker and chromite. Int. J. Min. Sci. Technol. 2020, 30, 901–908. [Google Scholar] [CrossRef]
- Gao, P.; Zhou, W.T.; Han, Y.X.; Li, Y.J.; Ren, W.L. Enhancing the capacity of large-scale ball mill through process and equipment optimization: An industrial test verification. Adv. Powder Technol. 2020, 31, 2079–2091. [Google Scholar] [CrossRef]
- Chen, B.C. Grinding Principle. Met. Ind. Press. 1989, 1, 181–252. (In Chinese) [Google Scholar]
- Liu, J.; Long, H.; Corin, K.C.; O’Connor, C.T. A study of the effect of grinding environment on the flotation of two copper sulphide ores. Miner. Eng. 2018, 122, 339–345. [Google Scholar] [CrossRef]
- Rabieh, A.; Eksteen, J.; Albijanic, B. Galvanic interaction of grinding media with arsenopyrite and pyrite and its effect on gold cyanide leaching. Miner. Eng. 2018, 116, 46–55. [Google Scholar] [CrossRef]
- Xiao, X.; Zhang, G.; Feng, Q.; Xiao, S.; Huang, L.; Zhao, X.; Li, Z. The liberation effect of magnetite fine ground by vertical stirred mill and ball mill. Miner. Eng. 2012, 34, 63–69. [Google Scholar] [CrossRef]
- Henckens, M.L.C.M.; van Ierland, E.C.; Driessen, P.P.J.; Worrell, E. Mineral resources: Geological scarcity, market price trends, and future generations. Resour. Policy 2016, 49, 102–111. [Google Scholar] [CrossRef]
- Gorman, M.R.; Dzombak, D.A. A Review of sustainable mining and resource nanagement: Transitioning from the life cycle of the mine to the life cycle of the mineral. Resour. Conserv. Recycl. 2018, 137, 281–291. [Google Scholar] [CrossRef]
- Chen, Y.M.; Li, H.; Feng, D.X.; Tong, X.; Hu, S.X.; Yang, F.; Wang, G.C. A recipe of surfactant for the flotation of fine cassiterite particles. Miner. Eng. 2021, 160, 106658. [Google Scholar] [CrossRef]
- Huang, K.Q.; Xiao, C.H.; Wu, Q.M. Application of accurate ball-load-addition method in grinding production of some tailings. Adv. Mat. Res. 2014, 962, 771–774. [Google Scholar] [CrossRef]
- Kotake, N.; Kuboki, M.; Kiya, S.; Kanda, Y. Influence of dry and wet grinding conditions on fineness and shape of particle size distribution of product in a ball mill. Adv. Powder Technol. 2011, 22, 86–924. [Google Scholar] [CrossRef]
- Peng, Y.; Grano, S. Effect of iron contamination from grinding media on the flotation of sulphide minerals of different particle size. Int. J. Miner. Process. 2010, 97, 1–6. [Google Scholar] [CrossRef]
- Woywadt, C. Grinding process optimization-featuring case studies and operating results of the modular vertical roller mill. In Proceedings of the 2017 IEEE-IAS/PCA Cement Industry Technical Conference, Calgary, AB, Canada, 21–25 May 2017. [Google Scholar]
- Hfels, C.; Dambach, R.; Kwade, A. Geometry influence on optimized operation of a dry agitator bead mill. Miner. Eng. 2021, 171, 107050. [Google Scholar] [CrossRef]
- Santosh, T.; Soni, R.K.; Eswaraiah, C.; Rao, D.S.; Venugopal, R. Optimization of stirred mill parameters for fine grinding of pge bearing chromite ore. Part. Sci. Technol. 2020, 39, 663–675. [Google Scholar]
- Ma, S.J.; Li, H.J.; Shuai, Z.C.; Yang, J.L.; Xu, W.Z.; Deng, X.J. Research on grinding characteristics and comparison of Particle-Size-Composition prediction of rich and poor ores. Minerals 2022, 12, 1354. [Google Scholar] [CrossRef]
- Ma, S.J.; Li, H.J.; Shuai, Z.C.; Yang, J.L.; Deng, X.J.; Xu, W.Z. Research on grinding law and grinding parameters optimization of polymetallic complex ores. Minerals 2022, 12, 1283. [Google Scholar] [CrossRef]
- Guo, W.; Han, Y.X.; Gao, P.; Li, Y.J.; Tang, Z.D. A study of the grinding of magnetite/limestone mixture in a stirred mill by the attainable region method. Powder Technol. 2021, 389, 40–47. [Google Scholar] [CrossRef]
- Aleksandrova, T.; Nadezhda, N.; Anastasia, A.; Artyem, R.; Valentin, K. Selective disintegration justification based on the mineralogical and technological features of the polymetallic ores. Minerals 2021, 11, 851. [Google Scholar] [CrossRef]
- Gao, M.W.; Forssberg, E. Prediction of product size distributions for a stirred ball mill. Powder Technol. 1995, 84, 101–106. [Google Scholar] [CrossRef]
- Yu, S.; Wu, C.Y.; Adams, M.J.; Reynolds, G.; Gururajan, B.; Gargiuli, J.; Leadbeater, T.; Roberts, R.; Parker, D.J. The use of positron emission particle tracking (PEPT) to study milling of roll-compacted microcrystalline cellulose ribbons. Powder Technol. 2015, 285, 74–79. [Google Scholar] [CrossRef]
- Venkataraman, K.S.; Narayanan, K.S. Energetics of collision between grinding media in ball mills and mechanochemical effects. Powder Technol. 1998, 96, 190–201. [Google Scholar] [CrossRef]
- Alexander, R.; Stefan, S.; Marco, M. Modeling and measurement of abraded particles. Powder Technol. 2015, 217, 134–140. [Google Scholar]
- Zeng, S.Q.; Zhang, X.L.; Cao, S.M. Overview of bauxite selective dissociation in China. Adv. Mater. Res. 2013, 634, 3705–3709. [Google Scholar] [CrossRef]
- Petrakis, E.; Karmali, V.; Komnitsas, K. Factors affecting nickel upgrade during selective grinding of low-grade limonitic laterites. Miner. Process. Extr. Metall. 2021, 130, 192–201. [Google Scholar] [CrossRef]
- Ni, C.; Zhou, S.Q.; Gao, J.X. Selective comminution and grinding mechanisms of spent carbon anode from aluminum electrolysis using ball and rod mills. Physicochem. Probl. Miner. Process. 2022, 58, 145667. [Google Scholar] [CrossRef]
- Sun, R.G.; Gao, Y.; Yang, Y. Leaching of heavy metals from lead-zinc mine tailings and the subsequent migration and transformation characteristics in paddy soil. Chemosphere 2021, 291, 132792. [Google Scholar] [CrossRef]
- Leung, K. An Energy Based Ore Specific Modelfor Autogenous and Semi-Autogenous Grinding; University of Queensland (JKMRC): Indooroopilly, Australia, 1987. [Google Scholar]
- Napier-Munn, T.J. Mineral Comminution Circuits Their Operation and Optimization; JKMRC and the University of Queensland Publishing: Indooroopilly, Australia, 2005. [Google Scholar]
- Zou, Y.R.; Luo, L.F. Application of JKSimMet software in selection of semi-autogenous grinding mill. Nonferrous Metall. Equip. 2015, 1, 20–25. (In Chinese) [Google Scholar]














| Component | SiO2 | Fe2O3 | MgO | Al2O3 | S | CaO |
|---|---|---|---|---|---|---|
| Content (%) | 99.15 | 0.49 | 0.12 | 0.081 | 0.065 | 0.062 |
| Component | Mn | Cr | Ni | Cu | Zn | Others |
| Content (%) | 0.0059 | 0.0047 | 0.0038 | 0.0035 | 0.0022 | 0.0119 |
| Component | SiO2 | CaO | TFe | Zn | S | Pb |
|---|---|---|---|---|---|---|
| Content (%) | 29.41 | 0.18 | 37.76 | 0.94 | 25.94 | 0.18 |
| Component | Al2O3 | As | K2O | Pb | Others | |
| Content (%) | 1.85 | 3.34 | 0.20 | 0.18 | 0.02 |
| Component | SiO2 | CaO | TFe | S | Ti | MgO |
|---|---|---|---|---|---|---|
| Content (%) | 1.67 | 0.19 | 53.07 | 43.84 | 0.20 | 0.13 |
| Component | Co | Al2O3 | MgO | As | K2O | Others |
| Content (%) | 0.12 | 0.48 | 0.13 | 0.11 | 0.07 | 0.43 |
| Parameters | Very Hard | Hard | Medium Hard | Medium | Medium Soft | Soft | Very Soft |
|---|---|---|---|---|---|---|---|
| A × b | <30 | 30~38 | 38~43 | 43~56 | 56~67 | 67~127 | >127 |
| Particle Size (mm) | Nominal Particle Size (mm) | Ecs (kWh/t) | Fitting Coefficient (R2) | t10 (%) |
|---|---|---|---|---|
| −63 + 53 | 57.8 | 0.4 | 0.9979 | 24.64 |
| 0.25 | 0.9972 | 13.61 | ||
| 0.1 | 0.9983 | 5.20 | ||
| −45 + 37.5 | 41.1 | 1.0 | 0.9979 | 44.97 |
| 0.25 | 0.9986 | 11.83 | ||
| 0.1 | 0.9982 | 4.99 | ||
| −31.5 + 26.5 | 28.9 | 2.51 | 0.9986 | 63.16 |
| 1.0 | 0.9968 | 39.87 | ||
| 0.25 | 0.9994 | 11.27 | ||
| −22.4 + 19 | 20.6 | 2.47 | 0.9971 | 57.99 |
| 1.0 | 0.9981 | 38.75 | ||
| 0.25 | 0.9989 | 8.18 | ||
| −16 + 13.2 | 14.5 | 2.5 | 0.9989 | 54.79 |
| 1.0 | 0.9985 | 30.77 | ||
| 0.25 | 0.9981 | 7.70 |
| A | b | A × b | Fitting Coefficient (R2) | Impact Crushing Resistance Level |
|---|---|---|---|---|
| 67.3350 | 0.8334 | 56.12 | 0.968 | Medium Soft |
| Particle Size (mm) | Nominal Particle Size (mm) | Ecs (kWh/t) | Fitting Coefficient (R2) | t10 (%) |
|---|---|---|---|---|
| −63 + 53 | 57.8 | 0.38 | 0.9979 | 39.01 |
| 0.25 | 0.9972 | 25.17 | ||
| 0.10 | 0.9983 | 10.08 | ||
| −45 + 37.5 | 41.1 | 1.01 | 0.9979 | 52.86 |
| 0.25 | 0.9992 | 21.38 | ||
| 0.10 | 0.9987 | 11.80 | ||
| −31.5 + 26.5 | 28.9 | 2.50 | 0.9986 | 73.34 |
| 1.03 | 0.9976 | 63.54 | ||
| 0.25 | 0.9968 | 24.93 | ||
| −22.4 + 19 | 20.6 | 2.51 | 0.9982 | 78.96 |
| 1.00 | 0.9978 | 63.00 | ||
| 0.25 | 0.9993 | 28.09 | ||
| −16 + 13.2 | 14.5 | 2.50 | 0.9986 | 72.99 |
| 1.00 | 0.9979 | 60.21 | ||
| 0.25 | 0.9934 | 30.02 |
| A | b | A × b | Fitting Coefficient (R2) | Impact Crushing Resistance Level |
|---|---|---|---|---|
| 76.5986 | 1.5858 | 121.47 | 0.979 | Soft |
| Test Group | 1 | 2 | 3 | 4 | 5 |
|---|---|---|---|---|---|
| Mass of Ore Sample (g) | 678.51 | 685.02 | 683.51 | 684.53 | 684.52 |
| Mass of Drop Hammer (kg) | 14.0990 | 14.0990 | 49.9925 | 49.9925 | 49.9925 |
| Height of Drop Weight (cm) | 222.0 | 447.0 | 261.0 | 630.0 | 882.0 |
| Residual Height (cm) | 7.75 | 4.40 | 3.60 | 1.20 | 1.15 |
| Final Height (cm) | 214.25 | 442.60 | 257.40 | 628.80 | 880.85 |
| Ecs (kWh/t) | 0.2421 | 0.4951 | 1.0232 | 2.4960 | 3.4939 |
| Sieve Size (mm) | 2.0 | ||||
| Mass on Sieve (g) | 452.04 | 365.58 | 294.12 | 185.78 | 173.55 |
| Mass under Sieve (g) | 226.15 | 319.40 | 389.37 | 498.70 | 510.95 |
| Total Mass (g) | 678.19 | 684.98 | 683.49 | 684.48 | 684.50 |
| Sieve Loss (%) | 0.046 | 0.003 | 0.001 | 0.003 | 0.000 |
| t10 (%) | 33.33 | 46.63 | 56.97 | 72.86 | 74.65 |
| A | b | A × b | Fitting Coefficient (R2) | Impact Crushing Resistance Level |
|---|---|---|---|---|
| 72.19 | 2.07 | 149.43 | 0.93 | Very Soft |
| Sample | A | b | A × b | Impact Crushing Resistance Level | Mohs Hardness | Relative Density | The Limit Value of t10 |
|---|---|---|---|---|---|---|---|
| Quartz | 67.34 | 0.83 | 56.12 | Medium Soft | 7.0 | 2.64 | 67.34 |
| Pyrrhotite | 76.60 | 1.59 | 121.47 | Soft | 4.0 | 4.6 | 76.6 |
| Pyrite | 72.19 | 2.07 | 149.43 | Very Soft | 6.3 | 5.2 | 72.19 |
Disclaimer/Publisher’s Note: The statements, opinions and data contained in all publications are solely those of the individual author(s) and contributor(s) and not of MDPI and/or the editor(s). MDPI and/or the editor(s) disclaim responsibility for any injury to people or property resulting from any ideas, methods, instructions or products referred to in the content. |
© 2023 by the authors. Licensee MDPI, Basel, Switzerland. This article is an open access article distributed under the terms and conditions of the Creative Commons Attribution (CC BY) license (https://creativecommons.org/licenses/by/4.0/).
Share and Cite
Ma, S.; Li, H.; Yang, X.; Xu, W.; Deng, X.; Yang, J. Study on Impact Crushing Characteristics of Minerals Based on Drop Weight Tests. Minerals 2023, 13, 632. https://doi.org/10.3390/min13050632
Ma S, Li H, Yang X, Xu W, Deng X, Yang J. Study on Impact Crushing Characteristics of Minerals Based on Drop Weight Tests. Minerals. 2023; 13(5):632. https://doi.org/10.3390/min13050632
Chicago/Turabian StyleMa, Shaojian, Hengjun Li, Xiaojing Yang, Wenzhe Xu, Xingjian Deng, and Jinlin Yang. 2023. "Study on Impact Crushing Characteristics of Minerals Based on Drop Weight Tests" Minerals 13, no. 5: 632. https://doi.org/10.3390/min13050632
APA StyleMa, S., Li, H., Yang, X., Xu, W., Deng, X., & Yang, J. (2023). Study on Impact Crushing Characteristics of Minerals Based on Drop Weight Tests. Minerals, 13(5), 632. https://doi.org/10.3390/min13050632
