Abstract
Current methods for designing three-dimensional trajectories rarely account for complex formation constraints, focusing primarily on geometric relationships. However, trajectory adjustments are often necessary during drilling operations. These field adjustments typically lack systematic optimization, resulting in suboptimal trajectories. This study introduces a novel trajectory optimization framework that integrates formation fitness for curve construction and proactive anti-collision trajectory adjustment (PACTA). The framework begins by incorporating PACTA and optimizing the initial trajectory to minimize total measured depth (TMD) using a genetic algorithm. Subsequently, a second optimization phase identifies curve sections passing through formations with low build-up fitness, automatically splitting them into combinations of curves and straight lines. Dynamic trajectory equations are then constructed based on these adjustments, and the final trajectory is optimized accordingly. Case studies demonstrate that the proposed method effectively adjusts curve positions in the presence of multiple formations with low build-up fitness while avoiding wellbore collisions. The approach achieves an average 10% reduction in total drilling time when minimizing TMD and an average 19.7% reduction in drillstring torque when torque minimization is prioritized. This new trajectory design method is expected to significantly reduce well construction costs.
1. Introduction
The well trajectory is a spatial channel connecting the wellhead to the reservoir, serving as a pathway for oil and gas flow. Its design is crucial for drilling efficiency, safety, and cost. An ideal trajectory should be short, easy to construct, and avoid risky geological formations. Designing well trajectories is a multidisciplinary task involving drilling and geological engineering, often requiring close collaboration and multiple revisions. Enhancing design efficiency, increasing automation, and reducing communication costs is therefore of great importance.
The most recent studies on well trajectory design and optimization mainly focuses on two key areas: enhancing solution efficiency and integrating complex engineering and geological constraints. These optimization problems often involve three to over a dozen variables and are highly nonlinear, making heuristic algorithms the preferred approach. Various methods have been introduced, including conventional genetic algorithms (GAs) [,], particle swarm optimization [,], cuckoo search algorithms [], and Fibonacci sequence-based quantum genetic algorithms []. In related studies, GAs are the most frequently used. Their flexibility in adapting to diverse optimization problems through simple modifications to chromosome encoding and evaluation functions makes them particularly suited for drilling optimization [].
In well trajectory optimization, engineering and geological constraints are typically applied through the design of objective functions, restricting variable ranges, or imposing penalty functions. The most common objective is to minimize the total trajectory length [,,], as it directly impacts drilling costs. The second most common objective is to minimize drillstring torque [,,], which helps reduce construction difficulty. Some studies have also aimed to minimize total drilling time by assuming different rates of penetration across formations [,]. Mansouri et al. [] employed a multi-objective genetic algorithm (MOGA) to optimize both trajectory length and drillstring torque simultaneously.
Wang and Gao [] optimized the range of inclination and azimuth angles from the perspective of wellbore stability. Zhang et al. [] developed a shale gas horizontal well trajectory design method that accounts for trajectory drift caused by formation properties and anti-collision constraints. Zhong et al. [] proposed a trajectory optimization method for slide drilling systems to reduce drilling time by replacing long circular-arc sections with shorter straight-line and circular-arc segments. Liu et al. [] were the first to introduce Dubins curves into well trajectory optimization. Pathan et al. [] developed a cluster well trajectory design method that incorporates anti-collision constraints based on predefined trajectory profiles.
For slide drilling, formation build-up fitness plays a critical role in drilling safety and efficiency. However, existing trajectory design methods seldom consider this factor. This work presents a design method that integrates formation build-up suitability with proactive anti-collision trajectory adjustment (PACTA), bridging this gap. The approach is effective for both pre-drilling planning and real-time trajectory adjustments.
2. Components of the Trajectory Optimization Framework
This section introduces the fundamental trajectory equations for trajectory optimization, the drillstring torque model, the anti-collision model, and various constraints applied in the optimization framework.
2.1. Fundamental Trajectory Equations
The six-section trajectory is one of the most basic three-dimensional (3D) wellbore trajectories. Most other 3D trajectories, such as seven-section and eight-section trajectories, can be derived from this model through modifications. Figure 1 shows the 3D profile of the six-section trajectory. OA is the vertical section, AB is the first build section, BC is the hold section, CD is the build and turn section, and DT1 is the second build section. T1T2 is the horizontal section. This study follows this model for initial designs, using the radius of curvature method for the build and turn section and the minimum curvature method for the build sections.

Figure 1.
Three-dimensional profile diagram of the six-section overshot trajectory.
The calculation formula for the radius of curvature method [,] is as follows:
where ΔN, ΔE, and ΔH represent increments in northing, easting, and true vertical depth, respectively, m. ϕup and ϕdown are the azimuth angles at the upper and lower endpoints, rad. αup and αdown are the inclination angles at the upper and lower endpoints, rad. Lup and Ldown are the MD at the upper and lower endpoints, m. R is the radius of curvature in the vertical profile, m, and r is the radius of curvature in the horizontal projection, m.
The calculation formula for the minimum curvature method [,] is as follows:
where λ is the tangential length, m. ε is the dogleg angle, rad.
2.2. Torque Model
The torque and drag acting on the drillstring significantly influence drilling safety, difficulty, and speed. A well trajectory with lower torque is preferable. For torque calculation, this study employs the soft-string model [,,], which offers satisfactory accuracy for low-curvature wellbores and flexible drillstrings while maintaining relatively low computational complexity. Drag is likely to be significantly influenced by drillstring buckling, which increases the nonlinearity of the optimization problem. In contrast, torque during rotary drilling is less susceptible to buckling effects, making it a more suitable optimization condition. Therefore, using torque instead of drag as the objective enhances optimization reliability.
The main soft-string model’s equations are as follows:
where Wc is the contact force between the drillstring and borehole wall, N. Wt represents the buoyant weight component of the drillstring in the axial direction of the wellbore, N. s is the length of drillstring, m. Tup and Tdown represent the upper and lower end axial forces of each drillstring segment, respectively, N. μa and μt represent axial and tangential friction coefficient, respectively. Mup and Mdown represent the upper and lower end torque of each drillstring segment, N∙m. Djo is the diameter of drillstring joint, m.
The model calculation results are compared with the internationally recognized WELLPLAN 5000.14 software using a real drilled well as a case study. Figure 2 presents the 3D profile of the well.

Figure 2.
Three-dimensional profile diagram of the example well.
The example well has a total length of 2715 m, with the surface casing set at 367 m. The casing friction coefficient is 0.25, and the open-hole friction coefficient is 0.3. The drilling fluid density is 1.16 g/cm3, the bottomhole torque is 3000 N m, and the weight on bit (WOB) is 30 kN. Figure 3 compares the torque model calculation results with those obtained from WELLPLAN, focusing on the torque distribution along the well depth and the prediction accuracy at critical points. The results indicate strong agreement between the model predictions and the software calculations, with an error of 1.5% in the cased section, an error of 1.8% in the open-hole section, and an average deviation of less than 2% for the entire well. Thus, the model’s accuracy meets the requirements of actual drilling operations.

Figure 3.
Plot of torque vs. MD.
2.3. Anti-Collision Model
The ISCWSA model, developed by the Industry Steering Committee on Wellbore Survey Accuracy, evaluates wellbore position uncertainty and is widely applied in anti-collision calculations [,,].
In the ISCWSA model, the impact of a single error source on position uncertainty can be expressed as:
where ei is the error in the NEV axis caused by error source i. σi is the uncertainty of error source i. ∂p/(∂εi) is the weighting function for this source, and dr/(dp) is the influence of measurement errors on the wellbore position in the NEV axis.
The matrix depends on measurement data at both ends of each survey section. Thus, the measurement error at an intermediate location can be expressed as:
The measurement result at the final point is:
The model defines four types of error propagation: Random, Systematic, Well by Well, and Global. Their sum can be expressed as:
The summation results in a 3 × 3 covariance matrix, which describes the error ellipsoid at a specific station. In the NEV axes, the covariance matrix is:
Using a 3D leased distance scan, the distribution of distances between the reference well and the offset wells is obtained. Figure 4 shows the 3D scanning results of distances between adjacent wells.

Figure 4.
Three-dimensional adjacent well scanning visualization.
The separation factor is calculated using the pedal curve method [], as follows:
where SF is the separation factor. CC is the distance between the reference well and offset well, m, and R1 and R2 are the ellipsoid axis lengths of the reference well and offset well, m.
To validate the accuracy of the anti-collision model, the model results are compared with those from the industry-standard COMPASS 5000.14 software using a real drilled well. Figure 5 shows the 3D profile of the reference well and the offset well.

Figure 5.
Three-dimensional profile diagram of the reference well and the offset well.
As shown in the figure, the reference well is a sidetrack well with a trajectory direction similar to that of the offset well, necessitating high anti-collision precision. The reference well has a total length of 2308.0 m, while the offset well is 2471.9 m long. The gravitational acceleration is set to 9.8 m/s2, the magnetic inclination is 57.2°, the declination is −6.6°, and the magnetic field strength is 53,659.1 nT. A standard MWD tool is used for survey measurements, and 32 error sources are considered. Figure 6 shows the variation in wellbore separation distance with MD. The results show that after the sidetracked wellbore is drilled, the minimum wellbore separation distance of 11.1 m occurs at a MD of 570 m. Compared to COMPASS, the scanning deviation of the wellbore separation distance is less than 0.01%.

Figure 6.
Plot of CC vs. MD.
Figure 7 presents the relationship between MD and the SF. The results indicate that the minimum SF also occurs at a MD of 570 m, with a value of 1.61, which is close to the safety threshold of 1.5. Given its proximity to the threshold, this wellbore section requires special attention for collision risk mitigation. Additionally, the deviation between the model and COMPASS calculations remains within 0.5% across the entire wellbore, demonstrating the high accuracy and reliability of the proposed anti-collision model.

Figure 7.
Plot of SF vs. MD.
2.4. Constraints
2.4.1. Proactive Anti-Collision Trajectory Adjustment
When surface wellhead locations are densely packed, the small spacing between adjacent wells increases the risk of wellbore collisions. Without effective deviation control in the upper well sections, collisions are likely. Therefore, PACTA are required to increase the spacing between wells in the upper wellbore sections, reducing the difficulty of deviation control.
Figure 8 shows the vertical projection of a well with PACTA. An adjustment section is added before the kickoff point (KOP), and it consists of five parts: the first vertical section, the build section, the hold section, the drop section, and the second vertical section. In the adjustment, upon reaching the designated depth, the trajectory builds up to a 5° inclination, holds for a section, and then drops back to vertical.

Figure 8.
Vertical profile of overshot adjustment section.
The true vertical depth (TVD) of the starting point of the build section (SPBS) and ending point of the drop section (EPDS) are optimization variables. These, along with the KOP, must satisfy the following equation:
where r1 and r2 are the radii of curvature for the build and drop sections, m.
2.4.2. Formation Build-Up Fitness Constraints
Some formations include hard rock, resulting in a slow rate of penetration (ROP), while others are prone to wellbore instability and must be drilled through quickly. These formations are unsuitable for slide drilling. Therefore, such constraints should be considered when determining the placement of curved sections in trajectory design. Before initiating trajectory optimization, offset well drilling data should be analyzed to identify formations unsuitable for build-up. The top and bottom depths of these formations must be recorded to ensure that the straight trajectory is maintained passing through them.
The proposed method involves two-round optimization processes, with different handling of formation constraints in each phase. During the first-round optimization, the goal is to avoid the following scenarios: (1) the build and turn section intersects restricted formations; (2) the entire build section is within a restricted formation. Figure 9 illustrates the handling of build sections crossing restricted formations during the second-round optimization phase. Figure 9a shows that when the build section entirely overlaps with the restricted formation, the section is split into a build–hold–build section. Figure 9b demonstrates that when the build section partially overlaps with the restricted formation, the section is adjusted into build–hold or hold–build section.

Figure 9.
Split of build section crossing restricted formation. (a) Complete overlap with restriction. (b) Partial overlap with restriction.
After splitting the original trajectory, the design no longer follows a fixed trajectory profile, requiring dynamic trajectory equations for recalculation. These equations automatically assemble trajectories based on the number and type of unknown variables, enabling dynamic trajectory adjustments.
For example, in section AC of Figure 1, if the coordinates of points A and C are known, the number of unknown DLS variables satisfies some rules. When the constrained formation exactly spans point B as shown in Figure 10, according to the splitting method shown in Figure 9b, the section from point C to the top of the formation is a hold section. Since the depth of the restricted formation is fixed, the DLS of the arc between points A and the top of the formation can be calculated. Notably, when a restricted formation crosses the build section AB, additional unknown DLS variables are introduced. For each additional restricted formation, one more unknown DLS variable is added.

Figure 10.
Restricted formation passing through point B.
The number of unknown variables in this case is calculated using the following formula:
where nvars represents the number of unknown variables, and n denotes the number of restricted formations crossing section AB.
When no constrained formations cross point B, section AB contains one fixed DLS variable. In this case, the number of unknown variables satisfies the following formula:
2.4.3. Penalty Functions
Well trajectory design is a nonlinear mathematical optimization problem. To handle diverse constraints, penalty functions are often used to convert constrained optimization into an unconstrained problem [,]. When combined with heuristic algorithms, penalty functions evaluate each solution during the optimization process and impose penalties on suboptimal results. This method effectively restricts the solution space, guides iteration, and accelerates convergence toward feasible solutions.
Here, f represents the optimization function’s return value, xc denotes the constraints, u refers to key parameters in 3D horizontal trajectory design, T is the trajectory design output, xtype represents the optimization conditions, P is the penalty function value, xp1 represents the logical penalty function, and xp2 denotes the conditional penalty function.
The first type of penalty function, the logical penalty, ensures that the trajectory forms a continuous curve from the surface to the target—a fundamental requirement for validity. This function imposes significant penalties. The specified condition in this study is that the coordinate deviation between the end point of the generated trajectory and the target must be less than 0.1. Greater deviations result in larger penalties.
The second type, the conditional penalty function, addresses cases to be avoided (as discussed earlier) and ensures that the KOP remains outside restricted formations. It guides the optimization process until the constraints are satisfied.
The penalty functions are illustrated with the following example. The parameters are as follows: The total trajectory length is 3000 m with given design parameters. The final NEV coordinates of the trajectory are (490 405 2000), and the KOP lies within the restricted formation. All other conditions are satisfied. The target NEV coordinates are (500 400 2000). The penalty function values are calculated as follows:
Thus, the optimization function’s return value is f = 3000 + 1118.03 + 600 = 4718.03 m. Here, the logical penalty coefficient is 100, and the conditional penalty coefficient is 0.2. The return value of the function increases by 57%, primarily due to the logical penalty function.
3. Trajectory Optimization Framework
Figure 11 shows the trajectory optimization framework. After importing the design parameters, first-round optimization is carried out with the objective of minimizing total measured depth (TMD), yielding the initial trajectory. Penalty Function One includes both logical and conditional penalties. This optimization involves seven unknown variables: the TVD of the KOP, the inclination and azimuth angles of the hold section, the inclination angle at the end of the build and turn section, and the DLS of the two build sections and the build and turn section. If PACTA is applied, four additional unknown variables are introduced: the TVD of the proactive anti-collision build-up start point, the TVD of the drop-off completion point, and the DLS values for the build-up and drop-off sections.

Figure 11.
Trajectory optimization framework.
The trajectory result from first-round optimization serves as the initial condition for second optimization. Parameters such as the TVD of the KOP, the DLS of the build and turn section, and the TVD of the PACTA build-up start and drop-off completion points are preserved for second-round optimization. This optimization involves three fundamental variables: the inclination and azimuth angles of the hold section and the inclination angle at the end of the build and turn section. The total number of variables is not fixed, and dynamic trajectory equations are used for solving. Penalty Function Two applies only logical penalties, with the optimization goal set to minimize TMD, torque, or both.
Additionally, incorporating insights from offset wells’ historical drilling data to adjust variable ranges or assign fixed values can effectively enhance the applicability and efficiency of trajectory optimization.
After completing second-round optimization, offset well survey data are imported to calculate the SF. If the requirements are not met, the optimization process is restarted.
The initial parameter input must include all constraints considered in the model. Detailed information is presented in Table 1.

Table 1.
Detailed description of input parameters.
4. Case Studies and Discussion
In this section, three examples are provided based on different types of trajectory optimization. The objective is to validate the practicality of the optimization model and discuss the constraints applied to each example.
4.1. Case 1: Trajectory Optimization Design for Platform Wells
4.1.1. Input Parameters for Case Study Wells
The platform requires trajectory optimization for four wells. According to offset well data, the formations contain fractured layers unsuitable for build-up operations. The close spacing of surface wellhead locations poses additional challenges for trajectory design. A comparison between the original and optimized trajectories was conducted to validate the practicality of the proposed method.
The relative locations of the surface and target are provided in Table 2 and Table 3, with their distribution illustrated in Figure 12.

Table 2.
Relative surface locations on the platform.

Table 3.
Target point locations of platform wells.

Figure 12.
Plan view of surface locations and target points.
The range of trajectory optimization parameters and other constraints are detailed in Table 4 and Table 5.

Table 4.
Range of trajectory optimization parameter constraints.

Table 5.
Other constraint settings.
4.1.2. Model Optimization Results
Figure 13 compares the results of the original and optimized designs. Green segments represent safe transitions through restricted formations in hold sections, while red segments indicate build-up operations through restricted formations. In the original design, all four wells passed through Restricted Formation Three near the target point using a build-up approach, failing to meet design requirements. Additionally, some build-up sections also cross restricted formations. In the optimized design, build-up operations are completed before reaching restricted formations, ensuring safe transitions and meeting field design requirements.

Figure 13.
Three-dimensional structural diagrams of the original and optimized designs. (a) 3D structure diagram of the original design. (b) 3D structure diagram of the optimized design.
Figure 14 shows the trajectory of well H3 as it passes through the restricted formation. Detailed parameters for the original design and the optimized design are presented in Table 6 and Table 7. Restricted Formation One is located in the PACTA. In the optimized design, well H3 completes the build-up at a TVD of 561 m and holds until 1042 m. Restricted Formation Two is located below the first build section following the adjustment section. In the original design, the build-up extended to 2471 m with a hold inclination angle of 13.6°, crossing the upper part of the restricted formation. In the optimized design, the hold inclination angle is reduced to 7°, completing the build-up earlier. Restricted Formation Three is near Target Point 1. In the optimized design, the build section is split into three segments to safely pass through the formation.

Figure 14.
H3 wellbore section view. (a) Section view of Restricted Formation One. (b) Section view of Restricted Formation Two. (c) Section view of Restricted Formation Three.

Table 6.
Detailed parameters of the original design.

Table 7.
Detailed parameters of the optimized design.
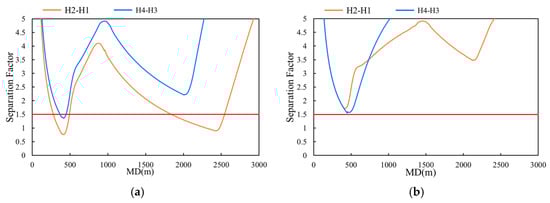
To validate the effectiveness of PACTA and anti-collision constraints, Figure 15 shows the change in the SF before and after the addition of the proactive anti-collision adjustments. As shown in the figure, without the constraints, there are two regions between well H2 and well H1 where the SF is less than 1.0, located at approximately 500 m and 2500 m measured depth of well H2. After adding PACTA, well H2 starts building inclination before 500 m MD, increasing the wellbore spacing with the upper well section of well H1, resulting in a SF exceeding 1.5 at 500 m. Additionally, the trajectory anti-collision constraint optimizes the wellbore trajectory by adjusting the initial build direction, which increases the SF at 2500 m to over 3.5.

Figure 15.
SF vs. MD before and after anti-collision optimization. (a) Optimization without anti-collision constraint. (b) Optimization with anti-collision constraint.
A comparison of three optimization results with the original design was conducted: (1) minimum TMD optimization; (2) minimum torque optimization; and (3) minimum torque optimization with PACTA.
Figure 16 compares the TMD of the original and optimized designs. By analyzing the ROP in the build and hold sections of this block, the total drilling time was predicted. Figure 17 compares the total drilling time of the original and optimized designs. With restricted formation constraints, the TMD may increase, but the total drilling time is significantly reduced. The minimum TMD optimization resulted in an average drill time reduction of 10%, making it the preferred approach when considering time-based cost efficiency.

Figure 16.
Total measured depth comparison chart.

Figure 17.
Total drill time comparison chart.
Figure 18 compares the total torque of the original and optimized designs. Total torque values for all three optimization approaches were significantly reduced. The minimum torque optimization achieved the lowest torque, with an average reduction of 19.7%. When considering drillstring and equipment failure risks, torque constraints should be included. Additionally, in cases of closely spaced surface locations, incorporating PACTA reduces drilling risks.

Figure 18.
Total torque comparison chart.
For conventional optimization methods, without considering the influence of formation fitness of building a curve, the KOP serves as a critical optimization variable and exhibits certain patterns. Based on previous research, this study further investigates the impact of different optimization conditions on the selection of the KOP location. Figure 19 and Figure 20 show the variation in the KOP position under different constraint ranges for the minimum TMD and minimum torque conditions. It can be observed that when the optimization objective is the minimum TMD, the KOP tends to be the shallowest within the allowed range; when minimizing torque, the KOP tends to approach the lower limit of the allowable range.

Figure 19.
Three-dimensional view of various KOP TVD under minimal TMD constraint.

Figure 20.
Three-dimensional view of various KOP TVD under minimal torque constraint.
4.1.3. Impact of Restricted Formation Count
The optimization results discussed above incorporate three restricted formations. Restricted Formation One, located at a TVD of 580–700 m, constrains the positioning of PACTA. Restricted Formation Two, situated at a TVD of 2450–2550 m, primarily limits the length of the hold section. Restricted Formation Three, located at a TVD of 4132–4140 m, divides the second build section. The optimization time per well was approximately 3 min.
Similarly, taking well H3 as an example, Restricted Formation Four was added, located at a TVD of 2000–2300 m, mainly constraining the selection of the KOP location. By keeping other optimization parameters unchanged, a re-optimization was performed, requiring one hour. The detailed parameters of the optimized trajectory are shown in Table 8. The results indicate that the initial azimuth was adjusted from 251.4° to 280.4°, resulting in an additional 29° azimuth change in the build and turn section. The KOP was placed at a TVD of 2308.3 m, just below Restricted Formation Four, while the conditions of the other three restricted formations were also satisfied. The TMD increased by 71.4 m, and the total torque rose by 27.8 N m.

Table 8.
Detailed parameters of the optimized design for Restricted Formation Four.
Additionally, optimization was performed for well H3, including only Restricted Formation One and Restricted Formation Two. The optimization process took about 2 min, with the results summarized in Table 9. The initial azimuth was reduced from 251.4° to 242.8°, resulting in a smaller azimuth adjustment toward the target direction. The TMD decreased by 95.4 m, and the total torque showed a slight reduction.

Table 9.
Detailed optimized trajectory parameters for two restricted formations.
Figure 21 shows the optimization results for different numbers of restricted formations. The results demonstrate that the optimization model effectively accommodates multiple restricted formations. As the number of restricted formations increases, the required optimization time gradually rises, along with increases in key metrics such as TMD and total torque.

Figure 21.
Optimization results for varying numbers of restricted formations.
4.2. Case 2: Mid-Drilling Trajectory Adjustment
The well trajectory optimization method proposed in this paper not only optimizes the well trajectory prior to drilling but also allows for trajectory adjustments during drilling. The original design of the drilling well is shown in Table 10. This design includes a six-segment trajectory with PACTA. Upon reaching the KOP and initiating the build-up, the inclination angle was controlled improperly, exceeding the designed hold inclination angle. The remaining wellbore sections include a hold section, a build and turn section, a second build section, and a horizontal section, all of which require optimization and adjustment.

Table 10.
Well trajectory parameters of the original design.
According to the original design, after completing PACTA, the first build section at 2237.9 m was designed to achieve a 25° build-up, followed by a hold section for continued drilling. However, the actual build-up extended to 2305.7 m, and the inclination angle reached 32°. Based on the current trajectory, optimization was performed with the parameters shown in Table 11.

Table 11.
Settings for trajectory optimization parameter constraints.
Figure 22 shows the 3D view of the original and adjusted wellbore trajectories. The optimized trajectory connects the actual drilled path to the target, achieving the intended design objectives and validating the feasibility of the model during the mid-drilling phase. The details of the adjusted trajectory are shown in Table 12. The TMD is reduced by 21.1 m, with the length of the build and turn section decreased by 239.7 m, thus reducing the drilling time. However, the length of the build-up section near the target point increases. This is due to the increase in the hold angle, which causes the trajectory to shift upward when reaching the target azimuth, necessitating a longer build-up section to extend to the target point.

Figure 22.
Three-dimensional view of the original and optimized designs.

Table 12.
Adjusted wellbore trajectory parameters.
4.3. Case 3: Comparison of Optimization Modes
Figure 23 compares the results of single-objective and multi-objective optimization for minimizing torque and well depth. The results indicate that when the minimum torque mode is applied, the trajectory parameters corresponding to the lowest torque can be obtained. Similarly, under the minimum TMD mode, the trajectory parameters with the minimum well depth are achieved, with the objective values being lower than those in multi-objective optimization. This occurs because, in single-objective optimization, fewer parameters are considered, often leading the model to adopt extreme control strategies that push parameters toward constraint boundaries, resulting in overly idealized outputs that are difficult to implement in actual drilling operations.

Figure 23.
Comparison results of single-objective and multi-objective optimization.
The parameter values from the iterative process of multi-objective optimization are output in the form of a Pareto front, as shown in Figure 24. The figure demonstrates that during the iterative process of multi-objective optimization, the average TMD and average torque in each iteration continuously decrease. When the Pareto front boundary is reached, the diversity of the solution set significantly increases. At this stage, the multi-objective function can no longer be minimized and gradually converges toward the single-objective minimum results, exhibiting a divergence phenomenon.

Figure 24.
Pareto front of multi-objective optimization.
5. Conclusions
This study proposes a new method for the fast design of a 3D well path considering multiple constraints. For formation build-up fitness, the model adaptively adjusts the curve section’s location, ensuring stable traversal through restricted formations. With an increasing number of restricted formations, the optimization time for a single well extends, and the optimized objective values also tend to grow.
Employing PACTA and trajectory anti-collision constraints increases inter-well spacing in upper well sections and adjusts the trajectory to maintain the SF above safe thresholds. This model supports both pre-drill trajectory optimization and mid-drilling trajectory adjustments, meeting operational requirements.
When minimizing TMD, the KOP tends to be set at the shallowest permissible depth. Conversely, when minimizing torque, the KOP is usually set at deeper allowable depths.
Compared to multi-objective optimization, single-objective optimization yields smaller objective function values. However, the results are often overly idealized and difficult to implement in actual drilling operations.
For cost efficiency, optimizing for minimal TMD is recommended as it reduces drilling time. When failure risk considerations for the drillstring and equipment are critical, torque constraints should be applied to significantly reduce torque values. Additionally, for closely spaced surface locations, adding PACTA can prevent or reduce surface collision risk.
Author Contributions
X.W. (Xueying Wang): Project administration, Methodology, Resources, Supervision, Validation, Writing. J.Z.: Coding, Visualization, Writing. J.W.: Methodology, Resources. Y.Y.: Visualization, Writing. X.W. (Xi Wang): Data curation, Writing. F.Z.: Resources, Supervision. All authors have read and agreed to the published version of the manuscript.
Funding
This research was funded by Hubei Key Laboratory of Oil and Gas Drilling and Production Engineering (Yangtze University) (Grant No. YQZC202208).
Data Availability Statement
Data will be made available on request.
Conflicts of Interest
Author Jianmin Wang was employed by the company CNPC Offshore Engineering Co., Ltd. The remaining authors declare that the research was conducted in the absence of any commercial or financial relationships that could be construed as a potential conflict of interest.
References
- Shokir, E.E.M.; Emera, M.K.; Eid, S.M.; Wally, A.W. A new optimization model for 3D well design. Oil Gas Sci. Technol. 2004, 59, 255–266. [Google Scholar] [CrossRef]
- Guria, C.; Goli, K.K.; Pathak, A.K. Multi-objective optimization of oil well drilling using elitist non-dominated sorting genetic algorithm. Pet. Sci. 2014, 11, 97–110. [Google Scholar] [CrossRef]
- Amin, A.; David, A.W.; Ali, F.; Rasoul, K. Designing and optimizing deviated wellbore trajectories using novel particle swarm algorithms. J. Nat. Gas. Sci. Eng. 2014, 21, 1184–1204. [Google Scholar]
- Jeong, J.; Lim, C.; Park, B.-C.; Bae, J.; Shin, S.-C. Multi-Objective Optimization of Drilling Trajectory Considering Buckling Risk. Appl. Sci. 2022, 12, 1829. [Google Scholar] [CrossRef]
- Wang, Z.; Gao, D.; Liu, J.; Hu, D.; Wu, W. What is the Optimal Trajectory of Sidetrack Horizontal Well for Bypassing Obstacles in Cluster Wells? In Proceedings of the SPE Kingdom of Saudi Arabia Annual Technical Symposium and Exhibition, Dammam, Saudi Arabia, 23–26 April 2018.
- Sha, L.; Pan, Z. FSQGA based 3D complexity wellbore trajectory optimization. Oil Gas Sci. Technol.-Rev. d’IFP Energ. Nouv. 2018, 73, 79. [Google Scholar] [CrossRef]
- Biswas, K.; Vasant, P.M.; Vintaned, J.A.G.; Watada, J. A Review of Metaheuristic Algorithms for Optimizing 3D Well-Path Designs. Arch. Comput. Methods Eng. 2021, 28, 1775–1793. [Google Scholar] [CrossRef]
- Ilyasov, R.R.; Svechnikov, L.A.; Karimov, M.R.; Kravets, M.Z.; Solodov, A.N.; Porolo, I.O. Automation of optimal well trajectory calculations. In Proceedings of the SPE Russian Oil and Gas Exploration & Production Technical Conference and Exhibition, Moscow, Russia, 14–16 October 2014. [Google Scholar]
- Gu, Y.; Gao, D.; Diao, B.; Yang, J.; Nie, S. Optimization design method of infill well trajectory with bypassing obstacles in the fractured area of shale gas reservoir. J. Pet. Sci. Eng. 2022, 208, 109779. [Google Scholar] [CrossRef]
- Mansouri, V.; Khosravanian, R.; Wood, D.A.; Aadnoy, B.S. 3-D Well Path Design Using a Multi Objective Genetic Algorithm. J. Nat. Gas. Sci. Eng. 2015, 27, 219–235. [Google Scholar] [CrossRef]
- Wood, D.A. Hybrid bat flight optimization algorithm applied to complex wellbore trajectories highlights the relative contributions of metaheuristic components. J. Nat. Gas Sci. Eng. 2016, 32, 211–221. [Google Scholar] [CrossRef]
- Khosravanian, R.; Mansouri, V.; Wood, D.A.; Alipour, M.R. A comparative study of several metaheuristic algorithms for optimizing complex 3-D well-path designs. J. Pet. Explor. Prod. Technol. 2018, 8, 1487–1503. [Google Scholar] [CrossRef]
- Sahebi, H.; Wiktorski, E.; Dan, S. Design, Optimization, and Visualization of Wellbore Trajectory in 3D. In Proceedings of the SPE Norway Subsurface Conference, Bergen, Norway, 27 April 2022. [Google Scholar]
- Wood, D.A. Constrained optimization assists deviated wellbore trajectory selection from families of quadratic and cubic Bezier curves. Gas Sci. Eng. 2023, 110, 204869. [Google Scholar] [CrossRef]
- Wang, Z.; Gao, D. Trajectory Optimization for Horizontal Shale Gas Well by Integrating Wellbore Stability. In Proceedings of the Rock Mechanics/Geomechanics Symposium, San Francisco, CA, USA, 25–28 June 2017. [Google Scholar]
- Zhang, J.; Zhou, H.; Zang, Y.; Niu, X. Optimal and Fast Drilling Technology for Shale Gas Horizontal Well and Its Application. In Proceedings of the SPE/IATMI Asia Pacific Oil & Gas Conference and Exhibition, Jakarta, Indonesia, 17–19 October 2017. [Google Scholar]
- Zhong, X.; Liu, J.; Chen, K.; Wang, N.; He, C.; Lu, Q.; Cheng, Z.; Huang, W. A time-optimal wellbore trajectory design for slide drilling systems. Struct. Multidisc. Optim. 2021, 63, 881–896. [Google Scholar] [CrossRef]
- Liu, H.; Gjersvik, T.B.; Audun, F. Practical Application of 3D Dubins Curve Method in Directional Well Trajectory Planning. In Proceedings of the ADIPEC, Abu Dhabi, United Arab Emirates, 2–5 October 2023. [Google Scholar]
- Pathan, R.; Singh, U.; Joshi, A.D.; Cavé, A.; Fouchard, C.; Baume, A. Automated Exploration of Economical and Safe Well Trajectories in Brown Oil and Gas Fields. SPE Drill. Complet. 2023, 38, 631–644. [Google Scholar] [CrossRef]
- Wilson, G.J. An Improved Method for Computing Directional Surveys. J. Pet. Technol. 1968, 20, 871–876. [Google Scholar] [CrossRef]
- Callas, N.P. Computing Directional Surveys With a Helical Method. SPE J. 1976, 16, 327–336. [Google Scholar]
- Taylor, H.L.; Mack, C.M. A Systematic Approach to Well Surveying Calculations. SPE J. 1972, 12, 474–488. [Google Scholar] [CrossRef]
- Zaremba, W.A. Directional Survey by the Circular Arc Method. SPE J. 1973, 13, 5–11. [Google Scholar] [CrossRef]
- Johancsik, C.A.; Friesen, D.B.; Dawson, R. Torque and drag in directional wells-prediction and measurement. J. Pet. Technol. 1984, 36, 987–992. [Google Scholar] [CrossRef]
- Liu, Y.; Gao, E.; Jamshidian, H.; Tayalan, S.; Wang, J.; Lu, Z.; Lei, L. Improved Soft String Model for Non-Buckling Horizontal Section Drill String Torque Modeling of Changbei Project. In Proceedings of the Offshore Technology Conference-Asia, Kuala Lumpur, Malaysia, 25–28 March 2014. [Google Scholar]
- Miska, S.Z.; Zamanipour, Z.; Merlo, A.; Porche, M.N. Dynamic Soft String Model and Its Practical Application. In Proceedings of the SPE/IADC Drilling Conference and Exhibition, London, UK, 17–19 March 2015. [Google Scholar]
- Brooks, A.G.; Wilson, H. An Improved Method for Computing Wellbore Position Uncertainty and its Application to Collision and Target Intersection Probability Analysis. In Proceedings of the European Petroleum Conference, Milan, Italy, 22–24 October 1996. [Google Scholar]
- Williamson, H.S. Accuracy Prediction for Directional Measurement While Drilling. SPE Drill. Complet. 2000, 15, 221–233. [Google Scholar] [CrossRef]
- Sawaryn, S.J.; Wilson, H.; Bang, J.; Nyrnes, E.; Sentance, A.; Poedjono, B.; Lowdon, R.; Mitchell, I.; Codling, J.; Clark, P.J.; et al. Well Collision Avoidance—Separation Rule. In Proceedings of the SPE Annual Technical Conference and Exhibition, San Antonio, TX, USA, 9–11 October 2017. [Google Scholar] [CrossRef]
- Sawaryn, S.J.; Wilson, H.; Bang, J.; Nyrnes, E.; Sentance, A.; Poedjono, B.; Lowdon, R.; Mitchell, I.; Codling, J.; Clark, P.J.; et al. Well-Collision-Avoidance Separation Rule. SPE Drill. Complet. 2019, 34, 1–15. [Google Scholar] [CrossRef]
- Kort, B.W.; Bertsekas, D.P. A new penalty function method for constrained minimization. In Proceedings of the 1972 IEEE Conference on Decision and Control and 11th Symposium on Adaptive Processes, New Orleans, LA, USA, 13–15 December 1972; pp. 162–166. [Google Scholar]
- Abdelkhalik, O.; Daoud, A.; Shu, T.G. Dynamic Penalty Function Evolution Algorithms for History Matching of Oil and Gas Reservoir Models. In Proceedings of the SPE Kuwait International Petroleum Conference and Exhibition, Kuwait City, Kuwait, 10–12 December 2012. [Google Scholar]
Disclaimer/Publisher’s Note: The statements, opinions and data contained in all publications are solely those of the individual author(s) and contributor(s) and not of MDPI and/or the editor(s). MDPI and/or the editor(s) disclaim responsibility for any injury to people or property resulting from any ideas, methods, instructions or products referred to in the content. |
© 2025 by the authors. Licensee MDPI, Basel, Switzerland. This article is an open access article distributed under the terms and conditions of the Creative Commons Attribution (CC BY) license (https://creativecommons.org/licenses/by/4.0/).