Kernel-Transformed Functional Connectivity Entropy Reveals Network Dedifferentiation in Bipolar Disorder
Highlights
- Developed a kernel-transformed functional connectivity (FC) entropy framework that acts as a reweighting filter to enhance connectivity contrast and suppress noise, facilitating sensitive quantification of weight distributions.
- Bipolar Disorder (BD) exhibited widespread network dedifferentiation (increased entropy) at global, modular (DMN, VAN, DAN), and nodal levels, independent of head motion effects.
- Kernel-transformed FC entropy provides a distribution-sensitive complement to conventional linear FC metrics for quantifying network dysregulation in BD.
- Multiscale entropy abnormalities support kernel-transformed entropy as a promising candidate metric for characterizing symptom-related networks and potential stratification in BD.
Abstract
1. Introduction
2. Materials and Methods
2.1. Participants
2.2. Data Acquisition and Data Processing
2.3. Functional Connectivity Construction and Kernelization
2.4. Entropy Estimation
2.5. Statistical Analysis
3. Results
3.1. Demographic and Clinical Characteristics
3.2. Alteration of Global Entropy in BD Patients
3.3. Significant Differences in Modular Entropy Between BD and NCs
3.4. Different Nodal Entropy of Whole Brain
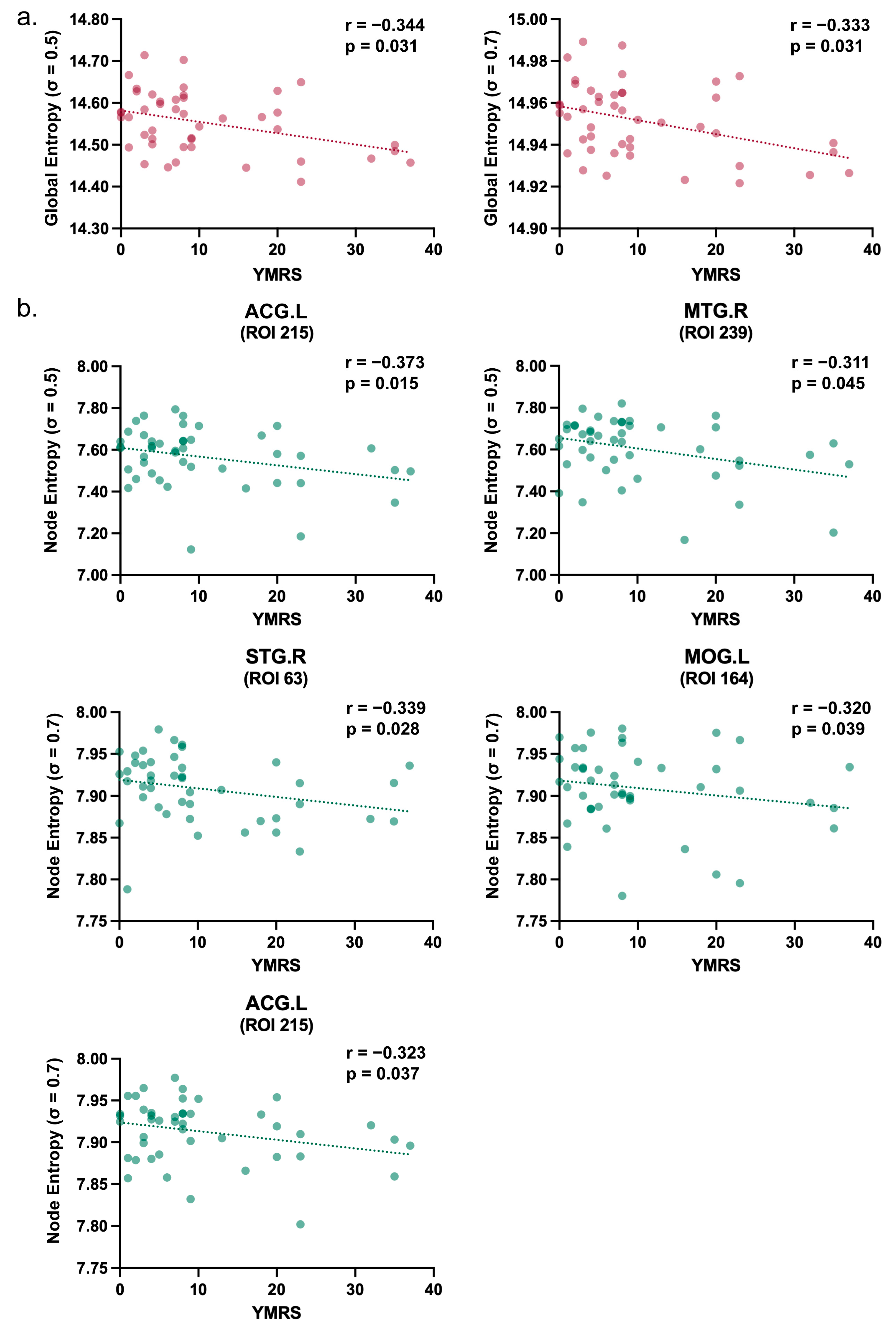
3.5. Relationships Between Entropy and Clinical Symptoms
4. Discussion
4.1. Advancement of Kernel-Transformed FC Entropy
4.2. Multiscale Network Dysregulation in Bipolar Disorder
4.3. Clinical Implications of Kernel-Transformed FC Entropy
4.4. Limitations
5. Conclusions
Supplementary Materials
Author Contributions
Funding
Institutional Review Board Statement
Informed Consent Statement
Data Availability Statement
Acknowledgments
Conflicts of Interest
References
- Miklowitz, D.J.; Johnson, S.L. Bipolar disorder. In Psychopathology: History, Diagnosis, and Empirical Foundations, 3rd ed.; John Wiley & Sons: Hoboken, NJ, USA, 2017; pp. 317–363. [Google Scholar]
- McIntyre, R.S.; Berk, M.; Brietzke, E.; Goldstein, B.I.; Lopez-Jaramillo, C.; Kessing, L.V.; Malhi, G.S.; Nierenberg, A.A.; Rosenblat, J.D.; Majeed, A.; et al. Bipolar disorders. Lancet 2020, 396, 1841–1856. [Google Scholar] [CrossRef]
- Cipriani, G.; Danti, S.; Carlesi, C.; Cammisuli, D.M.; Di Fiorino, M. Bipolar Disorder and Cognitive Dysfunction: A Complex Link. J. Nerv. Ment. Dis. 2017, 205, 743–756. [Google Scholar] [CrossRef]
- Marvel, C.L.; Paradiso, S. Cognitive and neurological impairment in mood disorders. Psychiatr. Clin. N. Am. 2004, 27, 19–36. [Google Scholar] [CrossRef]
- Swann, A.C.; Gerard Moeller, F.; Steinberg, J.L.; Schneider, L.; Barratt, E.S.; Dougherty, D.M. Manic symptoms and impulsivity during bipolar depressive episodes. Bipolar Disord. 2007, 9, 206–212. [Google Scholar] [CrossRef]
- Esposito, R.; Cieri, F.; Chiacchiaretta, P.; Cera, N.; Lauriola, M.; Di Giannantonio, M.; Tartaro, A.; Ferretti, A. Modifications in resting state functional anticorrelation between default mode network and dorsal attention network: Comparison among young adults, healthy elders and mild cognitive impairment patients. Brain Imaging Behav. 2018, 12, 127–141. [Google Scholar] [CrossRef]
- Han, K.; Chapman, S.B.; Krawczyk, D.C. Disrupted intrinsic connectivity among default, dorsal attention, and frontoparietal control networks in individuals with chronic traumatic brain injury. J. Int. Neuropsychol. Soc. 2016, 22, 263–279. [Google Scholar] [CrossRef]
- Wang, Y.; Chen, X.; Liu, R.; Zhang, Z.; Zhou, J.; Feng, Y.; Zeidman, P.; Wang, G.; Zhou, Y. Disrupted effective connectivity of the default, salience and dorsal attention networks in major depressive disorder: A study using spectral dynamic causal modelling of resting-state fMRI. J. Psychiatry Neurosci. 2022, 47, E421–E434. [Google Scholar] [CrossRef]
- Lee, M.H.; Smyser, C.D.; Shimony, J.S. Resting-state fMRI: A review of methods and clinical applications. Am. J. Neuroradiol. 2013, 34, 1866–1872. [Google Scholar] [CrossRef]
- Menon, V. Large-scale brain networks and psychopathology: A unifying triple network model. Trends Cogn. Sci. 2011, 15, 483–506. [Google Scholar] [CrossRef]
- Fox, M.D.; Raichle, M.E. Spontaneous fluctuations in brain activity observed with functional magnetic resonance imaging. Nat. Rev. Neurosci. 2007, 8, 700–711. [Google Scholar] [CrossRef]
- Bullmore, E.; Sporns, O. Complex brain networks: Graph theoretical analysis of structural and functional systems. Nat. Rev. Neurosci. 2009, 10, 186–198. [Google Scholar] [CrossRef]
- Sporns, O. Network attributes for segregation and integration in the human brain. Curr. Opin. Neurobiol. 2013, 23, 162–171. [Google Scholar] [CrossRef]
- Cohen, J.R.; D’Esposito, M. The segregation and integration of distinct brain networks and their relationship to cognition. J. Neurosci. 2016, 36, 12083–12094. [Google Scholar] [CrossRef]
- Wang, Z.; Li, Y.; Childress, A.R.; Detre, J.A. Brain entropy mapping using fMRI. PLoS ONE 2014, 9, e89948. [Google Scholar] [CrossRef]
- Carhart-Harris, R.L.; Leech, R.; Hellyer, P.J.; Shanahan, M.; Feilding, A.; Tagliazucchi, E.; Chialvo, D.R.; Nutt, D. The entropic brain: A theory of conscious states informed by neuroimaging research with psychedelic drugs. Front. Hum. Neurosci. 2014, 8, 55875. [Google Scholar] [CrossRef]
- McDonough, I.M.; Nashiro, K. Network complexity as a measure of information processing across resting-state networks: Evidence from the Human Connectome Project. Front. Hum. Neurosci. 2014, 8, 409. [Google Scholar] [CrossRef]
- Rubinov, M.; Sporns, O. Complex network measures of brain connectivity: Uses and interpretations. NeuroImage 2010, 52, 1059–1069. [Google Scholar] [CrossRef]
- Betzel, R.F.; Fukushima, M.; He, Y.; Zuo, X.-N.; Sporns, O. Dynamic fluctuations coincide with periods of high and low modularity in resting-state functional brain networks. NeuroImage 2016, 127, 287–297. [Google Scholar] [CrossRef]
- Chan, M.Y.; Park, D.C.; Savalia, N.K.; Petersen, S.E.; Wig, G.S. Decreased segregation of brain systems across the healthy adult lifespan. Proc. Natl. Acad. Sci. USA 2014, 111, E4997–E5006. [Google Scholar] [CrossRef]
- van den Heuvel, M.P.; Sporns, O. A cross-disorder connectome landscape of brain dysconnectivity. Nat. Rev. Neurosci. 2019, 20, 435–446. [Google Scholar] [CrossRef]
- Ma, Q.; Tang, Y.; Wang, F.; Liao, X.; Jiang, X.; Wei, S.; Mechelli, A.; He, Y.; Xia, M. Transdiagnostic dysfunctions in brain modules across patients with schizophrenia, bipolar disorder, and major depressive disorder: A connectome-based study. Schizophr. Bull. 2020, 46, 699–712. [Google Scholar] [CrossRef]
- Zalesky, A.; Fornito, A.; Bullmore, E.T. Network-based statistic: Identifying differences in brain networks. NeuroImage 2010, 53, 1197–1207. [Google Scholar] [CrossRef]
- Von Luxburg, U. A tutorial on spectral clustering. Stat. Comput. 2007, 17, 395–416. [Google Scholar] [CrossRef]
- Yao, Y.; Lu, W.; Xu, B.; Li, C.; Lin, C.; Waxman, D.; Feng, J. The increase of the functional entropy of the human brain with age. Sci. Rep. 2013, 3, 2853. [Google Scholar] [CrossRef]
- Poldrack, R.A.; Congdon, E.; Triplett, W.; Gorgolewski, K.; Karlsgodt, K.; Mumford, J.; Sabb, F.; Freimer, N.; London, E.; Cannon, T. A phenome-wide examination of neural and cognitive function. Sci. Data 2016, 3, 160110. [Google Scholar] [CrossRef]
- Young, R.C.; Biggs, J.T.; Ziegler, V.E.; Meyer, D.A. A rating scale for mania: Reliability, validity and sensitivity. Br. J. Psychiatry 1978, 133, 429–435. [Google Scholar] [CrossRef]
- Fleck, M.P.d.A.; Poirier-Littre, M.; Guelfi, J.D.; Bourdel, M.; Loo, H. Factorial structure of the 17-item Hamilton depression rating scale. Acta Psychiatr. Scand. 1995, 92, 168–172. [Google Scholar] [CrossRef]
- Yan, C.-G.; Wang, X.-D.; Zuo, X.-N.; Zang, Y.-F. DPABI: Data processing & analysis for (resting-state) brain imaging. Neuroinformatics 2016, 14, 339–351. [Google Scholar] [CrossRef]
- Power, J.D.; Cohen, A.L.; Nelson, S.M.; Wig, G.S.; Barnes, K.A.; Church, J.A.; Vogel, A.C.; Laumann, T.O.; Miezin, F.M.; Schlaggar, B.L. Functional network organization of the human brain. Neuron 2011, 72, 665–678. [Google Scholar] [CrossRef]
- Benesty, J.; Chen, J.; Huang, Y.; Cohen, I. Pearson correlation coefficient. In Noise Reduction in Speech Processing; Springer: Berlin/Heidelberg, Germany, 2009; pp. 1–4. [Google Scholar]
- Lee, H.; Kim, E.; Ha, S.; Kang, H.; Huh, Y.; Lee, Y.; Lim, S.; Lee, D.S. Volume entropy for modeling information flow in a brain graph. Sci. Rep. 2019, 9, 256. [Google Scholar] [CrossRef]
- Bromiley, P.A.; Thacker, N.A.; Bouhova-Thacker, E. Shannon Entropy, Renyi Entropy, and Information; Technical Report 2004-004; University of Manchester: Manchester, UK, 2004. [Google Scholar]
- Kirkpatrick, L.; Feeney, B. A Simple Guide to IBM SPSS: For Version 20.0; Nelson Education: Toronto, ON, Canada, 2012. [Google Scholar]
- Power, J.D.; Mitra, A.; Laumann, T.O.; Snyder, A.Z.; Schlaggar, B.L.; Petersen, S.E. Methods to detect, characterize, and remove motion artifact in resting state fMRI. NeuroImage 2014, 84, 320–341. [Google Scholar] [CrossRef]
- Parkes, L.; Fulcher, B.; Yücel, M.; Fornito, A. An evaluation of the efficacy, reliability, and sensitivity of motion correction strategies for resting-state functional MRI. NeuroImage 2018, 171, 415–436. [Google Scholar] [CrossRef]
- Smith, S.M.; Miller, K.L.; Salimi-Khorshidi, G.; Webster, M.; Beckmann, C.F.; Nichols, T.E.; Ramsey, J.D.; Woolrich, M.W. Network modelling methods for FMRI. NeuroImage 2011, 54, 875–891. [Google Scholar] [CrossRef]
- Shine, J.M.; Poldrack, R.A. Principles of dynamic network reconfiguration across diverse brain states. NeuroImage 2018, 180, 396–405. [Google Scholar] [CrossRef]
- Bassett, D.S.; Sporns, O. Network neuroscience. Nat. Neurosci. 2017, 20, 353–364. [Google Scholar] [CrossRef]
- Shuman, D.I.; Narang, S.K.; Frossard, P.; Ortega, A.; Vandergheynst, P. The emerging field of signal processing on graphs: Extending high-dimensional data analysis to networks and other irregular domains. IEEE Signal Process. Mag. 2013, 30, 83–98. [Google Scholar] [CrossRef]
- Van Wijk, B.C.; Stam, C.J.; Daffertshofer, A. Comparing brain networks of different size and connectivity density using graph theory. PLoS ONE 2010, 5, e13701. [Google Scholar] [CrossRef]
- Schwarz, A.J.; McGonigle, J. Negative edges and soft thresholding in complex network analysis of resting state functional connectivity data. NeuroImage 2011, 55, 1132–1146. [Google Scholar] [CrossRef]
- Tomasi, D.; Wang, G.-J.; Volkow, N.D. Energetic cost of brain functional connectivity. Proc. Natl. Acad. Sci. USA 2013, 110, 13642–13647. [Google Scholar] [CrossRef]
- Deco, G.; Tononi, G.; Boly, M.; Kringelbach, M.L. Rethinking segregation and integration: Contributions of whole-brain modelling. Nat. Rev. Neurosci. 2015, 16, 430–439. [Google Scholar] [CrossRef]
- Koen, J.D.; Rugg, M.D. Neural dedifferentiation in the aging brain. Trends Cogn. Sci. 2019, 23, 547–559. [Google Scholar] [CrossRef]
- Chen, G.; Wang, J.; Gong, J.; Qi, Z.; Fu, S.; Tang, G.; Chen, P.; Huang, L.; Wang, Y. Functional and structural brain differences in bipolar disorder: A multimodal meta-analysis of neuroimaging studies. Psychol. Med. 2022, 52, 2861–2873. [Google Scholar] [CrossRef]
- Van Dijk, K.R.; Sabuncu, M.R.; Buckner, R.L. The influence of head motion on intrinsic functional connectivity MRI. NeuroImage 2012, 59, 431–438. [Google Scholar] [CrossRef]
- Öngür, D.; Lundy, M.; Greenhouse, I.; Shinn, A.K.; Menon, V.; Cohen, B.M.; Renshaw, P.F. Default mode network abnormalities in bipolar disorder and schizophrenia. Psychiatry Res. Neuroimaging 2010, 183, 59–68. [Google Scholar] [CrossRef]
- Anticevic, A.; Cole, M.W.; Murray, J.D.; Corlett, P.R.; Wang, X.-J.; Krystal, J.H. The role of default network deactivation in cognition and disease. Trends Cogn. Sci. 2012, 16, 584–592. [Google Scholar] [CrossRef]
- Martino, M.; Magioncalda, P.; Conio, B.; Capobianco, L.; Russo, D.; Adavastro, G.; Tumati, S.; Tan, Z.; Lee, H.-C.; Lane, T.J. Abnormal functional relationship of sensorimotor network with neurotransmitter-related nuclei via subcortical-cortical loops in manic and depressive phases of bipolar disorder. Schizophr. Bull. 2020, 46, 163–174. [Google Scholar] [CrossRef]
- Cotrena, C.; Branco, L.D.; Shansis, F.M.; Fonseca, R.P. Executive function impairments in depression and bipolar disorder: Association with functional impairment and quality of life. J. Affect. Disord. 2016, 190, 744–753. [Google Scholar] [CrossRef]
- Brady, R.O., Jr.; Masters, G.A.; Mathew, I.T.; Margolis, A.; Cohen, B.M.; Öngür, D.; Keshavan, M. State dependent cortico-amygdala circuit dysfunction in bipolar disorder. J. Affect. Disord. 2016, 201, 79–87. [Google Scholar] [CrossRef]
- He, H.; Yu, Q.; Du, Y.; Vergara, V.; Victor, T.A.; Drevets, W.C.; Savitz, J.B.; Jiang, T.; Sui, J.; Calhoun, V.D. Resting-state functional network connectivity in prefrontal regions differs between unmedicated patients with bipolar and major depressive disorders. J. Affect. Disord. 2016, 190, 483–493. [Google Scholar] [CrossRef]





| Characteristic | Group (BD/NCs = 45/45) | p-Value | |
|---|---|---|---|
| Patients with BD | Normal Controls | ||
| Age (years) | 35.53 ± 9.21 (21–50) | 35.56 ± 9.18 (21–50) | p = 0.991 b |
| Male/Female | 26/19 | 26/19 | p = 1.000 c |
| Mean FD (mm) | 0.11 ± 0.06 (0.03–0.25) | 0.13 ± 0.08 (0.03–0.36) | p = 0.191 d |
| YMRS e | 10.49 ± 11.22 (0–37) | — | — |
| HAMD f | 11.62 ± 8.43 (0–32) | — | — |
| No. | ROI | Module | Peak MNI | F-Value | p-Value | q-Value | ηp2 |
|---|---|---|---|---|---|---|---|
| 20 | SMG.L | MSN | (−54, −23, 43) | 12.730 | 0.001 | 0.028 | 0.130 |
| 21 | PreCG.R | MSN | (29, −17, 71) | 11.734 | 0.001 | 0.029 | 0.121 |
| 24 | PoCG.L | MSN | (−40, −19, 54) | 10.558 | 0.002 | 0.031 | 0.110 |
| 29 | PreCG.R | MSN | (44, −8, 57) | 11.141 | 0.001 | 0.030 | 0.116 |
| 33 | PoCG.L | MSN | (−45, −32, 47) | 9.790 | 0.002 | 0.032 | 0.103 |
| 36 | PoCG.R | MSN | (42, −20, 55) | 16.787 | <0.001 | 0.012 | 0.165 |
| 37 | PreCG.L | MSN | (−38, −15, 69) | 8.283 | 0.005 | 0.045 | 0.089 |
| 41 | PreCG.R | MSN | (38, −17, 45) | 9.458 | 0.003 | 0.032 | 0.100 |
| 63 | STG.R | AUD | (58, −16, 7) | 9.123 | 0.003 | 0.033 | 0.097 |
| 79 | MTG.L | DMN | (−46, −61, 21) | 10.797 | 0.001 | 0.031 | 0.113 |
| 80 | MOG.R | DMN | (43, −72, 28) | 9.624 | 0.003 | 0.032 | 0.102 |
| 86 | ANG.L | DMN | (−44, −65, 35) | 10.543 | 0.002 | 0.031 | 0.110 |
| 88 | PCUN.L | DMN | (−7, −55, 27) | 9.742 | 0.002 | 0.032 | 0.103 |
| 94 | DCG.L | DMN | (−2, −37, 44) | 10.078 | 0.002 | 0.032 | 0.106 |
| 95 | PCUN.R | DMN | (11, −54, 17) | 9.345 | 0.003 | 0.033 | 0.099 |
| 96 | ANG.R | DMN | (52, −59, 36) | 9.237 | 0.003 | 0.033 | 0.098 |
| 112 | ORBmid.L | DMN | (−2, 38, 36) | 8.641 | 0.004 | 0.039 | 0.092 |
| 113 | ACG.L | DMN | (−3, 42, 16) | 15.389 | 0.000 | 0.012 | 0.153 |
| 122 | ACG.R | DMN | (12, 36, 20) | 10.460 | 0.002 | 0.031 | 0.110 |
| 130 | ANG.R | DMN | (47, −50, 29) | 15.697 | 0.000 | 0.012 | 0.156 |
| 164 | MOG.L | VIS | (−42, −74, 0) | 9.683 | 0.003 | 0.032 | 0.102 |
| 177 | IPL.L | FPN | (−53, −49, 43) | 11.432 | 0.001 | 0.029 | 0.119 |
| 195 | ANG.L | FPN | (−42, −55, 45) | 11.851 | 0.001 | 0.029 | 0.122 |
| 208 | INS.L | SAL | (−35, 20, 0) | 19.712 | <0.001 | 0.007 | 0.188 |
| 215 | ACG.L | SAL | (0, 30, 27) | 10.245 | 0.002 | 0.032 | 0.108 |
| 221 | MFG.R | SAL | (2, −24, 30) | 9.108 | 0.003 | 0.033 | 0.09 |
| 239 | MTG.R | VAN | (51, −29, −4) | 8.064 | 0.006 | 0.048 | 0.087 |
| 259 | IPL.L | DAN | (−33, −46, 47) | 12.613 | 0.001 | 0.028 | 0.129 |
| 264 | PreCG.R | DAN | (29, −5, 54) | 11.454 | 0.001 | 0.029 | 0.119 |
Disclaimer/Publisher’s Note: The statements, opinions and data contained in all publications are solely those of the individual author(s) and contributor(s) and not of MDPI and/or the editor(s). MDPI and/or the editor(s) disclaim responsibility for any injury to people or property resulting from any ideas, methods, instructions or products referred to in the content. |
© 2026 by the authors. Licensee MDPI, Basel, Switzerland. This article is an open access article distributed under the terms and conditions of the Creative Commons Attribution (CC BY) license.
Share and Cite
Zhang, N.; An, W.; Li, S.; Wu, J. Kernel-Transformed Functional Connectivity Entropy Reveals Network Dedifferentiation in Bipolar Disorder. Brain Sci. 2026, 16, 208. https://doi.org/10.3390/brainsci16020208
Zhang N, An W, Li S, Wu J. Kernel-Transformed Functional Connectivity Entropy Reveals Network Dedifferentiation in Bipolar Disorder. Brain Sciences. 2026; 16(2):208. https://doi.org/10.3390/brainsci16020208
Chicago/Turabian StyleZhang, Nan, Weichao An, Shengnan Li, and Jinglong Wu. 2026. "Kernel-Transformed Functional Connectivity Entropy Reveals Network Dedifferentiation in Bipolar Disorder" Brain Sciences 16, no. 2: 208. https://doi.org/10.3390/brainsci16020208
APA StyleZhang, N., An, W., Li, S., & Wu, J. (2026). Kernel-Transformed Functional Connectivity Entropy Reveals Network Dedifferentiation in Bipolar Disorder. Brain Sciences, 16(2), 208. https://doi.org/10.3390/brainsci16020208
