- Article
Improving Thermal Environment of Power Generation Cabin via Vapor Chamber in Cold Regions
- Hao Zhai,
- Xianyi Jiang and
- Chengbin Zhang
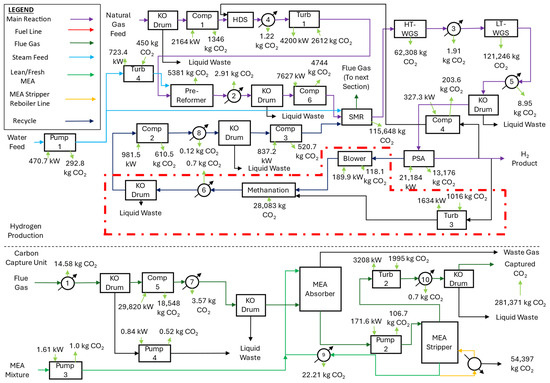
This study introduces the innovative application of a vapor chamber to mitigate fuel freezing and temperature disparity in power generation cabins operating under extreme cold conditions. A vapor chamber was designed and implemented within a low-temp...

