Next Issue
Volume 16, March
Previous Issue
Volume 16, January
 
 

Brain Sci., Volume 16, Issue 2 (February 2026) – 130 articles

Cover Story (view full-size image): Hyperbaric oxygen therapy (HBOT) has been proposed as an adjunctive treatment for spinal cord injuries (SCIs) to mitigate a secondary injury and enhance neurological recovery. A hybrid systematic review was conducted in accordance with the PRISMA 2020 guidelines and included an illustrative single-center clinical case. Studies published between 1978 and 2024 were searched for with PubMed, OVID Medline, and Google Scholar . Due to methodological heterogeneity, qualitative synthesis was performed. Fifty studies comprising 1102 patients were included. Neurological improvement was more frequently observed in incomplete injuries and when HBOT was initiated early. HBOT may represent a useful adjunct in selected SCI patients, although standardized protocols and controlled trials are required to better define its role. View this paper
  • Issues are regarded as officially published after their release is announced to the table of contents alert mailing list.
  • You may sign up for e-mail alerts to receive table of contents of newly released issues.
  • PDF is the official format for papers published in both, html and pdf forms. To view the papers in pdf format, click on the "PDF Full-text" link, and use the free Adobe Reader to open them.
Order results
Result details
Section
Select all
Export citation of selected articles as:
20 pages, 749 KB  
Article
Sense of Time in Neurodevelopmental Disorders: ADHD and Developmental Dyscalculia from a Dimensional and Transdiagnostic Perspective
by Federica Cortesi, Sara Eralda Santirocchi, Rachele Montanelli, Lisa Toffoli, Andrea Gambarini, Gian Marco Marzocchi, Giovanna Mioni, Giovanni Mento, Anna Lucia Ogliari, Enrico Toffalini and Valentina Tobia
Brain Sci. 2026, 16(2), 249; https://doi.org/10.3390/brainsci16020249 - 23 Feb 2026
Viewed by 1379
Abstract
Background: Sense of Time (SoT) refers to a range of cognitive abilities involved in the time processing (TP) and management (TM) of temporal durations. Impairments in these abilities can impact various domains of daily life, including academic, social, and recreational activities. Recent evidence [...] Read more.
Background: Sense of Time (SoT) refers to a range of cognitive abilities involved in the time processing (TP) and management (TM) of temporal durations. Impairments in these abilities can impact various domains of daily life, including academic, social, and recreational activities. Recent evidence suggests that children with neurodevelopmental disorders (NDDs), particularly ADHD and Developmental Dyscalculia (DD), often exhibit deficits in time-related cognitive functions. Adopting a transdiagnostic approach, the present study investigates the relationships among SoT skills, inattention and hyperactivity, and mathematical difficulties, considering both categorical and dimensional perspectives. Methods: A total of 811 children completed SoT assessments (computerized tasks and self- and proxy-report questionnaires), mathematical tests, and questionnaires measuring attention and hyperactivity traits (self and proxy report). Results: Correlational analyses revealed significant associations between SoT and attention/hyperactivity, as well as between SoT and mathematical abilities. Group differences in TP and TM variables were examined using both categorical (diagnostic groups) and dimensionally derived group approaches. The results indicated more marked contrasts using the dimensional approach. Specifically, attentional and executive control difficulties appeared to have greater associations with TP and TM skills than mathematical difficulties alone. No evidence for attentional X mathematical difficulties interaction emerged. Conclusions: The SoT abilities were impaired in children with both ADHD and DD. A transdiagnostic dimensional approach allows for a more nuanced understanding of SoT profiles across different types of atypical development within the NDDs spectrum. Practical and clinical implications are discussed. Full article
Show Figures

Figure 1

15 pages, 2211 KB  
Article
Comparison of Toe Clearance Characteristics Between Simulated Obstacle Crossing Using Visual Height Cues and Actual Obstacle Crossing
by Mao Kasai, Yumi Machida, Miku Washizu, Kenichi Sugawara and Tomotaka Suzuki
Brain Sci. 2026, 16(2), 248; https://doi.org/10.3390/brainsci16020248 - 23 Feb 2026
Viewed by 780
Abstract
Background/Objectives: Tripping is a major cause of falls and necessitates accessible training. This study aimed to fundamentally evaluate the biomechanical fidelity of a simplified simulated obstacle-crossing paradigm using visual height cues. Methods: Two experiments that included healthy young adults evaluated toe [...] Read more.
Background/Objectives: Tripping is a major cause of falls and necessitates accessible training. This study aimed to fundamentally evaluate the biomechanical fidelity of a simplified simulated obstacle-crossing paradigm using visual height cues. Methods: Two experiments that included healthy young adults evaluated toe clearance (TC) responsiveness during simulated crossing to four visual cue heights (Experiment 1: n = 16) and compared it with actual crossing (4–16% leg length) to assess biomechanical fidelity (Experiment 2: n = 18). Linear mixed models were used to analyze the effects of obstacle height, task condition, and walking course on vertical TC metrics, including minimum and maximum clearance and quartile coefficient of variation (QCV) for both the lead and trail limbs. Results: In Experiment 1, TC parameters scaled systematically with cue height (p < 0.001), confirming that visual cues elicited adaptive gait adjustments. In Experiment 2, although the maximum TC scaled similarly across conditions, the minimum TC was systematically reduced in the simulated condition compared to actual obstacle crossing (p < 0.001). Furthermore, the simulated condition exhibited increased QCV (p < 0.001), particularly for the trail limb at the highest obstacle height. Conclusions: Motor intention and execution precision were dissociated in the simulated obstacle crossing. Without physical risk, the central nervous system appeared to prioritize effort economy over the precise fine-tuning of safety margins. These results suggest that task repetition in risk-free simulations alone may be insufficient for acquiring safe obstacle-crossing strategies and highlight the importance of task-relevant feedback for ensuring biomechanical fidelity in fall-prevention research. Full article
Show Figures

Figure 1

12 pages, 2676 KB  
Article
Temporal Dynamics of Auditory Evoked Neural Oscillations Under a Paired-Pulse Suppression Paradigm
by Tomosuke Nakano, Eishi Motomura, Kazuki Hisatomi, Yusuke Nakayama, Kanako Shinke, Takayasu Watanabe, Yasuhiro Kawano, Koji Inui and Motohiro Okada
Brain Sci. 2026, 16(2), 247; https://doi.org/10.3390/brainsci16020247 - 23 Feb 2026
Viewed by 763
Abstract
Background/Objectives: Deficits in auditory change detection are well-known in psychiatric disorders such as schizophrenia. An abrupt change in sound feature during periodic sounds elicits both evoked potentials and a transient change in neural oscillations. Both of these cerebral responses are thought to reflect [...] Read more.
Background/Objectives: Deficits in auditory change detection are well-known in psychiatric disorders such as schizophrenia. An abrupt change in sound feature during periodic sounds elicits both evoked potentials and a transient change in neural oscillations. Both of these cerebral responses are thought to reflect the automatic change detection. However, the similarities and dissimilarities between these cerebral responses are unclear. To clarify them, we compared the temporal dynamics of evoked potentials and low gamma oscillations under a paired-pulse paradigm. Methods: Healthy adults (n = 21) participated. The stimulus was a 2 s sound consisting of a train of 25 ms pure tones. The sound pressure was increased by 15 dB twice within a 600 ms interval. Electroencephalographic signals were recorded from Fz and Cz electrodes referenced to linked mastoids. The peak (N100)-to-peak (P200) amplitude and the inter-trial phase coherence (ITPC) of low gamma oscillations were analyzed. Results: Auditory steady-state responses were evoked around 40 Hz. An abrupt change in sound pressure transiently decreased the ITPC of the oscillations at 40 Hz, whereas it increased the ITPC at the remaining frequencies. Unlike the change-related potentials, the degree of ITPC responses did not differ between the two changes. Conclusions: The synchrony of low gamma oscillations transiently responded to an abrupt increase in sound pressure but did not show paired-pulse suppression. This novel neurophysiological approach enables a focus on the neural change detection from multiple angles, which could be useful for investigations of psychiatric disorders. Full article
(This article belongs to the Special Issue Advancements and Future Directions in Clinical Psychosis)
Show Figures

Figure 1

17 pages, 2678 KB  
Article
Exploring the Role of TSPO-PET Imaging Among MRI-Negative Patients with Temporal Lobe Epilepsy: From the Perspective of Heterogeneity
by Yuncan Chen, Jing Wang, Shimin Xu, Qinyue Wang, Shuhao Mei, Jiaying Lu, Yiqiao Wang, Huamei Lin, Dongyan Wu, Liang Chen, Chuantao Zuo, Yihui Guan, Jingjie Ge and Xunyi Wu
Brain Sci. 2026, 16(2), 246; https://doi.org/10.3390/brainsci16020246 - 22 Feb 2026
Viewed by 826
Abstract
Background/Objectives: This study explored the heterogeneous distribution pattern of translocator protein 18kDa (TSPO)-PET/MRI using radioligand [18F] DPA-714 in temporal lobe epilepsy patients and identified clinical factors influencing imaging outcomes. Methods: The TSPO imaging in individual patient was evaluated with [...] Read more.
Background/Objectives: This study explored the heterogeneous distribution pattern of translocator protein 18kDa (TSPO)-PET/MRI using radioligand [18F] DPA-714 in temporal lobe epilepsy patients and identified clinical factors influencing imaging outcomes. Methods: The TSPO imaging in individual patient was evaluated with both visual reading and quantitative assessment using an asymmetry index based on cerebellum-normalized standardized uptake values. The association between clinical factors and TSPO imaging outcomes was assessed. Pathological evaluation was conducted in three patients. Results: Twenty-nine TLE patients and ten healthy controls were enrolled. Visual evaluation revealed increased [18F] DPA-714 uptake in twenty patients as compared to controls, predominantly in a unilateral regional brain, while the remaining nine patients showed visually undetectable uptake of [18F] DPA-714. Consistently, quantitative analysis revealed that 69% (20/29) patients exhibited at least one brain area with significant asymmetry index, notably in the temporal lobe (85%, 17/20). A high asymmetry index could also be observed in the parietal (13.8%, 4/29) and occipital lobe (17.2%, 5/29). Significant associations were identified between the asymmetry index and seizure frequency (p = 0.045, OR = 7.994), and the interval from last seizure to PET scan (p = 0.033, OR = 6.712). Moreover, we confirmed the pathology in three patients via immunohistochemistry, which underscored the potential of TSPO-PET in detecting minor lesion. Conclusions: TSPO-PET reveals patient-specific and network-level neuroinflammatory heterogeneity in MRI-negative TLE, supporting its potential role as a complementary tool for presurgical evaluation. Full article
(This article belongs to the Section Neurotechnology and Neuroimaging)
Show Figures

Figure 1

13 pages, 1909 KB  
Article
Speed-Sensitive EEG Biomarkers in a Motion Tracking Paradigm: Implications for Dynamic Visual Acuity Research
by Zejin Li, Guanghua Xu, Hui Li, Chenghang Du, Chengcheng Han, Xiaobing Guo, Jiahuan Wang and Sicong Zhang
Brain Sci. 2026, 16(2), 245; https://doi.org/10.3390/brainsci16020245 - 22 Feb 2026
Viewed by 572
Abstract
Background: Dynamic visual acuity (DVA) is functionally distinct from static visual acuity (SVA), though SVA is often used clinically as a reference. Methods: To identify EEG biomarkers for DVA, we presented participants with a high-contrast checkerboard moving horizontally at speeds ranging from 4°/s [...] Read more.
Background: Dynamic visual acuity (DVA) is functionally distinct from static visual acuity (SVA), though SVA is often used clinically as a reference. Methods: To identify EEG biomarkers for DVA, we presented participants with a high-contrast checkerboard moving horizontally at speeds ranging from 4°/s to 30°/s, engaging motion-sensitive pathways while preserving spatial detail. Six EEG features—ERPs (N200 and P300), TRCA, Hjorth activity, mean curve length, and Tsallis entropy—were extracted from eight occipito-parietal channels and evaluated for speed sensitivity. Results: Hjorth activity and Tsallis entropy showed consistent monotonic trends with respect to speed. Hjorth activity exhibited the strongest univariate correlation (r = 0.88, p < 0.05). In a Lasso regression model using all speed-sensitive features, the predicted speed correlated with actual speed at r = 0.588, with TRCA-weighted features retained for their multivariate contribution. Notably, Hjorth activity peaked at PO7/PO8 (3.558 and 1.478 µV2 at 30°/s), aligning with V5/MT+ activation. Conclusion: Given its high sensitivity, neuroanatomical plausibility, and simplicity, Hjorth activity is recommended as a primary candidate for EEG-based DVA biomarker development. This study provides a foundation for objective neurophysiological evaluation of dynamic vision. Full article
Show Figures

Figure 1

18 pages, 1002 KB  
Article
Neural Complexity of Implicit Attitudes Predicts Exercise Behavior in Hypertensive Patients: An EEG Entropy Study
by Xingyi Tang, Chengzhen Wu, Haoming Ma, Bo Yao, Ting Li and Meihua Piao
Brain Sci. 2026, 16(2), 244; https://doi.org/10.3390/brainsci16020244 - 22 Feb 2026
Viewed by 642
Abstract
Background: Exercise is a key component in managing hypertension, yet adherence remains low. Beyond deliberate decision-making, implicit attitudes also play an important role in exercise behavior as automatic and unconscious evaluative processes. Traditional studies mostly rely on reaction time measures, which are susceptible [...] Read more.
Background: Exercise is a key component in managing hypertension, yet adherence remains low. Beyond deliberate decision-making, implicit attitudes also play an important role in exercise behavior as automatic and unconscious evaluative processes. Traditional studies mostly rely on reaction time measures, which are susceptible to practice effects and fail to capture dynamic neural processing. Objectives: This study aimed to examine whether the EEG entropy derived from implicit attitude processing can better predict exercise behavior than traditional reaction time measures in patients with hypertension. Methods: Fifty-seven hypertensive patients completed affective and instrumental implicit association tests (IATs) with EEG recording. Seven entropy features were extracted. Multiple machine learning algorithms were applied to compare the predictive performance of reaction time with EEG entropy features. The random forest model was used to analyze the importance ranking of features from different brain regions. Results: EEG entropy outperformed reaction times in distinguishing exercisers from non-exercisers. Affective implicit attitudes consistently demonstrated stronger accuracy than instrumental attitudes. Envelope entropy showed the most robust and significant group differences. For the random forest (RF) classifier of envelope entropy, classification accuracies were 71.9% for the affective IAT (incompatible task only), and 71.9% for the model combining affective and instrumental IAT features. Frontal and central regions contributed most to classification. Conclusions: EEG entropy, particularly envelope entropy during affective IAT-incompatible tasks, provides superior discrimination of exercise behavior than reaction time measures. This suggests that exercise behavior is closely linked to the neural complexity underlying affective conflict processing. These findings advance our understanding of the neural dynamic patterns linking implicit attitudes and exercise behavior and suggest EEG entropy as a promising tool for assessing and intervening exercise behavior. Full article
(This article belongs to the Section Behavioral Neuroscience)
Show Figures

Figure 1

15 pages, 1680 KB  
Article
L-Alliin Modulates Brain Region-Specific Neuroinflammatory Responses to Lipopolysaccharide in Diet-Induced Obese Mice
by Celia González-Castillo, Daniel Ortuño-Sahagún, Carolina Guzmán-Brambila, Daniel Ulises Torres-Reyes, Lucrecia Carrera-Quintanar and Oscar Arias-Carrión
Brain Sci. 2026, 16(2), 243; https://doi.org/10.3390/brainsci16020243 - 22 Feb 2026
Cited by 1 | Viewed by 639
Abstract
Background/Objectives: A high-fat diet disrupts metabolic and neuroimmune balance in the brain, making neural tissue more reactive to inflammatory challenges. However, it is not well understood how this vulnerability varies across brain regions or how natural anti-inflammatory compounds influence it. Methods: In this [...] Read more.
Background/Objectives: A high-fat diet disrupts metabolic and neuroimmune balance in the brain, making neural tissue more reactive to inflammatory challenges. However, it is not well understood how this vulnerability varies across brain regions or how natural anti-inflammatory compounds influence it. Methods: In this study, we examined how the garlic-derived molecule L-alliin modulates the inflammatory response triggered by lipopolysaccharide in the frontal cortex, hippocampus, and hypothalamus of mice fed either a standard or high-fat diet. Results: Measurements of cytokine gene expression showed that the high-fat diet greatly increased the inflammatory response in the frontal cortex and hypothalamus, with the hypothalamus displaying the strongest overall activation. Treatment with L-alliin significantly reduced elevated cytokine levels in both regions, with the reductions most pronounced in animals on the high-fat diet. In contrast, the hippocampus showed a distinct pattern: expression of TNF-α and IL-1β changed very little across diets or treatments, whereas IL-6 and CCL2 were selectively altered by L-alliin, depending on the animals’ metabolic state. Conclusions: These findings demonstrate that diet-induced obesity does not affect the entire brain uniformly. Instead, inflammatory pathways are altered region-specifically, and L-alliin modulates these pathways with sensitivity to both brain region and metabolic condition. This work emphasizes the importance of accounting for neuroanatomical differences when developing strategies to reduce inflammation in obesity-associated conditions. Full article
(This article belongs to the Section Neuropharmacology and Neuropathology)
Show Figures

Figure 1

14 pages, 938 KB  
Article
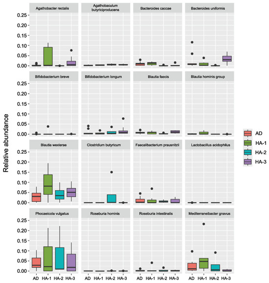
Association of Human Gut Microbiota with Alzheimer’s Disease Pathogenesis: An Exploratory Clinical Study
by Tadashi Ohara and Yasuyuki Taki
Brain Sci. 2026, 16(2), 242; https://doi.org/10.3390/brainsci16020242 - 21 Feb 2026
Cited by 1 | Viewed by 898
Abstract
Background/Objectives: The gut–brain axis and its role in neurological disorders have garnered increasing attention in recent years. However, studies assessing the association between microbiota and Alzheimer’s disease in Japanese cohorts are scarce. This study investigated the potential role of the brain–gut axis in [...] Read more.
Background/Objectives: The gut–brain axis and its role in neurological disorders have garnered increasing attention in recent years. However, studies assessing the association between microbiota and Alzheimer’s disease in Japanese cohorts are scarce. This study investigated the potential role of the brain–gut axis in Japanese patients with Alzheimer’s disease (AD), focusing specifically on the role of microbiota composition in AD pathogenesis. Methods: Ten patients with AD and 21 healthy adults across three different age groups were enrolled. Fecal microbiota composition was assessed using 16S rRNA gene sequencing. Results: We found that some bacterial species, such as Ruminococcus inulinivorans and Ruminococcus torques, were more abundant in the AD group, whereas others—including Agathobacter rectalis, Bacteroides uniformis, and Clostridium butyricum—were relatively more abundant in healthy adults. However, individual taxa differences did not reach statistical significance. Conclusions: Although our preliminary findings suggest no significant differences in fecal microbiota compositions between patients with AD and healthy individuals, they suggest that microbiota can identify a potential risk for AD development. Future research may help elucidate the bacterial species associated with AD pathogenesis, potentially enabling the use of microbiota composition as a screening tool to identify healthy individuals and those with AD or preclinical AD—an increasingly critical goal amid rising global dementia rates and the urgent need for preventive strategies. Full article
(This article belongs to the Section Neurodegenerative Diseases)
Show Figures

Figure 1

20 pages, 2326 KB  
Article
Decoupled Bidirectional Spatio-Temporal Fusion Network for Hybrid EEG-fNIRS Cognitive Task Classification
by Zirui Wang, Guanghao Huang, Zhuochao Chen, Xiaorui Liu, Yinhua Liu and Keum-Shik Hong
Brain Sci. 2026, 16(2), 241; https://doi.org/10.3390/brainsci16020241 - 21 Feb 2026
Viewed by 887
Abstract
Background/Objectives: Multimodal neuroimaging, particularly the integration of electroencephalography (EEG) and functional near-infrared spectroscopy (fNIRS), has emerged as a key methodology for investigating brain function and classifying neural activity. However, the efficient fusion of these two signals remains a formidable challenge due to their [...] Read more.
Background/Objectives: Multimodal neuroimaging, particularly the integration of electroencephalography (EEG) and functional near-infrared spectroscopy (fNIRS), has emerged as a key methodology for investigating brain function and classifying neural activity. However, the efficient fusion of these two signals remains a formidable challenge due to their significant spatio-temporal heterogeneity. This paper presents the BiSTF-Net, which integrates decoupled and bi-directional spatio-temporal fusion mechanisms to enhance the performance of cognitive task recognition. Methods: In BiSTF-Net, the spatial features of EEG and fNIRS are mutually guided and enhanced through an efficient bi-directional cross modal guidance (Bi-CMG). Then, the temporal latencies of fNIRS signals are aligned in a data-driven manner using adaptive temporal alignment (ATA). Subsequently, the aligned features are deeply fused into a modality-invariant, discriminative representation via a symmetric cross-attention fusion (SCAF) module. Results: Evaluated on the mental arithmetic (MA), motor imagery (MI), and word generation (WG) tasks, the BiSTF-Net achieves average accuracies of 83.33%, 82.09%, and 84.99% respectively. Conclusions: The BiSTF-Net exhibits superior performance compared to the existing methods, offers a robust and interpretable solution for multimodal EEG-fNIRS cognitive task classification, and provides a methodological foundation for future extensions to other multimodal data and broader real-world clinical applications. Full article
Show Figures

Figure 1

13 pages, 6319 KB  
Article
Identifying Early Responders to Dry Needling for Lower-Limb Spasticity in Multiple Sclerosis: A Secondary Responder Analysis of a Pilot Randomized Controlled Trial
by Alberto Javier-Ormazábal, Marta González-Sierra and Montserrat González-Platas
Brain Sci. 2026, 16(2), 240; https://doi.org/10.3390/brainsci16020240 - 21 Feb 2026
Viewed by 559
Abstract
Background/Objectives: Response heterogeneity limits the implementation of dry needling for spasticity in multiple sclerosis (MS). This secondary analysis aimed to identify early responders and explore predictors of response. Methods: We conducted a responder analysis of a pilot randomized, double-blind, sham-controlled trial (NCT05956119) including [...] Read more.
Background/Objectives: Response heterogeneity limits the implementation of dry needling for spasticity in multiple sclerosis (MS). This secondary analysis aimed to identify early responders and explore predictors of response. Methods: We conducted a responder analysis of a pilot randomized, double-blind, sham-controlled trial (NCT05956119) including 18 ambulatory MS patients with spasticity, randomized to a single session of dry needling (n = 9) or sham (n = 9). Sensitive responder criteria were defined as improvement ≥ 2.0 s in Timed Up-and-Go, ≥5 points in MSQOL-54 physical component, or ≥10% in 25-Foot Walk Test at 4 weeks. Results: Using these criteria, 33.3% (3/9) of dry needling recipients were classified as responders versus 0% (0/9) in the sham group (p = 0.214). Responders were more frequently observed among participants with relapsing–remitting MS (100% vs. 40%, p = 0.090) and lower baseline disability (Expanded Disability Status Scale 3.4 vs. 4.4). A positive association was observed between baseline pyramidal subscore and physical quality-of-life change, although this did not reach statistical significance (r = 0.52, p = 0.150) in the active group. Conclusions: Approximately one-third of participants met predefined responder criteria following dry needling; however, these findings should be interpreted as preliminary signals derived from an exploratory, underpowered pilot analysis. These results are hypothesis-generating and require confirmation in adequately powered trials. Full article
(This article belongs to the Special Issue Neuromuscular Diseases and Musculoskeletal Disorders)
Show Figures

Figure 1

23 pages, 2831 KB  
Article
Interpretable Network-Level Biomarker Discovery for Alzheimer’s Stage Assessment Using Resting-State fNIRS Complexity Graphs
by Min-Kyoung Kang, Agatha Elisabet, So-Hyeon Yoo and Keum-Shik Hong
Brain Sci. 2026, 16(2), 239; https://doi.org/10.3390/brainsci16020239 - 19 Feb 2026
Viewed by 842
Abstract
Background/Objectives: This study introduces a reproducible and interpretable graph-based framework for resting-state functional near-infrared spectroscopy (fNIRS) that enables network-level biomarker discovery for Alzheimer’s disease (AD). Although resting-state fNIRS is well suited for task-free assessment, most existing approaches rely on static channel-wise features [...] Read more.
Background/Objectives: This study introduces a reproducible and interpretable graph-based framework for resting-state functional near-infrared spectroscopy (fNIRS) that enables network-level biomarker discovery for Alzheimer’s disease (AD). Although resting-state fNIRS is well suited for task-free assessment, most existing approaches rely on static channel-wise features or conventional functional connectivity, limiting insight into coordinated network dynamics and reproducibility. Methods: Resting-state prefrontal fNIRS signals were represented as subject-level graphs in which edges captured coordinated fluctuations of nonlinear signal complexity across channels, computed using sliding-window analysis. Graph neural networks (GNNs) were employed as analytical tools to identify disease-stage-related network patterns. Interpretability was assessed using edge-level importance measures, and reproducibility was evaluated through fold-wise stability analysis and consensus network construction. Results: The proposed complexity–fluctuation-based graph representation consistently outperformed conventional amplitude-based functional connectivity. Statistically supported prefrontal network biomarkers distinguishing mild cognitive impairment (MCI) from healthy aging were identified, with statistically significant group differences (p = 0.001). In contrast, network patterns associated with Alzheimer’s disease were more heterogeneous and less consistently expressed. Consensus analysis revealed a subset of prefrontal connections repeatedly selected across cross-validation folds, and attention-based network patterns showed strong spatial correspondence with statistically derived biomarkers. Conclusions: This study establishes a reproducible and interpretable framework for resting-state fNIRS analysis that emphasizes coordinated complexity dynamics rather than classification accuracy. The results indicate that network-level alterations are most consistently expressed at the MCI stage, highlighting its role as a critical transitional state and supporting the potential of the proposed approach for longitudinal monitoring and clinically applicable fNIRS-based assessment of neurodegenerative disease. Full article
(This article belongs to the Special Issue Non-Invasive Neurotechnologies for Cognitive Augmentation)
Show Figures

Figure 1

21 pages, 2032 KB  
Article
The Influence of Dancesport on College Students’ Rhythm Perception Ability
by Qinran Yu, Xinhong Jin and Yingying Wang
Brain Sci. 2026, 16(2), 238; https://doi.org/10.3390/brainsci16020238 - 19 Feb 2026
Viewed by 668
Abstract
Objective: This study investigated the effects of a 10-week dancesport intervention on rhythm perception ability and its multisensory correlates in college students. Methods: Forty students were randomly assigned to an intervention group (dancesport) and a control group (Health Qigong). Rhythm perception was assessed [...] Read more.
Objective: This study investigated the effects of a 10-week dancesport intervention on rhythm perception ability and its multisensory correlates in college students. Methods: Forty students were randomly assigned to an intervention group (dancesport) and a control group (Health Qigong). Rhythm perception was assessed across different task difficulties (Experiment 1) and through somatosensory, visual, and auditory channels (Experiment 2). Data were analyzed using repeated-measures ANOVA with Bonferroni-corrected pairwise comparisons. Results: The dancesport group showed significant improvement in rhythm perception accuracy at all difficulty levels. Furthermore, they achieved superior post-test performance compared to the control group on pooled-difficulty tasks. Significant enhancements were also found in somatosensory reaction time and in both the accuracy and reaction time of auditory processing. Visual channel improvement was restricted to accuracy. Conclusions: A 10-week dancesport training program led to significant within-group improvement in rhythm perception across all difficulty levels and enabled superior performance relative to the control group on pooled-difficulty tasks. It also enhances multisensory processing, particularly in somatosensory and auditory channels. Full article
(This article belongs to the Section Cognitive, Social and Affective Neuroscience)
Show Figures

Figure 1

21 pages, 600 KB  
Article
The Role of the Different Components of Attention on Observational Learning in Early Primary School Children: New Insights and Educational Implications
by Francesca Foti, Valentina Lucia La Rosa, Luca Pullano, Tiziana Iaquinta and Elena Commodari
Brain Sci. 2026, 16(2), 237; https://doi.org/10.3390/brainsci16020237 - 19 Feb 2026
Cited by 1 | Viewed by 1210
Abstract
Background/Objectives: Observational learning enables children to acquire new skills by observing others’ actions. Attention is widely recognized as a key supporting process and consists of multiple components that develop substantially during the early school years. Empirical evidence on the association between specific components [...] Read more.
Background/Objectives: Observational learning enables children to acquire new skills by observing others’ actions. Attention is widely recognized as a key supporting process and consists of multiple components that develop substantially during the early school years. Empirical evidence on the association between specific components of attention and observational learning remains limited. Therefore, this study examined the relationship between the main components of attention and observational learning among early primary school children. Methods: Sixty-eight children, aged 6–8, completed a computerized battery assessing the main components of attention (reaction times, simple and related to a choice; focused attention; short-term span of attention; divided and alternating attention) and an observational learning task where children observed an actor detecting a hidden spatial sequence and then reproduced it across detection phase (DP), exercise phase (EP), and automatization phase (AP). Correlational and regression analyses were conducted, controlling for age and gender. Results: Visual and visual–spatial focused attention emerged as significant predictors of performance during DP and EP, with higher levels of focused attention associated with fewer errors and repetitions. Choice reaction time showed phase-specific associations with error rates during early learning phases, whereas age was primarily related to performance during the AP. Conclusions: Observational learning in early primary school relies on specific components of attention rather than on attention as a unitary construct. Visual and visual–spatial focused attention plays a central role during the acquisition and consolidation of observed sequences, with implications for understanding learning from models and for educational practices based on demonstration. Full article
(This article belongs to the Section Developmental Neuroscience)
Show Figures

Figure 1

13 pages, 2474 KB  
Review
Exploring the ALS Multistep Model
by Andrew Eisen
Brain Sci. 2026, 16(2), 236; https://doi.org/10.3390/brainsci16020236 - 18 Feb 2026
Cited by 1 | Viewed by 1253
Abstract
ALS is a multistep disease, in which (epi)genetic, environmental, and age-related processes, including senescence, converge over decades to reduce resilience resulting in self-sustaining symptomatic disease. The multistep model visualizes five to six impactful events in sporadic ALS, but fewer in those carrying high-penetrance [...] Read more.
ALS is a multistep disease, in which (epi)genetic, environmental, and age-related processes, including senescence, converge over decades to reduce resilience resulting in self-sustaining symptomatic disease. The multistep model visualizes five to six impactful events in sporadic ALS, but fewer in those carrying high-penetrance mutations, such as SOD1, FUS, or C9orf72 expansions. The timing, duration, and cumulative effects of specific steps are presumed to have individual variability but, the steps themselves are inferred since they have not been observed and remain agnostic as to biological identity. Nevertheless, the model gives an opportunity to integrate genetics, aging, environmental exposures, and systems-level vulnerability into a single framework. Acting as step modifiers, environmental exposures including trauma lower the threshold for step acquisition, accelerate the accumulation of steps, influence the anatomical site of disease onset, and unmask preclinical disease. Because ALS emerges from the gradual collapse of multiple layers of biological robustness, tackling a single pathway will be insufficient and the multistep model forces a reconsideration of therapeutic timing and strategies. Protection against early-life insults, anti-aging, and anti-senescent therapies may curtail step accumulation preventing ALS from exceeding threshold and disease manifestation. Full article
(This article belongs to the Section Sensory and Motor Neuroscience)
Show Figures

Figure 1

21 pages, 3314 KB  
Article
Advancing Neurological Rehabilitation: The BRAIN Framework for Clinical Reasoning in Neurophysiotherapy
by Alfredo Lerín-Calvo, Raúl Ferrer-Peña and Sergio Lerma-Lara
Brain Sci. 2026, 16(2), 235; https://doi.org/10.3390/brainsci16020235 - 18 Feb 2026
Viewed by 1405
Abstract
Background/Objectives: Clinical reasoning is essential in neurological rehabilitation, in which patient management is complex and multifactorial. However, existing models lack operationalization for neurophysiotherapy practice. This paper proposes the Biopsychosocial Reasoning Approach In Neurophysiotherapy (BRAIN) framework, a unified clinical reasoning model that integrates [...] Read more.
Background/Objectives: Clinical reasoning is essential in neurological rehabilitation, in which patient management is complex and multifactorial. However, existing models lack operationalization for neurophysiotherapy practice. This paper proposes the Biopsychosocial Reasoning Approach In Neurophysiotherapy (BRAIN) framework, a unified clinical reasoning model that integrates the International Classification of Functioning, Disability, and Health (ICF) with neurophysiotherapy-specific domains of physical function. Methods: The BRAIN framework was developed by integrating previously validated models: the ICF, the American Physical Therapy Association (APTA) patient-management process, and Kisner and Colby’s interrelated aspects of physical function, adapted for neurological populations. The model employs a biopsychosocial, patient-centered, and goal-oriented approach, thereby providing a structured workflow for examination, evaluation, diagnosis, prognosis, intervention, and outcomes assessment. Results: The BRAIN framework provides an operationalized mapping between ICF body functions and neurophysiotherapy-specific impairment domains, a clear separation between body functions and body structures, tiered assessment pathways addressing patient heterogeneity, and a unified language for interdisciplinary communication. The model incorporates shared decision-making and goal-oriented reasoning within the clinical workflow. Conclusions: The BRAIN framework offers a structured, teachable template for clinical reasoning in neurological physiotherapy. As a theoretical proposal, there is a need for empirical validation through expert consensus and clinical implementation studies. Full article
Show Figures

Figure 1

14 pages, 339 KB  
Systematic Review
Action Observation and Motor Imagery in Children with Developmental Coordination Disorder: A Systematic Review
by Elisa De Masi, Giovanni Morone, Giorgia Bruschi, Maria Paola Colatei, Martina D’Arienzo, Giulia Pezzetta, Irene Ciancarelli and Alex Martino Cinnera
Brain Sci. 2026, 16(2), 234; https://doi.org/10.3390/brainsci16020234 - 17 Feb 2026
Cited by 1 | Viewed by 818
Abstract
Background and Objectives: Children with Developmental Coordination Disorder (DCD) show substantial motor and balance difficulties that affect daily activities. Although action observation (AO) and motor imagery (MI) are effective in other neurological conditions, their impact in DCD remains underinvestigated. This review explores the [...] Read more.
Background and Objectives: Children with Developmental Coordination Disorder (DCD) show substantial motor and balance difficulties that affect daily activities. Although action observation (AO) and motor imagery (MI) are effective in other neurological conditions, their impact in DCD remains underinvestigated. This review explores the preliminary evidence of AO- and MI-based interventions for improving motor and functional outcomes in children with DCD. Methods: A systematic search of PubMed, Scopus, and Web of Science identified randomized controlled trials and controlled trials published in the last 15 years evaluating AO and MI interventions in children with DCD. Two independent reviewers conducted the screening of the studies, data extraction, and the risk-of-bias assessment using RoB2 and ROBINS-I. The review followed PRISMA reporting guidelines and was pre-registered on the PROSPERO database (CRD420251084196). Results: Of 320 records initially identified, seven studies, involving 199 children with DCD (aged 5–12 years), were included. Interventions varied from single-session to multi-session protocols (1–16 sessions) and included AO, MI, or a combination of both (AO + MI), with heterogeneous control conditions. Within these studies, the outcomes were primarily assessed using standardized motor coordination measures (MABC/MABC-2, DCDQ), planning tasks, and performance-based activities of daily living (ADLs) measures. Improvements were reported in motor imagery tasks, planning, and functional task performance. However, RCTs and CTs were identified to have a moderate and high risk of bias, respectively. Conclusions: The present review suggests that AO and MI, either alone or in combination, may enhance motor planning, coordination, and daily functional skills in children with DCD, supporting internal motor representations and predictive motor control, reflecting functional gain in motor skills and ADL performance. Interestingly, these mental training approaches can be applied in clinical and everyday settings and are suitable for supporting these processes, with VR-based combinations representing a promising, but exploratory, approach. Although critical heterogeneity and a moderate risk of bias remain, the findings need to be interpreted with caution and require further investigation. Full article
(This article belongs to the Section Neurorehabilitation)
Show Figures

Figure 1

19 pages, 1669 KB  
Article
‘I Am No Longer Anxious When I Speak’: Experiences of People with Primary Progressive Aphasia Taking Part in a Biographic-Narrative Therapy (Cope PPA)
by Mirjam Gauch, Anna-Lena Köb, Julia Tanase, Julia Feldmann, Johanna Jochmann, Katharina Geschke, Helen Klaus, Oliver Tüscher, Isabel Heinrich and Sabine Corsten
Brain Sci. 2026, 16(2), 233; https://doi.org/10.3390/brainsci16020233 - 16 Feb 2026
Cited by 1 | Viewed by 977
Abstract
Background: Due to communication problems, people with primary progressive aphasia (PwPPA) are often affected in their self-image and experience a reduced quality of life (QoL). Biographic-narrative therapy is an effective approach to improve QoL in post-stroke aphasia. This study describes how PwPPA experienced [...] Read more.
Background: Due to communication problems, people with primary progressive aphasia (PwPPA) are often affected in their self-image and experience a reduced quality of life (QoL). Biographic-narrative therapy is an effective approach to improve QoL in post-stroke aphasia. This study describes how PwPPA experienced their participation in the biographic-narrative intervention called Cope PPA. Methods: The intervention comprised a combination of five individual and seven group therapy sessions as well as the use of music and art therapy elements. Inclusion criteria were a capacity to give consent and sufficient visual/auditory abilities of PwPPA. Exclusion criteria were the presence of severe depression (MADRS > 35) or severe cognitive deficits (MMST < 10). After the therapy, PwPPA and their family members took part in half-hour semi-structured interviews. Interviews were analysed according to the reflexive thematic analysis by Braun and Clarke. Results: The qualitative analysis was based on a data set of 34 interviews. A total of six themes were identified: (1) Participation required adherence; (2) Materials were considered remarkable; (3) Storytelling was conducted in an aphasia-free area; (4) Group participation created a sense of belonging; (5) Experiences encouraged self-reflection and (6) Coping is lengthy and ongoing. Conclusions: The findings of our reflexive thematic analysis suggest that PwPPA experienced the intervention as meaningful. Some PwPPA described the effects of our intervention on their self-image. Others emphasised that coping with their condition was an ongoing process requiring continuous support. Full article
Show Figures

Figure 1

18 pages, 401 KB  
Review
Neuropsychiatric Phenotype and Treatment Challenges in 47,XYY Syndrome: A Narrative Review with a Case Series of Adolescents
by Maria Giulia D’Acunto, Chiara Bosetti, Deianira Rinaldi, Marika Ricci, Stefano Berloffa, Gabriele Masi and Maria Mucci
Brain Sci. 2026, 16(2), 232; https://doi.org/10.3390/brainsci16020232 - 15 Feb 2026
Viewed by 1572
Abstract
Background: 47,XYY syndrome is a relatively common sex chromosome aneuploidy that remains largely underdiagnosed. While its somatic phenotype is often mild, growing evidence indicates a substantial burden of neurodevelopmental and psychiatric morbidity. However, the characterization of the neuropsychiatric phenotype across development, particularly during [...] Read more.
Background: 47,XYY syndrome is a relatively common sex chromosome aneuploidy that remains largely underdiagnosed. While its somatic phenotype is often mild, growing evidence indicates a substantial burden of neurodevelopmental and psychiatric morbidity. However, the characterization of the neuropsychiatric phenotype across development, particularly during adolescence, and the associated treatment challenges remain incomplete. Objectives: To provide a comprehensive narrative review of the neuropsychiatric phenotype of 47,XYY syndrome and to illustrate clinical complexity and treatment response through a case series of adolescents. Methods: A narrative review of the literature was conducted focusing on genetics, neurodevelopmental and psychiatric features, neuroimaging and neurophysiology findings, clinical course, and management strategies in 47,XYY syndrome. This review is complemented by a case series of adolescents with confirmed 47,XYY karyotype, evaluated for developmental history, psychiatric comorbidity and response to pharmacological and non-pharmacological interventions. Results: The literature consistently describes increased risks of language impairment, executive dysfunction, ADHD, autism spectrum traits, and emotional and behavioral dysregulation in males with 47,XYY syndrome. Psychiatric vulnerability appears to increase during adolescence and adulthood, with elevated rates of mood, psychotic, and substance use disorders. The presented cases illustrate a convergent clinical trajectory marked by early developmental delays, progressive behavioral dysregulation in adolescence and limited or inconsistent response to multiple classes of psychotropic medications, suggesting a pattern of pharmacoresistance in a subset of patients. Conclusions: 47,XYY syndrome is associated with a distinct and heterogeneous neuropsychiatric phenotype that extends beyond early neurodevelopmental disorders. Early diagnosis alone may be insufficient to prevent severe psychiatric outcomes, highlighting the need for long-term monitoring and integrated, multidisciplinary management. Further research is required to identify early predictors of high-risk trajectories and to optimize treatment strategies for this population. Full article
(This article belongs to the Special Issue Rethinking Neurodevelopmental Disorders: Beyond One-Size-Fits-All)
Show Figures

Figure 1

14 pages, 591 KB  
Review
Distinguishing Mood and Emotion: Implications for High-Performance Regulation
by Andrew M. Lane
Brain Sci. 2026, 16(2), 231; https://doi.org/10.3390/brainsci16020231 - 14 Feb 2026
Cited by 1 | Viewed by 1713
Abstract
Distinguishing mood from emotion has long posed challenges for psychology, with persistent definitional ambiguity limiting both theoretical precision and applied effectiveness. Our early work, identified duration and cause attribution as the most reliable markers differentiating short-lived, event-linked emotions from more diffuse, enduring moods. [...] Read more.
Distinguishing mood from emotion has long posed challenges for psychology, with persistent definitional ambiguity limiting both theoretical precision and applied effectiveness. Our early work, identified duration and cause attribution as the most reliable markers differentiating short-lived, event-linked emotions from more diffuse, enduring moods. Researchers further advanced understanding by conceptualising emotions as feedback signals that support learning and adaptation, while the 4Rs model translated these insights into applied practice by embedding cause attribution within affect regulation. This paper integrates these conceptual, functional, and applied perspectives to demonstrate why accurate classification of affective states is a functional necessity in high-performance contexts. I propose that misclassifying moods and emotions may contribute to inefficient deployment of self-regulatory resources, whereas distinguishing states based on cause attribution may support more targeted and efficient regulation. Drawing on examples from sport, healthcare, performing arts, military operations, and corporate leadership, this paper synthesizes existing work to highlight the practical implications of the mood–emotion distinction for applied psychology. Full article
(This article belongs to the Special Issue Defining Emotion: A Collection of Current Models)
Show Figures

Figure 1

18 pages, 526 KB  
Article
Maximizing Single-Feature Separability for Improving Transfer Learning in Motor Imagery EEG Decoding
by Zefeng Xu and Zhuliang Yu
Brain Sci. 2026, 16(2), 230; https://doi.org/10.3390/brainsci16020230 - 14 Feb 2026
Viewed by 699
Abstract
Background/Objectives: Motor imagery (MI) EEG-based brain–computer interfaces (BCIs) are promising for neurorehabilitation, but practical use is often hindered by time-consuming per-user calibration and performance instability across sessions/users. Methods: To mitigate this issue, we aim to improve subject-dependent MI classification by leveraging labeled training [...] Read more.
Background/Objectives: Motor imagery (MI) EEG-based brain–computer interfaces (BCIs) are promising for neurorehabilitation, but practical use is often hindered by time-consuming per-user calibration and performance instability across sessions/users. Methods: To mitigate this issue, we aim to improve subject-dependent MI classification by leveraging labeled training data from other subjects within the same dataset via transfer learning. We propose Maximizing Single-Feature Separability (MSFS), a lightweight plug-in regularization applied during target–subject fine-tuning. MSFS operates on the network feature layer and constructs batch-wise target positions by maximizing a silhouette-based separability criterion for each feature dimension. The target position computation is implemented in a fully vectorized GPU-friendly manner. Results: We evaluate MSFS on BCI Competition IV-2a and IV-2b datasets using three representative backbone networks (EEGNet, ShallowConvNet, ATCNet). MSFS consistently improves standard transfer learning across both datasets and all backbones. When compared against representative transfer learning algorithms from the literature, MSFS remains competitive against the literature baselines. Ablation analysis confirms the effectiveness of each algorithm component. Few-shot experiments further indicate that MSFS is still beneficial when the target subject provides limited labeled data. Conclusions: MSFS provides a within-dataset transfer learning enhancement for MI EEG decoding, improving target–subject accuracy under limited calibration data without relying on external datasets, and can be readily integrated into common deep MI classification pipelines. Full article
Show Figures

Figure 1

28 pages, 1018 KB  
Review
Emerging Roles, Mechanisms, and Therapeutic Potential of Thyroid Hormones in Neurodegenerative Diseases: A Review
by Xin’ai Li, Zhe Li, Manna Sun, Yunlong Du, Han Bai, Xiaoheng Chen and Junhui Wang
Brain Sci. 2026, 16(2), 229; https://doi.org/10.3390/brainsci16020229 - 14 Feb 2026
Viewed by 1491
Abstract
Thyroid hormones (THs) are master controllers in the endocrine system and have drawn considerable attention from the research community due to their associations with neurodegenerative diseases as well. In this review article, we present a comprehensive summary of the physiological functions and pathogenic [...] Read more.
Thyroid hormones (THs) are master controllers in the endocrine system and have drawn considerable attention from the research community due to their associations with neurodegenerative diseases as well. In this review article, we present a comprehensive summary of the physiological functions and pathogenic mechanisms of THs in the regulation of several representative neurodegenerative diseases. Our study particularly focuses on Alzheimer’s disease (AD), Parkinson’s disease (PD), and multiple sclerosis (MS). AD is the most common cause of dementia, primarily caused by tau protein tangles inside nerve cells and β-amyloid plaques outside, which lead to nerve cell death and brain atrophy. PD is primarily a movement disorder. The degeneration of dopaminergic neurons in the brain impairs the brain’s control over muscle activity. MS is usually considered to be an autoimmune demyelinating disease, but it has been found that MS also presents with secondary neurodegenerative pathology, including axonal loss and neuronal damage. In this review, the effects of TH on the pathogeneses of AD, PD, and MS are discussed in detail, with a focus on the following potential mechanisms: neuroprotection, neurogenesis, oxidative stress, and inflammatory response. In addition, we conduct an in-depth review of the possible clinical applications of TH, TH analogs, and thyrotropin-releasing hormone (TRH) in the treatment of AD, PD, and MS based on recent preclinical and clinical studies. By integrating experimental, clinical, and epidemiological results on the effects of TH on neurodegeneration, the present review constructs a theoretical basis for the involvement of TH in the pathogeneses of these diseases in detail. We believe that this basis will be useful for clinical diagnosis and treatment. Full article
(This article belongs to the Special Issue Molecular and Cellular Research in Neurodegenerative Diseases)
Show Figures

Figure 1

15 pages, 552 KB  
Article
Effects of Bipolar Disorder on the Verbal Fluency Skills of Native Speakers
by Bertuğ Sakın, Dilek Eroğlu Uzun, Mehmet Emrah Cangi, Ali Görkem Gençer, Mehtap Arslan and Selman Aktaş
Brain Sci. 2026, 16(2), 228; https://doi.org/10.3390/brainsci16020228 - 14 Feb 2026
Viewed by 989
Abstract
Background/Objectives: Bipolar disorder (BD) is a chronic psychiatric condition characterized by episodes of mania, hypomania, and depression. Due to the cognitive impairments associated with BD, patients frequently experience difficulties in attention, memory, and executive functions, which in turn adversely affect specific aspects of [...] Read more.
Background/Objectives: Bipolar disorder (BD) is a chronic psychiatric condition characterized by episodes of mania, hypomania, and depression. Due to the cognitive impairments associated with BD, patients frequently experience difficulties in attention, memory, and executive functions, which in turn adversely affect specific aspects of their language abilities, such as word retrieval, verbal fluency, and the organization of coherent speech. The present study aims to determine the extent to which the verbal fluency skills of native Turkish-speaking individuals with BD are impaired compared to healthy controls and to identify whether there are differences in verbal fluency skills and their subcategories between bipolar I disorder (BD I) and bipolar II disorder (BD II) groups. Methods: A cross-sectional comparative design was employed in this study, including 39 euthymic patients diagnosed with BD I or BD II and 39 healthy controls. Verbal fluency was assessed using a standardized task comprising semantic fluency, semantic switching, phonemic fluency, and automatic speech subtests. All assessments were conducted under blinded conditions, and scoring was performed by independent raters. Group comparisons were carried out using ANOVA, Kruskal–Wallis, and ANCOVA analyses; age was controlled for through covariance analysis. Additionally, sensitivity analyses were conducted within the 25–55 age range. Results: The control group demonstrated significantly higher performance than the BD groups across all semantic and phonemic verbal fluency tasks. No statistically significant differences were observed between the groups in automatic speech tasks. When comparing the BD I and BD II groups, a statistically significant difference was found only in the action (verb) category, with the BD II group outperforming the BD I group. Conclusions: The findings indicate that bipolar disorder is associated with marked impairments in semantic and phonemic verbal fluency, while automatic speech abilities appear to be relatively preserved. Moreover, the observed difference between BD subtypes—particularly in the action (verb) category—suggests that the type of the disorder may differentially influence cognitive–linguistic functioning. Full article
(This article belongs to the Section Neurolinguistics)
Show Figures

Figure 1

18 pages, 2058 KB  
Review
Cochlear Implantation After Temporal Bone Fracture: A Systematic Review of Preoperative Predictors and Timing
by Elias Antoniades, George Psillas, Parmenion P. Tsitsopoulos, John Magras and Petros D. Karkos
Brain Sci. 2026, 16(2), 227; https://doi.org/10.3390/brainsci16020227 - 14 Feb 2026
Viewed by 805
Abstract
Background/Objectives: Cochlear implants (CIs) constitute a viable method for auditory rehabilitation in patients with profound sensorineural hearing loss after temporal bone fractures (TBFs). These patients comprise a challenging population due to the anatomical deformity and neural injury. Methods: By performing this [...] Read more.
Background/Objectives: Cochlear implants (CIs) constitute a viable method for auditory rehabilitation in patients with profound sensorineural hearing loss after temporal bone fractures (TBFs). These patients comprise a challenging population due to the anatomical deformity and neural injury. Methods: By performing this systematic review, we attempted to evaluate the viability of CIs in the context of TBF. The literature search, across Pubmed/MEDLINE, Scopus and Google Scholar, was performed under the PRISMA guidelines. The selected time period was from December 1995 to September 2025. The final analysis included 11 manuscripts. The majority of the studies were retrospective case series with a moderate risk of bias. Results: The primary outcome was postoperative auditory function, evaluated with speech perception tasks and aided sound-field pure-tone audiometry. The secondary outcomes were the report of radiological and electrophysiologic prognosticators of implants’ viability, timing of surgery, procedural feasibility and complications. Across the studies, CIs conferred meaningful auditory benefit when the cochlear nerve was intact. High-Resolution Computed Tomography (CT) was utilized for TBF classification and cochlear patency, whereas Magnetic Resonance Imaging (MRI) and a promontory test were crucial for the assessment of neural integrity. Prompt placement, optimally within 12 months after trauma, was related to improved outcomes by limiting cochlear fibrosis and ossification. Despite patients’ impedance fluctuation, restricted speech perception in noise and frequent abnormal facial nerve excitation, the overall audiologic and speech discrimination results are comparable to non-trauma recipients. Conclusions: A CI appears to be the choice of treatment over auditory brainstem implants, as long as the cochlear nerve remains intact. Rapid implantation in well-selected patients coupled with ordinal mapping and follow-up can restore dysfunctional hearing and improve patients’ quality of life. Full article
Show Figures

Figure 1

23 pages, 529 KB  
Review
Parkinson’s Disease: Conventional Pharmacotherapy, Drug Delivery Innovations, and Emerging Therapeutic Targets
by Deepika Raina, Chirag Marwah, Siddharth Singh and Ansab Akhtar
Brain Sci. 2026, 16(2), 226; https://doi.org/10.3390/brainsci16020226 - 14 Feb 2026
Viewed by 1015
Abstract
Parkinson’s disease (PD) is a progressive neurodegenerative disorder characterized by motor symptoms (bradykinesia, rigidity, resting tremor) and a wide range of non-motor features. The core pathological process is degeneration of dopaminergic neurons in the substantia nigra pars compacta, leading to striatal dopamine deficiency, [...] Read more.
Parkinson’s disease (PD) is a progressive neurodegenerative disorder characterized by motor symptoms (bradykinesia, rigidity, resting tremor) and a wide range of non-motor features. The core pathological process is degeneration of dopaminergic neurons in the substantia nigra pars compacta, leading to striatal dopamine deficiency, while additional neurotransmitter systems contribute to non-motor symptoms. PD is a common age-related disorder; global estimates for 2019 indicate that more than 8.5 million people were living with PD, and prevalence increases steeply with age. Current pharmacological therapy is mainly symptomatic and is centered on levodopa and other dopaminergic strategies, but treatment response can be limited by motor fluctuations, dyskinesia, and adverse effects. Therefore, formulation and delivery innovations (e.g., dispersible preparations, intestinal gel, and continuous infusion approaches) aim to stabilize drug exposure and improve convenience, especially in patients with swallowing difficulties or advanced disease. This review summarizes conventional drug classes and their dosage forms, highlights formulation-driven strategies to improve efficacy and tolerability, and outlines emerging pathways and targets being explored for future therapies. Full article
(This article belongs to the Section Molecular and Cellular Neuroscience)
Show Figures

Figure 1

18 pages, 2322 KB  
Article
Visitor Characteristics and Museum Fatigue: A Case Study at the ETRU Museum in Rome
by Claudio Zavattaro, Emanuele Cirillo, Hilary Serra, Gianluca D’Agostino, Paolo Dabove, Michela Benente, Valeria Minucciani, Anna Berti and Raffaella Ricci
Brain Sci. 2026, 16(2), 225; https://doi.org/10.3390/brainsci16020225 - 13 Feb 2026
Viewed by 798
Abstract
Background/Objectives: Museum fatigue decreases visitors’ interest due to environmental, social, and personal factors. However, it remains unclear whether physiological parameters can capture museum fatigue, and whether personal factors contribute to psychophysiological changes associated with museum fatigue. Methods: To fill these knowledge gaps, 61 [...] Read more.
Background/Objectives: Museum fatigue decreases visitors’ interest due to environmental, social, and personal factors. However, it remains unclear whether physiological parameters can capture museum fatigue, and whether personal factors contribute to psychophysiological changes associated with museum fatigue. Methods: To fill these knowledge gaps, 61 participants visited the ETRU museum in Rome while their position and heart rate (HR) values were continuously recorded. Emotional state was rated after the visit. Time-series analyses assessed trends in viewing time and HR across the full sample and in three clusters defined by personal factors, with correlations examining associations among visit time, HR, and emotional states. Results: Overall, viewing time decreased, while HR increased during the visit. Emotional state correlated positively with visit time, but negatively with HR. The viewing time decrease was consistent across clusters, while HR trends and correlations differed. Conclusions: These findings confirmed that environmental characteristics induce museum fatigue in the visitors and showed that heart rate may be employed as an implicit measure of museum fatigue. In addition, this study revealed that personal factors can modulate the emergence of this phenomenon. Full article
(This article belongs to the Section Behavioral Neuroscience)
Show Figures

Figure 1

10 pages, 215 KB  
Review
The Role of Lifestyle Factors in Multiple Sclerosis: An Integrative Perspective
by Roberta Lanzillo, Marinella Clerico and Saverio Stranges
Brain Sci. 2026, 16(2), 224; https://doi.org/10.3390/brainsci16020224 - 13 Feb 2026
Cited by 1 | Viewed by 985
Abstract
Multiple sclerosis (MS) is a chronic, immune-mediated neurological disorder characterized by inflammation, demyelination, and progressive neurodegeneration. While genetic susceptibility contributes to disease risk, a growing body of evidence highlights the crucial role of modifiable lifestyle factors in influencing MS onset, disease activity, progression, [...] Read more.
Multiple sclerosis (MS) is a chronic, immune-mediated neurological disorder characterized by inflammation, demyelination, and progressive neurodegeneration. While genetic susceptibility contributes to disease risk, a growing body of evidence highlights the crucial role of modifiable lifestyle factors in influencing MS onset, disease activity, progression, and overall quality of life. In this narrative review, we explored the relevant literature from commonly used datasets (PubMed, Scopus, Google Scholar), using search terms such as “Lifestyle and Multiple Sclerosis”, “Diet and Multiple Sclerosis”, “Sleep and Multiple Sclerosis”, “Alcohol consumption and Multiple Sclerosis”, and “Physical Activity and Multiple Sclerosis”. Obesity, particularly during adolescence, has emerged as a significant risk factor for MS, acting through immunometabolic mechanisms such as chronic low-grade inflammation, insulin resistance, and dysregulated adipokine signaling. Sleep disturbances are increasingly recognized as contributors to neuroinflammation and cognitive dysfunction, potentially mediated by impaired glymphatic clearance. Smoking is consistently associated with accelerated disability progression, while alcohol consumption shows dose-dependent effects, with excessive intake negatively impacting sleep and glymphatic function. Overall, lifestyle factors converge on shared biological pathways involving immune regulation, metabolic health, vascular integrity, and glymphatic function. Integrating evidence-based lifestyle counseling with disease-modifying therapies may represent a complementary strategy to optimize long-term outcomes in people with MS, while highlighting key areas for future translational and clinical research. Full article
(This article belongs to the Special Issue Lifestyle and Risk Factors for Multiple Sclerosis)
35 pages, 1553 KB  
Review
Medicinal Plants for Major Depressive Disorder
by Amanda Gollo Bertollo, Luiza Spohr, Ana Élica Bearzi, Kelli Maria Kreuz and Zuleide Maria Ignácio
Brain Sci. 2026, 16(2), 223; https://doi.org/10.3390/brainsci16020223 - 13 Feb 2026
Cited by 1 | Viewed by 1775
Abstract
Major Depressive Disorder (MDD) is a severe, chronic illness for which conventional treatments often show limited efficacy and side effects, driving a renewed interest in traditional medicinal plants. The therapeutic promise of these plants lies in their multi-targeted action, influencing neurotransmitter systems, modulating [...] Read more.
Major Depressive Disorder (MDD) is a severe, chronic illness for which conventional treatments often show limited efficacy and side effects, driving a renewed interest in traditional medicinal plants. The therapeutic promise of these plants lies in their multi-targeted action, influencing neurotransmitter systems, modulating neuroinflammation and oxidative stress, impacting neuroplasticity, and regulating the Hypothalamic–Pituitary–Adrenal (HPA) axis. Despite their clinical potential, the use of medicinal plants is associated with challenges, including complex pharmacokinetics, significant adverse effects, and the risk of herb–drug interactions, alongside concerns regarding standardization and quality control. This manuscript aims to examine the therapeutic potential of key medicinal plants for managing MDD, including Hypericum perforatum, Rhodiola rosea, Melissa officinalis, Passiflora incarnata, Valeriana officinalis, and Cannabis sativa. Additionally, the review addresses emerging candidates such as Curcuma longa, Withania somnifera, Panax ginseng and Centella asiatica. By focusing on their mechanisms of action, pharmacokinetics, and associated risks, this review provides a more comprehensive understanding of their role in modern psychiatric care. Full article
Show Figures

Graphical abstract

17 pages, 1450 KB  
Article
Neural Mechanisms of Reciprocity Availability and Expectancy Violation During Social Interaction
by Daniele Olivo, Andrea Di Ciano, Lucia Giudetti, Riccardo Cazzaro and Fabio Sambataro
Brain Sci. 2026, 16(2), 222; https://doi.org/10.3390/brainsci16020222 - 13 Feb 2026
Viewed by 601
Abstract
Background: Reciprocity is a core mechanism of social bonding, signaling whether others are available and willing to provide support. The perception of reciprocity availability fosters trust and belonging, whereas its absence may elicit expectancy violation and negative affect. This study investigated the [...] Read more.
Background: Reciprocity is a core mechanism of social bonding, signaling whether others are available and willing to provide support. The perception of reciprocity availability fosters trust and belonging, whereas its absence may elicit expectancy violation and negative affect. This study investigated the neural correlates of reciprocity availability (RA) and unavailability (RU) during social interaction. Methods: Thirty healthy adults underwent a social task during a functional magnetic resonance imaging (fMRI) scan while viewing short vignettes depicting social exchanges differing in reciprocity cues. Univariate and multivariate (MVPA) analyses were used to identify activation and connectivity patterns associated with RA and RU. Affective responses, reaction times, and personality traits were correlated with neural activity. Results: RA engaged the ventromedial prefrontal cortex, precuneus, temporoparietal junction, and visual cortices. RU elicited greater activation of the left inferior frontal gyrus, dorsomedial prefrontal cortex, and temporal pole, along with enhanced connectivity between visual and parieto-temporal regions. In exploratory analyses, agreeableness correlated with ventromedial prefrontal activation during RA, whereas depressive temperament correlated with temporal pole activity during RU. Conclusions: Reciprocity availability versus unavailability engages distinct large-scale networks for socio-emotional integration and expectancy monitoring, defining a mechanistic framework for studying disrupted reciprocity in psychopathology. Full article
(This article belongs to the Section Cognitive, Social and Affective Neuroscience)
Show Figures

Figure 1

22 pages, 1631 KB  
Review
Beyond Adversity: Definitions, Retrospective Assessment, and Experimental Manipulation of Positive Early-Life Experiences
by Erica Berretta, Martina Rizzuti, Laura Petrosini and Francesca Gelfo
Brain Sci. 2026, 16(2), 221; https://doi.org/10.3390/brainsci16020221 - 12 Feb 2026
Viewed by 1008
Abstract
A wealth of research in neuroscience and developmental psychology has documented the lasting detrimental effects of adverse early-life experiences on health and psychological well-being. To investigate these effects, researchers have developed self- and informant-report questionnaires, interview-based instruments, and experimental paradigms designed to assess [...] Read more.
A wealth of research in neuroscience and developmental psychology has documented the lasting detrimental effects of adverse early-life experiences on health and psychological well-being. To investigate these effects, researchers have developed self- and informant-report questionnaires, interview-based instruments, and experimental paradigms designed to assess exposure to early adversity, model its consequences under controlled laboratory conditions, and investigate the neurobiological mechanisms involved. In contrast, the role of positive early-life experiences in biobehavioral trajectories and adaptive functioning has received comparatively less empirical and theoretical attention. The existing work has largely conceptualized positive experiences in terms of their protective or buffering effects in the context of adversity, and/or their promotive role and independent contribution to physical and psychological well-being. Against this background, this narrative review comprehensively synthesizes (i) current definitions of positive early-life experiences, (ii) tools for their retrospective assessment, and (iii) experimental approaches aimed at manipulating and promoting such experiences in humans. Furthermore, this review advances time-sensitive and individual-centered attention for the study of positive early-life experiences, in which health- and well-being-promoting interventions are informed by an expanding understanding of normative human neuroplasticity as a heterosynchronous process and by dynamic, interdependent interactions operating across individual, family, and societal levels. Full article
(This article belongs to the Section Developmental Neuroscience)
Show Figures

Figure 1

15 pages, 832 KB  
Review
Malonyl-CoA Decarboxylase: A Spotlight on Brain Aspects
by Monique Fonseca-Teixeira, Elaine Silva Brito, Clara Beltrao-Valente, Bruna Klippel Ferreira, Patricia Fernanda Schuck and Gustavo Costa Ferreira
Brain Sci. 2026, 16(2), 220; https://doi.org/10.3390/brainsci16020220 - 12 Feb 2026
Viewed by 1099
Abstract
Malonyl-CoA decarboxylase (MCD) is an enzyme that controls malonyl-CoA levels and regulates fatty acid synthesis and oxidation. Although its physiological relevance in peripheral tissues is well known, the role of MCD in the central nervous system remains poorly understood. MCD is expressed in [...] Read more.
Malonyl-CoA decarboxylase (MCD) is an enzyme that controls malonyl-CoA levels and regulates fatty acid synthesis and oxidation. Although its physiological relevance in peripheral tissues is well known, the role of MCD in the central nervous system remains poorly understood. MCD is expressed in mitochondria, cytosol, and peroxisomes and may be regulated by PPAR-α, AMPK, and SIRT4 in tissues such as muscle, liver and kidney. In the brain, MCD expression varies during development and can respond to nutritional states. Inherited MCD deficiency (malonic aciduria) leads to the toxic accumulation of malonic acid and predominantly affects the central nervous system. The underlying mechanisms leading to brain damage in MCD patients remain unclear. Conversely, pharmacological modulation of MCD activity has been studied in obesity, diabetes, and ischemic injury, highlighting its therapeutic potential. There are still major gaps regarding MCD cellular distribution, regulatory pathways, and metabolic interaction with CPT1c (carnitine palmitoyltransferase 1c) in neural metabolism. A deeper understanding of the role of MCD in brain physiology and pathology may indicate novel therapeutic strategies targeting metabolic disorders that involve altered malonyl-CoA dynamics. Here, we discuss the current knowns and unknowns regarding MCD physiology, regulation, and pathophysiology, emphasizing brain aspects. Full article
Show Figures

Figure 1

Previous Issue
Next Issue
Back to TopTop