Sign in to use this feature.

Years

Between: -

Subjects

remove_circle_outline
remove_circle_outline
remove_circle_outline
remove_circle_outline
remove_circle_outline
remove_circle_outline
remove_circle_outline
remove_circle_outline
remove_circle_outline

Journals

remove_circle_outline
remove_circle_outline
remove_circle_outline
remove_circle_outline
remove_circle_outline
remove_circle_outline
remove_circle_outline
remove_circle_outline
remove_circle_outline
remove_circle_outline
remove_circle_outline
remove_circle_outline
remove_circle_outline
remove_circle_outline

Article Types

Countries / Regions

remove_circle_outline
remove_circle_outline
remove_circle_outline
remove_circle_outline
remove_circle_outline
remove_circle_outline
remove_circle_outline

Search Results (617)

Search Parameters:
Keywords = FTO

Order results
Result details
Results per page
Select all
Export citation of selected articles as:
18 pages, 4293 KB  
Article
Controlling Substrate Sulfurization for Reliable Fabrication of Sulfur-Doped Carbon Nitride Photoanodes on FTO
by A. Alfaro-Barajas, D. Monllor-Satoca, Jingshan Luo and T. Lana-Villarreal
Photochem 2026, 6(1), 13; https://doi.org/10.3390/photochem6010013 - 18 Mar 2026
Abstract
The direct thermal conversion of thiourea on fluorine-doped tin oxide (FTO) substrates is widely used to fabricate sulfur-doped carbon nitride (S-CN) photoelectrodes; however, substrate-induced effects often contribute to photoelectrochemical response. Here, we show that the sulfurization of FTO during thermal treatment leads to [...] Read more.
The direct thermal conversion of thiourea on fluorine-doped tin oxide (FTO) substrates is widely used to fabricate sulfur-doped carbon nitride (S-CN) photoelectrodes; however, substrate-induced effects often contribute to photoelectrochemical response. Here, we show that the sulfurization of FTO during thermal treatment leads to the in-situ formation of a tin sulfide underlayer, mainly SnS2, which significantly contributes to the observed photoresponse. A systematic study as a function of temperature reveals that the formation of sulfur-doped carbon nitride and tin sulfide occurs within a similar temperature window, making temperature control alone insufficient to suppress substrate sulfurization. To overcome this limitation, a thin compact carbon nitride interlayer synthesized from melamine was introduced between the FTO substrate and the S-CN film. This interlayer effectively prevents tin sulfide formation and enables the growth of an adherent S-CN film. The resulting photoanodes exhibit stable photoelectrochemical performance toward water oxidation under alkaline conditions (1M KOH), with an onset potential of ~+0.4 V vs. RHE and stable photocurrents up to 40 μA·cm−2 under AM 1.5G illumination. Electrochemical impedance spectroscopy confirms that the compact carbon nitride interlayer also acts as an effective charge-blocking barrier. This work provides a reliable strategy to avoid substrate-induced artifacts and establishes clear design guidelines to prepare truly sulfur-doped carbon nitride photoelectrodes. Full article
Show Figures

Figure 1

15 pages, 5982 KB  
Article
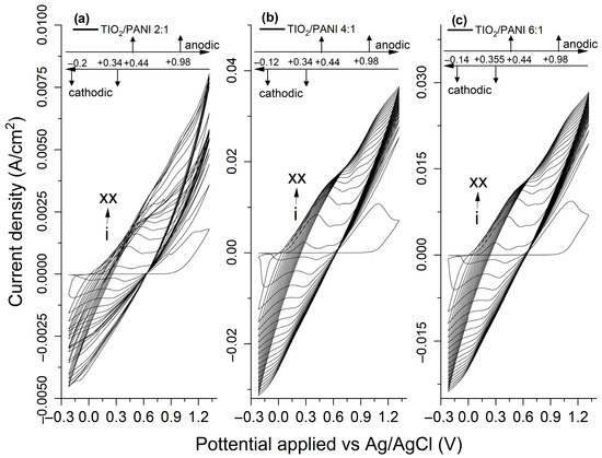
Cyclic Voltammetry-Assisted Electrodeposition of TiO2/PANI Thin Films on Boron-Doped Diamond and Fluorine-Doped Tin Oxide: Effect of Composition on Interfacial and Electrochemical Properties
by Robert Josep Villanueva-Silva, Ulises Páramo-García, Ricardo García-Alamilla, Luis Alejandro Macclesh del Pino-Pérez and Joel Moreno-Palmerin
Surfaces 2026, 9(1), 29; https://doi.org/10.3390/surfaces9010029 - 17 Mar 2026
Abstract
This study presents the successful electrodeposition of polyaniline (PANI) and TiO2/PANI composites on boron-doped diamond (BDD) and fluorine-doped tin oxide (FTO) substrates via cyclic voltammetry. Using 20 scan cycles in 0.5 M H2SO4, we synthesized thin films [...] Read more.
This study presents the successful electrodeposition of polyaniline (PANI) and TiO2/PANI composites on boron-doped diamond (BDD) and fluorine-doped tin oxide (FTO) substrates via cyclic voltammetry. Using 20 scan cycles in 0.5 M H2SO4, we synthesized thin films with tailored electrochemical properties. The formation of PANI was confirmed by characteristic redox peaks in the voltammograms, while FTIR spectroscopy identified key functional groups and bonding interactions between TiO2 and PANI. Morphological analysis via optical and scanning electron microscopy revealed uniform but cracked surfaces influenced by TiO2 loading. Composite electrodes with molar ratios of 2:1, 4:1, and 6:1 (TiO2:PANI) were compared, showing increased titanium content with higher ratios, as confirmed by EDS. This work offers a reproducible route for designing modified electrodes with enhanced interfacial properties. Full article
Show Figures

Graphical abstract

14 pages, 1570 KB  
Article
Lifestyle Intervention Therapy Modulates Global DNA Methylation and Adipogenic Gene Expression in Severely Obese Hypogonadal Men
by Siresha Bathina, Virginia Fuenmayor Lopez, Mia Prado, Salina Biene Teo, Dennis T. Villareal, Rui Chen, Clifford Qualls and Reina Armamento-Villareal
Metabolites 2026, 16(3), 198; https://doi.org/10.3390/metabo16030198 - 16 Mar 2026
Abstract
Background/Objectives: Previous studies have suggested that lifestyle intervention (LSI) therapies involving diet and exercise can modulate DNA methylation; however, whether this occurs in severely obese hypogonadal men undergoing weight loss from diet and exercise remains unclear. Methods: In this study, we investigated the [...] Read more.
Background/Objectives: Previous studies have suggested that lifestyle intervention (LSI) therapies involving diet and exercise can modulate DNA methylation; however, whether this occurs in severely obese hypogonadal men undergoing weight loss from diet and exercise remains unclear. Methods: In this study, we investigated the effects of weight loss from diet and exercise on global DNA methylation as well as on the mRNA expression of specific demethylation enzymes, DNMT1, DNMT3A, and DNMT3B—in peripheral blood mononuclear cells (PBMCs) and DNA methylation markers in DNA of severely obese hypogonadal men. This is a secondary analysis of samples of severely obese (body mass index of ≥35 kg/m2) hypogonadal men undergoing weight loss from diet and exercise in addition to an aromatase inhibitor (anastrozole) or placebo for a total of 12 months. Results: LSI therapy significantly reduced global DNA methylation and 5-methylcytosine (5-mC) levels, decreased DNMT1, DNMT3A, and DNMT3B (p < 0.05) mRNA levels and markedly decreased CEBPα, FTO, and PPARγ mRNA expression. The reduction in global methylation was independent of aromatase inhibitor use. Conclusions: In summary, our findings suggest that LSI induces epigenetic modifications in leukocytes, possibly through the regulation of DNMT gene expression. Future studies are warranted to clarify the mechanistic pathways linking lifestyle-induced epigenetic alterations to metabolic health outcomes. Full article
(This article belongs to the Special Issue Interactions Between Exercise Physiology and Metabolism)
Show Figures

Figure 1

25 pages, 4710 KB  
Article
Oxygen-Vacancy-Induced Electronic Structure Modulation in ZnTiO3 Perovskite: A Combined DFT and SCAPS-1D Study Toward Photovoltaic Applications
by Angel Tenezaca and Ximena Jaramillo-Fierro
Int. J. Mol. Sci. 2026, 27(6), 2668; https://doi.org/10.3390/ijms27062668 - 14 Mar 2026
Abstract
Zinc titanate (ZnTiO3) is a chemically stable and non-toxic oxide perovskite whose photovoltaic potential remains largely unexplored due to its wide indirect bandgap. This study evaluates whether oxygen-vacancy (F-center) engineering can tailor its electronic structure and improve its suitability as a [...] Read more.
Zinc titanate (ZnTiO3) is a chemically stable and non-toxic oxide perovskite whose photovoltaic potential remains largely unexplored due to its wide indirect bandgap. This study evaluates whether oxygen-vacancy (F-center) engineering can tailor its electronic structure and improve its suitability as a photovoltaic absorber. Density Functional Theory (DFT) calculations using VASP (PAW − GGA/PBE + U) were performed to evaluate structural stability, electronic properties, and electron affinity, while optical absorption was modeled through a combined Tauc–Gaussian approach. Device performance was assessed via SCAPS-1D simulations in an FTO/ZnO/ZnTiO3/Spiro-OMeTAD architecture. Oxygen vacancies induce bandgap narrowing from ~2.96 eV to ~1.47 eV and generate Ti-3d-dominated donor-like and deep intragap states. The calculated electron affinity is ~3.77 eV. Simulated single-layer devices reach Voc ≈ 1.11 V, Jsc ≈ 8.27 mA·cm−2, FF ≈ 83%, and a maximum efficiency of ~7.65%, primarily limited by moderate absorption strength and defect-assisted recombination. Multilayer configurations indicate that geometric optimization can significantly enhance projected efficiency, approaching 19.25% under idealized conditions. Although vacancy engineering extends visible-light absorption, the intrinsic indirect band-gap character constrains the ultimate photovoltaic performance of ZnTiO3. Full article
Show Figures

Figure 1

15 pages, 14619 KB  
Article
Targeting the FTO-ACSL4 Pathway: A Novel Mechanism for Sanguinarine Chloride-Induced Ferroptosis in Endometrial Cancer
by Wenyan Li, Shanhui Liu, Ke Wang, Jianzhong Lu, Shengjun Fu, Lanlan Li and Yan Tao
Biomedicines 2026, 14(3), 608; https://doi.org/10.3390/biomedicines14030608 - 9 Mar 2026
Viewed by 159
Abstract
Objective: Endometrial cancer (EC) remains a significant clinical challenge, particularly for patients with advanced or recurrent disease. This study aims to investigate the effects of Sanguinarine Chloride (S.C), a natural benzophenanthridine alkaloid with broad anti-tumor properties, on EC cell growth and invasion, and [...] Read more.
Objective: Endometrial cancer (EC) remains a significant clinical challenge, particularly for patients with advanced or recurrent disease. This study aims to investigate the effects of Sanguinarine Chloride (S.C), a natural benzophenanthridine alkaloid with broad anti-tumor properties, on EC cell growth and invasion, and to elucidate its underlying molecular mechanisms. Methods: S.C’s effects on EC cell viability, proliferation, invasion, and apoptosis were evaluated using CCK-8, EdU, colony formation, 3D matrigel drop assay, FACS and Western blotting (WB). To evaluate its effects on ferroptosis, malondialdehyde (MDA) assay kits, DCFH-DA and the C11 BODIPY581/591 probe, were employed. The molecular mechanisms through which S.C regulates FTO-ACSL4 axis were investigated using plasmid transfection and WB. Additionally, a mouse xenograft model derived from EC cells was established to evaluate the in vivo effects of S.C and its molecular mechanisms, utilizing hematoxylin and eosin (H&E) staining, immunohistochemistry (IHC) and WB. Results: S.C significantly inhibited EC cell growth and invasion. It induced cell death primarily through ferroptosis, as inhibitors (Ferrostatin-1, Deferoxamine) reversed this effect. S.C downregulated the RNA demethylase FTO, leading to increased ACSL4 expression, enhanced lipid peroxidation, suppression of the NRF2-GPX4 axis, and activated NCOA4-mediated ferritinophagy. Knocking down or pharmacologically inhibiting ACSL4 reduced S.C-induced ferroptosis. Furthermore, in a murine xenograft model, S.C significantly suppressed tumor growth, which was associated with consistent alterations in these ferroptosis-related markers in vivo. Conclusions: Our findings reveal that S.C triggers ferroptosis in EC via the novel FTO-ACSL4 axis, highlighting its potential as a therapeutic agent and identifying the FTO-ACSL4 pathway as a promising target for endometrial cancer treatment. Full article
Show Figures

Graphical abstract

17 pages, 940 KB  
Article
Integrated Transcriptomics Reveals a SHEV ORF3-Mediated circRNA Network That Disrupts Riboflavin Metabolism and Activates the ko05212 Pathway
by Weihao Luo, Jiya Li, Shengping Wu, Lingjie Wang, Yulong Yin, Xin Cao, Leli Wang and Hanwei Jiao
Vet. Sci. 2026, 13(3), 253; https://doi.org/10.3390/vetsci13030253 - 9 Mar 2026
Viewed by 124
Abstract
The Swine hepatitis E virus (SHEV) ORF3 protein is pivotal in pathogenesis, yet its regulation of host metabolic homeostasis via endogenous RNA networks remains unclear. This study aimed to elucidate how the SHEV ORF3-mediated circRNA-miRNA network modulates riboflavin metabolism and triggers the aberrant [...] Read more.
The Swine hepatitis E virus (SHEV) ORF3 protein is pivotal in pathogenesis, yet its regulation of host metabolic homeostasis via endogenous RNA networks remains unclear. This study aimed to elucidate how the SHEV ORF3-mediated circRNA-miRNA network modulates riboflavin metabolism and triggers the aberrant activation of the ko05212 pathway, while also evaluating their physical interactions using AlphaFold 3 structural simulations. To achieve this, high-throughput RNA sequencing, KEGG pathway analysis, and AlphaFold 3 structural simulations were employed to elucidate the circRNA-miRNA-mRNA regulatory network and potential physical interactions. Transcriptomics revealed a “dual activation” of Riboflavin metabolism and Pancreatic cancer pathways. Specifically, we identified an “ENPP Isozyme Switch,” where upregulated hsa_circ_0077855 sponges miR-181a-2-3p, relieving repression of the metabolic enzyme ENPP3 and proto-oncogene KRAS. Furthermore, AlphaFold 3 simulations yielded an extremely low interface predicted Template Modeling score (ipTM = 0.08), refuting direct physical binding, and ORF3 was found to suppress the m6A eraser FTO, suggesting host epigenetic instability. Consequently, SHEV ORF3 induces metabolic remodeling through a dual “epigenetic-post-transcriptional” mechanism: disrupting m6A homeostasis via FTO suppression and constructing a pathogenic ceRNA network via the ENPP3/miR-181a/KRAS axis. These findings highlight the critical role of non-coding RNAs in driving the virus-induced “pre-pathological state”. Full article
Show Figures

Figure 1

13 pages, 1849 KB  
Article
Emission Ellipsometry and Photophysical Pathways in Electropolymerized P3DDT Thin Films
by Everton Crestani Rambo, Ana Clarissa Kolbow, Sankler Soares de Sá, Romildo Jerônimo Ramos, Alexandre Marletta and Eralci Moreira Therézio
Physchem 2026, 6(1), 16; https://doi.org/10.3390/physchem6010016 - 4 Mar 2026
Viewed by 209
Abstract
In this work, poly(3-dodecylthiophene) (P3DDT) thin films were electrochemically synthesized onto fluorine-doped tin oxide (FTO) substrates via cyclic voltammetry using tetraethylammonium tetrafluoroborate (Et4NBF4) as the supporting electrolyte. Optical analyses were performed using ultraviolet–visible absorption spectroscopy (UV-Vis), photoluminescence spectroscopy (PL), [...] Read more.
In this work, poly(3-dodecylthiophene) (P3DDT) thin films were electrochemically synthesized onto fluorine-doped tin oxide (FTO) substrates via cyclic voltammetry using tetraethylammonium tetrafluoroborate (Et4NBF4) as the supporting electrolyte. Optical analyses were performed using ultraviolet–visible absorption spectroscopy (UV-Vis), photoluminescence spectroscopy (PL), emission ellipsometry (EE) and Raman spectroscopy. The results revealed the formation of distinct structures during the electropolymerization process, which significantly affected the optical behavior observed in the UV–Vis and PL spectra. Furthermore, the EE measurements provided insights into the impact of these structures on the polarization states of emitted and transmitted light on energy and charge transfer mechanisms and on the photophysical behavior of P3DDT. Variations in the degree of polarization (P), anisotropy factor (r), and asymmetry factor (g) were analyzed as a function of the emission wavelength. The results confirm the potential of P3DDT as an active layer in electroluminescent devices, as the emissive material used in the active layer consisted exclusively of this polymer. Full article
Show Figures

Graphical abstract

21 pages, 2306 KB  
Article
Optimization of Organic Photodetector Performance Using SCAPS 1D Simulation: Enhanced Quantum Efficiency and Responsivity for UV Detection
by Ahmet Sait Alali and Fedai Inanir
Nanomaterials 2026, 16(5), 324; https://doi.org/10.3390/nano16050324 - 4 Mar 2026
Viewed by 308
Abstract
This study presents a SCAPS-1D-based numerical optimization of an organic ultraviolet (UV) photodetector employing an FTO/PTB7/Spiro-OMeTAD/Au device architecture. The novelty of this work lies in a simulation-guided, UV-specific optimization strategy that combines thickness engineering, controlled doping, and contact work-function tuning to achieve intrinsic [...] Read more.
This study presents a SCAPS-1D-based numerical optimization of an organic ultraviolet (UV) photodetector employing an FTO/PTB7/Spiro-OMeTAD/Au device architecture. The novelty of this work lies in a simulation-guided, UV-specific optimization strategy that combines thickness engineering, controlled doping, and contact work-function tuning to achieve intrinsic spectral selectivity without external optical filters. We systematically optimize material and device parameters, including active layer thicknesses, donor and acceptor densities, and the metal electrode work function, to enhance responsivity, detectivity, and spectral performance. Simulations identify optimal thicknesses of 1200 nm for PTB7 and 1000 nm for Spiro-OMeTAD, with donor concentrations of 1 × 1020 cm−3 and 1 × 1018 cm−3, respectively. A comparative contact analysis demonstrates that replacing aluminum with gold (Au) forms a near-ohmic back contact, leading to improved hole extraction and suppressed dark current due to favorable energy-level alignment. The optimized device achieves a peak external quantum efficiency of approximately 80% in the 300–400 nm ultraviolet range, with a responsivity up to 0.4 A/W. The UV selectivity originates from the absorption characteristics of PTB7 combined with suppressed long-wavelength charge collection, resulting in a negligible response in the visible–near-infrared region. These results confirm the device’s strong potential for high-sensitivity, solar-blind UV photodetection. By integrating practical material selection with physically consistent SCAPS-1D optoelectronic modeling, this work provides a robust design framework to guide the development of next-generation organic UV photodetectors for environmental sensing, biomedical diagnostics, and wearable optoelectronics. Full article
(This article belongs to the Section Nanoelectronics, Nanosensors and Devices)
Show Figures

Figure 1

19 pages, 4309 KB  
Article
Identification of Novel Alternative Transcripts of the Human ALKBH Gene Family and Investigation of Their Unique Expression Signatures in Cancer Cells
by Konstantina Athanasopoulou, Vasiliki-Ioanna Michalopoulou, Panagiotis Tsiakanikas, Andreas Scorilas and Panagiotis G. Adamopoulos
Curr. Issues Mol. Biol. 2026, 48(3), 251; https://doi.org/10.3390/cimb48030251 - 26 Feb 2026
Viewed by 229
Abstract
The human ALKBH gene family comprises nine Fe2+/α-ketoglutarate-dependent dioxygenases that catalyze the oxidative demethylation of DNA, RNA, and proteins, thereby influencing key cellular processes. Consequently, dysregulation of these enzymes has been implicated in various human diseases, particularly cancer. Although the transcriptomic [...] Read more.
The human ALKBH gene family comprises nine Fe2+/α-ketoglutarate-dependent dioxygenases that catalyze the oxidative demethylation of DNA, RNA, and proteins, thereby influencing key cellular processes. Consequently, dysregulation of these enzymes has been implicated in various human diseases, particularly cancer. Although the transcriptomic profiles of certain members (e.g., ALKBH8, FTO) have been characterized, a comprehensive analysis of the entire ALKBH family remains unclear. In the present study, we investigated the alternative splice variants of the ALKBH genes through direct RNA sequencing across cancerous and non-cancerous cell lines. Novel splicing events were validated by NGS, while RT-qPCR was employed to assess transcript abundance and expression patterns. Additionally, in silico analysis was performed to predict the coding potential of the detected transcripts. Results: Bioinformatics analysis revealed previously uncharacterized alternative transcripts for the human ALKBH gene family members. Expression profiling demonstrated distinct expression patterns between cancerous and non-malignant cells, suggesting a potential role of these demethylases in tumor biology. The investigation of their coding capacity revealed that most of the newly detected transcripts were predicted to encode protein isoforms, highlighting the structural and predicted coding potential of the ALKBH family. Conclusions: Our findings provide the first comprehensive overview of the transcriptional diversity within the human ALKBH gene family. These results enhance our understanding of the demethylation mechanisms and their dysregulation in cancer. Full article
Show Figures

Figure 1

6 pages, 908 KB  
Proceeding Paper
Fabrication of Supercapacitor Based on Conducting Polyaniline and Graphene Oxide Nanocomposites
by Achanai Buasri, Montree Sangthongdee, Rattaruj Chodsatidpokin, Sunisa Chamnanwichit and Vorrada Loryuenyong
Eng. Proc. 2026, 124(1), 47; https://doi.org/10.3390/engproc2026124047 - 25 Feb 2026
Viewed by 194
Abstract
This study aims to enhance and develop the properties of materials used as supercapacitors. The synthesis of graphene oxide (GO) was achieved via a modified Hummer’s method, whereas the fabrication of polyaniline (PANI)/GO nanocomposites was conducted utilizing an in situ chemical polymerization technique. [...] Read more.
This study aims to enhance and develop the properties of materials used as supercapacitors. The synthesis of graphene oxide (GO) was achieved via a modified Hummer’s method, whereas the fabrication of polyaniline (PANI)/GO nanocomposites was conducted utilizing an in situ chemical polymerization technique. Subsequently, the PANI/GO layered films were deposited on fluorine-doped tin oxide (FTO) glass for supercapacitor applications. The materials were analyzed using X-ray diffraction (XRD), Raman spectroscopy, scanning electron microscopy (SEM), Fourier transform infrared spectroscopy (FT-IR), and cyclic voltammetry (CV). The experimental results demonstrated that a reaction time of 30 min, along with a weight ratio of aniline (ANI) monomer to GO of 1:1.5, yielded an optimal specific capacitance of 13.30 F/g. The robust electrochemical performance of the PANI/GO electrode may stem from the increased active sites for PANI deposition, attributable to the large surface areas of GO. Full article
(This article belongs to the Proceedings of The 6th International Electronic Conference on Applied Sciences)
Show Figures

Graphical abstract

21 pages, 352 KB  
Review
The Genetic Mosaic of Depression: Linking Polymorphisms to Neuroplasticity and Stress Regulation
by Aneta Bednářová, Emma Szilassyová, Dominika Jarčušková, Daniel Múdry and Terézia Kisková-Šimková
Pharmaceuticals 2026, 19(2), 336; https://doi.org/10.3390/ph19020336 - 20 Feb 2026
Viewed by 432
Abstract
The origins of major depressive disorder (MDD) are complex, involving both environmental influences and a substantial genetic contribution. Genetic polymorphisms have been implicated in modulating susceptibility, disease course, and treatment response, yet findings are often modest, population-dependent, and sometimes inconsistent. This narrative review [...] Read more.
The origins of major depressive disorder (MDD) are complex, involving both environmental influences and a substantial genetic contribution. Genetic polymorphisms have been implicated in modulating susceptibility, disease course, and treatment response, yet findings are often modest, population-dependent, and sometimes inconsistent. This narrative review synthesizes current evidence on genetic variants associated with MDD, highlighting well-replicated results while distinguishing exploratory or emerging findings. Key systems reviewed include serotonergic (SLC6A4), neurotrophic (BDNF rs6265 and rs962369), dopaminergic and stress-response pathways (COMT, FKBP5, CRHR1), as well as additional emerging genes such as MAOA, TPH2, and FTO. We evaluate these variants in the context of their biological relevance, including neuroplasticity, neurotransmission, and hypothalamic–pituitary–adrenal (HPA) axis regulation, and discuss how polygenic and epigenetic interactions may shape clinical heterogeneity. This framework not only integrates current genetic knowledge but also outlines potential translational applications, offering perspectives for personalized approaches to diagnosis, prognosis, and treatment in MDD. Full article
(This article belongs to the Special Issue New Trends in the Treatment of Neuropsychiatric Disorders)
Show Figures

Graphical abstract

18 pages, 3942 KB  
Article
m6A RNA Methylation Is Increased in Tumour Invasive Regions and Influences Invasive Capability and Chemotherapeutic Sensitivity in Adult Glioblastoma
by Masar Radhi, Jonathan Rowlinson, Lauryn Walker, Simon Deacon, Helen Miranda Knight and Stuart Smith
Int. J. Mol. Sci. 2026, 27(4), 1967; https://doi.org/10.3390/ijms27041967 - 18 Feb 2026
Viewed by 384
Abstract
Adult glioblastoma multiforme (GBM) is the most common primary malignant brain tumour caused by multiple molecular factors. N6-methyl-adenosine (m6A) is an abundant RNA modification that governs cellular RNA metabolism. We hypothesise that changes in m6A-modified RNA and [...] Read more.
Adult glioblastoma multiforme (GBM) is the most common primary malignant brain tumour caused by multiple molecular factors. N6-methyl-adenosine (m6A) is an abundant RNA modification that governs cellular RNA metabolism. We hypothesise that changes in m6A-modified RNA and regulatory machinery such as the writer proteins, Methyltransferase 3 (METTL3) and WT1-associating protein (WTAP), the demethyltransferase protein, and Alpha-ketoglutarate dependent dioxygenase (FTO), are driving factors of GBM development and treatment resistance. Here, we investigated m6A-RNA spatial and quantitative abundance and expression of m6A effector proteins directly in GBM tissue and patient-derived low-passage primary adult GBM and low-grade glioma (LGG) cells, and explored the consequences of m6A-RNA disruption on GBM invasive capabilities, self-renewal and responsiveness to temozolomide (TMZ). We observed that METTL3, WTAP and FTO transcript and protein expression were significantly increased in cells derived from invasive regions of GBM tumours, and elevated WTAP and FTO expression significantly correlated with poor GBM patient survival. We further found that the abundance of m6A-modified RNA in GBM tumours was significant higher in rim and invasive tissue, as well as significantly higher in patient-derived cells from GBM tumour invasive regions. Functional depletion of these effector proteins significantly altered m6A levels on and the expression of the pluripotency stem cell marker SOX2 while also impairing self-renewal and cell invasion behaviour and increasing sensitivity to TMZ. The targeting of RNA modification regulatory mechanisms reveals novel therapeutic strategies aimed at improving clinical outcomes for GBM patients. Full article
Show Figures

Figure 1

18 pages, 5413 KB  
Article
Effects of Annealing on the Radio Frequency Sputtered CuO/ZnO Thin Film Heterostructure for Optoelectronic Applications
by Sinthamani Sivaprakasam, Sudhakar Bharatan, Ranjithkumar Mohanam and Sudharsanam Subramaniyam
Materials 2026, 19(4), 789; https://doi.org/10.3390/ma19040789 - 18 Feb 2026
Viewed by 263
Abstract
ZnO and CuO thin films were deposited separately using the radio frequency (RF) sputtering technique, and the effect of annealing in nitrogen and oxygen ambient environments was investigated. In this article, structural, optical, vibrational, and electrical characterizations were sequentially performed using techniques such [...] Read more.
ZnO and CuO thin films were deposited separately using the radio frequency (RF) sputtering technique, and the effect of annealing in nitrogen and oxygen ambient environments was investigated. In this article, structural, optical, vibrational, and electrical characterizations were sequentially performed using techniques such as X-ray diffraction (XRD), UV–visible spectroscopy (UV-vis), Raman spectroscopy, photoluminescence (PL) spectroscopy, and current-voltage measurements using a DC four-probe station. XRD confirmed a high-crystallinity and wurtzite structure for ZnO, with the preferred orientation being along the c-axis (0001), and a monoclinic structure for CuO, with preferential orientation along the (002) axis. The absorption edges of the ZnO and CuO thin films were determined to be 3.24 eV and 2.89 eV, respectively. However, Urbach tails were observed only in the ZnO thin films, confirming the presence of localized Zn interstitials and oxygen vacancies. The absorption of CuO showed weak Urbach tails, suggesting that the defects were not localized. Raman spectroscopy performed on the ZnO and CuO thin films showed the appearance of weak E2(high) and prominent Ag/B2g modes, confirming the presence of ZnO and CuO bonding states, respectively. PL studies revealed room temperature emission for both the CuO and ZnO thin films, which is crucial for thin film solar cells and photodetectors. Two thin film heterostructures were fabricated with and without MoS2 (a hole transport layer) on FTO substrates. The Al/FTO/CuO/ZnO/Al heterostructure revealed a rectifying behavior with a photo current of 2 mA in the dark, whereas light-induced characteristics resulted in a photocurrent of 5 mA. The Al/FTO/MoS2/CuO/ZnO/Al heterostructure exhibited a similar rectifying behavior, with improved photo currents of 5 mA in the dark and 9 mA in the light. Full article
(This article belongs to the Section Thin Films and Interfaces)
Show Figures

Graphical abstract

20 pages, 858 KB  
Article
Exploring the Association Between DTC Obesity-Related Gene Polymorphisms and Obesity Risk Factors in Koreans: Focus on BDNF
by Jiha Kim, Soyoun Lee and Myoungsook Lee
Nutrients 2026, 18(4), 655; https://doi.org/10.3390/nu18040655 - 16 Feb 2026
Viewed by 390
Abstract
Background/Objectives: Among more than 300 candidate genes for obesity, FTO, MC4R, and BDNF have been approved for DTC genetic testing. However, population-specific evidence supporting their relevance to obesity-related phenotypes in Koreans remains limited. Methods: A total of 231 healthy adults aged [...] Read more.
Background/Objectives: Among more than 300 candidate genes for obesity, FTO, MC4R, and BDNF have been approved for DTC genetic testing. However, population-specific evidence supporting their relevance to obesity-related phenotypes in Koreans remains limited. Methods: A total of 231 healthy adults aged 19–64 years were recruited between March and May 2024. Anthropometric and clinical measurements, genotyping, dietary intake, and questionnaires on socioeconomic status, family history, and lifestyle behaviors were obtained. Associations between genotypes and obesity-related phenotypes were evaluated using ANOVA and ANCOVA, multivariable-adjusted models and multicollinearity analysis-based stepwise regression. Results: In Koreans, MAFs for FTO (3 SNPs), MC4R rs17782313 and BDNF rs6265 were 13–16%, 27.1% and 47.4%, respectively. OB frequency (%) differed significantly between BDNF GG and A allele carriers (p < 0.05). Compared to GG, BDNF A allele carriers showed higher WHR, ALT, HbA1c and sodium intake (p < 0.05). BDNF A allele carriers were observed to have higher drinking frequency and elevated ALT levels. Significant genotype–obesity interactions were identified for RMR/BW status, dietary fiber, Vit E, folate, P, K, cholesterol, and PUFA (p < 0.05). Among A allele carriers, OB-related indicators (BMI, RMR, WHR) were independently associated with age, sex, RMR, SBP, ALT, leptin, and dietary intakes of Vit A and sugars. Conclusions: These findings support the relevance of BDNF rs6265 in obesity phenotypes among Korean adults and provide Korean-specific evidence for genotype-based nutrition strategies. Given the cross-sectional study, the interpretation of personalized nutrition approaches for genetic risk carriers should be made with caution. Full article
(This article belongs to the Special Issue Advances in Gene–Diet Interactions and Human Health)
Show Figures

Figure 1

14 pages, 1787 KB  
Article
Multi-Omics Analysis of Morbid Obesity Using a Patented Unsupervised Machine Learning Platform: Genomic, Biochemical, and Glycan Insights
by Irena Šnajdar, Luka Bulić, Andrea Skelin, Leo Mršić, Mateo Sokač, Maja Brkljačić, Martina Matovinović, Martina Linarić, Jelena Kovačić, Petar Brlek, Gordan Lauc, Martina Smolić and Dragan Primorac
Int. J. Mol. Sci. 2026, 27(3), 1551; https://doi.org/10.3390/ijms27031551 - 4 Feb 2026
Viewed by 546
Abstract
Morbid obesity is a complex, multifactorial disorder characterized by metabolic and inflammatory dysregulation. The aim of this study was to observe changes in obese patients adhering to a personalized nutrition plan based on multi-omic data. This study included 14 adult patients with a [...] Read more.
Morbid obesity is a complex, multifactorial disorder characterized by metabolic and inflammatory dysregulation. The aim of this study was to observe changes in obese patients adhering to a personalized nutrition plan based on multi-omic data. This study included 14 adult patients with a body mass index (BMI) > 40 kg/m2 who were consecutively recruited from those presenting to our outpatient clinic and who met the inclusion criteria. Clinical, biochemical, hormonal, and glycomic parameters were assessed, along with whole-genome sequencing (WGS) that included a focused analysis of obesity-associated genes and an extended analysis encompassing genes related to cardiometabolic disorders, hereditary cancer risk, and nutrigenetic profiles. Patients were stratified into nutrigenetic clusters using a patented unsupervised machine learning platform (German Patent Office, No. DE 20 2025 101 197 U1), which was employed to generate personalized nutrigenetic dietary recommendations for patients with morbid obesity to follow over a six-month period. At baseline, participants exhibited elevated glucose, insulin, homeostatic model assessment for insulin resistance (HOMA-IR), triglycerides, and C-reactive protein (CRP) levels, consistent with insulin resistance and chronic low-grade inflammation. The majority of participants harbored risk alleles within the fat mass and obesity-associated gene (FTO) and the interleukin-6 gene (IL-6), together with multiple additional significant variants identified across more than 40 genes implicated in metabolic regulation and nutritional status. Using an AI-driven clustering model, these genetic polymorphisms delineated a uniform cluster of patients with morbid obesity. The mean GlycanAge index (56 ± 12.45 years) substantially exceeded chronological age (32 ± 9.62 years), indicating accelerated biological aging. Following a six-month personalized nutrigenetic dietary intervention, significant reductions were observed in both BMI (from 52.09 ± 7.41 to 34.6 ± 9.06 kg/m2, p < 0.01) and GlycanAge index (from 56 ± 12.45 to 48 ± 14.83 years, p < 0.01). Morbid obesity is characterized by a pro-inflammatory and metabolically adverse molecular signature reflected in accelerated glycomic aging. Personalized nutrigenetic dietary interventions, derived from AI-driven analysis of whole-genome sequencing (WGS) data, effectively reduced both BMI and biological age markers, supporting integrative multi-omics and machine learning approaches as promising tools in precision-based obesity management. Full article
(This article belongs to the Special Issue Molecular Studies on Obesity and Related Diseases)
Show Figures

Figure 1

Back to TopTop