Sign in to use this feature.

Years

Between: -

Subjects

remove_circle_outline
remove_circle_outline
remove_circle_outline
remove_circle_outline
remove_circle_outline
remove_circle_outline
remove_circle_outline
remove_circle_outline
remove_circle_outline

Journals

remove_circle_outline
remove_circle_outline
remove_circle_outline
remove_circle_outline
remove_circle_outline
remove_circle_outline
remove_circle_outline
remove_circle_outline
remove_circle_outline

Article Types

Countries / Regions

remove_circle_outline
remove_circle_outline
remove_circle_outline

Search Results (213)

Search Parameters:
Keywords = Socrates

Order results
Result details
Results per page
Select all
Export citation of selected articles as:
24 pages, 2324 KB  
Article
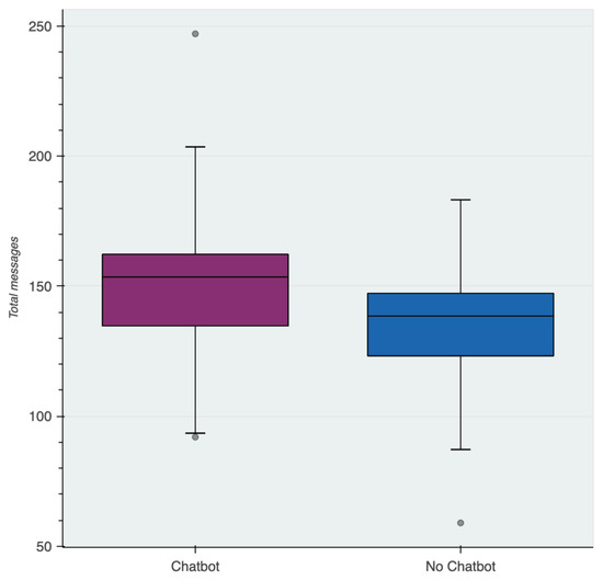
The Impact of a Hidden AI-Based Chatbot on the Quality of Collaborative Problem Solving in a School Context
by Leonarda Pušić, Tomislav Jagušt, Marko Horvat and Bartol Boras
Electronics 2026, 15(5), 956; https://doi.org/10.3390/electronics15050956 - 26 Feb 2026
Viewed by 309
Abstract
The increasing use of digital devices by young learners often results in passive content consumption rather than active skill development. This exploratory study examines whether a peer-like Artificial Intelligence (AI) agent can improve the quality of computer-supported collaborative learning. The aim was to [...] Read more.
The increasing use of digital devices by young learners often results in passive content consumption rather than active skill development. This exploratory study examines whether a peer-like Artificial Intelligence (AI) agent can improve the quality of computer-supported collaborative learning. The aim was to assess the impact of a hidden AI-based chatbot on the dynamics and outcomes of group problem-solving in a school setting. A gamified application was developed in which student groups collaborated on challenging tasks. In a controlled experiment, some groups included a hidden AI-based chatbot acting as a peer, programmed to provide Socratic prompts and motivational scaffolding without giving direct answers, while control groups consisted only of human participants. Quantitative and qualitative data, including time to solution, answer correctness, and chat logs, were collected to compare performance and interaction patterns between the two conditions. Given the limited sample size and primarily descriptive analyses, the findings should be interpreted as preliminary. The results suggest differences in collaborative dynamics and problem-solving efficiency between groups assisted by the AI agent and the unassisted control groups. The findings suggest that integrating a hidden, peer-like pedagogical agent may represent a promising approach for supporting collaborative learning processes, enhancing group engagement by subtly guiding discussion without disrupting the natural peer-to-peer dynamic. These results highlight the potential of hidden AI to enhance collaborative learning environments through non-intrusive support. Further research with larger samples is needed to validate these initial observations. Full article
(This article belongs to the Special Issue Techniques and Applications in Prompt Engineering and Generative AI)
Show Figures

Figure 1

19 pages, 305 KB  
Article
Meaning as Uncertain and Unsayable: Negotiations of a Poetics of Faithful Incredulity
by B. Keith Putt
Religions 2026, 17(2), 203; https://doi.org/10.3390/rel17020203 - 7 Feb 2026
Viewed by 387
Abstract
In her excellent volume Open Socrates: The Case for a Philosophical Life, Agnes Callard juxtaposes Socrates’s conclusion that the meaningfulness of life is a function of consistent critical inquiry into existence with Leo Tolstoy’s contrary insistence that existential meaning ensues from living [...] Read more.
In her excellent volume Open Socrates: The Case for a Philosophical Life, Agnes Callard juxtaposes Socrates’s conclusion that the meaningfulness of life is a function of consistent critical inquiry into existence with Leo Tolstoy’s contrary insistence that existential meaning ensues from living life without constant interruptions of self-reflection. These two perspectives functionally identify the tension between whether individuals may linguistically express opinions on truth and meaning or must negotiate in some manner with an inescapable silence regarding how best to comprehend and communicate discrete interpretations of the significance and veracity of lived experience. This present article investigates that tension and how it depends on the poetic and apophatic characteristics of language to both Say and Unsay how meaning and truth may be conceived. Salient positions from Ludwig Wittgenstein and William Franke provide introductory material to set the context for a closer examination of the complementary hermeneutics of the French philosopher Paul Ricoeur and the American poet Wallace Stevens. Both thinkers concur that properly analyzing meaning and truth requires a reliance on the creative imagination with its privileging of poetic language and its dependence on the humility of an incredulous faith in approximating an operative asymptotic approach to existential meaning. Full article
16 pages, 342 KB  
Article
Fostering Student Engagement and Learning Perception Through Socratic Dialogue with ChatGPT: A Case Study in Physics Education
by Ayax Santos-Guevara, Osvaldo Aquines-Gutiérrez, Humberto Martínez-Huerta, Wendy Xiomara Chavarría-Garza and José Antonio Azuela
Educ. Sci. 2026, 16(2), 184; https://doi.org/10.3390/educsci16020184 - 24 Jan 2026
Viewed by 696
Abstract
This classroom-based case study examines how an AI-mediated Socratic dialogue, implemented through ChatGPT, can support students’ engagement and perceived learning in undergraduate thermodynamics. Conducted in a first-year engineering physics course at a private university in northern Mexico, the activity invited small student groups [...] Read more.
This classroom-based case study examines how an AI-mediated Socratic dialogue, implemented through ChatGPT, can support students’ engagement and perceived learning in undergraduate thermodynamics. Conducted in a first-year engineering physics course at a private university in northern Mexico, the activity invited small student groups to interact with structured prompts designed to promote inquiry, collaboration, and reflective reasoning about the adiabatic process. Rather than functioning as a source of answers, ChatGPT was intentionally positioned as a mediating scaffold for Socratic questioning, prompting students to articulate, examine, and refine their reasoning. A mixed-methods approach was employed, combining a 10-item Likert-scale survey with construct-level statistical analysis of two focal dimensions: perception of learning and engagement, including an exploratory comparison by gender. Results indicated consistently high levels of perceived learning and engagement across the cohort, with average scores above 4.5 out of 5. At the construct level, no statistically significant gender differences were observed, although a single item revealed higher perceived learning among female students. Overall, the findings suggest that the educational value of ChatGPT in this context emerged from its integration within a Socratic, inquiry-oriented pedagogical design, rather than from the technology alone. These results contribute to ongoing discussions on the responsible and pedagogically grounded integration of generative AI in physics education and align with Sustainable Development Goal 4 (Quality Education). Full article
Show Figures

Figure 1

20 pages, 294 KB  
Article
Dialogical AI for Cognitive Bias Mitigation in Medical Diagnosis
by Leonardo Guiducci, Claudia Saulle, Giovanna Maria Dimitri, Benedetta Valli, Simona Alpini, Cristiana Tenti and Antonio Rizzo
Appl. Sci. 2026, 16(2), 710; https://doi.org/10.3390/app16020710 - 9 Jan 2026
Viewed by 645
Abstract
Large Language Models (LLMs) promise to enhance clinical decision-making, yet empirical studies reveal a paradox: physician performance with LLM assistance shows minimal improvement or even deterioration. This failure stems from an “acquiescence problem”: current LLMs passively confirm rather than challenge clinicians’ hypotheses, reinforcing [...] Read more.
Large Language Models (LLMs) promise to enhance clinical decision-making, yet empirical studies reveal a paradox: physician performance with LLM assistance shows minimal improvement or even deterioration. This failure stems from an “acquiescence problem”: current LLMs passively confirm rather than challenge clinicians’ hypotheses, reinforcing cognitive biases such as anchoring and premature closure. To address these limitations, we propose a Dialogic Reasoning Framework that operationalizes Dialogical AI principles through a prototype implementation named “Diagnostic Dialogue” (DiDi). This framework operationalizes LLMs into three user-controlled roles: the Framework Coach (guiding structured reasoning), the Socratic Guide (asking probing questions), and the Red Team Partner (presenting evidence-based alternatives). Built upon Retrieval-Augmented Generation (RAG) architecture for factual grounding and traceability, this framework transforms LLMs from passive information providers into active reasoning partners that systematically mitigate cognitive bias. We evaluate the feasibility and qualitative impact of this framework through a pilot study (DiDi) deployed at Centro Chirurgico Toscano (CCT). Through purposive sampling of complex clinical scenarios, we present comparative case studies illustrating how the dialogic approach generates necessary cognitive friction to overcome acquiescence observed in standard LLM interactions. While rigorous clinical validation through randomized controlled trials remains necessary, this work establishes a methodological foundation for designing LLM-based clinical decision support systems that genuinely augment human clinical reasoning. Full article
(This article belongs to the Section Computing and Artificial Intelligence)
15 pages, 497 KB  
Article
Learning Analytics with Scalable Bloom’s Taxonomy Labeling of Socratic Chatbot Dialogues
by Kok Wai Lee, Yee Sin Ang and Joel Weijia Lai
Computers 2025, 14(12), 555; https://doi.org/10.3390/computers14120555 - 15 Dec 2025
Viewed by 762
Abstract
Educational chatbots are increasingly deployed to scaffold student learning, yet educators lack scalable ways to assess the cognitive depth of these dialogues in situ. Bloom’s taxonomy provides a principled lens for characterizing reasoning, but manual tagging of conversational turns is costly and difficult [...] Read more.
Educational chatbots are increasingly deployed to scaffold student learning, yet educators lack scalable ways to assess the cognitive depth of these dialogues in situ. Bloom’s taxonomy provides a principled lens for characterizing reasoning, but manual tagging of conversational turns is costly and difficult to scale for learning analytics. We present a reproducible high-confidence pseudo-labeling pipeline for multi-label Bloom classification of Socratic student–chatbot exchanges. The dataset comprises 6716 utterances collected from conversations between a Socratic chatbot and 34 undergraduate statistics students at Nanyang Technological University. From three chronologically selected workbooks with expert Bloom annotations, we trained and compared two labeling tracks: (i) a calibrated classical approach using SentenceTransformer (all-MiniLM-L6-v2) embeddings with one-vs-rest Logistic Regression, Linear SVM, XGBoost, and MLP, followed by per-class precision–recall threshold tuning; and (ii) a lightweight LLM track using GPT-4o-mini after supervised fine-tuning. Class-specific thresholds tuned on 5-fold cross-validation were then applied in a single pass to assign high-confidence pseudo-labels to the remaining unlabeled exchanges, avoiding feedback-loop confirmation bias. Fine-tuned GPT-4o-mini achieved the highest prevalence-weighted performance (micro-F1 =0.814), whereas calibrated classical models yielded stronger balance across Bloom levels (best macro-F1 =0.630 with Linear SVM; best classical micro-F1 =0.759 with Logistic Regression). Both model families reflect the corpus skew toward lower-order cognition, with LLMs excelling on common patterns and linear models better preserving rarer higher-order labels, while results should be interpreted as a proof-of-concept given limited gold labeling, the approach substantially reduces annotation burden and provides a practical pathway for Bloom-aware learning analytics and future real-time adaptive chatbot support. Full article
(This article belongs to the Special Issue Recent Advances in Computer-Assisted Learning (2nd Edition))
Show Figures

Figure 1

22 pages, 1857 KB  
Article
Human–AI Learning: Architecture of a Human–AgenticAI Learning System
by Peter Williams
Information 2025, 16(12), 1101; https://doi.org/10.3390/info16121101 - 12 Dec 2025
Viewed by 1248
Abstract
The Ancient Greeks foresaw non-human automata and the power of dialogic learning, but Generative AI and AgenticAI afford the prospect of going beyond interlocutor to co-creator in an empowering partnership between learner and AI agent to address ‘whole person’ education. This exploratory study [...] Read more.
The Ancient Greeks foresaw non-human automata and the power of dialogic learning, but Generative AI and AgenticAI afford the prospect of going beyond interlocutor to co-creator in an empowering partnership between learner and AI agent to address ‘whole person’ education. This exploratory study reviews existing conceptual models and implementations of learning with AI before proposing the novel and original architecture of a human–AgenticAI learning system. In this, the learner and human tutor are each supported by AI assistants, and an AI tutor coordinates the generation, presentation and assessment of adaptive learning activities requiring the partnership of learner and AI assistant in the co-creation of learning outcomes. The proposed model is significant for incorporating 21st-century skills in a diversity of realistic learning environments. It tracks a formative assessment pathway of the learner’s contribution to co-created outcomes through to the compilation of a summative achievement portfolio for external warranting. Although focused upon learning in universities, the model is transferable to other educational milieux. Full article
(This article belongs to the Special Issue Feature Papers in Information in 2024–2025)
Show Figures

Graphical abstract

18 pages, 5230 KB  
Article
Assessing the Readiness for 15-Minute Cities: Spatial Analysis of Accessibility and Urban Sprawl in Limassol, Cyprus
by Paraskevas Nikolaou, Socrates Basbas and Byron Ioannou
Urban Sci. 2025, 9(12), 509; https://doi.org/10.3390/urbansci9120509 - 1 Dec 2025
Viewed by 934
Abstract
This study evaluates Limassol’s readiness to adopt the 15-minute city model through a spatial accessibility and urban-form analysis. Using openly available geo-referenced Points of Interest (POIs), road network data, land-use records, and census information, we generated 15-minute walking and cycling isochrones for eight [...] Read more.
This study evaluates Limassol’s readiness to adopt the 15-minute city model through a spatial accessibility and urban-form analysis. Using openly available geo-referenced Points of Interest (POIs), road network data, land-use records, and census information, we generated 15-minute walking and cycling isochrones for eight essential urban functions: Education, Food, Green Areas, Health, Services, Shopping, Tourism, and Transport. Residential coverage within each isochrone was calculated to assess accessibility equity across the city. Urban sprawl was quantified using size, density, and fragmentation metrics derived from historical planning zones. Results show that while cycling accessibility is high for most categories (85–95% of residential areas), walking accessibility is considerably lower and unevenly distributed, with several critical functions, particularly Green Areas, Education, and Transport, serving less than half of the residential zones. The analysis also reveals increasing spatial fragmentation and outward population shifts consistent with low-density sprawl, driven by planning policies and development pressures. These findings indicate that Limassol is only partially aligned with the principles of the 15-minute city, with significant gaps in walkable access and decentralized service provision. The study concludes that targeted planning reforms, improved active-mobility infrastructure, and polycentric redistribution of amenities are necessary for enhancing accessibility equity and advancing the city’s transition toward a more sustainable and human-scaled urban model. Full article
Show Figures

Figure 1

14 pages, 2586 KB  
Article
Detection of Lymphocytic Choriomeningitis Virus in House Mouse (Mus musculus) in Brazil
by Gabriel Rosa Cavalcanti, Jorlan Fernandes, Fernando de Oliveira Santos, Bernardo Rodrigues Teixeira, Alexandro Guterres, Julia Brignone, Silvana Levis, Camila dos Santos Lucio, Sócrates Fraga da Costa-Neto, Vagner Fonseca, Marta Giovanetti, Luiz Carlos Junior Alcantara, Paulo Sérgio D’Andrea, Elba Regina Sampaio de Lemos and Renata Carvalho de Oliveira
Viruses 2025, 17(12), 1544; https://doi.org/10.3390/v17121544 - 26 Nov 2025
Viewed by 769
Abstract
The lymphocytic choriomeningitis virus (LCMV) is an under-investigated rodent-borne arenavirus primarily associated with its natural reservoir, the cosmopolitan rodent Mus musculus. Although widely distributed in mice worldwide, human cases are rare, likely under-reported, and often misdiagnosed. While typically asymptomatic or self-limiting, infection [...] Read more.
The lymphocytic choriomeningitis virus (LCMV) is an under-investigated rodent-borne arenavirus primarily associated with its natural reservoir, the cosmopolitan rodent Mus musculus. Although widely distributed in mice worldwide, human cases are rare, likely under-reported, and often misdiagnosed. While typically asymptomatic or self-limiting, infection can progress to neurological disease, severe congenital outcomes, or fatal illness in transplant recipients. Despite its public health relevance, this study provides the first detection and characterization of LCMV in Brazil. We analyzed 236 rodent serum samples and 78 tissue samples from synanthropic rodents (Mus musculus, Rattus rattus, and Rattus norvegicus) collected during seven independent expeditions across the state of Rio de Janeiro, Southeastern Brazil. Using ELISAs, IgG anti-LCMV antibodies were detected in 20% of rodents, including two R. rattus (2/10), two R. norvegicus (2/95), and forty-five M. musculus (45/131). The LCMV’s RNA was amplified and partially sequenced from fourteen M. musculus, and complete S segment sequences were obtained from two mouse samples. Phylogenetic analyses revealed that these Brazilian strains belong to lineage I, which is composed of strains that induce disease in humans. Our results underscore the importance of implementing integrated surveillance for this zoonosis in Brazil. Full article
(This article belongs to the Special Issue Rodent-Borne Viruses 2026)
Show Figures

Figure 1

30 pages, 768 KB  
Review
Minimal Residual Disease in Breast Cancer: Tumour Microenvironment Interactions, Detection Methods and Therapeutic Approaches
by Nigel P. Murray and Socrates Aedo
Int. J. Mol. Sci. 2025, 26(23), 11346; https://doi.org/10.3390/ijms262311346 - 24 Nov 2025
Cited by 1 | Viewed by 1233
Abstract
Breast cancer is the most common cancer in women, depending on the sub-type of breast cancer treatment options are different. After completing adjuvant therapy, there are patients who may relapse even many years later. This review examines minimal residual disease, defined as small, [...] Read more.
Breast cancer is the most common cancer in women, depending on the sub-type of breast cancer treatment options are different. After completing adjuvant therapy, there are patients who may relapse even many years later. This review examines minimal residual disease, defined as small, microscopic foci of cancer cells that have survived curative treatment, have disseminated to distant tissues, and implanted there. However, the cancer cells do not exist alone but are a small part of the tumour microenvironment, described as an ecosystem. This includes stromal cells, immunosuppressive regulatory T-cells, myeloid derived suppression cells, cancer associated fibroblasts, tumour associated macrophages. The balance of the immunosuppressive tumour microenvironment and the anti-tumour immune response will determine if there is a future relapse. The interactions between the cancer cells and the tumour microenvironment are dynamic and change with time. Most therapeutic options involve therapies directed against tumour cells, only in the last few years has there been attention on the dynamic effects of the tumour microenvironment and the cancer cells on disease progression and the possibility of decreasing the risk of metastatic disease. This article reviews the latest development in preventing metastatic disease by influencing the tumour microenvironment; at best eliminating cancer cells or at least prolonging the latent period of cancer cell dormancy. Full article
(This article belongs to the Special Issue Molecular and Cellular Aspects of Breast Cancer Metastasis)
Show Figures

Figure 1

33 pages, 6592 KB  
Article
How Signal Phasing Shapes University Students’ Crossing Decisions and Confidence
by Efstathios Bouhouras, Grigorios Fountas, Socrates Basbas, Panagiotis Giapitzoglou, Stefanos Tsouggaris, Georgios Zois and Erlind Gishti
Safety 2025, 11(4), 106; https://doi.org/10.3390/safety11040106 - 5 Nov 2025
Viewed by 898
Abstract
This paper presents a comparative analysis of pedestrian behavior and perceived safety among university students at two signalized intersections near the campus premises of the Aristotle University of Thessaloniki, Greece. Although both intersections include pedestrian crosswalks and traffic lights, one permits vehicle left [...] Read more.
This paper presents a comparative analysis of pedestrian behavior and perceived safety among university students at two signalized intersections near the campus premises of the Aristotle University of Thessaloniki, Greece. Although both intersections include pedestrian crosswalks and traffic lights, one permits vehicle left turns during pedestrian phases via flashing yellow arrows, while the other restricts all vehicle movement. Two questionnaire-based surveys (n1 = 304 and n2 = 303) recorded demographic information, crossing behavior, perceived risk, and preferred safety interventions. Results indicate that the intersection permitting vehicle conflict is associated with significantly lower levels of perceived safety and higher instances of risk-taking, such as crossing “at any time”. Conversely, the vehicle-restricted intersection fosters greater compliance with pedestrian signals and a stronger sense of security. Key factors influencing crossing decisions included vehicle speed, signal duration, pedestrian group presence, and urgency. Respondents prioritized safety improvements such as pedestrian countdown timers, enhanced signage, and enforcement cameras. These findings underscore the critical role of signal phasing in shaping pedestrian behavior and safety perceptions. Evidence-based recommendations are offered to urban planners and policymakers to enhance pedestrian safety through targeted infrastructure upgrades and enforcement strategies. Full article
Show Figures

Figure 1

19 pages, 303 KB  
Article
A Particular Kind of Love: On Faith and Understanding
by Niklas Toivakainen
Religions 2025, 16(11), 1381; https://doi.org/10.3390/rel16111381 - 30 Oct 2025
Viewed by 578
Abstract
The article aims is to make the case for an essential entanglement between faith and understanding, and to show how Wittgenstein’s philosophy, like that of Socrates’, was informed and/or underpinned by such an entanglement. Centrally, the article argues that Wittgenstein’s critique of metaphysical [...] Read more.
The article aims is to make the case for an essential entanglement between faith and understanding, and to show how Wittgenstein’s philosophy, like that of Socrates’, was informed and/or underpinned by such an entanglement. Centrally, the article argues that Wittgenstein’s critique of metaphysical uses of words and the subsequent turn from explanation to description in his Philosophical Investigations have crucial affinities with Socrates’ claim, in the Apology, to “human wisdom”. The first part of the article comprises a somewhat novel reading of Plato’s Apology, while the second part focuses on Wittgenstein and on capturing the entanglement between faith and understanding shared by the two. Full article
(This article belongs to the Special Issue New Work on Wittgenstein's Philosophy of Religion)
29 pages, 7085 KB  
Article
Marine Boundary Layer Cloud Boundaries and Phase Estimation Using Airborne Radar and In Situ Measurements During the SOCRATES Campaign over Southern Ocean
by Anik Das, Baike Xi, Xiaojian Zheng and Xiquan Dong
Atmosphere 2025, 16(10), 1195; https://doi.org/10.3390/atmos16101195 - 16 Oct 2025
Viewed by 774
Abstract
The Southern Ocean Clouds, Radiation, Aerosol Transport Experimental Study (SOCRATES) was an aircraft-based campaign (15 January–26 February 2018) that deployed in situ probes and remote sensors to investigate low-level clouds over the Southern Ocean (SO). A novel methodology was developed to identify cloud [...] Read more.
The Southern Ocean Clouds, Radiation, Aerosol Transport Experimental Study (SOCRATES) was an aircraft-based campaign (15 January–26 February 2018) that deployed in situ probes and remote sensors to investigate low-level clouds over the Southern Ocean (SO). A novel methodology was developed to identify cloud boundaries and classify cloud phases in single-layer, low-level marine boundary layer (MBL) clouds below 3 km using the HIAPER Cloud Radar (HCR) and in situ measurements. The cloud base and top heights derived from HCR reflectivity, Doppler velocity, and spectrum width measurements agreed well with corresponding lidar-based and in situ estimates of cloud boundaries, with mean differences below 100 m. A liquid water content–reflectivity (LWC-Z) relationship, LWC = 0.70Z0.29, was derived to retrieve the LWC and liquid water path (LWP) from HCR profiles. The cloud phase was classified using HCR measurements, temperature, and LWP, yielding 40.6% liquid, 18.3% mixed-phase, and 5.1% ice samples, along with drizzle (29.1%), rain (3.2%), and snow (3.7%) for drizzling cloud cases. The classification algorithm demonstrates good consistency with established methods. This study provides a framework for the boundary and phase detection of MBL clouds, offering insights into SO cloud microphysics and supporting future efforts in satellite retrievals and climate model evaluation. Full article
(This article belongs to the Section Atmospheric Techniques, Instruments, and Modeling)
Show Figures

Figure 1

24 pages, 1149 KB  
Review
Shaping Architecture with Generative Artificial Intelligence: Deep Learning Models in Architectural Design Workflow
by Socrates Yiannoudes
Architecture 2025, 5(4), 94; https://doi.org/10.3390/architecture5040094 - 10 Oct 2025
Cited by 1 | Viewed by 7720
Abstract
Deep-learning generative AI promises to transform architectural design, yet its potential employment and ready-to-use capacity for professional workflows are unclear. This study presents a systematic review conducted in accordance with PRISMA 2020 guidelines, synthesizing peer-reviewed work from 2015 to 2025 to assess how [...] Read more.
Deep-learning generative AI promises to transform architectural design, yet its potential employment and ready-to-use capacity for professional workflows are unclear. This study presents a systematic review conducted in accordance with PRISMA 2020 guidelines, synthesizing peer-reviewed work from 2015 to 2025 to assess how GenAI methods align with architectural practice. A total of 1566 records were initially retrieved across databases, of which 42 studies met eligibility criteria after structured screening and selection. Each was evaluated using five indicators with a three-tier rubric: Output Representation Type, Pipeline Integration, Workflow Standardization, Tool Readiness, and Technical Skillset. Results show that most outputs are raster images or non-editable objects, with only a minority producing CAD/BIM-ready geometry. Workflow pipelines are often fragmented with manual hand-offs and most GenAI methods map only onto the early conceptual design stage. Prototypes frequently require bespoke coding and advanced expertise. These findings indicate a persistent gap between experimentation with ideation-oriented GenAI and the pragmatism of CAD/BIM-centered delivery. By framing the proposed rubric as a workflow maturity model, this review contributes a replicable benchmark for assessing practice readiness and identifying pathways toward mainstream adoption. For GenAI to move from prototypes to mainstream architectural design practice, it is essential to address not only technical barriers, but also cultural issues such as professional skepticism and reliability concerns, as well as ecosystem challenges of data sharing, authorship, and liability. Full article
(This article belongs to the Special Issue Shaping Architecture with Computation)
Show Figures

Figure 1

14 pages, 2398 KB  
Review
From Ancient Philosophy to Endosymbiotic Theory: The Bacterial Origin and Key Role of Mitochondria in Immune Responses
by Alexandra Mpakosi, Christiana Kaliouli-Antonopoulou, Vasileios Cholevas, Stamatios Cholevas, Ioannis Tzouvelekis, Maria Mironidou-Tzouveleki, Emmanuel A. Tsantes, Deny Tsakri, Marianna Vlachaki, Stella Baliou, Petros Ioannou, Rozeta Sokou, Stefanos Bonovas and Andreas G. Tsantes
Microorganisms 2025, 13(9), 2149; https://doi.org/10.3390/microorganisms13092149 - 15 Sep 2025
Viewed by 4230
Abstract
The endosymbiotic theory, which is the crucial starting point of eukaryogenesis, was first mentioned in the philosophy of the pre-Socratic Greek philosopher Empedocles. According to him, everything merges into units with differential survival. Similarly, during eukaryogenesis, the fusion of two distinct units resulted [...] Read more.
The endosymbiotic theory, which is the crucial starting point of eukaryogenesis, was first mentioned in the philosophy of the pre-Socratic Greek philosopher Empedocles. According to him, everything merges into units with differential survival. Similarly, during eukaryogenesis, the fusion of two distinct units resulted in the creation of a new cell type that possessed a newly formed organelle, the mitochondrion. Since then, the mitochondrion has been a key regulator of health and immunity. Furthermore, many of its characteristics and functions are due to its endosymbiotic bacterial origin. For example, it possesses damage-associated molecular patterns that can activate inflammatory signaling pathways, has circular DNA with CpG-rich motifs, as well as a double phospholipid membrane, and divides by fission. Mitochondrial function plays a critical role in maintaining cellular homeostasis, as they meet the cell’s energy needs and regulate many of its functions. However, after cellular damage due to infection, radiation, or toxins, mitochondrial stress and dysfunction can occur and mitochondrial DNA can be released into the cytosol. Cytosolic mitochondrial DNA can then activate proinflammatory signaling pathways, mediated by TLR9 and cGAS, as well as inflammasomes, triggering inflammation and autoimmunity. Full article
(This article belongs to the Section Molecular Microbiology and Immunology)
Show Figures

Graphical abstract

23 pages, 1259 KB  
Article
Maieutic, Natural, and Artificial Forms in Automatic Control Case Study
by Luigi Fortuna and Adriano Scibilia
Information 2025, 16(9), 761; https://doi.org/10.3390/info16090761 - 2 Sep 2025
Viewed by 982
Abstract
Maieutics is a remarkable method for discovering new insights through deep dialogue. Defined as “relating to or resembling the Socratic method of eliciting new ideas from another”, the term originates from the Greek word for “midwifery”—as noted in the Merriam-Webster Dictionary. Recently, maieutics [...] Read more.
Maieutics is a remarkable method for discovering new insights through deep dialogue. Defined as “relating to or resembling the Socratic method of eliciting new ideas from another”, the term originates from the Greek word for “midwifery”—as noted in the Merriam-Webster Dictionary. Recently, maieutics has gained renewed relevance in advanced discussions about artificial intelligence, the nature of the mind, and scientific inquiry. This contribution presents a real and extended dialogue, illustrating the power of the maieutic method in addressing key developments in the field of Automatic Control. Over the past 40 years, the authors have followed a unique intellectual path shaped by this method. Inspired by recent research, they have also applied maieutics in interaction with AI systems—particularly ChatGPT. This experiment aimed to replicate, in a condensed timeframe, the long intellectual journey taken over decades. The preliminary results suggest that although AI systems can retrieve historical information, they struggle to capture the deeper, guiding principles of this journey. The authors also identify a significant concern: while the maieutic approach with ChatGPT can serve as a valuable educational tool, it must be complemented by a strong knowledge of dynamical systems leading to innovative paradigms of learning. Full article
(This article belongs to the Special Issue Learning and Knowledge: Theoretical Issues and Applications)
Show Figures

Figure 1

Back to TopTop