Experimental Investigation and Service Life Prediction of Basalt Fiber–Iron Ore Tailing Recycled Concrete Under Carbonation–Freeze–Thaw Cycle Coupling
Abstract
1. Introduction
2. Test Materials and Method
2.1. Aggregate
2.2. Cement
2.3. Basalt Fiber
2.4. Concrete Mix Ratio Design
2.5. Specimen Molding and Curing
2.6. Coupling Test Method of Carbonation and Freeze–Thaw Cycle
2.7. Test on Mass Loss Rate
2.8. Test on Relative Dynamic Elastic Modulus
2.9. Compressive Strength Method
2.10. SEM Microscopic Observations
3. Results and Discussion
3.1. Mass Loss Behavior
3.2. Relative Dynamic Elastic Modulus (RDEM)
3.3. Compressive Strength
3.4. BF-IOT-RAC SEM Observations
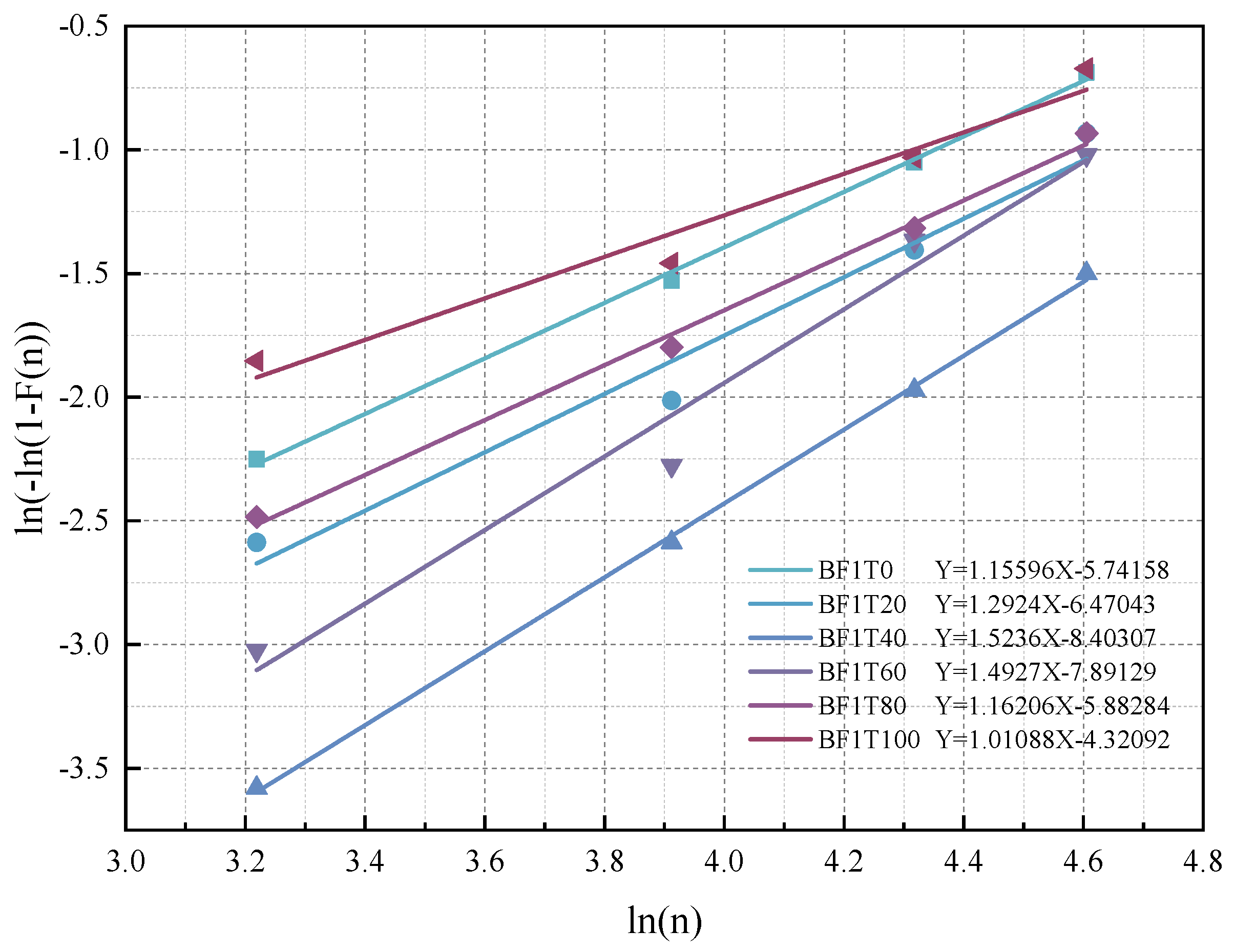
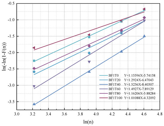
4. Damage Model and Life Prediction of BF-IOT-RAC Based on Weibull Distribution
4.1. Weibull Distribution Theory and Damage Model
4.2. Life Prediction of BF-IOT-RAC Based on Weibull Distribution
5. Conclusions
- (1)
- Both BF and IOT contribute to enhancing the durability of BF-IOT-RAC under the coupled environment of carbonation and freeze–thaw cycles. However, excessive BF may agglomerate due to uneven agitation, thereby resulting in increased porosity of the mixture. Under such circumstances, carbonation further induces a reduction in the material’s density. During freeze–thaw cycles, the freezing of pore water exacerbates damage to the concrete matrix. In terms of IOT, it inherently contains cracks; when its replacement rate is relatively high, it aggravates the degradation of concrete during the testing process. When both BF and IOT are employed in excessive quantities, their synergistic effect on RAC significantly impairs the latter’s durability. Specifically, when the BF content is 0.1% and the IOT substitution rate is 40%, the mixture achieves optimal durability, characterized by a mass loss rate of merely 1%, a relative dynamic elastic modulus (RDEM) of 92%, and a compressive strength of 33.5 MPa.
- (2)
- As observed via scanning electron microscopy (SEM) at C28-F100, the matrix surface of BF1T40 still retains a substantial amount of C-S-H, with relatively few reticular calcite structures; notably, the surface remains relatively intact when viewed at 100× magnification. In contrast, for BF1T100—where IOT was employed as the sole fine aggregate—the C-S-H and reticulated calcite on its surface became indistinguishable following the test, and the matrix structure exhibited obvious looseness. For BF3T40, excessive BF led to agglomeration, which generated numerous pores within the matrix. These pores further exacerbated the damage induced by CO2 ingress and the freeze–thaw cycling of pore water.
- (3)
- The damage index (Dn) was derived from the relative dynamic elastic modulus (RDEM) acquired in the testing process. By employing the Weibull distribution function, a damage model was developed for the nine distinct groups of BF-IOT-RAC under the given experimental conditions. Based on this established model, the number of freeze–thaw cycles and the corresponding service life in Northwest China were predicted. Specifically, when the BF content was 0.1% and the IOT substitution rate was 40%, the service life of the concrete was expected to reach 42–43 years.
Author Contributions
Funding
Data Availability Statement
Conflicts of Interest
References
- Rigo, E.; Gava, G.P.; Felix, E.F.; Borges, P.M.; Possan, E. Concrete with recycled aggregates from construction: Properties, emissions and carbon capture assessment. Case Stud. Constr. Mater. 2025, 23, e04983. [Google Scholar] [CrossRef]
- Masood, S.; Lu, D.G.; Onyelowe, K.C.; Shah, M.M.; Almujibah, H.; Rezzoug, A.; Ahmed, H.; Ramzan, T.; Kahla, N.B.; Ghazouani, N. Performance and sustainability in hybrid concrete: A study of recycled aggregates and activated fly ash. Ain Shams Eng. J. 2025, 16, 103597. [Google Scholar] [CrossRef]
- Rosales, M.; Rosales, J.; Moreno, S.; Agrela, F.; Díaz-López, J.L. Sustainable concrete manufactured with mixed recycled aggregate and biomass bottom ash, replacing aggregate and cement to a high percentage. Case Stud. Constr. Mater. 2025, 22, e04785. [Google Scholar] [CrossRef]
- Alkhteeb, L.; Dawood, M.B. The effect of recycled aggregate on properties of concrete: A review. Hybrid Adv. 2025, 11, 100535. [Google Scholar] [CrossRef]
- Li, J.H.; Chen, J.; Bu, C.M.; Zhang, M.T.; Yu, J.; Yu, X.R.; Sun, Y.; Yu, Y. Synergistic enhancement of sulfate resistance in recycled aggregate concrete through multi-pathway blocking via carbonation treatment and fly ash incorporation. Constr. Build. Mater. 2024, 491, 142685. [Google Scholar] [CrossRef]
- Wahab, S.; Abbasi, A.M.; Ahmed, A.; Khan, I.U. Influence of acetic acid treated recycled concrete aggregates on the rheological and mechanical properties of self-compacting concrete: Experiments and machine learning. Constr. Build. Mater. 2024, 491, 142770. [Google Scholar] [CrossRef]
- Wang, C.Q.; Lu, Y.L.; Zhang, Y.C.; Wu, H.X.; Ma, Z.M. Computed tomography images and digital volume correlation analysis of microstructural damage evolution in carbonated recycled aggregate concrete. Constr. Build. Mater. 2024, 491, 142761. [Google Scholar] [CrossRef]
- Yang, J.Y.; Chen, Y.Z.; Chen, G.J.; Wang, D.C.; Tam, V.W.; Guo, T.T.; Li, P.R.; Li, Z.X.; Fang, C.Z.; Shen, A.Q. Mechanical properties and improvement mechanism of pervious concrete made with modified recycled aggregates. Constr. Build. Mater. 2024, 490, 142548. [Google Scholar] [CrossRef]
- Zhang, X.G.; Li, M.B.; Wang, C.H.; Li, Y.L.; Fan, Y.H.; Liu, X.Y.; Ding, Y.H.; Shen, W.L. Multi-parameter analysis of nano-SiO2 modified recycled aggregate concrete: Fatigue damage and microscopic mechanisms. Structures 2025, 79, 109414. [Google Scholar] [CrossRef]
- Gong, L.; Ran, T.; Bu, Y.Z.; Xu, T.L.; Zhao, X.H. Research on frost resistance and life prediction of fly ash manufactured sand concrete under negative temperature curing. Case Stud. Constr. Mater. 2025, 23, e05012. [Google Scholar] [CrossRef]
- Son, M.; Kim, G.; Eu, H.; Lee, Y.; Sasui, S.; Pyeon, S.; Lee, S.; Nam, J. Effect of pretreated waste glass sand on comprehensive performance of concrete based on mechanical properties, durability, and microstructure. Constr. Build. Mater. 2025, 487, 141963. [Google Scholar] [CrossRef]
- Wu, H.; Gao, Q. Study on Freeze–Thaw Resistance of Cement Concrete with Manufactured Sand Based on BP Neural Network. Buildings 2024, 14, 2952. [Google Scholar] [CrossRef]
- Wei, F.; Zhang, F.; Gao, L.; Wang, R.; Ren, X.; Zhang, D. Mechanical Properties and Micromorphology of Calcium Oxide Expansion Agent on River Sand/Machine-Made Sand Concrete. Adv. Civ. Eng. 2022, 2022, 9407640. [Google Scholar] [CrossRef]
- Wu, Q.; Hou, Y.; Mei, J.; Yang, J.; Gan, T. Influence of synthetic limestone sand on the frost resistance of magnesium potassium phosphate cement mortar. Materials 2022, 15, 6517. [Google Scholar] [CrossRef] [PubMed]
- Ma, F.R.; Zhang, Y.S.; Qiao, H.X.; Liu, H.X. Damage constitutive model of manufactured sand concrete for bridges under composite salt freeze-thaw cycles. Constr. Build. Mater. 2025, 483, 141339. [Google Scholar] [CrossRef]
- Selva, G.M.; Jagadeesh, P. Assessment of usage of manufactured sand and recycled aggregate as sustainable concrete: A review. Mater. Today Proc. 2022, 64, 1029–1034. [Google Scholar]
- Bediako, M.; Ametefe, T.K.; Asante, N.; Adumatta, S. Incorporation of natural coconut fibers in concrete for sustainable construction: Mechanical and durability behavior. Case Stud. Constr. Mater. 2025, 22, e04867. [Google Scholar] [CrossRef]
- Guo, R.; Li, J.Y.; Huo, X.Y.; Wang, Z.K. Durability experimental study and service life evaluation of basalt-PVA fibre-reinforced concrete in chloride-rich environments. Case Stud. Constr. Mater. 2025, 23, e05060. [Google Scholar] [CrossRef]
- Joshi, S.P.; Ramaswamy, V.; Sohail, M.A.S. Enhancing frost resistance and durability of self-compacting concrete through basalt fiber reinforcement. J. Build. Pathol. Rehabil. 2024, 9, 3. [Google Scholar] [CrossRef]
- Guo, Y.; Gao, J.; Lv, J. Experimental study on the frost resistance of basalt fiber reinforced concrete. Materials 2024, 17, 4593. [Google Scholar] [CrossRef]
- Yuan, S.; Li, K.; Luo, J.; Yin, W.; Chen, P.; Dong, J.; Liang, W.; Zhu, Z.; Tang, Z. Research on the frost resistance performance of fully recycled pervious concrete reinforced with fly ash and basalt fiber. J. Build. Eng. 2024, 86, 108792. [Google Scholar] [CrossRef]
- Zhang, Y.; Zhou, G.; Zheng, Y. Effect of fiber type on the mechanical properties and durability of hardened concrete. J. Mater. Sci. 2023, 58, 16063–16088. [Google Scholar] [CrossRef]
- Liu, H.B.; Zhang, C.; Jia, C.; Tao, D.D. Freeze-thaw cycle characteristics of graphite tailing concrete and steel fiber reinforced-graphite tailing concrete. Constr. Build. Mater. 2025, 462, 140006. [Google Scholar] [CrossRef]
- Xiao, J.Z.; Zhou, Y.W.; Deng, Z.H.; Yang, H.F.; Mei, J.J.; Jiang, J.S.; Wei, T. Investigation of biaxial compressive mechanical properties and strength criteria of basalt fiber-reinforced coral aggregate concrete. Constr. Build. Mater. 2025, 475, 141199. [Google Scholar] [CrossRef]
- Zhang, Y.; Wang, X.-H.; Tang, X.-J. An Experimental Study on the Effects of Basalt Fiber and Iron Ore Tailings on the Durability of Recycled Concrete. Buildings 2025, 15, 2492. [Google Scholar] [CrossRef]
- Wang, J.G. Durability Decay Law and Improvement Mechanism of Recycled Concrete Under Complex Environmental Conditions. Ph.D. Thesis, Beijing University of Technology, Beijing, China, 2020. (In Chinese). [Google Scholar]
- GB/T 50082−2024; Standard for Test Methods for Long-Term Performance and Durability of Ordinary Concrete. China Architecture & Building Press: Beijing, China, 2024.
- Zhang, H.Y.; Jin, J.X.; Wu, P.F. Mesostructural alteration in porosity of iron tailings sand under freeze-thaw cycle studied by X-ray microcomputed tomography. Micron 2025, 198, 103871. [Google Scholar] [CrossRef]
- Yang, Q.G.; Wang, H.H.; Yi, Q.G.; Zeng, L.Y.; Xiang, R.; Guan, L.F.; Cheng, J.W.; Chen, K.L.; Li, Y.H. Performance assessment of basalt fibre concrete under freeze-thaw cycles using hybrid long short-term memory models. Case Stud. Constr. Mater. 2025, 23, e04995. [Google Scholar] [CrossRef]
- Gong, L.; Zhao, X.H.; Bu, Y.Z.; Xu, T.L.; Yu, X.B.; Liang, Y.T. Research on frost resistance of desert sand + machine-made sand blended concrete and life prediction. Structures 2024, 70, 107875. [Google Scholar] [CrossRef]
- Huang, D.G.; Wang, X.Z.; Li, X.F.; Su, L.; Tian, J.B.; Li, Y.; Liu, Y.H. Research on the mechanical properties and pore structure deterioration of Basalt-polyvinyl alcohol hybrid fiber concrete under the coupling effects of sulfate attack and freeze-thaw cycles. Constr. Build. Mater. 2025, 473, 140949. [Google Scholar] [CrossRef]
- Geng, H.N. Research on the Relationship Between Concrete Microstructure and Durability. Master’s Thesis, Wuhan University of Technology, Wuhan, China, 2011. (In Chinese). [Google Scholar]
- Zhou, M.H.; Dong, W. Grey relativity correlations between the pore structures and compressive strength of aeolian sand concrete undergoing carbonation and freeze-thaw cycles. J. Build. Eng. 2023, 77, 107515. [Google Scholar] [CrossRef]
- Liu, Q.; Cheng, X.C.; Sun, C.; Jin, C.K.; Tam, V. Impact of carbonization and aggregate properties on modeled recycled concrete: Mechanical characteristics, stress concentration and damage evolution. Constr. Build. Mater. 2025, 467, 140327. [Google Scholar] [CrossRef]
- Adamu, M.; Ibrahim, Y.E.; Raut, A. High-temperature performance evaluation of sustainable date palm fiber concrete with activated carbon: An MCDM and Weibull analysis approach. Results Control. Optim. 2025, 20, 100602. [Google Scholar] [CrossRef]
- Cheng, X.; Tian, W. Based on Weibull distribution analysis of salt freeze damage of multi-walled carbon nanotube concrete. J. Build. Mater. 2025, 28, 202–209. (In Chinese) [Google Scholar]
- Wang, J.; Han, F.; Liu, Q. Research on freeze-thaw damage and life prediction model of polyethylene fiber-reinforced cementitious composites based on reliability analysis. Case Stud. Constr. Mater. 2024, 20, e03049. [Google Scholar] [CrossRef]
- Li, J.Y.; Peng, X.P.; Deng, Z.G.; Cao, J.G.; Guan, Y.S.; Lin, L.; Tian, J.T.; Li, F.; Wang, A.Q.; Wang, Z.G.; et al. Quantitative design of concrete frost resistance. Concrete 2000, 12, 61–65. [Google Scholar]












| Coarse Aggregate | Particle Size | Water Absorption | Crush Value | Apparent Density | Bulk Density |
|---|---|---|---|---|---|
| NCA | 10~20 mm | 2.17% | 10.62% | 2.75 g·cm−3 | 1.45 g·cm−3 |
| RCA | 10~20 mm | 7.12% | 21.87% | 2.52 g·cm−3 | 1. 31 g·cm−3 |
| Types | Shape | Apparent Density | Bulk Density | Crush Value | Water Absorption |
|---|---|---|---|---|---|
| Natural Sand | granulated | 2.27 g·cm−3 | 1.97 g·cm−3 | 12.2% | 6.5% |
| IOT | angular particles | 2.73 g·cm−3 | 1.80 g·cm−3 | 21.0% | 8.3% |
| Ingredients | Content/% |
|---|---|
| SiO2 | 69.2 |
| Al2O3 | 5.1 |
| Fe2O3 | 13.6 |
| TiO2 | 0.2 |
| K2O | 1.0 |
| Composition | CaO | Al2O3 | MgO | Fe2O3 | SiO2 | SO3 |
|---|---|---|---|---|---|---|
| Mass Percentage/% | 65.4 | 5.4 | 3.4 | 2.8 | 21.0 | 2.0 |
| Length (mm) | Diameter (μm) | Stretch Ratio | Elongation at Break (%) | Tensile Strength (MPa) | Elastic Modulus (GPa) | Density (g/cm3) |
|---|---|---|---|---|---|---|
| 18 | 7~15 | 400 | 2.7 | 4600 | 105 | 2.65 |
| Numbering | RCA | NCA | Cement | Natural Sand | IOT | Water | Water Reducer | BF |
|---|---|---|---|---|---|---|---|---|
| BF1T0 | 543 | 543 | 340 | 698 | 0 | 170 | 1.7 | 2.65 |
| BF1T20 | 543 | 543 | 340 | 558 | 140 | 170 | 1.7 | 2.65 |
| BF1T40 | 543 | 543 | 340 | 419 | 279 | 170 | 1.7 | 2.65 |
| BF1T60 | 543 | 543 | 340 | 279 | 419 | 170 | 1.7 | 2.65 |
| BF1T80 | 543 | 543 | 340 | 140 | 558 | 170 | 1.7 | 2.65 |
| BF1T100 | 543 | 543 | 340 | 0 | 698 | 170 | 1.7 | 2.65 |
| BF0T40 | 543 | 543 | 340 | 419 | 279 | 170 | 1.7 | 0 |
| BF2T40 | 543 | 543 | 340 | 419 | 279 | 170 | 1.7 | 5.3 |
| BF3T40 | 543 | 543 | 340 | 419 | 279 | 170 | 1.7 | 7.95 |
| Experimental Time | Compressive Strength (MPa) | ||||||||
|---|---|---|---|---|---|---|---|---|---|
| BF1T0 | BF1T20 | BF1T40 | BF1T60 | BF1T80 | BF1T100 | BF0T40 | BF2T40 | BF3T40 | |
| C0-F0 | 35.3 | 37.6 | 41.3 | 38.6 | 37.8 | 36.6 | 41 | 44.5 | 35.4 |
| C7-F25 | 33.5 | 35.9 | 39.8 | 36.6 | 35.6 | 33.5 | 38.3 | 39.3 | 31.0 |
| C14-F50 | 32.1 | 34.0 | 38.4 | 33.9 | 31.7 | 30.6 | 35.5 | 38.2 | 26.6 |
| C21-F75 | 29.8 | 31.9 | 36.5 | 32.3 | 29.1 | 28.3 | 32.6 | 32.5 | 22.2 |
| C28-F100 | 26.6 | 29.1 | 33.5 | 29.4 | 26.9 | 24.5 | 28.0 | 27.5 | 17.1 |
| Specimen Number | a | b | R2 | ||
|---|---|---|---|---|---|
| BF1T0 | 1.15596 | −5.74158 | 1.15596 | 143.5863 | 0.99812 |
| BF1T20 | 1.2924 | −6.47043 | 1.2924 | 149.3844 | 0.97167 |
| BF1T40 | 1.5236 | −8.40307 | 1.5236 | 248.4578 | 0.99923 |
| BF1T60 | 1.4927 | −7.89129 | 1.4927 | 197.6678 | 0.97588 |
| BF1T80 | 1.16206 | −5.88284 | 1.16206 | 157.9729 | 0.99548 |
| BF1T100 | 1.01088 | −4.32092 | 1.01088 | 71.83806 | 0.96565 |
| BF0T40 | 1.45183 | −7.75991 | 1.45183 | 209.5404 | 0.99376 |
| BF2T40 | 1.29999 | −6.71159 | 1.29999 | 174.653 | 0.99909 |
| BF3T40 | 1.14433 | −5.31387 | 1.14433 | 103.9232 | 0.99469 |
| Specimen Number | Freeze–Thaw Cycle Times | Coupling Test Cycles Times | Service Life/Years |
|---|---|---|---|
| BF1T0 | 283 | 11.32 | 28–29 |
| BF1T20 | 278 | 11.12 | 27–28 |
| BF1T40 | 424 | 16.96 | 42–43 |
| BF1T60 | 339 | 13.56 | 33–34 |
| BF1T80 | 315 | 12.60 | 31–32 |
| BF1T100 | 157 | 6.28 | 15–16 |
| BF0T40 | 363 | 14.52 | 36–37 |
| BF2T40 | 327 | 13.08 | 32–33 |
| BF3T40 | 206 | 8.24 | 20–21 |
Disclaimer/Publisher’s Note: The statements, opinions and data contained in all publications are solely those of the individual author(s) and contributor(s) and not of MDPI and/or the editor(s). MDPI and/or the editor(s) disclaim responsibility for any injury to people or property resulting from any ideas, methods, instructions or products referred to in the content. |
© 2025 by the authors. Licensee MDPI, Basel, Switzerland. This article is an open access article distributed under the terms and conditions of the Creative Commons Attribution (CC BY) license (https://creativecommons.org/licenses/by/4.0/).
Share and Cite
Zhang, Y.; Wang, X.-H.; Tang, X.-J. Experimental Investigation and Service Life Prediction of Basalt Fiber–Iron Ore Tailing Recycled Concrete Under Carbonation–Freeze–Thaw Cycle Coupling. Buildings 2025, 15, 3995. https://doi.org/10.3390/buildings15213995
Zhang Y, Wang X-H, Tang X-J. Experimental Investigation and Service Life Prediction of Basalt Fiber–Iron Ore Tailing Recycled Concrete Under Carbonation–Freeze–Thaw Cycle Coupling. Buildings. 2025; 15(21):3995. https://doi.org/10.3390/buildings15213995
Chicago/Turabian StyleZhang, Yang, Xu-Hui Wang, and Xian-Jie Tang. 2025. "Experimental Investigation and Service Life Prediction of Basalt Fiber–Iron Ore Tailing Recycled Concrete Under Carbonation–Freeze–Thaw Cycle Coupling" Buildings 15, no. 21: 3995. https://doi.org/10.3390/buildings15213995
APA StyleZhang, Y., Wang, X.-H., & Tang, X.-J. (2025). Experimental Investigation and Service Life Prediction of Basalt Fiber–Iron Ore Tailing Recycled Concrete Under Carbonation–Freeze–Thaw Cycle Coupling. Buildings, 15(21), 3995. https://doi.org/10.3390/buildings15213995
