Next Issue
Volume 15, November-2
Previous Issue
Volume 15, October-2
 
 

Buildings, Volume 15, Issue 21 (November-1 2025) – 205 articles

Cover Story (view full-size image): This study introduces a hybrid framework that combines full-scale experimental testing, finite element calibration, analytical homogenization, and machine learning surrogates for the mechanical characterization of composite panels. The approach enables the derivation of equivalent elastic and shear parameters from limited laboratory data and extends them through physics-informed AI models for fast prediction across diverse configurations. The proposed workflow bridges physical accuracy and computational efficiency, offering a practical tool for the design and optimization of modular composite structures. View this paper
  • Issues are regarded as officially published after their release is announced to the table of contents alert mailing list.
  • You may sign up for e-mail alerts to receive table of contents of newly released issues.
  • PDF is the official format for papers published in both, html and pdf forms. To view the papers in pdf format, click on the "PDF Full-text" link, and use the free Adobe Reader to open them.
Order results
Result details
Section
Select all
Export citation of selected articles as:
16 pages, 1254 KB  
Article
Experimental Study on Acid Resistance of Geopolymer Concrete Incorporating Fly Ash and GGBS: Towards Low-Carbon and Sustainable Construction
by Kiran Kumar Poloju, Zainab Al Ajmi, Shalini Annadurai, Adil Nadeem Hussain and Mallikarjuna Rao
Buildings 2025, 15(21), 4012; https://doi.org/10.3390/buildings15214012 - 6 Nov 2025
Cited by 2 | Viewed by 1357
Abstract
This experiment investigated the mechanical performance and acid resistance (when subjected to 28 days of exposure to sulfuric and nitric acid of five percent) of ambient-cured geopolymer concrete. Geopolymer concrete (GPC)—which is produced by using industrial by-products, including fly ash and ground granulated [...] Read more.
This experiment investigated the mechanical performance and acid resistance (when subjected to 28 days of exposure to sulfuric and nitric acid of five percent) of ambient-cured geopolymer concrete. Geopolymer concrete (GPC)—which is produced by using industrial by-products, including fly ash and ground granulated blast furnace slag (GGBS)—is a low-carbon and strong substitute of Ordinary Portland Cement (OPC). This experiment examines the mechanical and acid-resisting properties of ambient GPC with different GGBS (10, 30, and 50 percent) contents. The compressive, tensile, and flexural strengths were measured at 7, 14, and 28 days, and durability was measured under an exposure of 5% sulfuric and nitric acids. X-ray diffraction (XRD) and scanning electron microscopy (SEM) showed that gypsum and ettringite were formed by sulfuric acid that weakened the structure, whereas surface decalcification was mostly caused by nitric acid. Mixes with a high fly ash content had more amorphous structures and better acid resistance, whereas those having high GGBS contents had high early strength because of high densities of the C–A–S–H gel. The findings indicate a strength–durability trade-off, which can be used to control the optimized mix design to produce sustainable and long-term infrastructure. Full article
Show Figures

Figure 1

30 pages, 8766 KB  
Article
Strengthening Strategy for RC T-Beams in Negative-Moment Region Using Steel-Reinforced Polymer Cement Mortar
by Yanuar Haryanto, Fu-Pei Hsiao, Hsuan-Teh Hu, Laurencius Nugroho, Chia-Chen Lin, Pu-Wen Weng, Yu-Yu Cheng and Banu Ardi Hidayat
Buildings 2025, 15(21), 4011; https://doi.org/10.3390/buildings15214011 - 6 Nov 2025
Cited by 2 | Viewed by 972
Abstract
This study investigated a strengthening strategy for reinforced concrete (RC) T-beams in the negative-moment region using polymer cement mortar (PCM) systems. Monotonic loading tests were conducted on beams retrofitted with PCM, incorporating steel reinforcements of either 13 mm or 16 mm in diameter. [...] Read more.
This study investigated a strengthening strategy for reinforced concrete (RC) T-beams in the negative-moment region using polymer cement mortar (PCM) systems. Monotonic loading tests were conducted on beams retrofitted with PCM, incorporating steel reinforcements of either 13 mm or 16 mm in diameter. The flexural performance of the strengthened specimens was assessed under three-point bending, with a focus on load–deflection behavior, crack patterns, and failure modes. Key structural parameters governing the structural response were analyzed. The findings indicated that incorporating PCM markedly improved the flexural capacity of RC T-beams, with increases in the ultimate load of 55% and 99% for the two reinforcement configurations. Although the beam strengthened with 16 mm steel bars exhibited reduced ductility, its energy absorption was 29% higher compared to its 13 mm counterpart. A three-dimensional nonlinear finite element model was also developed in ABAQUS 6.14, and its predictions closely matched the experimental observations. Full article
(This article belongs to the Special Issue Applications of Advanced Composites in Civil Engineering)
Show Figures

Figure 1

20 pages, 9171 KB  
Article
Effects of Mineral Admixtures and Mixing Techniques on the Performance of Steel Fibre-Reinforced Recycled Aggregate Concrete
by Muhammad Qaisar and Muhammad Yaqub
Buildings 2025, 15(21), 4010; https://doi.org/10.3390/buildings15214010 - 6 Nov 2025
Viewed by 725
Abstract
In this work, the synergistic effects of mineral admixtures and advanced mixing processes are systematically accounted for steel fibre-reinforced recycled aggregate concrete (SFR-RAC). It studies the improvement of performance optimization in SFR-RAC, inherently weak ITZ by adding 0.5% hooked steel fibres and replacing [...] Read more.
In this work, the synergistic effects of mineral admixtures and advanced mixing processes are systematically accounted for steel fibre-reinforced recycled aggregate concrete (SFR-RAC). It studies the improvement of performance optimization in SFR-RAC, inherently weak ITZ by adding 0.5% hooked steel fibres and replacing cement with ground granulated blast furnace slag (25–50%), fly ash (20–40%) and silica fume (7–14%). The efficiency of double-mixing (DM) and triple-mixing (TM) procedures were comprehensively evaluated. Results showed that mineral admixtures could improve mortar-aggregate interface bond, and the triple-mix technique contributed to such improvement. The maximum performance was observed for the combination of 7%SF with triple mixing (7%SF-TM), which presented increased compressive, tensile and flexural strengths by 7–18%, 12–29%, and 16–31% respectively. The durability was significantly improved, and the water resistance could increase by 53% with addition of 7%SF-TM, chloride penetration depth reduced by 86% when incorporated with 25%GGBS-TM, acid attack decreased by 84% with addition of 14%SF-TM. Microstructural analysis (SEM, XRD) confirmed that these enhancements stem from a denser matrix and refined ITZ due to increased C–S–H formation. This study confirms that the strategic integration of fibre reinforcement, pozzolanic admixtures and optimized mixing protocols presents a viable pathway for producing sustainable concrete from construction waste. Full article
(This article belongs to the Section Building Materials, and Repair & Renovation)
Show Figures

Figure 1

17 pages, 4113 KB  
Article
Influence of Random Corrosion on the Surface of Rock Bolts on the Propagation Characteristics of Ultrasonic Guided Waves: Taking Corrosion Depth and Area Ratio as Variables
by Manman Wang, Qianjin Zou, Haigang Li and Wen He
Buildings 2025, 15(21), 4009; https://doi.org/10.3390/buildings15214009 - 6 Nov 2025
Viewed by 519
Abstract
Corrosion of rock bolts in engineering exhibits random spatial distribution characteristics. To elucidate the influence mechanism of stochastic corrosion on the surface of rock bolts on the propagation behavior of ultrasonic guided waves, this study establishes a finite element model of rock bolts [...] Read more.
Corrosion of rock bolts in engineering exhibits random spatial distribution characteristics. To elucidate the influence mechanism of stochastic corrosion on the surface of rock bolts on the propagation behavior of ultrasonic guided waves, this study establishes a finite element model of rock bolts that incorporates stochastic corrosion characteristics. The coupled effects of corrosion depth and area ratio on guided wave propagation characteristics, time-domain response, energy distribution, and wave velocity variation are systematically investigated. Results indicate that corrosion depth and area ratio synergistically deteriorate guided wave morphology, transforming the stress field from symmetric and uniform to asymmetric and spiral. Reflections, scattering, and mode conversion induced by defects lead to a significant increase in the attenuation rate of pulse amplitude, with the two parameters governing the vertical interaction intensity and horizontal interference scope, respectively. Analysis of the Hilbert curve reveals that corrosion characteristics disrupt energy concentration. Under constant corrosion depth, an increase in area ratio disperses energy toward delayed scattered waves, while under constant area ratio, greater corrosion depth reduces the peak amplitude of the envelope curve. Overall, the energy integral exhibits an increasing trend with the degree of corrosion, whereas the peak-to-peak wave velocity shows a declining trend. The established multivariate nonlinear model accurately describes the coupled influence of corrosion parameters on wave velocity. This stochastic corrosion model overcomes the limitations of traditional simplified models and provides critical theoretical support for parameter calibration and engineering application of ultrasonic guided wave technology in the quantitative assessment of rock bolt corrosion. Full article
(This article belongs to the Section Building Structures)
Show Figures

Figure 1

37 pages, 8157 KB  
Review
Toward Reliable Interfacial Bond Characterization Between Polymeric Cementitious Composites (PCCs) and Concrete: Testing Standards, Methodologies, and Advanced NDT–AI Hybrid Approaches
by Dongchan Kim and Min Ook Kim
Buildings 2025, 15(21), 4008; https://doi.org/10.3390/buildings15214008 - 6 Nov 2025
Cited by 2 | Viewed by 1596
Abstract
The evaluation of interfacial bonds between polymeric cementitious composites (PCCs) and concrete is considered as a critical factor to determine structural safety, durability, and service life regarding the repair and strengthening of old concrete structures. Conventional evaluations of interfacial bond strength have primarily [...] Read more.
The evaluation of interfacial bonds between polymeric cementitious composites (PCCs) and concrete is considered as a critical factor to determine structural safety, durability, and service life regarding the repair and strengthening of old concrete structures. Conventional evaluations of interfacial bond strength have primarily relied on destructive testing methods, such as the pull-off and slant shear tests. However, these methods inherently possess fundamental limitations, including localized damage, non-uniform stress distribution, and uncertainty in result interpretation. This review aims to provide a comprehensive overview of existing standards and methods for assessing interfacial bond strength. For this purpose, the evaluation methods and results for the interfacial bond strength between cementitious composites such as PCCs and concrete were systematically reviewed. It further examines the characteristics and sources of error of the representative destructive method (pull-off test), highlighting its inherent limitations. Furthermore, this study conducted an in-depth analysis of a hybrid evaluation strategy combining non-destructive testing (NDT) and artificial intelligence (AI) to overcome the limitations of conventional interfacial bond strength assessment methods and minimize prediction errors. The results demonstrated that the NDT–AI hybrid approach, based on an ANN–BFGS model, achieved the highest accuracy in bond strength prediction and was identified as the optimal method for quantitatively and non-destructively evaluating interfacial bond behavior. Full article
(This article belongs to the Section Building Materials, and Repair & Renovation)
Show Figures

Figure 1

14 pages, 3975 KB  
Article
Seismic Performance and Buckling Length Calculation Method of Concrete-Filled Steel Tube Columns
by Yulong Zhou, Haifang He, Shu Cao, Tong Zhu, Zhixuan Fei, Min Wu and Xiang Tian
Buildings 2025, 15(21), 4007; https://doi.org/10.3390/buildings15214007 - 6 Nov 2025
Viewed by 621
Abstract
This study establishes a refined numerical model of circular concrete-filled steel tube (CFST) columns using finite element software, and its effectiveness was verified through simulation of low-cycle reciprocating load tests. Based on this, a systematic analysis was conducted to investigate the effects of [...] Read more.
This study establishes a refined numerical model of circular concrete-filled steel tube (CFST) columns using finite element software, and its effectiveness was verified through simulation of low-cycle reciprocating load tests. Based on this, a systematic analysis was conducted to investigate the effects of three key parameters—axial compression ratio (0.1–0.3), slenderness ratio (22.2–46.8), and confinement coefficient (0.65–1.56)—on the seismic performance of CFST columns, including failure modes, hysteretic behavior, skeleton curves, ductility, and energy dissipation capacity. The local buckling behavior was also studied. The results indicate that increasing the axial compression ratio slightly enhances the bearing capacity but reduces ductility, increasing the slenderness ratio significantly reduces the bearing capacity but improves ductility, and increasing the confinement coefficient substantially improves the bearing capacity, ductility, and energy dissipation capacity simultaneously. Based on the parametric analysis, the existing calculation formula for the local buckling length of circular CFST columns was modified. The average error between the predicted and simulated values is only 10%, demonstrating high engineering applicability. This research provides a theoretical basis and a practical calculation method for the seismic design and performance evaluation of CFST building and bridge columns. Full article
Show Figures

Figure 1

20 pages, 6691 KB  
Article
Study on Blast Mitigation Protection of Underground Station Structures Using Phononic Crystals
by Jihu Wu, Chuqiao Bo, Dai Wang, Zhongxian Liu, Filip Broniewicz and Miroslaw Broniewicz
Buildings 2025, 15(21), 4006; https://doi.org/10.3390/buildings15214006 - 6 Nov 2025
Viewed by 1229
Abstract
Urban subways, as critical strategic spaces, require underground structures with sufficient blast-resistant capabilities. To evaluate the blast resistance performance of underground station structures under ground-level nuclear explosion air shock waves, a three-dimensional finite element model of an underground station was developed using LS-DYNA. [...] Read more.
Urban subways, as critical strategic spaces, require underground structures with sufficient blast-resistant capabilities. To evaluate the blast resistance performance of underground station structures under ground-level nuclear explosion air shock waves, a three-dimensional finite element model of an underground station was developed using LS-DYNA. The blast mitigation effects of phononic crystals are primarily analyzed and the influence of parameters such as spatial arrangement, buried depth, and material properties of phononic crystals on the blast resistance of underground station structures is systematically examined. The results indicate that a denser configuration of phononic crystals enhances the blast mitigation effect, while the maximum displacement of the structure is increased. Considering the structure’s maximum response and economic feasibility, a spacing of 2 m between phononic crystals is recommended. Additionally, the blast mitigation effect stabilizes when the number of phononic crystal layers exceeds a certain threshold, with two layers being optimal. The buried depth of the phononic crystals has a limited effect on blast mitigation; therefore, positioning them midway between the ground surface and the structure at a depth of 2 m is advised. The material properties of the phononic crystals also have a significant impact on the blast protection. Rubber was found to yield the lowest dynamic response of the station structure, providing the best protective effect. These findings offer insights for designing phononic crystal-based blast protection in underground station structures. Full article
Show Figures

Figure 1

18 pages, 239 KB  
Article
Divided by Design: Forces Driving Exclusive Residential Developments in South African Cities
by Khululekani Ntakana, Luxien Ariyan and Sijekula Mbanga
Buildings 2025, 15(21), 4005; https://doi.org/10.3390/buildings15214005 - 6 Nov 2025
Viewed by 722
Abstract
Exclusive residential developments have drawn growing attention in South African cities, where urbanisation and socioeconomic disparities continue to reshape the built environment. This study examines the underlying drivers of their proliferation and presents a taxonomy of the key forces influencing their growth. The [...] Read more.
Exclusive residential developments have drawn growing attention in South African cities, where urbanisation and socioeconomic disparities continue to reshape the built environment. This study examines the underlying drivers of their proliferation and presents a taxonomy of the key forces influencing their growth. The aim is to present results of a study that sought to examine the driving forces behind the growth of exclusive residential developments. Drawing from a literature review and a quantitative inquiry approach, primary data was also collected from 109 built environment professionals. Descriptive and inferential statistical methods, particularly exploratory factor analysis (EFA), were employed to enhance the analysis. The descriptive assessment, utilising the mean score (MS) ranking technique, revealed that one of the primary factors influencing the development of exclusive residential communities was the perception among prospective residents that these environments offer enhanced safety and security. Additionally, there is a good chance that these developments may increase in value. Furthermore, the EFA revealed that the underlying grouped factors for exclusive development were ‘free market capitalism’; ‘safety and security’; ‘local demand’; ‘public–private partnership (PPP)’; ‘affordability’; and ‘profit seeking’. These findings suggest that if housing costs rise, the average citizen may not be able to afford them due to the emphasis on maximising profits over affordability. Safety and security precautions can create a sense of exclusivity and seclusion in these communities, possibly cutting them off from the larger local community and affecting local demand for goods and services outside the community’s borders. Full article
(This article belongs to the Section Architectural Design, Urban Science, and Real Estate)
19 pages, 6531 KB  
Article
The Mechanical Properties and Microstructural Characterization of Copper Tailing Backfill Cemented with a Slag-Based Material
by Haina Zhang, Xiutao Zhang, Lingsheng Yan, Changsheng Xie, Zewen Zhu, Shunman Chen and Xinyue Jiang
Buildings 2025, 15(21), 4004; https://doi.org/10.3390/buildings15214004 - 6 Nov 2025
Viewed by 612
Abstract
To address the challenges associated with Ordinary Portland Cement (OPC) in mine backfilling, including high costs, the large carbon footprint, and performance limitations, a novel cementitious powder (CP) based on alkali-activated slag is developed in this work. The mechanical performance and microstructural strengthening [...] Read more.
To address the challenges associated with Ordinary Portland Cement (OPC) in mine backfilling, including high costs, the large carbon footprint, and performance limitations, a novel cementitious powder (CP) based on alkali-activated slag is developed in this work. The mechanical performance and microstructural strengthening mechanism of this CP as a substitute for OPC in cemented copper tailing backfill (CTB) were systematically evaluated. The effects of key parameters, including the solid content (SC), tailing-to-cement ratio (TCR), and curing age (CA), were investigated using uniaxial compressive strength (UCS) tests and scanning electron microscopy (SEM) analysis. The results demonstrate that the novel binder exhibits superior performance. At a solid content of 73%, the CTB prepared with CP at a TCR of 10 or 12 achieved a compressive strength comparable to or exceeding that of the OPC-based counterpart with a TCR of 8. This represents a 33% reduction in binder dosage without sacrificing performance. The UCS of the CTB increased significantly with a decreasing TCR and an increasing CA, with the most rapid strength development observed during the early curing stages (≤7 days). The stress–strain behavior transitioned from plastic yielding to strain-softening with prolonged curing, and the macroscopic failure was predominantly governed by tensile cracking. Microstructural analysis revealed that the strength development of the CTB originates from the continuous formation of hydration products, such as calcium-silicate-hydrate (C-S-H) gel and ettringite. These products progressively fill pores and encapsulate tailing particles, creating a dense and interlocking skeletal structure. A lower TCR and a longer CA promote the formation of a more integrated and compact micro-network, thereby enhancing the macroscopic mechanical strength. This study confirms the viability of the slag-based binder as a sustainable alternative to OPC in mining backfill applications, providing a critical theoretical basis and technical support for the low-cost, eco-friendly utilization of mining solid waste. Full article
Show Figures

Figure 1

22 pages, 3317 KB  
Article
Flexural Performance and Flexural Toughness Evaluation Method of High-Strength Engineered Cementitious Composites
by Bo Chen, Liang Hou, Rong-Guo Yan, Xiang-Yu Zhang, Hao Meng and Jing-Tian Li
Buildings 2025, 15(21), 4003; https://doi.org/10.3390/buildings15214003 - 6 Nov 2025
Viewed by 953
Abstract
Ordinary concrete exhibits inherent brittleness, which restricts its deformation capacity and durability under extreme loading conditions. Engineered cementitious composites (ECC) have been developed to address these limitations; however, conventional ECC often suffers from relatively low compressive strength, limiting its use in demanding structural [...] Read more.
Ordinary concrete exhibits inherent brittleness, which restricts its deformation capacity and durability under extreme loading conditions. Engineered cementitious composites (ECC) have been developed to address these limitations; however, conventional ECC often suffers from relatively low compressive strength, limiting its use in demanding structural applications. To overcome this drawback, high-strength ECC (HS-ECC) was prepared by incorporating high-volume mineral admixtures and three types of synthetic fibers-polypropylene (PP), polyethylene (PE), and polyvinyl alcohol (PVA). This study aimed to investigate the influence of fiber type and dosage on the flexural behavior of HS-ECC and to propose a toughness evaluation framework better suited to its strain-hardening characteristics. A comprehensive experimental program, including compressive and four-point bending tests, was conducted to evaluate failure modes, flexural performance, and post-cracking behavior. Results showed that PE fibers significantly enhanced flexural strength and toughness, PP fibers provided superior deformability at higher dosages, while PVA fibers tended to fracture due to strong matrix bonding, limiting their effectiveness in high-strength matrices. Based on the observed load–deflection responses, a physically meaningful flexural toughness evaluation method was developed, which reliably captured elastic, hardening, and softening stages of HS-ECC. The findings not only clarify the role of different fiber types in HS-ECC but also offer a new evaluation approach that can guide fiber selection and mix design for structural applications. Full article
Show Figures

Figure 1

19 pages, 10996 KB  
Article
The Effect of Modification with Nano-Alumina, Nano-Silica, and Polypropylene Fiber on the Frost Resistance of Concrete
by Qinglong Zhang, Chunqing Li, Guoyu Li, Dun Chen, Xuyang Wu, Yapeng Wang, Yuncheng Mao and Kun Zhang
Buildings 2025, 15(21), 4002; https://doi.org/10.3390/buildings15214002 - 6 Nov 2025
Cited by 2 | Viewed by 953
Abstract
This study presents a systematic evaluation of frost resistance in concrete modified with nano-alumina (NA, 1 wt%), nano-silica (NS, 2 wt%), and polypropylene fiber (PP, 0.2 wt%) through accelerated freeze–thaw testing. The investigation employed a comparative experimental approach, subjecting specimens with optimal mechanical [...] Read more.
This study presents a systematic evaluation of frost resistance in concrete modified with nano-alumina (NA, 1 wt%), nano-silica (NS, 2 wt%), and polypropylene fiber (PP, 0.2 wt%) through accelerated freeze–thaw testing. The investigation employed a comparative experimental approach, subjecting specimens with optimal mechanical dosages to 300 freeze–thaw cycles. The degradation was quantitatively assessed by monitoring the evolution of mass loss, dynamic elastic modulus, and compressive strength. Results reveal that PP-modified concrete demonstrates optimal performance, retaining 70% of its dynamic elastic modulus (vs. 68% for NA and 64% for control, and failing at 58% for NS after 200 cycles) and exhibiting only 9.3% compressive strength loss (vs. 13.9% for NA and 27.3% for control, and 43.6% for NS). These findings establish PP as the most effective modifier, offering both superior frost resistance (300+ cycle durability) and practical advantages (simpler processing, lower cost). The results provide a scientific basis for designing high-performance concrete in cold regions, with particular relevance to infrastructure requiring long-term durability under cyclic freezing conditions. Full article
(This article belongs to the Section Building Structures)
Show Figures

Figure 1

20 pages, 4628 KB  
Article
Sensitivity Analysis of Foundation Soil Physical–Mechanical Properties on Pile Foundation Stability
by Yuan Ma, Xinghong He, Yao Guan, Debao Fan, Rui Gao, Fan Luo and Shiyuan Liu
Buildings 2025, 15(21), 4001; https://doi.org/10.3390/buildings15214001 - 6 Nov 2025
Cited by 3 | Viewed by 1245
Abstract
The stability of pile foundation is influenced by many interacting factors, particularly geological conditions. Quantifying the impact of physical and mechanical soil properties on pile stability is critical for achieving optimal design outcomes. This study investigates the sensitivity of key soil parameters and [...] Read more.
The stability of pile foundation is influenced by many interacting factors, particularly geological conditions. Quantifying the impact of physical and mechanical soil properties on pile stability is critical for achieving optimal design outcomes. This study investigates the sensitivity of key soil parameters and validates the findings with a case study of a university building in Kashkar, Xinjiang, China. A three-dimensional pile–soil model was developed in Abaqus and calibrated with static load test data. Variable control and orthogonal experiments were conducted to examine settlement patterns and ultimate bearing capacity under varying soil parameters. Settlement and ultimate bearing capacity were adopted as stability indicators. Sensitivity analysis was performed through multi-factor variance analysis, sensitivity analysis of factors (SAF), and variance inflation factor (VIF) collinearity analysis. The results show that the most influential parameters are the friction coefficient of the soil above the pile tip, the Poisson’s ratio of the pile-end soil, the Poisson’s ratio of the soil above the pile tip, the friction coefficient of the pile-end soil, and the elastic modulus of the pile-end soil. These findings provide a quantitative basis for optimizing design parameters and improving the efficiency and reliability of pile foundation design in sandy soil regions. Full article
(This article belongs to the Section Building Structures)
Show Figures

Figure 1

18 pages, 6757 KB  
Article
Integrated Construction Process Monitoring and Stability Assessment of a Geometrically Complex Large-Span Spatial Tubular Truss System
by Ruiheng Hou, Henghui Li, Hao Zhang, Haoliang Wang, Lei Chen and Qingjun Xian
Buildings 2025, 15(21), 4000; https://doi.org/10.3390/buildings15214000 - 6 Nov 2025
Viewed by 917
Abstract
This study presents a comprehensive construction monitoring program for a geometrically complex, large-span spatial tubular truss system within a typical center steel exhibition hall. To ensure construction quality and structural integrity throughout the entire process, the monitoring strategy was rigorously aligned with the [...] Read more.
This study presents a comprehensive construction monitoring program for a geometrically complex, large-span spatial tubular truss system within a typical center steel exhibition hall. To ensure construction quality and structural integrity throughout the entire process, the monitoring strategy was rigorously aligned with the actual construction sequence. Real-time vertical displacement measurements were acquired at critical structural members and joints. A detailed finite element model of the entire structure was developed to systematically analyze the structural behavior of herringbone columns, primary and secondary trusses, and temporary supports during both installation and removal phases. Displacement patterns at key locations were investigated, and a global stability assessment was performed. Results demonstrate close agreement between finite element predictions and field measurements, confirming the rationality and reliability of the construction scheme. The structural system exhibited excellent stability across all construction stages, satisfying both architectural aesthetics and structural safety requirements. This study provides practical insights for construction control of similar large-span steel structures. Full article
(This article belongs to the Section Building Structures)
Show Figures

Figure 1

39 pages, 14066 KB  
Article
Climatic Adaptability of Transitional Space in Traditional Courtyard Dwellings of Jinhua: A Case Study of the Lu Residence in Dongyang
by Jiaqi Wang, Huijie Liu and Li Bao
Buildings 2025, 15(21), 3999; https://doi.org/10.3390/buildings15213999 - 5 Nov 2025
Cited by 1 | Viewed by 992
Abstract
Amid the combined pressures of global carbon-reduction in architecture and the imperative of cultural heritage conservation, new courtyard-style buildings in hot-summer and cold-winter regions face a dual challenge of reconciling historical morphological constraints with contemporary comfort requirements. At the same time, the prevailing [...] Read more.
Amid the combined pressures of global carbon-reduction in architecture and the imperative of cultural heritage conservation, new courtyard-style buildings in hot-summer and cold-winter regions face a dual challenge of reconciling historical morphological constraints with contemporary comfort requirements. At the same time, the prevailing energy-efficiency codes in these regions, emphasizing high airtightness and strong insulation, have revealed shortcomings such as poor indoor air quality and insufficient summer ventilation. This study takes the Lu Residence in Dongyang, Jinhua, Zhejiang Province, as the primary case. It systematically examines the coupling mechanisms between the geometric configurations of transitional space in traditional courtyard dwellings and their environmental physical parameters using field surveys, multi-parameter environmental monitoring, and computer simulations. The results identify the optimal orientations and geometric parameters that balance summer ventilation with winter thermal buffering in hot-summer and cold-winter regions. The primary conclusions of this research are as follows: (1) The optimal orientation for axial buildings lies between 15° west of south and 15° east of south, as well as 30–60° east or west of south, with an angle of 45–60° in relation to the prevailing annual wind direction for all buildings. (2) The optimal height-to-width ratio of the courtyard is less than 1:2.5, while the range of the length-to-width ratio extends from 1:0.5 to 1:0.7. (3) The optimal eave depth varies from 900 to 1500 mm, effectively balancing winter heat retention and summer shading; however, a depth of 2400 mm is primarily advantageous for shading purposes. Furthermore, these findings are applied to the design of a new guesthouse within the conservation area of the Xu Zhen Er Gong Ancestral Hall in Yongkang, establishing a climate–geometry matching mechanism for transitional spaces. The study demonstrates that transitional space can serve as effective passive regulators, offering a scientific and sustainable pathway for the adaptive continuation of traditional courtyard architecture. Full article
(This article belongs to the Section Building Energy, Physics, Environment, and Systems)
Show Figures

Figure 1

21 pages, 3926 KB  
Article
Predicting the Strength of Heavy Concrete Exposed to Aggressive Environmental Influences by Machine Learning Methods
by Kirill P. Zubarev, Irina Razveeva, Alexey N. Beskopylny, Sergey A. Stel’makh, Evgenii M. Shcherban’, Levon R. Mailyan, Diana M. Shakhalieva, Andrei Chernil’nik and Nadezhda I. Nikora
Buildings 2025, 15(21), 3998; https://doi.org/10.3390/buildings15213998 - 5 Nov 2025
Cited by 3 | Viewed by 779
Abstract
Currently, intelligent algorithms are becoming a reliable alternative source of data analysis in many areas of human activity. In materials science, the integration of machine learning methods is effectively applied to predictive modeling of building materials properties. This is particularly interesting and relevant [...] Read more.
Currently, intelligent algorithms are becoming a reliable alternative source of data analysis in many areas of human activity. In materials science, the integration of machine learning methods is effectively applied to predictive modeling of building materials properties. This is particularly interesting and relevant for predicting the strength properties of building materials under aggressive environmental conditions. In this study, machine learning methods (Linear Regression, K-Neighbors, Decision Tree, Random Forest, CatBoost, Support Vector Regression, and Multilayer Perceptron) were used to analyze the relationship between the strength properties of heavy concrete depending on the freeze–thaw cycle, the average area of damaged areas during this cycle, and the number of damaged areas. The Random Forest and CatBoost methods demonstrate the smallest errors: deviations from actual values are 0.27 MPa and 0.25 MPa, respectively, with an average absolute percentage error of less than 1%. The determination coefficient R2 for both models is greater than 0.99. High values of this statistical measure indicate that the implemented models adequately describe changes in the observed data. The theoretical and practical development of intelligent algorithms in materials science opens up vast opportunities for the development and production of materials that are more resistant to aggressive influences. Full article
(This article belongs to the Section Building Materials, and Repair & Renovation)
Show Figures

Figure 1

26 pages, 8457 KB  
Article
Low Cyclic Fatigue Properties and Cyclic Constitutive Modeling of SS275 Steel for Seismic Applications
by Hubdar Hussain and Dong-keon Kim
Buildings 2025, 15(21), 3997; https://doi.org/10.3390/buildings15213997 - 5 Nov 2025
Cited by 3 | Viewed by 1187
Abstract
Steel energy dissipation devices are integral to seismic design, as they help reduce structural deformations during strong earthquakes by absorbing and dissipating energy through large inelastic deformations. This research provides new insights into the cyclic behavior and constitutive modeling of carbon steel SS275, [...] Read more.
Steel energy dissipation devices are integral to seismic design, as they help reduce structural deformations during strong earthquakes by absorbing and dissipating energy through large inelastic deformations. This research provides new insights into the cyclic behavior and constitutive modeling of carbon steel SS275, a domestically manufactured material in Korea specifically used for seismic energy dissipation applications. To characterize its mechanical response, monotonic and strain-controlled cyclic loading tests are conducted on nine machined coupons. The cyclic tests are performed under constant strain amplitudes ranging from ±0.5% to ±3.0%. Experimental strain–life data obtained at these amplitudes are used to determine the Coffin–Manson parameters, while the cyclic stress–strain relationship is defined using the Ramberg–Osgood equation. Furthermore, material parameters for the Chaboche nonlinear hardening model are extracted from the experimental results and validated through finite element simulations of coupon tests in ABAQUS, ensuring close agreement with the measured cyclic response. Following the coupon-level analysis, a member-scale test is performed on a buckling-restrained brace (BRB) fabricated from SS275 steel. The calibrated Chaboche parameters are then applied in numerical simulations of the BRB, and the results are compared with experimental data to assess the model’s predictive capability for seismic performance. Full article
(This article belongs to the Special Issue Seismic Performance of Seismic-Resilient Structures)
Show Figures

Figure 1

37 pages, 7157 KB  
Article
Research on Pedestrian Dynamics and Its Environmental Factors in a Jiangnan Water Town Integrating Video-Based Trajectory Data and Machine Learning
by Hongshi Cao, Zhengwei Xia, Ruidi Wang, Chenpeng Xu, Wenqi Miao and Shengyang Xing
Buildings 2025, 15(21), 3996; https://doi.org/10.3390/buildings15213996 - 5 Nov 2025
Cited by 1 | Viewed by 1537
Abstract
Jiangnan water towns, as distinctive cultural landscapes in China, are confronting the dual challenge of surging tourist flows and imbalances in spatial distribution. Research on pedestrian dynamics has so far offered narrow coverage of influencing factors and limited insight into underlying mechanisms, falling [...] Read more.
Jiangnan water towns, as distinctive cultural landscapes in China, are confronting the dual challenge of surging tourist flows and imbalances in spatial distribution. Research on pedestrian dynamics has so far offered narrow coverage of influencing factors and limited insight into underlying mechanisms, falling short of a systemic perspective and an interpretable theoretical framework. This study uses Nanxun Ancient Town as a case study to address this gap. Pedestrian trajectories were captured using temporarily installed closed-circuit television (CCTV) cameras within the scenic area and extracted using the YOLOv8 object detection algorithm. These data were then integrated with quantified environmental indicators and analyzed through Random Forest regression with SHapley Additive exPlanations (SHAP) interpretation, enabling quantitative and interpretable exploration of pedestrian dynamics. The results indicate nonlinear and context-dependent effects of environmental factors on pedestrian dynamics and that tourist flows are jointly shaped by multi-level, multi-type factors and their interrelations, producing complex and adaptive impact pathways. First, within this enclosed scenic area, spatial morphology—such as lane width, ground height, and walking distance to entrances—imposes fundamental constraints on global crowd distributions and movement patterns, whereas spatial accessibility does not display its usual salience in this context. Second, perceptual and functional attributes—including visual attractiveness, shading, and commercial points of interest—cultivate local “visiting atmospheres” through place imagery, perceived comfort, and commercial activity. Finally, nodal elements—such as signboards, temporary vendors, and public service facilities—produce multi-scale, site-centered effects that anchor and perturb flows and reinforce lingering, backtracking, and clustering at bridgeheads, squares, and comparable nodes. This study advances a shift from static and global description to a mechanism-oriented explanatory framework and clarifies the differentiated roles and linkages among environmental factors by integrating video-based trajectory analytics with machine learning interpretation. This framework demonstrates the applicability of surveillance and computer vision techniques for studying pedestrian dynamics in small-scale heritage settings, and offers practical guidance for heritage conservation and sustainable tourism management in similar historic environments. Full article
(This article belongs to the Section Architectural Design, Urban Science, and Real Estate)
Show Figures

Figure 1

20 pages, 3018 KB  
Article
Experimental Investigation and Service Life Prediction of Basalt Fiber–Iron Ore Tailing Recycled Concrete Under Carbonation–Freeze–Thaw Cycle Coupling
by Yang Zhang, Xu-Hui Wang and Xian-Jie Tang
Buildings 2025, 15(21), 3995; https://doi.org/10.3390/buildings15213995 - 5 Nov 2025
Cited by 1 | Viewed by 999
Abstract
In this study, iron ore tailings (IOTs) with different mass replacement rates (0%, 20%, 40%, 60%, 80%, 100%) and basalt fibers (BFs) with different volume contents (0, 0.1%, 0.2%, 0.3%) were co-incorporated into recycled concrete. To better simulate real-world conditions, a coupled carbonation–freeze–thaw [...] Read more.
In this study, iron ore tailings (IOTs) with different mass replacement rates (0%, 20%, 40%, 60%, 80%, 100%) and basalt fibers (BFs) with different volume contents (0, 0.1%, 0.2%, 0.3%) were co-incorporated into recycled concrete. To better simulate real-world conditions, a coupled carbonation–freeze–thaw cycling test was performed on C30 cubic specimens. Each test cycle comprised 7 days of carbonation followed by 25 freeze–thaw cycles, with four total cycles conducted. For specimens subjected to different numbers of test cycles, measurements were taken of the recycled concrete’s variations in mass, dynamic elastic modulus, and compressive strength. Scanning electron microscopy (SEM) was employed to examine the microscopic morphology of concrete under the test conditions and to analyze the mechanism through which the two materials influence the durability of recycled concrete in the experimental environment. Based on the Weibull distribution, a damage prediction model for basalt fiber iron ore tailing recycled concrete (BF-IOT-RAC) under the test environment was developed, and the service life of BF-IOT-RAC in Northwest China was predicted. The results indicate that the two materials can enhance the performance of recycled concrete when their dosages are appropriate; however, excessive dosages exert adverse effects. BF1T40 had a mass loss rate of 1%, an RDEM of 92%, and the cube compressive strength of 33.5 MPa at the conclusion of this test, with all three indicators being higher than those of recycled concrete with a single material incorporated. SEM observations revealed that the surface of BF1T40 was more intact than that of other recycled concretes after the test. According to the prediction, BF1T40 has the longest service life in the northwest region, reaching 42–43 years. Full article
Show Figures

Figure 1

21 pages, 4774 KB  
Article
Dynamic Performance and Seismic Response Analysis of Ming Dynasty Masonry Pagodas in the Jiangnan Region: A Case Study of the Great Wenfeng Pagoda
by Minhui Chen, Zhanjing Wu and Jinshuang Dong
Buildings 2025, 15(21), 3994; https://doi.org/10.3390/buildings15213994 - 5 Nov 2025
Cited by 1 | Viewed by 770
Abstract
To investigate the dynamic performance and seismic response of Ming dynasty masonry pagodas in the Jiangnan region of China, the Great Wenfeng Pagoda in Taizhou, Zhejiang Province, was selected as the study object. Based on on-site inspection and maintenance records, the in situ [...] Read more.
To investigate the dynamic performance and seismic response of Ming dynasty masonry pagodas in the Jiangnan region of China, the Great Wenfeng Pagoda in Taizhou, Zhejiang Province, was selected as the study object. Based on on-site inspection and maintenance records, the in situ compressive strength of masonry at each level was measured using a rebound hammer, considering that the pagoda was immovable and no destructive testing was permitted. A numerical model of the pagoda was established using the finite element software ABAQUS 2016 with a hierarchical modeling approach. The seismic response of the pagoda was computed by applying the El Centro wave, Taft wave, and artificial Ludian wave, and the seismic damage mechanism, the distribution of principal tensile stress, and seismic weak zones were analyzed. The results showed that the horizontal acceleration increased progressively along the height of the pagoda. Under minor earthquakes, the pagoda remained largely elastic, whereas under moderate and strong earthquakes, the acceleration at the top and bottom and the story drifts increased markedly, with the effects being most pronounced under the Taft wave. The damage was primarily concentrated in the first and second stories at the lower part of the pagoda and around the doorway. Tensile stress analysis indicated that the masonry blocks in the first and second stories were at risk of tensile failure under strong seismic action, whereas the lower-level stone blocks in the first story remained relatively safe due to their higher material strength. This study not only reveals the seismic weak points of Ming dynasty masonry pagodas in the Jiangnan region but also provides a scientific basis for seismic performance assessment, retrofitting design, and sustainable preservation of traditional historic buildings. Full article
(This article belongs to the Section Architectural Design, Urban Science, and Real Estate)
Show Figures

Figure 1

38 pages, 9151 KB  
Article
Experimental and Numerical Investigation of Historic Brickwork Masonry with Weak and Degraded Joints: Failure Mechanisms Under Compression and Shear
by Erica Magagnini, Vanni Nicoletti and Fabrizio Gara
Buildings 2025, 15(21), 3993; https://doi.org/10.3390/buildings15213993 - 5 Nov 2025
Viewed by 1185
Abstract
The failure behaviour of historic unreinforced masonry (URM) structures is strongly influenced by the properties of bricks and mortar. Over time, degradation processes compromise these materials, with significant effect on structural response and safety. Nevertheless, deterioration effects on the nonlinear behaviour of masonry [...] Read more.
The failure behaviour of historic unreinforced masonry (URM) structures is strongly influenced by the properties of bricks and mortar. Over time, degradation processes compromise these materials, with significant effect on structural response and safety. Nevertheless, deterioration effects on the nonlinear behaviour of masonry have been only marginally investigated. This study investigates the mechanical behaviour and failure mechanisms of historic brick masonry with weak and irregular mortar joints, representative of Mediterranean traditional constructions. An extensive experimental programme was conducted on mortars, historic clay bricks, prisms, wallets, and triplet specimens, complemented by in-situ flat jack tests. Results confirm the critical role of mortar quality and joint irregularities in reducing compressive and shear strength and in influencing deformation capacity of historic masonry. The experimental findings served as a basis for the calibration of a Finite Element Model (FEM), subsequently employed to gain deeper insight into the governing failure mechanisms in a real study case. A critical discussion of compression and shear failure criteria is presented, focusing on historic masonry. Experimental and analytical comparisons show major discrepancies in classical criteria, especially with degraded mortars. The study shows that in historic masonry with weak joints, failure is often governed by compression rather than shear. Full article
(This article belongs to the Section Building Materials, and Repair & Renovation)
Show Figures

Figure 1

30 pages, 1773 KB  
Review
Bibliographic Review of Data-Driven Methods for Building Energy Optimisation
by Carlos Rizo-Maestre, Mireia Sempere-Tortosa, Pascual Saura-Hernández and María Dolores Andújar-Montoya
Buildings 2025, 15(21), 3992; https://doi.org/10.3390/buildings15213992 - 5 Nov 2025
Viewed by 911
Abstract
This study presents a systematic bibliographic review of the application of Big Data and machine learning (ML) methods to improve energy efficiency in architectural design. The review covers peer-reviewed publications from 2010 to 2025, examining how ML algorithms such as Random Forest, Gradient [...] Read more.
This study presents a systematic bibliographic review of the application of Big Data and machine learning (ML) methods to improve energy efficiency in architectural design. The review covers peer-reviewed publications from 2010 to 2025, examining how ML algorithms such as Random Forest, Gradient Boosting, and neural networks have been used to optimise design parameters including orientation, glazing ratio, and compactness. A systematic search and selection protocol was applied to identify, classify, and critically analyse over 70 relevant studies. The findings reveal consistent evidence that data-driven models outperform traditional simulation-based methods in predicting heating and cooling loads while highlighting current gaps related to data quality, model interpretability, and real-world validation. The study contributes to the understanding of how ML-driven approaches can guide sustainable architectural design and future research directions in the built environment. Additionally, illustrative experiments were performed using simulated datasets to validate and exemplify key findings identified in the reviewed studies. Full article
(This article belongs to the Section Building Energy, Physics, Environment, and Systems)
Show Figures

Figure 1

30 pages, 4136 KB  
Article
Performance of EPS-Modified Lightweight Geopolymer and Cement Mortars Under Different Thermal and Cooling Regimes: A Comparative Study
by A. Y. F. Ali, Mohamed K. Ismail, Sabry A. Ahmed, Passant Youssef and M. S. El-Feky
Buildings 2025, 15(21), 3991; https://doi.org/10.3390/buildings15213991 - 5 Nov 2025
Viewed by 1020
Abstract
The risk of explosive spalling in high-strength cement-based materials during fire exposure poses a significant threat to structural integrity. To help mitigate this issue, this study explores the use of expanded polystyrene (EPS) beads as both a lightweight filler and a potential spalling-reduction [...] Read more.
The risk of explosive spalling in high-strength cement-based materials during fire exposure poses a significant threat to structural integrity. To help mitigate this issue, this study explores the use of expanded polystyrene (EPS) beads as both a lightweight filler and a potential spalling-reduction agent in lightweight geopolymer and conventional cementitious mortars. Two EPS-containing mortars were developed: a lightweight alkali-activated slag (LWAS) mortar and a conventional lightweight Portland cement (LWPC) mortar, both incorporating EPS beads as a 50% volumetric replacement for sand. Specimens from both mortars were subjected to elevated temperatures of 200 °C, 400 °C, and 600 °C at a heating rate of 10 °C/min to simulate a rapid-fire scenario. Following thermal exposure, two cooling regimes were employed: gradual cooling within the furnace and rapid cooling by water immersion. Mechanical performance was evaluated through compressive, splitting tensile, and impact tests at room and elevated temperatures. Microstructural analysis was also conducted to examine internal changes and heat-induced damage. The results indicated that LWAS showed remarkable resistance to spalling, remaining intact up to 600 °C due to its nanoporous geopolymer structure, which allowed controlled steam release, while LWPC failed explosively at 550 °C despite EPS pores. At 400 °C, EPS beads enhanced thermal insulation in LWAS, lowering internal temperature by over 100 °C, but increased porosity led to faster strength loss. Both mortars gained strength at 200 °C from continued curing, yet LWAS retained strength better at high temperatures than LWPC. Microscopy revealed that EPS created beneficial fine cracks in the slag matrix but harmful voids in cement. Overall, LWAS composites offer excellent spalling resistance for fire-prone environments, though reinforcement is recommended to mitigate strength loss. Full article
(This article belongs to the Section Building Materials, and Repair & Renovation)
Show Figures

Figure 1

15 pages, 4308 KB  
Article
Integrating Panic Behavior into Agent-Based Subway Evacuation Simulations
by Hyuncheol Kim, Jaehyeok Choi, Byungtae Ahn and Jaemin Lee
Buildings 2025, 15(21), 3990; https://doi.org/10.3390/buildings15213990 - 5 Nov 2025
Viewed by 1477
Abstract
Subway systems are highly vulnerable to disasters because of their confined underground structures and limited evacuation routes, making accurate evacuation analysis essential for reducing casualties. Most existing studies overlook panic behavior, leading to unrealistic assessments of evacuation efficiency. This study develops a modeling [...] Read more.
Subway systems are highly vulnerable to disasters because of their confined underground structures and limited evacuation routes, making accurate evacuation analysis essential for reducing casualties. Most existing studies overlook panic behavior, leading to unrealistic assessments of evacuation efficiency. This study develops a modeling framework that integrates panic behavior into agent-based subway evacuation simulations. The framework incorporates three behavioral factors: reaction delays to emergency cues, hesitation at decision points, and irrational route choices. Simulation experiments were conducted under different occupancy conditions, and results from panic-integrated and non-panic scenarios were compared. Findings show that the inclusion of panic significantly prolongs evacuation time, with delays of up to 30% in full-scale scenarios due to congestion and route errors. These outcomes demonstrate that panic behavior exerts a decisive influence on evacuation dynamics and should not be neglected in simulation studies. Incorporating panic into evacuation modeling provides a more realistic basis for designing safer subway systems and developing effective emergency response strategies. Full article
(This article belongs to the Special Issue Human Factor on Construction Safety)
Show Figures

Figure 1

28 pages, 4113 KB  
Article
Architecture Dedicated to Civil Protection as an Element of Sustainable Urban Development. The Searching for a ‘New Fallout Shelters Standard’ (NFSS) for European City Centres
by Agnieszka Chudzińska, Radosław Achramowicz and Przemysław Kiełb
Buildings 2025, 15(21), 3989; https://doi.org/10.3390/buildings15213989 - 5 Nov 2025
Cited by 1 | Viewed by 4103
Abstract
The design of fallout shelters is located at the intersection of many disciplines, so this is a multifaceted challenge with a high level of engineering complexity. Nonetheless, it should be considered as part of sustainable development in a broader sense—as an investment in [...] Read more.
The design of fallout shelters is located at the intersection of many disciplines, so this is a multifaceted challenge with a high level of engineering complexity. Nonetheless, it should be considered as part of sustainable development in a broader sense—as an investment in the resilience of the urban infrastructure, the safety of the population and the continuity of the city functioning in crisis situations. One can identify the research gap indicating a lack of contemporary model solutions for shelters and this article aims to fill this gap. A comparative analytical method with an interdisciplinary approach based on a comparison of 10 existing shelter infrastructure solutions in different parts of the world was proposed. Supporting research aspects were formulated and synthetically represented in table: (A) functional integration into the city; (B) minimisation of impact on the urban fabric; (C) self-sufficiency and renewability of resources; (D) inclusiveness vs. exclusiveness. The analysis show that the existing model of the shelter as a segregated exclusive military facility does not fit the contemporary world. The result is a set of practical design recommendations based on case studies that could provide a starting point for the development of the New Fallout Shelter Standard (NFSS) for urban shelters as a sustainable civil resilience infrastructure in the 21st century. Full article
(This article belongs to the Section Architectural Design, Urban Science, and Real Estate)
Show Figures

Graphical abstract

25 pages, 9776 KB  
Article
Development of Eco-Friendly Construction Materials for 3D Printing Using Fly Ash and Demolition Waste
by Marcin Maroszek, Magdalena Rudziewicz, Syed Muzammil Ali Shah, Doan Hung Tran and Marek Hebda
Buildings 2025, 15(21), 3988; https://doi.org/10.3390/buildings15213988 - 5 Nov 2025
Viewed by 1317
Abstract
The study investigates the potential of using Vietnam fly ash (FA) as a substitute for traditional Portland cement to reduce both the volume of landfilled waste and the carbon footprint of concrete mixtures, while maintaining adequate mechanical performance of the produced elements. Additionally, [...] Read more.
The study investigates the potential of using Vietnam fly ash (FA) as a substitute for traditional Portland cement to reduce both the volume of landfilled waste and the carbon footprint of concrete mixtures, while maintaining adequate mechanical performance of the produced elements. Additionally, the incorporation of construction and demolition waste, recycled brick aggregate (BR), as a partial aggregate substitute was investigated to enhance the sustainability and resource efficiency of composite formulations. Five mixes, including a reference, were produced by casting and three-dimensional concrete printing (3DCP). Printability (flow table), water absorption (gravimetry and infrared thermography), and flexural/compressive behavior were assessed; printed specimens were tested parallel and perpendicular to the layer plane. Recycled additions reduced flow by 15–22%, yet all mixes remained printable. Printed specimens showed higher capillary uptake than cast ones. In flexure, modified mixtures composition exhibited 50% lower peak stress than the reference. Cast elements outperformed printed ones: the printed reference was 33% weaker than its cast counterpart, and other mixes were 10–15% lower. In compression, printed specimens loaded perpendicular to layers reached 6–7 MPa (35% below cast), whereas parallel loading yielded up to 3.5 MPa with larger scatter. The findings confirm the feasibility of utilizing secondary raw materials in 3DCP formulations to support resource efficiency and carbon footprint reduction in the construction industry. Full article
(This article belongs to the Topic Solid Waste Recycling in Civil Engineering Materials)
Show Figures

Figure 1

39 pages, 4910 KB  
Systematic Review
Multi-Scale Street Vitality Analytics: A Comprehensive Review of Technologies, Data, and Applications
by Yongming Huang, Mingze Chen, Xiamengwei Zhang, Ryosuke Shimoda and Ruochen Yang
Buildings 2025, 15(21), 3987; https://doi.org/10.3390/buildings15213987 - 5 Nov 2025
Cited by 3 | Viewed by 1607
Abstract
Street vitality is an important indicator of urban attractiveness and sustainable development, and it has become a central topic in contemporary urban planning and research. Using the PRISMA methodology, this review systematically examines four major technologies including machine learning (ML), space syntax, GPS, [...] Read more.
Street vitality is an important indicator of urban attractiveness and sustainable development, and it has become a central topic in contemporary urban planning and research. Using the PRISMA methodology, this review systematically examines four major technologies including machine learning (ML), space syntax, GPS, and sensors, together with six categories of data that are commonly used in street vitality studies. The analysis traces the methodological development of these approaches and identifies application trends across both macro and micro spatial scales. ML has become the leading technology in this field, showing strong performance in dynamic modeling, pattern recognition, and the integration of multiple data sources. GPS provides high temporal accuracy for tracking mobility and identifying spatiotemporal dynamics. UAVs and sensor networks make it possible to observe environmental and behavioral responses in real time. When combined, these technologies support four main research themes: the built environment and vitality, pedestrian mobility and urban dynamics, spatial and visual characterization, and social interaction. Other complementary data sources, including social media, online maps, surveys, and government statistics, expand analytical coverage and improve contextual interpretation across different spatial and cultural settings. The review emphasizes the need to connect advanced technologies and diverse data sources with broader concerns of governance, ethics, and civic participation, while maintaining a focus on methodological and data-based synthesis. By clarifying the technological pathways and data foundations of street vitality research, this study provides a structured reference for researchers, urban designers, and policymakers who aim to develop evidence-based and socially responsive frameworks for urban space evaluation and planning. Full article
Show Figures

Figure 1

17 pages, 4509 KB  
Article
Modeling Future Urban Microclimates in Athens, Greece: An ENVI-Met Analysis of Local Climate Zones Under Different Emission Scenarios
by Stella Tsoka, Zoi Zaraveli, Ifigeneia Theodoridou and Kondylia Velikou
Buildings 2025, 15(21), 3986; https://doi.org/10.3390/buildings15213986 - 5 Nov 2025
Cited by 1 | Viewed by 1387
Abstract
This study investigates how future climate change will influence urban microclimates in Athens, Greece, focusing on two representative districts classified as Local Climate Zones (LCZ2 and LCZ3). Using the ENVI-met model, microclimate simulations were conducted to assess projected air temperature variations under moderate [...] Read more.
This study investigates how future climate change will influence urban microclimates in Athens, Greece, focusing on two representative districts classified as Local Climate Zones (LCZ2 and LCZ3). Using the ENVI-met model, microclimate simulations were conducted to assess projected air temperature variations under moderate (Representative Concentration Pathways RCP4.5) and high (RCP8.5) emission scenarios for mid- and late-century conditions. The analysis reveals a consistent warming trend across both districts, with average air temperature increases of approximately 2–3 °C by mid-century and up to 4.5 °C by the end of the century. Morphological characteristics were found to significantly affect thermal behavior: areas with wider street canyons exhibited higher temperatures due to increased solar exposure, whereas shaded inner courtyards remained relatively cooler. The study’s novelty lies in its integration of high-resolution urban microclimate modeling with climate scenario analysis for a Mediterranean metropolis, a combination seldom explored in previous research. The findings underline the importance of incorporating urban morphology into climate adaptation planning, supporting the design of low-carbon and thermally resilient urban forms in densely built environments. Full article
(This article belongs to the Section Building Energy, Physics, Environment, and Systems)
Show Figures

Figure 1

43 pages, 44461 KB  
Article
Energy-Consistent Mapping for Concrete Tensile Softening Within a Framework Combining Concrete Damaged Plasticity and Crack Band Theory
by Mingzhu Chen, Wouter De Corte, Fan Zhang and Luc Taerwe
Buildings 2025, 15(21), 3985; https://doi.org/10.3390/buildings15213985 - 4 Nov 2025
Viewed by 956
Abstract
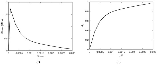
As concrete exhibits localized strain softening, for example, under tension, fracture-energy consistency is essential for obtaining mesh-insensitive results of finite-element (FE) analyses. Accordingly, element- and structural-level parametric studies of uniaxial tensile behavior are performed within an FE framework coupling the Concrete Damaged Plasticity [...] Read more.
As concrete exhibits localized strain softening, for example, under tension, fracture-energy consistency is essential for obtaining mesh-insensitive results of finite-element (FE) analyses. Accordingly, element- and structural-level parametric studies of uniaxial tensile behavior are performed within an FE framework coupling the Concrete Damaged Plasticity (CDP) model, the Crack Band Theory, and the Newton–Raphson solver in Abaqus. The effects of several CDP parameters and the mesh size are quantified using a sensitivity index (SI). A damage evolution law with several tensile parameters is proposed for energy consistency in addition to scaling of the softening strain. Besides tensile strength, elastic modulus, and an estimated uniaxial stress–strain curve, three key parameters are validated: the ratio between fracture energy from pure tension in the crack band and that from direct-tension tests, and two mesh-independent damage evolution parameters. An inverse calibration is proposed, in which the damage parameters and the fracture-energy ratio are identified in one-element (SI5%) and multi-element models, respectively. With these calibrations, the tensile response of the crack band is obtained, and multi-element analyses achieve mesh insensitivity when meshes are not smaller than the crack-band width. For finer meshes violating continuum assumptions, the initial damage rate parameter is reduced to preserve energy consistency. Full article
Show Figures

Figure 1

22 pages, 5383 KB  
Article
Thermo-Mechanical Coupling Model for Energy Piles: Dynamic Interface Behavior and Sustainable Design Implications
by Chunyu Cui, Zhongren Liu, Jinghang Liu and Yang You
Buildings 2025, 15(21), 3984; https://doi.org/10.3390/buildings15213984 - 4 Nov 2025
Viewed by 1053
Abstract
This study introduces an advanced temperature variation model for the pile–soil interface of single energy piles, developed through extensive numerical simulations across diverse operating conditions. Unlike existing models, it explicitly accounts for thermal interactions at the interface by adopting uniform material properties and [...] Read more.
This study introduces an advanced temperature variation model for the pile–soil interface of single energy piles, developed through extensive numerical simulations across diverse operating conditions. Unlike existing models, it explicitly accounts for thermal interactions at the interface by adopting uniform material properties and initial temperatures, enabling precise heat transfer predictions. An iterative algorithm based on the load transfer method quantifies the pile’s thermo-mechanical response to temperature fluctuations, demonstrating significantly improved accuracy in settlement prediction compared to conventional methods. Validation against two field case studies demonstrates the model’s robustness across varied geotechnical contexts. Parameter analysis identifies soil thermal conductivity and load transfer characteristics as critical factors influencing pile behavior, thereby facilitating design optimization. This approach enhances energy pile efficiency by up to 20%, promoting the utilization of renewable geothermal energy and reducing carbon emissions in infrastructure projects, thus contributing to sustainable geotechnical engineering practices. Full article
(This article belongs to the Section Building Energy, Physics, Environment, and Systems)
Show Figures

Figure 1

26 pages, 20180 KB  
Article
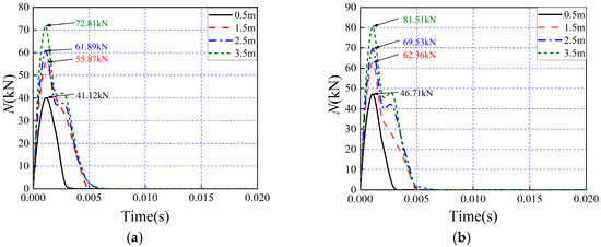
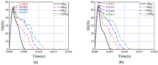
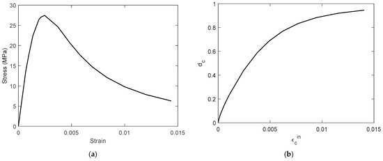
Research on the Impact Performance of Polypropylene Fiber-Reinforced Concrete Composite Wall Panels
by Xuan Zou, Yanran Shi, Hao Lu, Ruifu Hao, Haichen Zhang, Wenting Chen and Yuanping Liu
Buildings 2025, 15(21), 3983; https://doi.org/10.3390/buildings15213983 - 4 Nov 2025
Cited by 1 | Viewed by 927
Abstract
Polypropylene fibers (PPFs), characterized by their low density, cost-effectiveness, and superior corrosion resistance, can be effectively incorporated into concrete to enhance the impact resistance of wall panels. This study introduces an innovative composite wall panel utilizing polypropylene fiber-reinforced concrete (PFRC) as the core [...] Read more.
Polypropylene fibers (PPFs), characterized by their low density, cost-effectiveness, and superior corrosion resistance, can be effectively incorporated into concrete to enhance the impact resistance of wall panels. This study introduces an innovative composite wall panel utilizing polypropylene fiber-reinforced concrete (PFRC) as the core material. Initially, an experimental investigation into the mechanical properties of PFRC was conducted, and based on these results, a constitutive model for PFRC was established. Subsequently, the impact-induced mechanical behavior of the innovative composite wall panel was investigated through finite element simulations employing ABAQUS, version 2020, software. The findings indicate that polypropylene fibers significantly improve both the compressive strength and ductility of concrete, with an optimal coarse fiber content of 1%. The inclusion of glass fiber grids and polypropylene fibers reduced the number of cracks and the overall deformation of the composite wall panel. The integration of glass fiber grids coupled with fiber reinforcement resulted in 7.2% and 27.8% enhancements in impact resistance, respectively. Parametric studies demonstrated that greater concrete panel thickness effectively diminishes post-impact peak and residual displacements in composite wall systems. Furthermore, the impact resistance was found to be weaker at the panel edges and stronger at a quarter of the panel height. Full article
(This article belongs to the Section Building Structures)
Show Figures

Figure 1

Previous Issue
Back to TopTop