Numerical Simulation of the Interfacial Dynamics of Highly Viscous Fluid on a Single Packing Element by the Volume-of-Fluid Method
Abstract
1. Introduction
2. CFD Modeling Approach
2.1. Packings
2.2. Fluid Properties
2.3. Simulation Domain

2.4. Governing Equations
2.5. Boundary and Initial Conditions
3. Simulation Methodology
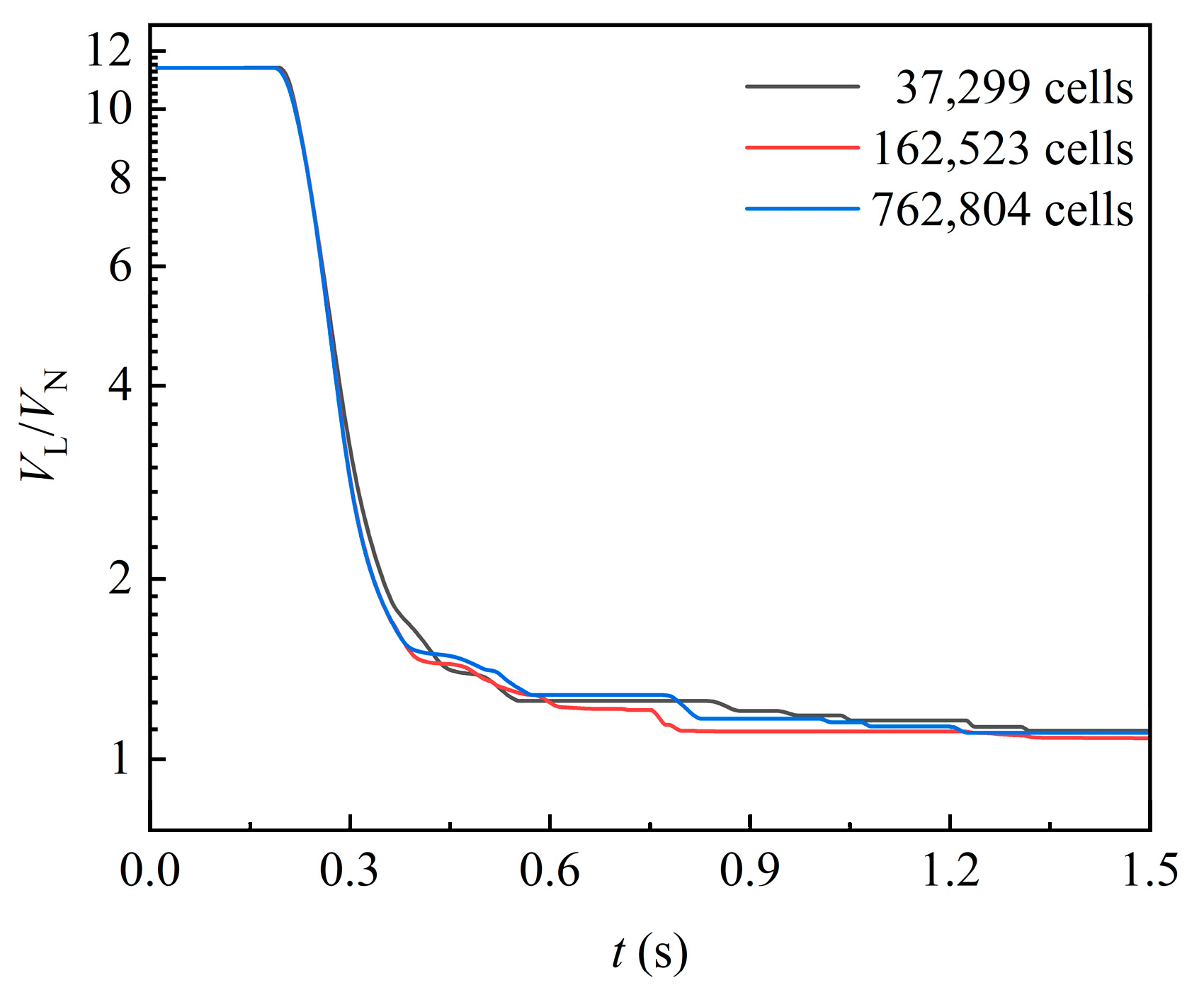
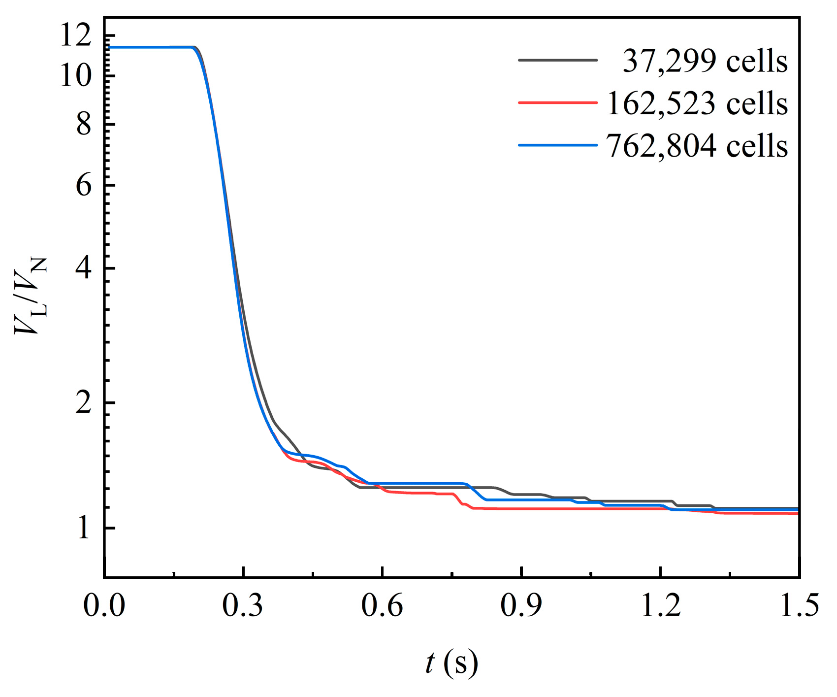
3.1. Mesh Independence Test
3.2. Model Validation
4. Results and Discussion
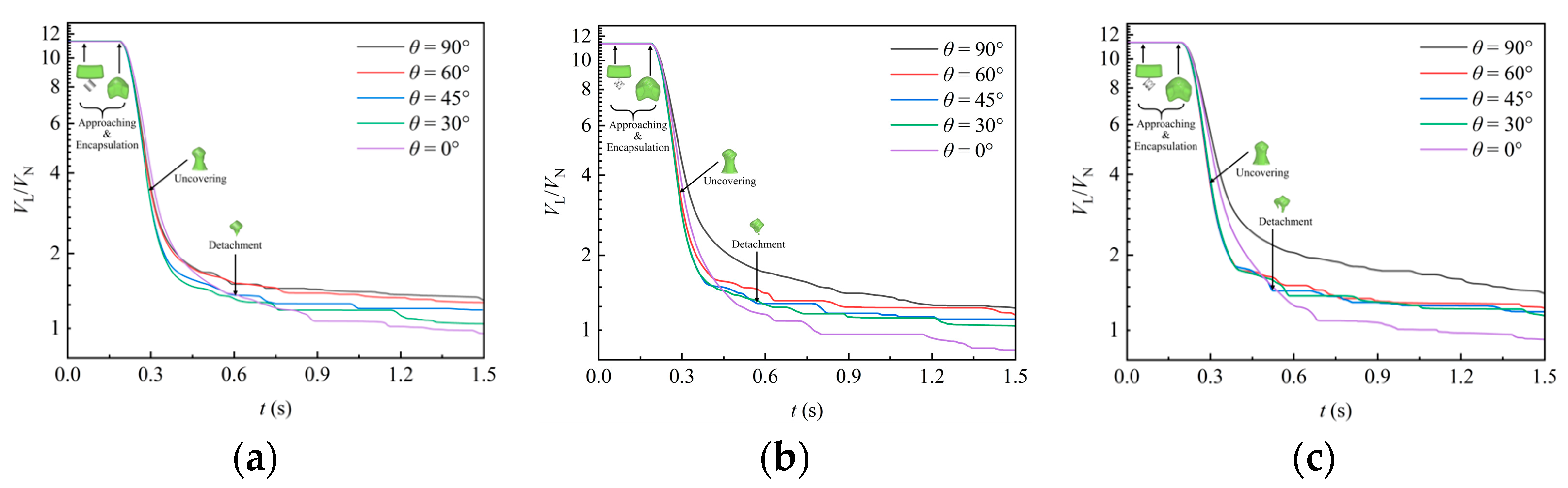
4.1. Evolution of Interfacial Morphology
4.2. Dynamic Characteristics of Liquid Flow
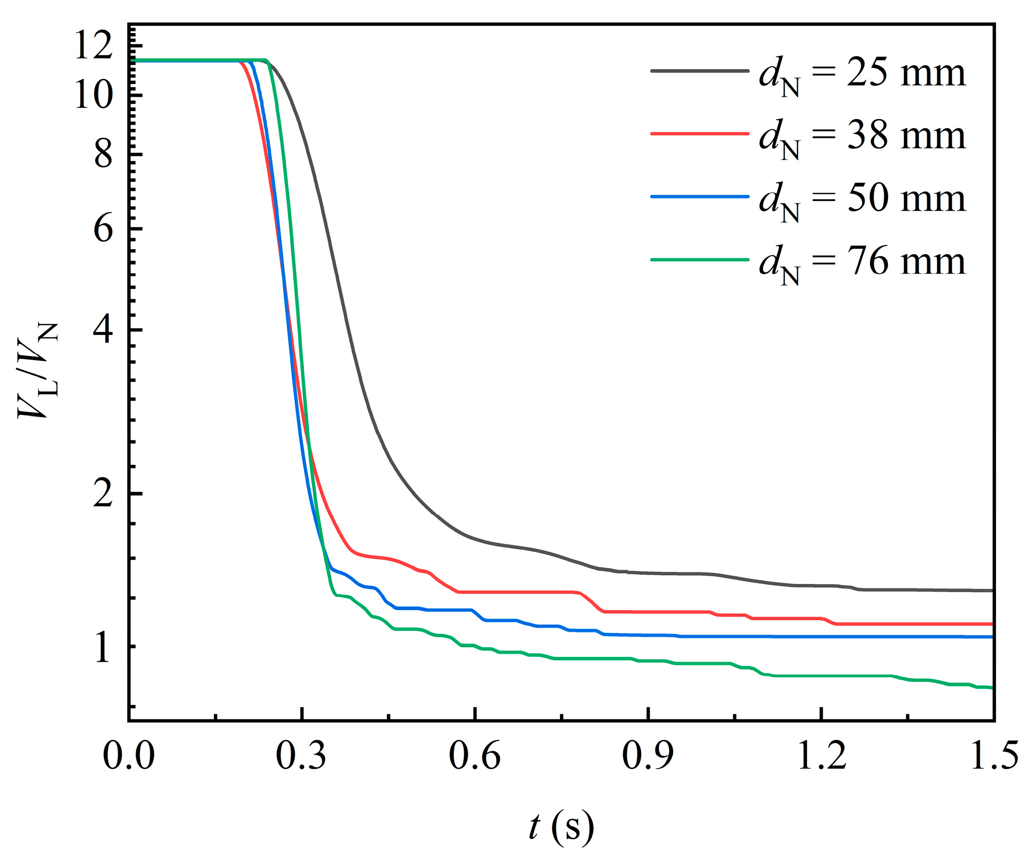
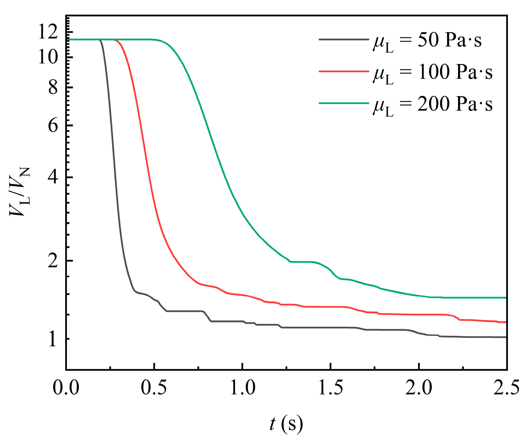
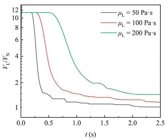
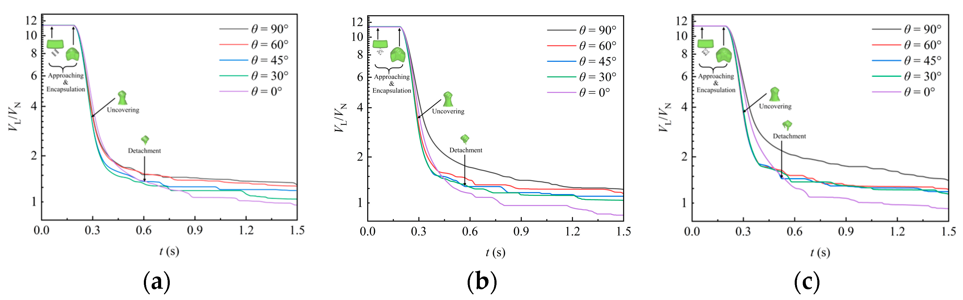
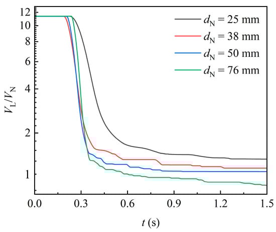
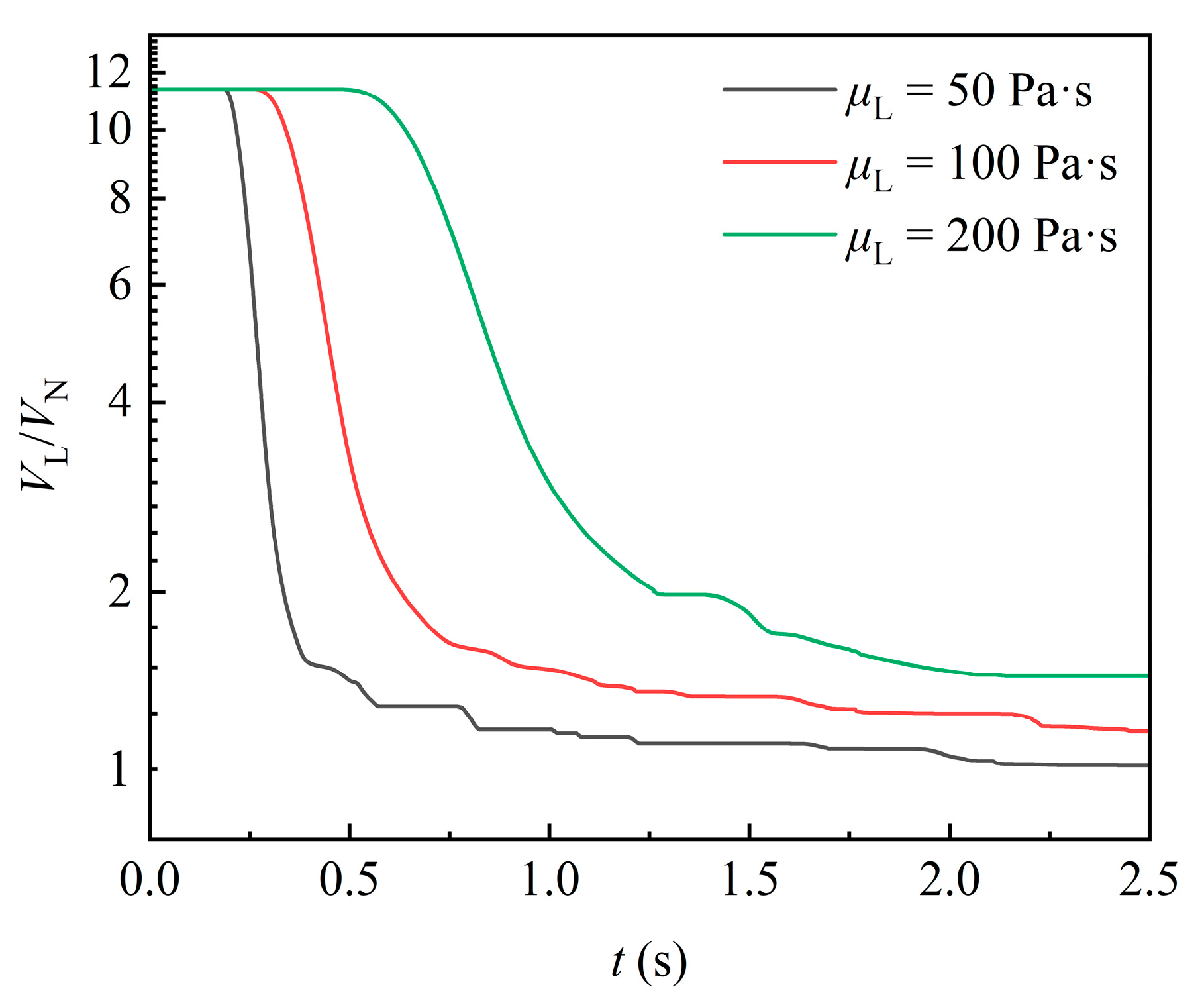
4.2.1. Liquid Volume in Domain
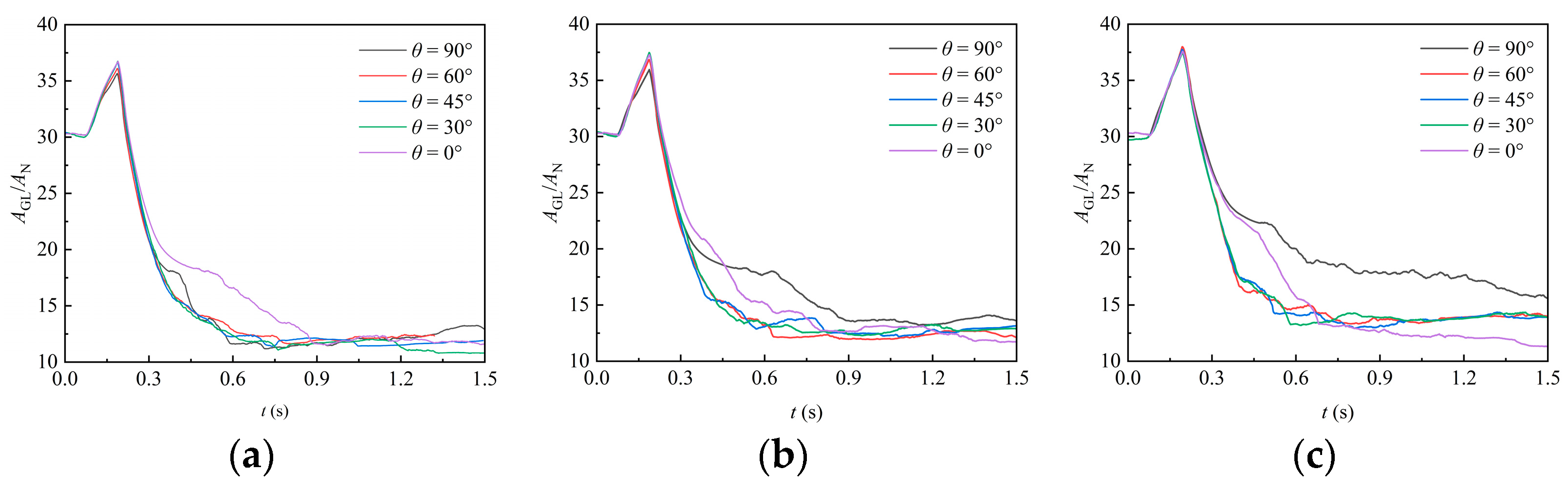
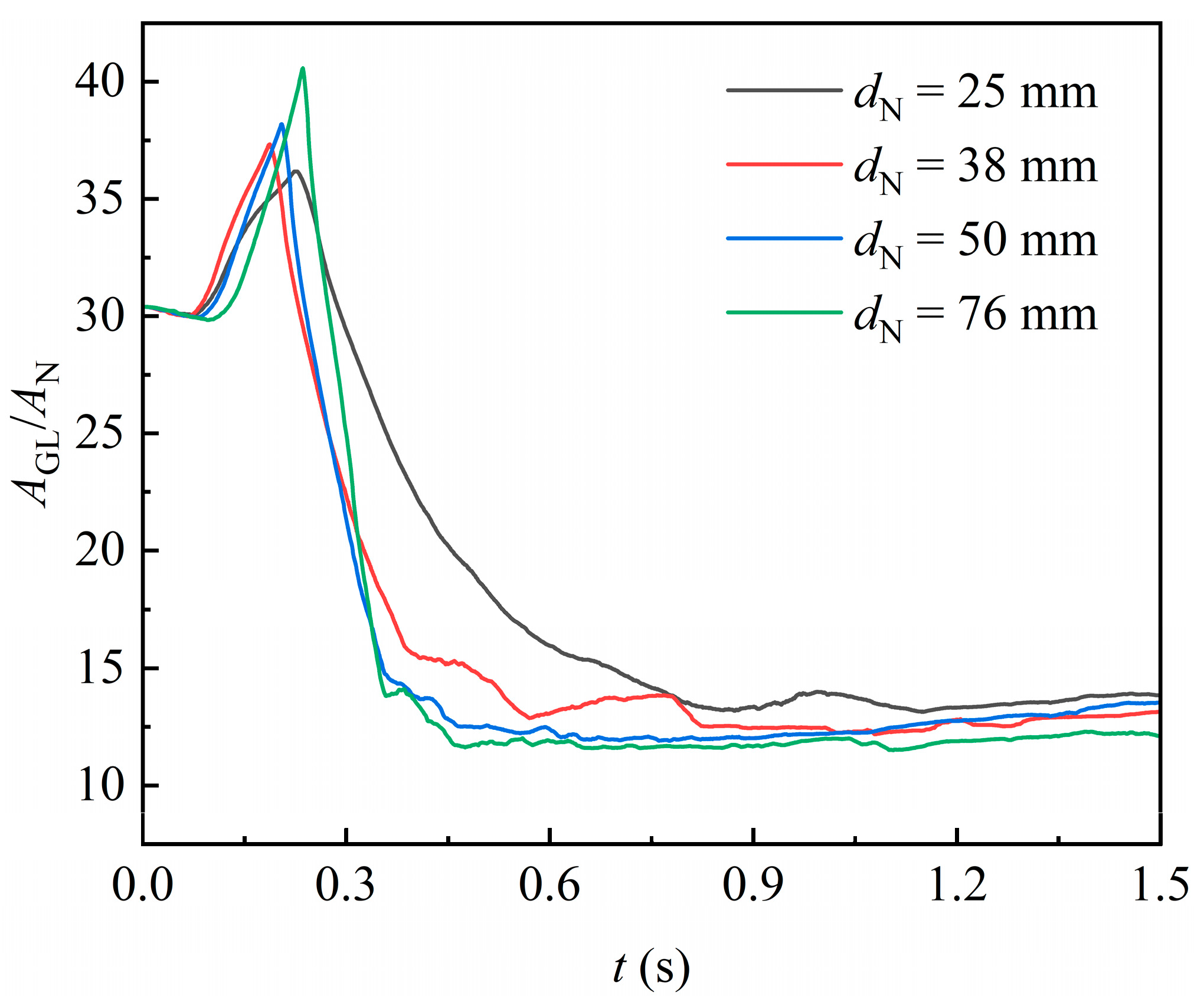
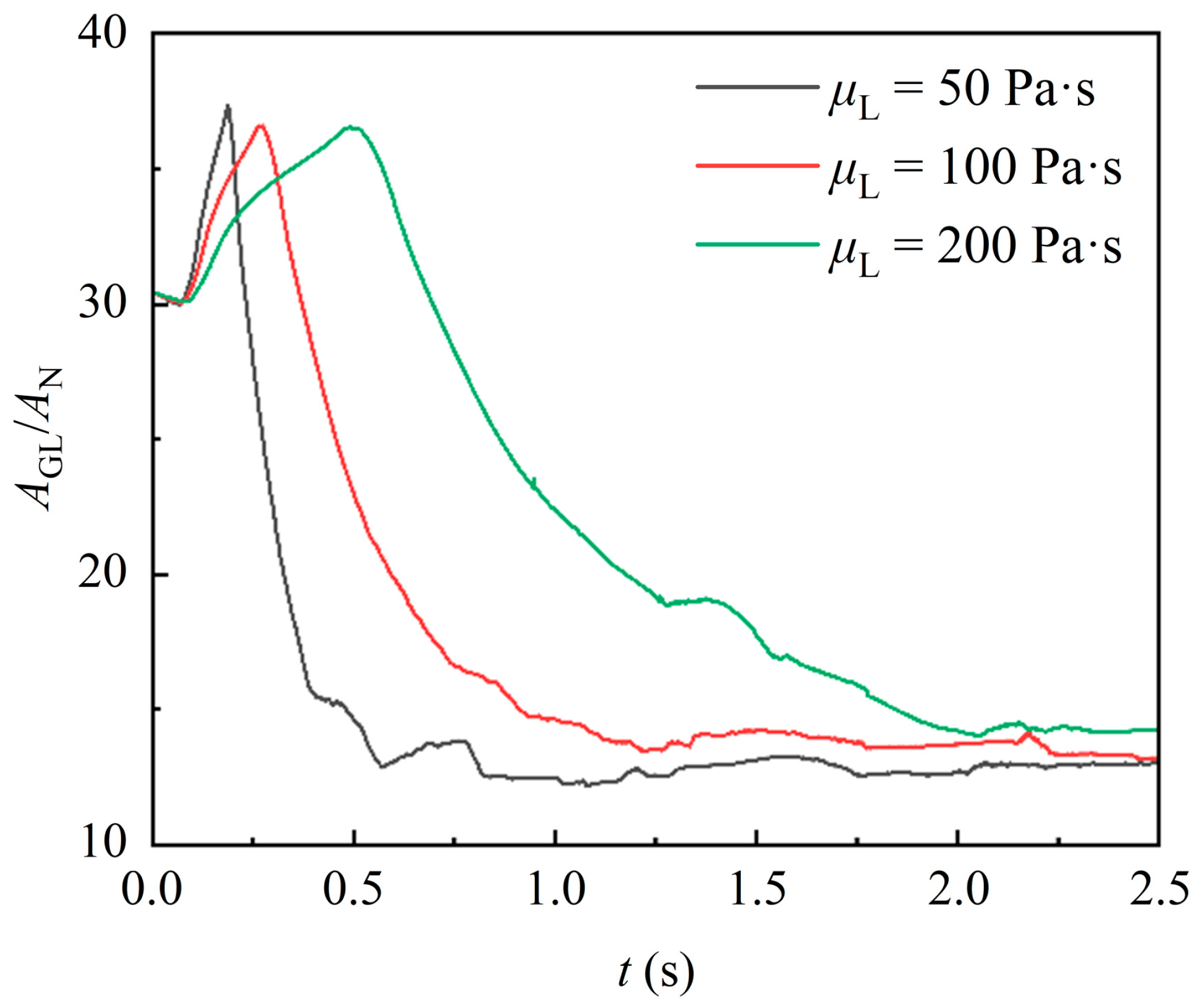
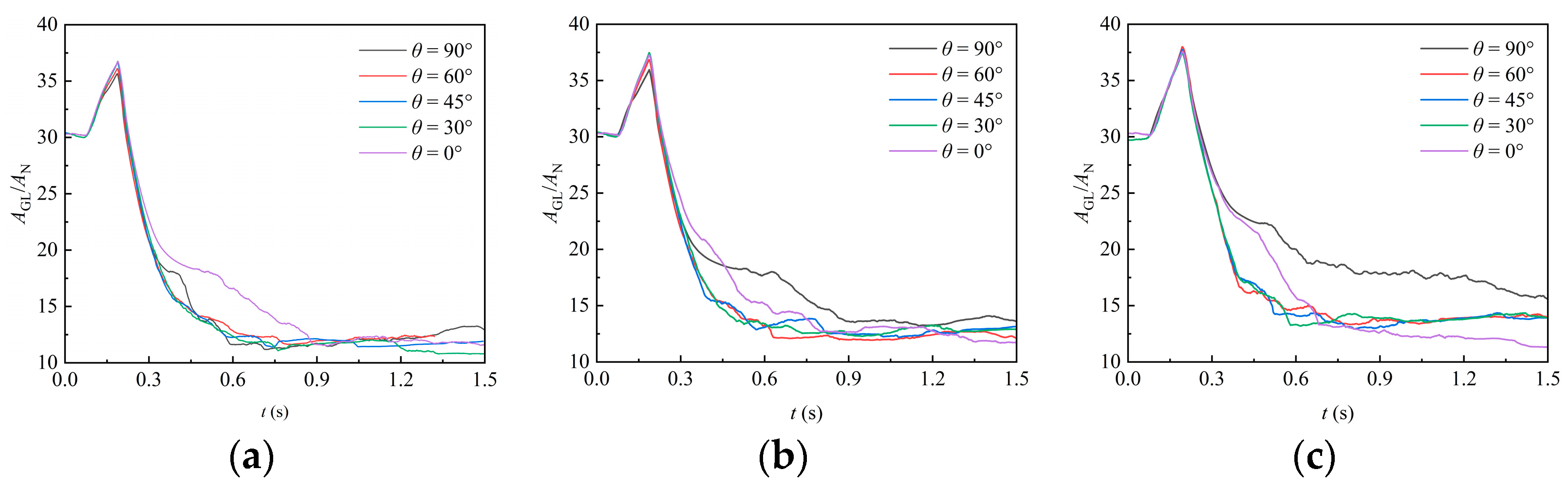
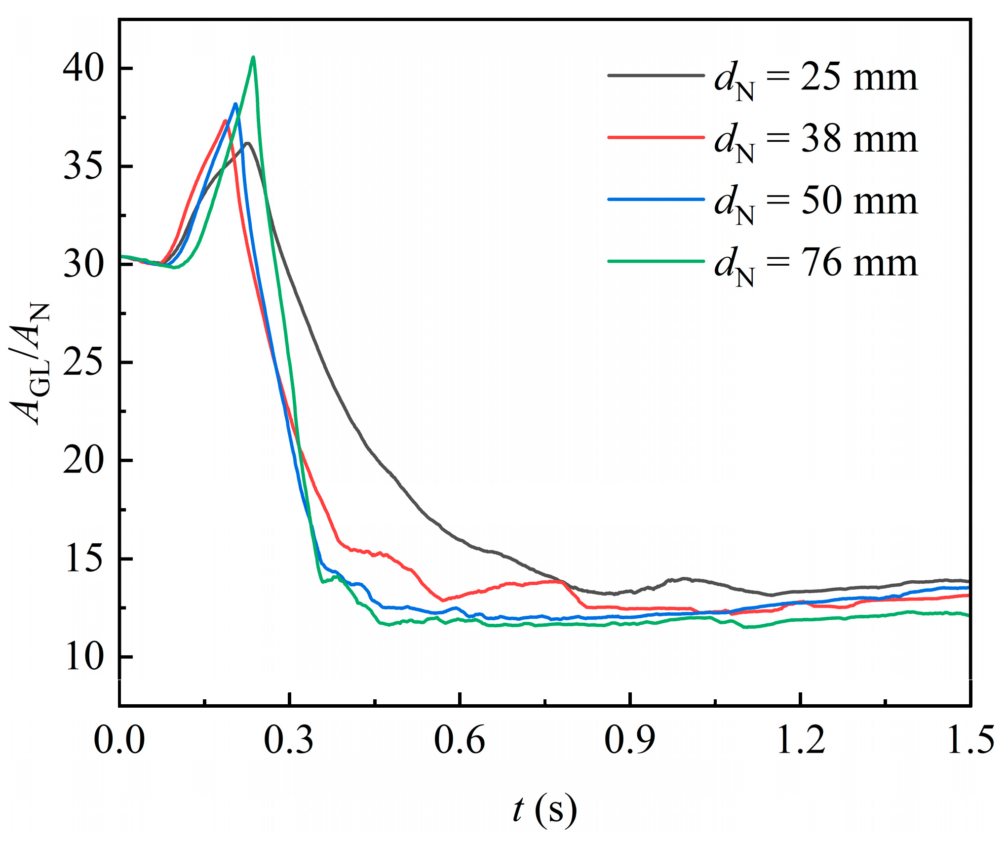
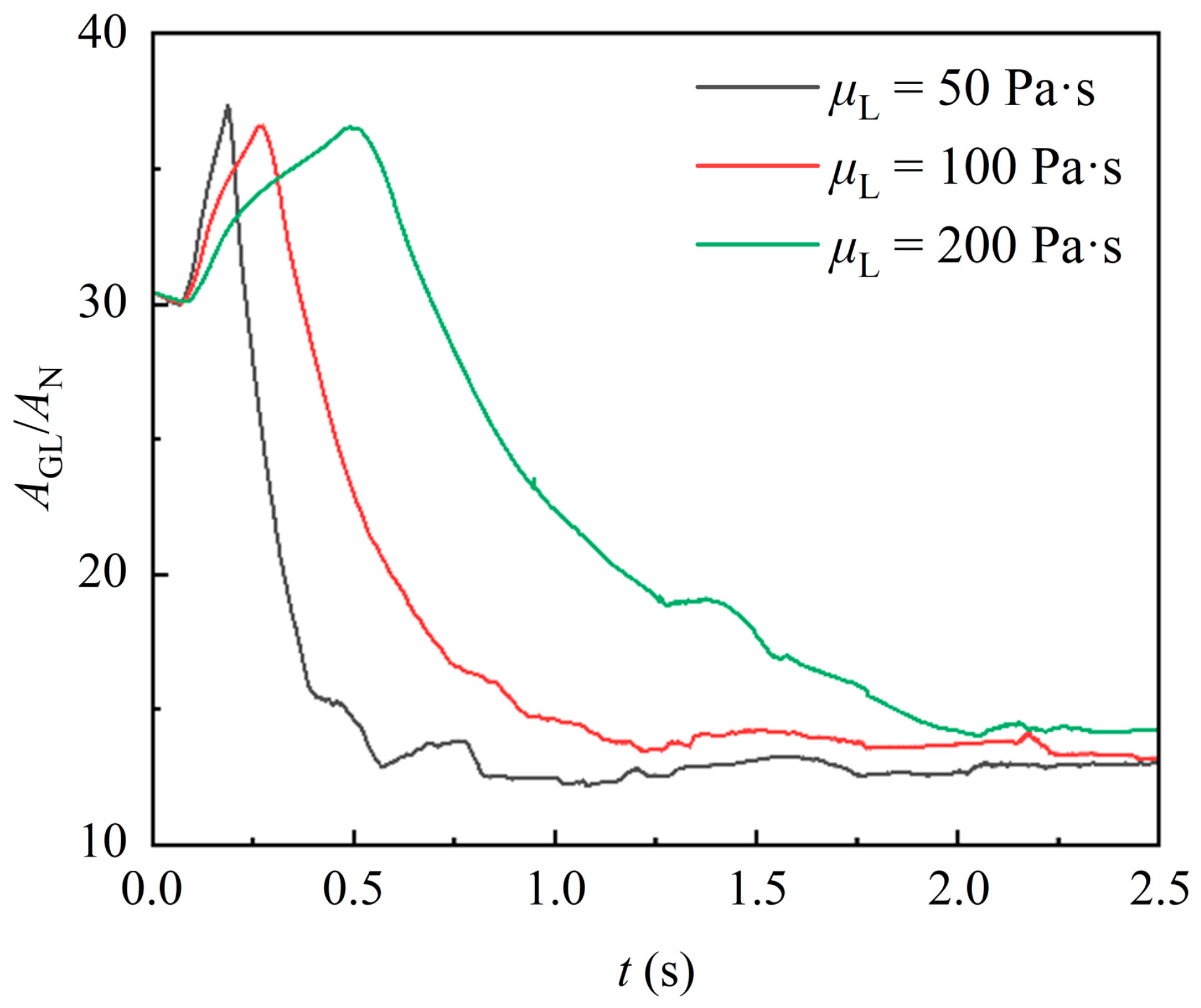
4.2.2. Gas–Liquid Interface Area
4.3. Gas–Liquid Interface Characteristics
4.3.1. Liquid Holding Volume of Packing
4.3.2. Liquid Film Area on Packing
4.3.3. Surface Renewal Rate of Packing
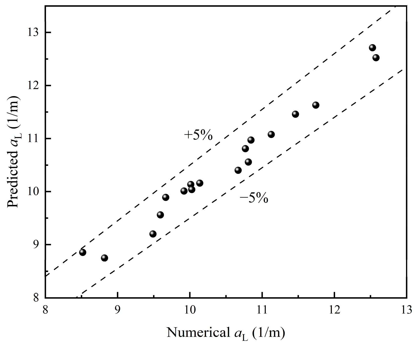
4.3.4. Specific Area of Liquid on Packing
4.3.5. Correlation of Liquid Specific Area on Packing
5. Conclusions
- (1).
- The interaction between the highly viscous liquid and the packing involves several main stages: approaching, encapsulation, uncovering, and detachment. As liquid viscosity increases, the timing of these stages is delayed. However, the overall liquid profile remains similar across different viscosities.
- (2).
- Before the first portion of liquid detaches from the packing, the liquid shrinkage section exhibits high velocity, facilitating liquid detachment. Meanwhile, the lowest liquid velocity occurs near the packing surface, promoting liquid adhesion to the packing during the detachment stage.
- (3).
- As the liquid begins to exit the domain, its volume decreases while the corresponding gas–liquid interface area reaches a maximum. Under the action of gravity, the liquid attached to the packing surface detaches in batches. This results in multiple plateaus in liquid volume, while the gas–liquid interface area fluctuates continuously. Over time, these values stabilize, and the change rate of the interface area transitions from positive to negative as the flow progresses from the encapsulation to the uncovering stage.
- (4).
- Increasing liquid viscosity leads to a higher liquid holding volume and film area of the packing. Conversely, increasing packing size results in a lower liquid holding volume and film area per unit packing space. When liquid viscosity exceeds 50 Pa·s, the surface renewal rate of the packing does not exceed 3 s−1 and decreases with higher viscosity and smaller packing sizes.
- (5).
- The specific area of liquid increases with decreasing packing size and liquid viscosity. Comparative results show that the specific area follows the order CMR > PR > RR. A correlation is developed to fit the specific area for highly viscous fluids flowing around a single packing. The pre-factor in this correlation reflects the relative magnitude of the specific area for different packing types.
- (6).
- The simulation results show that the surface renewal rate of packing is in the range of 0.5–3 s−1, and the specific area of liquid on packing is in the range of 150–400 m−1. These results are consistent with the order of magnitude of the disc reactor dealing with highly viscous fluids [23,24], indicating that the packing can provide similar mass transfer performance without additional cost.
Author Contributions
Funding
Data Availability Statement
Acknowledgments
Conflicts of Interest
Abbreviations
| Variable | |
| Specific area of liquid in the packing, 1/m | |
| Gas–liquid interface area, m2 | |
| Reference area, m2 | |
| Film area, m2 | |
| Nominal diameter of the packing, mm | |
| Surface force, N | |
| Gravitational acceleration, m/s2 | |
| Pressure, Pa | |
| Outlet pressure, Pa | |
| Surface renewal rate, s−1 | |
| Time, s | |
| Moment when the liquid volume first reaches the plateau, s | |
| Final moment to calculate the liquid volume, s | |
| Velocity, m/s | |
| Initial liquid velocity, m/s | |
| Liquid volume, m3 | |
| Reference volume, m3 | |
| Liquid holding volume, m3 | |
| Subscripts | |
| l | Liquid phase |
| g | Gas phase |
| Dimensionless Groups | |
| Ohnesorge number | |
| Bond number | |
| Abbreviations | |
| CFD | Computational fluid dynamics |
| CMR | Cascade mini ring |
| Probability density function | |
| PR | Pall ring |
| RR | Raschig ring |
| VOF | Volume of fluid |
References
- Wang, Q.; Zhang, W.; Wang, C.; Han, X.; Wang, H. Microstructure of heavy oil components and mechanism of influence on viscosity of heavy oil. ACS Omega 2023, 8, 10980–10990. [Google Scholar] [CrossRef]
- Rodriguez, G.; Micheletti, M.; Ducci, A. Macro-and micro-scale mixing in a shaken bioreactor for fluids of high viscosity. Chem. Eng. Res. Des. 2018, 132, 890–901. [Google Scholar] [CrossRef]
- Chen, C.C.; Huang, Y.H.; Fang, J.Y. Hydrophobic deep eutectic solvents as green absorbents for hydrophilic VOC elimination. J. Hazard. Mater. 2022, 424, 127366. [Google Scholar] [CrossRef]
- Gao, N.; Yang, Y.; Wang, Z.; Guo, X.; Jiang, S.; Li, J.; Hu, Y.; Liu, Z.; Xu, C. Viscosity of ionic liquids: Theories and models. Chem. Rev. 2023, 124, 27–123. [Google Scholar] [CrossRef] [PubMed]
- Hirschfeld, S.; Wünsch, O. Mass transfer during bubble-free polymer devolatilization: A systematic study of surface renewal and mixing effects. Heat. Mass. Tran. 2020, 56, 25–36. [Google Scholar] [CrossRef]
- De San Luis, A.; Santini, C.C.; Chalamet, Y.; Dufaud, V. Removal of volatile organic compounds from bulk and emulsion polymers: A comprehensive survey of the existing techniques. Ind. Eng. Chem. Res. 2019, 58, 11601–11623. [Google Scholar] [CrossRef]
- Wiesinger, H.; Wang, Z.; Hellweg, S. Deep dive into plastic monomers, additives, and processing aids. Environ. Sci. Tech. 2021, 55, 9339–9351. [Google Scholar] [CrossRef] [PubMed]
- Amini, Y.; Karimi-Sabet, J.; Nasr Esfahany, M.; Haghshenasfard, M.; Dastbaz, A. Experimental and numerical study of mass transfer efficiency in new wire gauze with high capacity structured packing. Sep. Sci. Technol. 2019, 54, 2706–2717. [Google Scholar] [CrossRef]
- Lhuissier, M.; Couvert, A.; Kane, A.; Amrane, A.; Biard, P.F. Volatile organic compounds absorption in a structured packing fed with waste oils: Experimental and modeling assessments. Chem. Eng. Sci. 2021, 238, 116598. [Google Scholar] [CrossRef]
- Song, D.; Seibert, A.F.; Rochelle, G.T. Mass Transfer Parameters for Packings: Effect of Viscosity. Ind. Eng. Chem. Res. 2018, 57, 718–729. [Google Scholar] [CrossRef]
- Amini, Y.; Nasr Esfahany, M. CFD simulation of the structured packings: A review. Sep. Sci. Technol. 2019, 54, 2536–2554. [Google Scholar] [CrossRef]
- Kang, J.L.; Huang, S.H.; Jang, S.S. Evaluation of Hydrodynamic Performance of New Random Packing Structure Using CFD. Processes 2022, 10, 1276. [Google Scholar] [CrossRef]
- Haroun, Y.; Raynal, L.; Alix, P. Prediction of effective area and liquid hold-up in structured packings by CFD. Chem. Eng. Res. Des. 2014, 92, 2247–2254. [Google Scholar] [CrossRef]
- Macfarlan, L.H.; Phan, M.T.; Eldridge, R.B. Structured packing geometry study for liquid-phase mass transfer and hydrodynamic performance using CFD. Chem. Eng. Sci. 2022, 249, 117353. [Google Scholar] [CrossRef]
- Fu, Y.; Bao, J.; Singh, R.; Wang, C.; Xu, Z. Investigation of countercurrent flow profile and liquid holdup in random packed column with local CFD data. Chem. Eng. Sci. 2020, 221, 115693. [Google Scholar] [CrossRef]
- Fu, Y.; Bao, J.; Singh, R.K.; Zheng, R.F.; Anderson-Cook, C.M.; Bhat, K.S.; Xu, Z. The influence of random packed column parameters on the liquid holdup and interfacial area. AIChE J. 2022, 68, e17691. [Google Scholar] [CrossRef]
- Xie, H.; Zong, Y.; Shen, L.; Dai, G. Interfacial mass transfer intensification with highly viscous mixture. Chem. Eng. Sci. 2021, 236, 116531. [Google Scholar] [CrossRef]
- Chen, S.; Zhang, L.; Wang, Y.; Zhang, X.; Chen, W. Residence time distribution of high viscosity fluids falling film flow down outside of industrial-scale vertical wavy wall: Experimental investigation and CFD prediction. Chin. J. Chem. Eng. 2019, 27, 1586–1594. [Google Scholar] [CrossRef]
- Lin, Y.; Zhang, G.; Yi, Z.; Cong, M.; Shen, H.; Zhao, J. Experimental study and CFD simulation on the falling film characteristics of viscous fluid outside a vertical tube at very low Reynolds numbers. Chem. Eng. Res. Des. 2025, 216, 174–185. [Google Scholar] [CrossRef]
- Mohan, A.; Tomar, G. Volume of fluid method: A brief review. J. Indian. Inst. Sci. 2024, 104, 229–248. [Google Scholar] [CrossRef]
- Montazeri, H.; Zandavi, S.H. Derivative of Heaviside step function vs. delta function in continuum surface force (CSF) models. Int. J. Multiphas. Flow. 2018, 100, 196–199. [Google Scholar] [CrossRef]
- De Moura, C.A.; Kubrusly, C.S. The courant–friedrichs–lewy (cfl) condition. AMC 2013, 10, 45–90. [Google Scholar]
- Cheng, W.; Wang, J.; Gu, X.; Feng, L. Film flow on rotating wheel in a horizontal twin-shaft reactor for polymer devolatilization. Chem. Eng. Sci. 2018, 191, 468–478. [Google Scholar] [CrossRef]
- Li, L.; Xie, H.; He, L.; Deng, B.; Zong, Y.; Yang, X.; Zhao, L.; Dai, G. Numerical investigation of twin-liquid film on spoked rotating disk reactor with highly viscous fluid. Chem. Eng. Sci. 2022, 255, 117666. [Google Scholar] [CrossRef]
- Sahoo, P.C.; Senapati, J.R.; Rana, B.K. Characterization of Droplet Collision and Breakup on a Hemispherical Target. Ind. Eng. Chem. Res. 2024, 63, 20883–20902. [Google Scholar] [CrossRef]

















| Type | RR | PR | CMR | |||||||||
|---|---|---|---|---|---|---|---|---|---|---|---|---|
| (mm) * | 25 | 38 | 50 | 76 | 25 | 38 | 50 | 76 | 25 | 38 | 50 | 76 |
| 25 | 38 | 50 | 76 | 25 | 38 | 50 | 76 | 12.5 | 19 | 25 | 38 | |
| 25 | 38 | 50 | 76 | 25 | 38 | 50 | 76 | 25 | 38 | 50 | 76 | |
| 1.2 | 1.4 | 1.5 | 2.6 | 1.2 | 1.4 | 1.5 | 2.6 | 1.2 | 1.4 | 1.5 | 2.6 | |
| − | − | − | − | − | − | − | − | 29 | 44 | 58 | 88 | |
| − | − | − | − | 1.5 | 3 | 3 | 5 | 2 | 4 | 4.5 | 7 | |
| − | − | − | − | 4.5 | 5 | 6 | 12 | 2.5 | 4.5 | 5 | 7.5 | |
| − | − | − | − | 6 | 12 | 16 | 20 | 5.5 | 7.5 | 11 | 16.5 | |
| − | − | − | − | 3 | 5 | 8.5 | 10 | 2 | 2 | 3 | 5 | |
| Material * | Density (kg/m3) | Viscosity (Pa·s) | Surface Tension (N/m) | Contact Angle (°) |
|---|---|---|---|---|
| Air | 1.225 | 1.789 × 10–5 | 0.078 | 105 |
| Maltose syrup | 1423 | 50, 100, 200 |
| Items * | Values |
|---|---|
| Packing type | RR, PR, CMR |
| Nominal diameter, (mm) | 25, 38, 50, 76 |
| Orientation angle, (°) | 0, 30, 45, 60, 90 |
| Liquid Viscosity, (Pa·s) | 50, 100, 200 |
Disclaimer/Publisher’s Note: The statements, opinions and data contained in all publications are solely those of the individual author(s) and contributor(s) and not of MDPI and/or the editor(s). MDPI and/or the editor(s) disclaim responsibility for any injury to people or property resulting from any ideas, methods, instructions or products referred to in the content. |
© 2025 by the authors. Licensee MDPI, Basel, Switzerland. This article is an open access article distributed under the terms and conditions of the Creative Commons Attribution (CC BY) license (https://creativecommons.org/licenses/by/4.0/).
Share and Cite
Liu, X.; Wang, J.; Gao, Z. Numerical Simulation of the Interfacial Dynamics of Highly Viscous Fluid on a Single Packing Element by the Volume-of-Fluid Method. Processes 2025, 13, 1238. https://doi.org/10.3390/pr13041238
Liu X, Wang J, Gao Z. Numerical Simulation of the Interfacial Dynamics of Highly Viscous Fluid on a Single Packing Element by the Volume-of-Fluid Method. Processes. 2025; 13(4):1238. https://doi.org/10.3390/pr13041238
Chicago/Turabian StyleLiu, Xin, Junhao Wang, and Zhengming Gao. 2025. "Numerical Simulation of the Interfacial Dynamics of Highly Viscous Fluid on a Single Packing Element by the Volume-of-Fluid Method" Processes 13, no. 4: 1238. https://doi.org/10.3390/pr13041238
APA StyleLiu, X., Wang, J., & Gao, Z. (2025). Numerical Simulation of the Interfacial Dynamics of Highly Viscous Fluid on a Single Packing Element by the Volume-of-Fluid Method. Processes, 13(4), 1238. https://doi.org/10.3390/pr13041238

