Volumetric MRI Markers of Cognitive Impairment in Relapsing-Remitting Multiple Sclerosis: Cerebellar White Matter Loss, Pallidum Atrophy, and Choroid Plexus Enlargement
Abstract
1. Introduction
2. Materials and Methods
2.1. Material
2.2. MRI Protocol
2.3. Cognitive Assessment
- California Verbal Learning Test (CVLT) in the Polish adaptation by Łojek and Stańczak [25]. Norms from the Polish general population, in sten scores—assessing verbal learning, learning and recall strategies, short- and long-term memory, and executive functions (e.g., inhibition, monitoring, and retrieval strategies):
- Total Recall Trials (TRT): sum of correct responses (words recalled) across the five learning trials of List A (Trials 1–5)—verbal-auditory learning effectiveness;
- Short-Delay Free Recall (SDFR): number of words freely recalled from List A after an interference list (List B) is presented and recalled—verbal short-term memory and resistance to interference;
- Long-Delay Free Recall (LDFR): number of words recalled without cues from List A after a 20-minute delay—long-term verbal memory effectiveness;
- Discrimination Index: ratio of correct recognitions (hits) to false positives—verbal recognition accuracy involving executive functions;
- Total Errors (TE): intrusions and perseverations in TRT+SDFR+LDFR+SDCR-+LDCR—semantic memory deficits, executive function deficits.
- Benton Visual Retention Test (BVRT) in version C in accordance with method A in the Polish adaptation by Jaworska et al. [26]. Norms from the Polish general population, in sten scores, are classified into three qualitative categories based on raw score cut-off points—assessing short-term visual memory, visual perception, and visual-constructive abilities through the reproduction of geometric figures:
- Number of Correct Reproduction (CR): number of fully accurate reproductions of entire figures—visual-perceptual accuracy and visual organization, short-term visual memory efficiency, and visuoconstructive abilities;
- Number of Errors (NE): total count of reproduction errors, including figure or size distortions, omissions, rotations, misplacement, perseverations—deficits in visual perception, visuospatial organization, and executive control (e.g., spatial planning and error monitoring).
- Verbal Fluency Tests (VFT) standardized in Polish by Gawda and Szepietowska [28]. Norms from the Polish general population in sten scores—assessing many cognitive functions simultaneously, including processing speed, executive functions, semantic memory, lexical memory, and grammar:
- Phonemic Fluency: two 1-min trials requiring generating as many words as possible beginning with the letters K and F—executive functions, especially initiation, strategy use, inhibition, and working memory, processing speed;
- Semantic Fluency: two 1-min trials requiring the generation of as many words as possible within categories: animals and fruits—semantic memory, lexical access, working memory, strategy use, processing speed;
- Verb Fluency: one 1-min trial requiring the participant to list as many human actions as possible (e.g., eat, run, write)—lexical memory and grammar, executive function, processing speed;
- VFT Total Score: Phonemic Fluency + Semantic Fluency + Verb Fluency—processing speed, executive functions, semantic memory, lexical memory, and grammar.
- Color Trials Test (CTT) in the Polish adaptation by Łojek and Stańczak [27]. Norms from the Polish general population, in percentiles—assessing the efficiency of visual attention, processing speed, and executive functions:
- CTT 1: Time in seconds needed to connect numbered circles (1–25) in sequence—visual attention, field search, perceptual tracking, and processing speed;
- CTT 2: Time (in seconds) to connect numbers (1–25) in alternating color-number sequence—visual attention, field search, perceptual tracking, sustained and alerting attention, processing speed, and executive functions, particularly cognitive flexibility and task switching;
- The Interference Index: (CTT2-CTT1)/CTT1—executive functions, the costs of coping with a more difficult task requiring coping with interference.
- Victoria Stroop Test (VST) norms in Scaled Score Equivalents from Troyer et al. [29] based on healthy adults’ results—assessment of processing speed, various aspects of attention, and executive function, especially control and cognitive flexibility, resistance to interference, inhibition, and cognitive control:
- VST I (dot condition): time in seconds to name the font color of 24 colored circles arranged irregularly—processing speed, perceptual tracking;
- VST II (word condition): time in seconds needed to name the font color used for 24 neutral words—processing speed, perceptual tracking, selective attention;
- VST III (interference condition): time in seconds to name the font color of color words, where font color and word meaning are incongruent—resistance to interference, inhibition of automatic reactions, inhibition of automatic responses, cognitive control, set-shifting, executive functions;
- Interference Index: VSTIII/VSTI—a more precise assessment of executive functioning, specifically the ability to inhibit automatic responses, as it accounts for baseline processing speed. This makes it a more accurate measure of cognitive control, even in individuals who generally perform individual trials quickly.
- Symbol Digit Modalities Test (SDMT) norms in Scaled Score/Means and Standard Deviation Equivalents from Fellows and Schmitter-Edgecombe [30]—assesses processing speed, executive function, working memory, sustained attention, and visuomotor coordination. Sensitive to cognitive slowing in neurological conditions such as multiple sclerosis.
2.4. Statistical Analysis
3. Results
3.1. Study Group Characteristics
3.2. Cognitive Impairment Among the Study Group
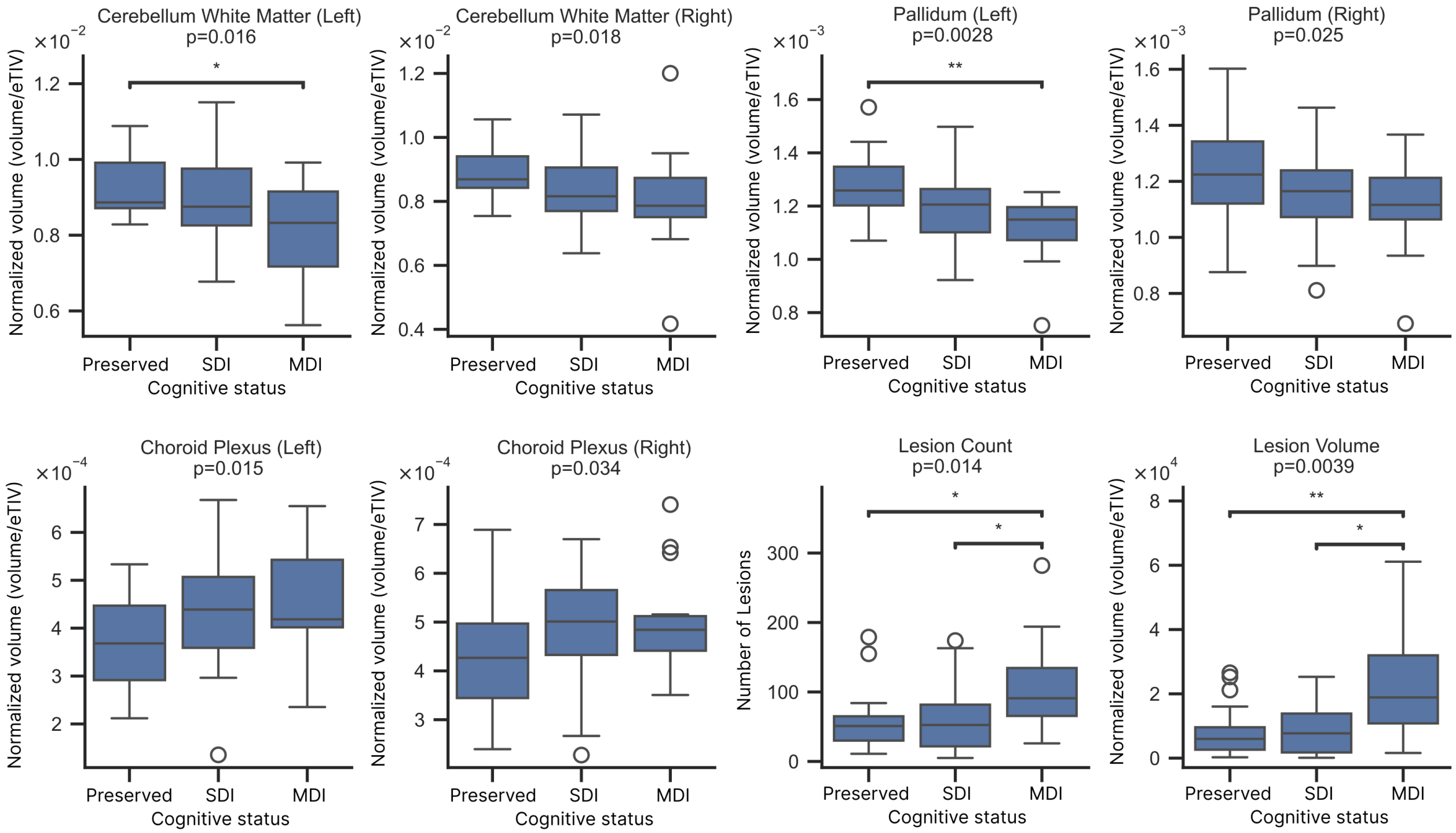
3.3. Global and Regional Brain Volume in Correlation with Cognitive Performance
4. Discussion
4.1. Prevalence and Patterns of Cognitive Impairment Among RRMS Patients
4.2. Radiological Differences Between Preserved Cognition and Multidomain Impairment
4.3. Associations of Global and Regional Brain Volume with Cognitive Performance
4.4. Radiological Differences in Brain Atrophy Between RRMS and PPMS
4.5. Study Strengths and Limitations
5. Conclusions
Author Contributions
Funding
Institutional Review Board Statement
Informed Consent Statement
Data Availability Statement
Conflicts of Interest
References
- Jakimovski, D.; Bittner, S.; Zivadinov, R.; Morrow, S.A.; Benedict, R.H.; Zipp, F.; Weinstock-Guttman, B. Multiple sclerosis. Lancet 2024, 403, 183–202. [Google Scholar] [CrossRef]
- Kułakowska, A.; Mirowska-Guzel, D.; Kalinowska, A.; Bartosik-Psujek, H.; Brola, W.; Stasiolek, M.; Głąbiński, A.; Losy, J.; Potemkowski, A.; Rejdak, K.; et al. Disease-modifying therapy in multiple sclerosis: Recommendations of Multiple Sclerosis and Neuroimmunology Section of Polish Neurological Society. Neurol. Neurochir. Pol. 2024, 58, 569–585. [Google Scholar] [CrossRef]
- McKay, K.A.; Kwan, V.; Duggan, T.; Tremlett, H. Risk Factors Associated with the Onset of Relapsing-Remitting and Primary Progressive Multiple Sclerosis: A Systematic Review. Biomed Res. Int. 2015, 2015, 817238. [Google Scholar] [CrossRef]
- Kurtzke, J.F. Rating neurologic impairment in multiple sclerosis. Neurology 1983, 33, 1444. [Google Scholar] [CrossRef] [PubMed]
- Gómez-Melero, S.; Caballero-Villarraso, J.; Escribano, B.M.; Galvao-Carmona, A.; Túnez, I.; Agüera-Morales, E. Impact of Cognitive Impairment on Quality of Life in Multiple Sclerosis Patients—A Comprehensive Review. J. Clin. Med. 2024, 13, 3321. [Google Scholar] [CrossRef]
- Fuchs, T.A.; Schoonheim, M.M.; Zivadinov, R.; Dwyer, M.G.; Colato, E.; Weinstock, Z.; Weinstock-Guttman, B.; Strijbis, E.M.; Benedict, R.H. Cognitive progression independent of relapse in multiple sclerosis. Mult. Scler. J. 2024, 30, 1468–1478. [Google Scholar] [CrossRef] [PubMed]
- Morrow, S.A. Cognitive Impairment in Multiple Sclerosis. Neuroimaging Clin. N. Am. 2024, 34, 469–479. [Google Scholar] [CrossRef]
- Lugosi, K.; Engh, M.A.; Huszár, Z.; Hegyi, P.; Mátrai, P.; Csukly, G.; Molnár, Z.; Horváth, K.; Mátis, D.; Mezei, Z. Domain-specific cognitive impairment in multiple sclerosis: A systematic review and meta-analysis. Ann. Clin. Transl. Neurol. 2024, 11, 564–576. [Google Scholar] [CrossRef]
- Mirmosayyeb, O.; Nabizadeh, F.; Moases Ghaffary, E.; Yazdan Panah, M.; Zivadinov, R.; Weinstock-Guttman, B.; Benedict, R.H.; Jakimovski, D. Cognitive performance and magnetic resonance imaging in people with multiple sclerosis: A systematic review and meta-analysis. Mult. Scler. Relat. Disord. 2024, 88, 105705. [Google Scholar] [CrossRef] [PubMed]
- Yang, Y.; Woollams, A.; Lipp, I.; Zhuo, Z.; Litwińczuk, M.C.; Tomassini, V.; Liu, Y.; Trujillo-Barreto, N.J.; Muhlert, N. Thalamic Network Controllability Predicts Cognitive Impairment in Multiple Sclerosis. Hum. Brain Mapp. 2025, 46, e70284. [Google Scholar] [CrossRef]
- Blyau, S.; Koubiyr, I.; Saranathan, M.; Coupé, P.; Deloire, M.; Charré-Morin, J.; Saubusse, A.; Zhang, B.; Rutt, B.; Dousset, V.; et al. Differential vulnerability of thalamic nuclei in multiple sclerosis. Mult. Scler. J. 2023, 29, 295–300. [Google Scholar] [CrossRef]
- Portaccio, E.; Amato, M.P. Cognitive Impairment in Multiple Sclerosis: An Update on Assessment and Management. NeuroSci 2022, 3, 667–676. [Google Scholar] [CrossRef] [PubMed]
- Benedict, R.H.B.; Amato, M.P.; DeLuca, J.; Geurts, J.J.G. Cognitive impairment in multiple sclerosis: Clinical management, MRI, and therapeutic avenues. Lancet Neurol. 2020, 19, 860–871. [Google Scholar] [CrossRef] [PubMed]
- Covey, T.J.; Shucard, J.L.; Wang, X.; Gregory, M.A.; Shucard, D.W. Cognitive skill learning in multiple sclerosis: A meaningful component of the neuropsychological profile. Brain Cogn. 2023, 166, 105959. [Google Scholar] [CrossRef] [PubMed]
- Ghione, E.; Bergsland, N.; Dwyer, M.; Hagemeier, J.; Jakimovski, D.; Paunkoski, I.; Ramasamy, D.; Silva, D.; Carl, E.; Hojnacki, D.; et al. Brain Atrophy Is Associated with Disability Progression in Patients with MS followed in a Clinical Routine. Am. J. Neuroradiol. 2018, 39, 2237–2242. [Google Scholar] [CrossRef]
- Mistri, D.; Tedone, N.; Biondi, D.; Vizzino, C.; Pagani, E.; Rocca, M.A.; Filippi, M. Cognitive phenotypes in multiple sclerosis: Mapping the spectrum of impairment. J. Neurol. 2024, 271, 1571–1583. [Google Scholar] [CrossRef]
- Bonacchi, R.; Meani, A.; Pagani, E.; Marchesi, O.; Filippi, M.; Rocca, M.A. The role of cerebellar damage in explaining disability and cognition in multiple sclerosis phenotypes: A multiparametric MRI study. J. Neurol. 2022, 269, 3841–3857. [Google Scholar] [CrossRef]
- Ziccardi, S.; Pizzini, F.B.; Guandalini, M.; Tamanti, A.; Cristofori, C.; Calabrese, M. Making Visible the Invisible: Automatically Measured Global and Regional Brain Volume Is Associated with Cognitive Impairment and Fatigue in Multiple Sclerosis. Bioengineering 2022, 10, 41. [Google Scholar] [CrossRef]
- Golan, D.; Doniger, G.M.; Srinivasan, J.; Sima, D.M.; Zarif, M.; Bumstead, B.; Buhse, M.; Van Hecke, W.; Wilken, J.; Gudesblatt, M. The association between MRI brain volumes and computerized cognitive scores of people with multiple sclerosis. Brain Cogn. 2020, 145, 105614. [Google Scholar] [CrossRef]
- De Meo, E.; Al-Araji, S.; Kanber, B.; Bianchi, A.; Yam, C.H.Y.; Christensen, R.; Mohamud, S.; Wingrove, J.; Abdel-Mannan, O.; Aojula, A.; et al. The temporal dynamics and clinical relevance of choroid plexus measures in multiple sclerosis. Brain Commun. 2025, 7, fcaf239. [Google Scholar] [CrossRef]
- Kalb, R.; Beier, M.; Benedict, R.H.; Charvet, L.; Costello, K.; Feinstein, A.; Gingold, J.; Goverover, Y.; Halper, J.; Harris, C.; et al. Recommendations for cognitive screening and management in multiple sclerosis care. Mult. Scler. J. 2018, 24, 1665–1680. [Google Scholar] [CrossRef] [PubMed]
- Sąsiadek, M.; Hartel, M.; Siger, M.; Katulska, K.; Majos, A.; Kluczewska, E.; Bartosik-Psujek, H.; Kułakowska, A.; Słowik, A.; Steinborn, B.; et al. Recommendations of the Polish Medical Society of Radiology and the Polish Society of Neurology for a protocol concerning routinely used magnetic resonance imaging in patients with multiple sclerosis. Neurol. Neurochir. Pol. 2020, 54, 410–415. [Google Scholar] [CrossRef]
- Fischl, B. FreeSurfer. NeuroImage 2012, 62, 774–781. [Google Scholar] [CrossRef]
- Wiltgen, T.; McGinnis, J.; Schlaeger, S.; Kofler, F.; Voon, C.; Berthele, A.; Bischl, D.; Grundl, L.; Will, N.; Metz, M.; et al. LST-AI: A deep learning ensemble for accurate MS lesion segmentation. Neuroimage Clin. 2024, 42, 103611. [Google Scholar] [CrossRef]
- Łojek, E.; Stańczak, J. Podrȩcznik do Kalifornijskiego Testu Uczenia Siȩ Jȩzykowego. Polska Normalizacja; Pracownia Testów Psychologicznych Polskiego Towarzystwa Psychologicznego: Warszawa, Poland, 2010. [Google Scholar]
- Jaworowska, A.; Bac, I.; Stańczak, J. Test Pamiȩci Wzrokowej Bentona BVRT. Polskie Normalizacje dla Dzieci i Młodzieży Oraz osób Dorosłych; Pracownia Testów Psychologicznych Polskiego Towarzystwa Psychologicznego: Warszawa, Poland, 2019. [Google Scholar]
- Łojek, E.; Stańczak, J. Kolorowy Test Poła̧czeń wersja dla dorosłych CTT: Polska normalizacja: Podrȩcznik; Pracownia Testów Psychologicznych Polskiego Towarzystwa Psychologicznego: Warszawa, Poland, 2012. [Google Scholar]
- Gawda, B.; Szepietowska, E. Test Fluencji Słownej. Podrȩcznik—Wersja dla Dorosłych; Pracownia Testów Psychologicznych i Pedagogicznych: Gdańsk, Poland, 2021. [Google Scholar]
- Troyer, A.K.; Leach, L.; Strauss, E. Aging and Response Inhibition: Normative Data for the Victoria Stroop Test. Aging Neuropsychol. Cogn. 2006, 13, 20–35. [Google Scholar] [CrossRef] [PubMed]
- Fellows, R.P.; Schmitter-Edgecombe, M. Symbol Digit Modalities Test: Regression-Based Normative Data and Clinical Utility. Arch. Clin. Neuropsychol. 2020, 35, 105–115. [Google Scholar] [CrossRef]
- Beck, A.T.; Steer, R.A.; Brown, G.K.; Łojek, E.; Stańczak, J. BDI-II Inwentarz Depresji Becka—Wydanie drugie; Pracownia Testów Psychologicznych Polskiego Towarzystwa Psychologicznego: Warszawa, Poland, 2019. [Google Scholar]
- Chiaravalloti, N.D.; DeLuca, J. Cognitive impairment in multiple sclerosis. Lancet Neurol. 2008, 7, 1139–1151. [Google Scholar] [CrossRef]
- Takla, T.N.; Feldpausch, J.; Edwards, E.M.; Han, S.; Calabresi, P.A.; Prince, J.; Zackowski, K.M.; Fritz, N.E. Cerebellar Volume Measures Differentiate Multiple Sclerosis Fallers from Non-Fallers. Brain Sci. 2025, 15, 77. [Google Scholar] [CrossRef]
- Akaishi, T.; Fujimori, J.; Nakashima, I. Basal Ganglia Atrophy and Impaired Cognitive Processing Speed in Multiple Sclerosis. Cureus 2024, 16, e52603. [Google Scholar] [CrossRef] [PubMed]
- Preziosa, P.; Pagani, E.; Meani, A.; Storelli, L.; Margoni, M.; Yudin, Y.; Tedone, N.; Biondi, D.; Rubin, M.; Rocca, M.A.; et al. Chronic Active Lesions and Larger Choroid Plexus Explain Cognition and Fatigue in Multiple Sclerosis. Neurol. Neuroimmunol. Neuroinflammation 2024, 11, e200205. [Google Scholar] [CrossRef]
- De Meo, E.; Portaccio, E.; Giorgio, A.; Ruano, L.; Goretti, B.; Niccolai, C.; Patti, F.; Chisari, C.G.; Gallo, P.; Grossi, P.; et al. Identifying the Distinct Cognitive Phenotypes in Multiple Sclerosis. JAMA Neurol. 2021, 78, 414–425. [Google Scholar] [CrossRef]
- Ezzeldin, M.Y.; Khedr, E.M.; Mahmoud, D.M. White Matter Lesion Load and Location in Relation to Cognitive and Physical Dysfunctions in Relapsing Remitting Multiple Sclerosis. Mult. Scler. Relat. Disord. 2023, 71, 104268. [Google Scholar] [CrossRef]
- Fulton, J.C.; Grossman, R.I.; Udupa, J.; Mannon, L.J.; Grossman, M.; Wei, L.; Polansky, M.; Kolson, D.L. MR lesion load and cognitive function in patients with relapsing-remitting multiple sclerosis. AJNR Am. J. Neuroradiol. 1999, 20, 1951–1955. [Google Scholar] [PubMed]
- Patti, F.; De Stefano, M.; Lavorgna, L.; Messina, S.; Chisari, C.G.; Ippolito, D.; Lanzillo, R.; Vacchiano, V.; Realmuto, S.; Valentino, P.; et al. Lesion Load May Predict Long-Term Cognitive Dysfunction in Multiple Sclerosis Patients. PLoS ONE 2015, 10, e0120754. [Google Scholar] [CrossRef]
- Xie, Y.; Zhu, H.; Yao, Y.; Liu, C.; Wu, S.; Zhang, Y.; Zhu, W. Enlarged choroid plexus in relapsing-remitting multiple sclerosis may lead to brain structural changes through the glymphatic impairment. Mult. Scler. Relat. Disord. 2024, 85, 105550. [Google Scholar] [CrossRef] [PubMed]
- Casanova, I.; De Silanes, C.L.; De Torres, L.; Eimil, M.; Jose Gil, M.; Oyanguren, B.; Terrero, R.; Sabin, J.; Patricia Diaz, B.; Ángel Saiz, M.; et al. Brain Atrophy and Physical and Cognitive Disability in Multiple Sclerosis. Basic Clin. Neurosci. J. 2021, 14, 311–316. [Google Scholar] [CrossRef]
- Filley, C.M.; Fields, R.D. White matter and cognition: Making the connection. J. Neurophysiol. 2016, 116, 2093–2104. [Google Scholar] [CrossRef] [PubMed]
- Ciccarelli, O.; Barkhof, F.; Bodini, B.; Stefano, N.D.; Golay, X.; Nicolay, K.; Pelletier, D.; Pouwels, P.J.W.; Smith, S.A.; Wheeler-Kingshott, C.A.M.; et al. Pathogenesis of multiple sclerosis: Insights from molecular and metabolic imaging. Lancet Neurol. 2014, 13, 807–822. [Google Scholar] [CrossRef]
- Rocca, M.A.; Amato, M.P.; De Stefano, N.; Enzinger, C.; Geurts, J.J.; Penner, I.K.; Rovira, A.; Sumowski, J.F.; Valsasina, P.; Filippi, M. Clinical and imaging assessment of cognitive dysfunction in multiple sclerosis. Lancet Neurol. 2015, 14, 302–317. [Google Scholar] [CrossRef]
- Granberg, T.; Martola, J.; Bergendal, G.; Shams, S.; Damangir, S.; Aspelin, P.; Fredrikson, S.; Kristoffersen-Wiberg, M. Corpus callosum atrophy is strongly associated with cognitive impairment in multiple sclerosis: Results of a 17-year longitudinal study. Mult. Scler. J. 2015, 21, 1151–1158. [Google Scholar] [CrossRef]
- Granberg, T.; Bergendal, G.; Shams, S.; Aspelin, P.; Kristoffersen-Wiberg, M.; Fredrikson, S.; Martola, J. MRI-Defined Corpus Callosal Atrophy in Multiple Sclerosis: A Comparison of Volumetric Measurements, Corpus Callosum Area and Index. J. Neuroimaging 2015, 25, 996–1001. [Google Scholar] [CrossRef] [PubMed]
- Akaike, S.; Okamoto, T.; Kurosawa, R.; Onodera, N.; Lin, Y.; Sato, W.; Yamamura, T.; Takahashi, Y. Exploring the Potential of the Corpus Callosum Area as a Predictive Marker for Impaired Information Processing in Multiple Sclerosis. J. Clin. Med. 2023, 12, 6948. [Google Scholar] [CrossRef]
- Brouwer, E.J.; Strik, M.; Schoonheim, M.M. The role of the cerebellum in multiple sclerosis: Structural damage and disconnecting networks. Curr. Opin. Behav. Sci. 2024, 59, 101436. [Google Scholar] [CrossRef]
- Sarica, A.; Cerasa, A.; Quattrone, A. The Neurocognitive Profile of the Cerebellum in Multiple Sclerosis. Int. J. Mol. Sci. 2015, 16, 12185–12198. [Google Scholar] [CrossRef]
- Cerasa, A.; Valentino, P.; Chiriaco, C.; Pirritano, D.; Nisticò, R.; Gioia, C.M.; Trotta, M.; Del Giudice, F.; Tallarico, T.; Rocca, F.; et al. MR imaging and cognitive correlates of relapsing–remitting multiple sclerosis patients with cerebellar symptoms. J. Neurol. 2013, 260, 1358–1366. [Google Scholar] [CrossRef]
- Lorefice, L.; Carta, E.; Frau, J.; Contu, F.; Casaglia, E.; Coghe, G.; Barracciu, M.; Cocco, E.; Fenu, G. The impact of deep grey matter volume on cognition in multiple sclerosis. Mult. Scler. Relat. Disord. 2020, 45, 102351. [Google Scholar] [CrossRef]
- Trufanov, A.; Krasichkov, A.; Polushin, A.; Skulyabin, D.; Efimtsev, A.; Litvinenko, I.; Kuznetsova, E.; Medvedev, D.; Bisaga, G. Basal ganglia atrophy as a marker of multiple sclerosis progression. Biomark. Neuropsychiatry 2023, 9, 100073. [Google Scholar] [CrossRef]
- Amin, M.; Ontaneda, D. Thalamic Injury and Cognition in Multiple Sclerosis. Front. Neurol. 2021, 11, 623914. [Google Scholar] [CrossRef]
- Trufanov, A.; Bisaga, G.; Skulyabin, D.; Temniy, A.; Poplyak, M.; Chakchir, O.; Efimtsev, A.; Dmitriy, T.; Odinak, M.; Litvinenko, I. Thalamic nuclei degeneration in multiple sclerosis. J. Clin. Neurosci. 2021, 89, 375–380. [Google Scholar] [CrossRef] [PubMed]
- Preziosa, P.; Pagani, E.; Margoni, M.; Rubin, M.; Storelli, L.; Corazzolla, G.; Rocca, M.A.; Filippi, M. Glymphatic System May Mediate the Relation Between Choroid Plexus and Brain Damage in Multiple Sclerosis. Neurol. Neuroimmunol. Neuroinflamm. 2025, 12, e200414. [Google Scholar] [CrossRef]
- Wołos, J.; Grodzka, O.; Kochanowski, J.; Domitrz, I. Choroid plexus imaging in multiple sclerosis management—A systematic review. Neurol. Neurochir. Pol. 2024, 58, 233–244. [Google Scholar] [CrossRef]
- Riccitelli, G.; Rocca, M.A.; Pagani, E.; Rodegher, M.E.; Rossi, P.; Falini, A.; Comi, G.; Filippi, M. Cognitive impairment in multiple sclerosis is associated to different patterns of gray matter atrophy according to clinical phenotype. Hum. Brain Mapp. 2011, 32, 1535–1543. [Google Scholar] [CrossRef] [PubMed]
- Eshaghi, A.; Bodini, B.; Ridgway, G.R.; García-Lorenzo, D.; Tozer, D.J.; Sahraian, M.A.; Thompson, A.J.; Ciccarelli, O. Temporal and spatial evolution of grey matter atrophy in primary progressive multiple sclerosis. NeuroImage 2014, 86, 257–264. [Google Scholar] [CrossRef] [PubMed]
- Anderson, V.; Wheeler-Kingshott, C.; Abdel-Aziz, K.; Miller, D.; Toosy, A.; Thompson, A.; Ciccarelli, O. A comprehensive assessment of cerebellar damage in multiple sclerosis using diffusion tractography and volumetric analysis. Mult. Scler. J. 2011, 17, 1079–1087. [Google Scholar] [CrossRef] [PubMed]
- Siger, M. Magnetic Resonance Imaging in Primary Progressive Multiple Sclerosis Patients. Clin. Neuroradiol. 2022, 32, 625–641. [Google Scholar] [CrossRef]




| RRMS (n = 63) | PPMS (n = 7) | |
|---|---|---|
| Sex (male/female), n (%) | 15 (23.8%)/48 (76.2%) | 1 (14.3%)/6 (85.7%) |
| Age (years), mean ± SD | 42.7 ± 11.6 | 53.6 ± 7.2 |
| Disease duration (years), mean ± SD | 12.0 ± 8.1 | 9.4 ± 3.8 |
| EDSS, median [min, max] | 2.0 [0.0, 4.5] | 5.0 [3.0, 6.0] |
| BDI-II, median [min, max] | 5 [3, 19] | 8 [0, 48] |
| Comorbidities, n (%) | 27 (42.9%) | 3 (42.9%) |
| DMT (platform/HETA), n (%) | 19 (30.2%)/44 (69.8%) | 0 (0%)/7 (100%) |
| Nicotinism, n (%) | 6 (9.5%) | 0 (0%) |
| BMI, mean ± SD | 25.9 ± 6.1 | 26.1 ± 4.6 |
| Education >12 years, n (%) | 46 (73.0%) | 5 (71.4%) |
| Preserved Cognition (n = 26) | Single-Domain Impairment (n = 22) | Multidomain Impairment (n = 15) | p Value, Effect Size | |
|---|---|---|---|---|
| Sex (male/female), n (%) | 5 (19.2%)/21 (80.8%) | 4 (18.2%)/18 (81.8%) | 6 (40.0%)/9 (60.0%) | 0.24 |
| Age (years), mean ± SD | 40.2 ± 11.8 | 43.8 ± 11.4 | 45.2 ± 11.3 | 0.15 |
| Disease duration (years), mean ± SD | 9.0 ± 7.1 | 12.1 ± 8.2 | 17.1 ± 7.5 | 0.011, = 0.11 |
| EDSS, median [min, max] | 2.0 [0.0, 4.5] | 2.0 [1.0, 4.5] | 3.5 [1.0, 4.5] | 0.002, = 0.17 |
| BDI-II, median [min, max] | 3 [0, 35] | 4.5 [0, 32] | 7 [0, 48] | 0.38 |
| Comorbidities, n (%) | 9 (32.1%) | 11 (45.8%) | 7 (38.9) | 0.53 |
| DMT (platform-/HETA), n (%) | 7 (26.9%)/19 (73.1%) | 6 (27.3%)/16 (72.7%) | 6 (40.0%)/9 (60.0%) | 0.63 |
| Nicotinism, n (%) | 2 (7.1%) | 2 (8.3%) | 2 (11.1%) | 0.99 |
| BMI, mean ± SD | 25.5 ± 6.1 | 26.0 ± 4.3 | 26.3 ± 8.4 | 0.85 |
| Education > 12 years, n (%) | 21 (75.0%) | 17 (70.8%) | 8 (44.4%) | 0.12 |
Disclaimer/Publisher’s Note: The statements, opinions and data contained in all publications are solely those of the individual author(s) and contributor(s) and not of MDPI and/or the editor(s). MDPI and/or the editor(s) disclaim responsibility for any injury to people or property resulting from any ideas, methods, instructions or products referred to in the content. |
© 2026 by the authors. Licensee MDPI, Basel, Switzerland. This article is an open access article distributed under the terms and conditions of the Creative Commons Attribution (CC BY) license.
Share and Cite
Galus, W.; Zawiślak-Fornagiel, K.; Wyszomirska, J.; Bożek, O.; Ledwoń, D.; Romaniszyn-Kania, P.; Tuszy, A.; Siuda, J.; Mitas, A.W. Volumetric MRI Markers of Cognitive Impairment in Relapsing-Remitting Multiple Sclerosis: Cerebellar White Matter Loss, Pallidum Atrophy, and Choroid Plexus Enlargement. Brain Sci. 2026, 16, 214. https://doi.org/10.3390/brainsci16020214
Galus W, Zawiślak-Fornagiel K, Wyszomirska J, Bożek O, Ledwoń D, Romaniszyn-Kania P, Tuszy A, Siuda J, Mitas AW. Volumetric MRI Markers of Cognitive Impairment in Relapsing-Remitting Multiple Sclerosis: Cerebellar White Matter Loss, Pallidum Atrophy, and Choroid Plexus Enlargement. Brain Sciences. 2026; 16(2):214. https://doi.org/10.3390/brainsci16020214
Chicago/Turabian StyleGalus, Weronika, Katarzyna Zawiślak-Fornagiel, Julia Wyszomirska, Oskar Bożek, Daniel Ledwoń, Patrycja Romaniszyn-Kania, Aleksandra Tuszy, Joanna Siuda, and Andrzej W. Mitas. 2026. "Volumetric MRI Markers of Cognitive Impairment in Relapsing-Remitting Multiple Sclerosis: Cerebellar White Matter Loss, Pallidum Atrophy, and Choroid Plexus Enlargement" Brain Sciences 16, no. 2: 214. https://doi.org/10.3390/brainsci16020214
APA StyleGalus, W., Zawiślak-Fornagiel, K., Wyszomirska, J., Bożek, O., Ledwoń, D., Romaniszyn-Kania, P., Tuszy, A., Siuda, J., & Mitas, A. W. (2026). Volumetric MRI Markers of Cognitive Impairment in Relapsing-Remitting Multiple Sclerosis: Cerebellar White Matter Loss, Pallidum Atrophy, and Choroid Plexus Enlargement. Brain Sciences, 16(2), 214. https://doi.org/10.3390/brainsci16020214

