Abstract
The purpose of the study is to evaluate the environmental performance of two systems for space heating and hot water provision in a residential building. In both cases, a ground-source heat pump is used. In the baseline system, the heat pump is driven by electrical power from the grid. In the alternative system, photovoltaic thermal collectors are integrated into the building for domestic hot water preparation and the production of electricity. Excess heat produced in the summer is introduced to the borehole and extracted later, in the cooler part of the year. Environmental benchmarking of the two systems was conducted using the Life Cycle Assessment method. A cradle-to-grave approach was applied, taking into account all life cycle stages of the system and its operation over 20 years. Results show that the alternative system yields significantly lower impacts in terms of Global Warming Potential (36% decrease) and Resources (36% decrease). In terms of Human Health, the decrease is minor (6%). However, in terms of Ecosystem, the alternative system shows a 47% higher impact than the baseline system. This increase is primarily attributed to the additional components required in the alternative configuration.
1. Introduction
The building sector is one of the largest consumers of energy. It is responsible for 36% of global energy consumption, 37% of global energy-related CO2 emissions [1], and 40% of energy consumption in the European Union (EU) [2]. Considering statistics from EU countries, households account for 24.7% of total energy consumption, and more than 80% of total domestic energy is used for space heating, space cooling, and hot water provision [3,4]. Despite progress in renewable energy adoption, the heating sector is still predominantly dependent on fossil fuels, with only a quarter of heating energy coming from renewable sources [5]. This dependence brings significant challenges to achieving critical environmental goals, such as those set out in the Paris Agreement and the European Union’s Green Deal.
The Paris Agreement, adopted in 2015, aims to limit global warming to below 2 °C and achieve net-zero greenhouse gas emissions by 2050 [6]. In addition, the European Union’s Green Deal aims to reduce net greenhouse gas emissions by at least 55% by 2030 compared to 1990 levels and to make the European Union climate-neutral by 2050 [7]. An important part of the Green Deal is the “Fit for 55” work programme, which includes the revised Energy Performance of Buildings Directive from 2024. This directive mandates zero-emission status for new buildings by 2030 and existing buildings must be converted to zero-emission status by 2050.
These policies underscore the urgent need to adopt renewable heating technologies in order to achieve carbon neutrality in the building sector. For this reason, the increased use of heat pumps, building-integrated photovoltaics (BIPV), and geothermal technologies in residential buildings is essential. Solar thermal systems, which utilize solar energy for heating and cooling, also play a crucial role in supporting the green transition in this sector [8]. Heat pumps, which extract heat from the air, ground, or groundwater, are a versatile solution for heating, hot water, and cooling. When powered by electricity, they can deliver up to four times as much thermal energy compared to their energy consumption [9]. This high efficiency makes heat pumps a perspective technology for decarbonizing residential buildings and reducing their environmental footprint. Similarly, photovoltaic and photothermal technologies harness solar energy with zero emissions during operation and offer a versatile solution for electricity and heating needs while maximizing energy yield per unit area. Photothermal collectors capture sunlight and convert it into thermal energy, typically to heat water or air, while photovoltaic panels directly convert sunlight into electricity using semiconductor materials.
Hybrid photovoltaic/thermal (PVT) systems combine both, generating electricity and thermal energy simultaneously. This technology transfers heat generated in the photovoltaic cells to a fluid. Compared to standard photovoltaic and photothermal technologies, hybrid technology produces more useful energy per unit surface area [10]. Despite their benefits, solar technologies have certain limitations. Photothermal collectors and photovoltaic panels operate only during daylight hours and under sunny conditions, while domestic hot water demand typically peaks in the evening. Photovoltaic panels are unable to generate electricity when sunlight is unavailable. An even greater challenge is the seasonal mismatch between solar energy supply and heat demand, particularly in temperate and cold climates. Addressing this requires thermal energy storage systems, which can bridge short-term gaps through hot water tanks [11]. For long-term storage of excess heat, seasonal thermal energy storage systems provide an effective solution. Excess heat produced during summer can be stored in the heated fluid in the ground and later reintroduced into heating systems during colder months [12]. This re-injection process is especially advantageous in densely populated areas with limited shallow geothermal capacity due to the extensive use of ground-source heat pumps [13]. Various underground thermal energy storage systems exist, including gravel–water pit thermal storage [14], aquifer thermal energy storage [15], and borehole thermal energy storage [16]. While gravel–water and aquifer systems are open-loop, borehole thermal energy storage operates as a closed-loop system.
These solutions significantly reduce operational emissions, but their overall environmental performance depends on lifecycle impacts. Several studies demonstrate the importance of operational efficiency and sustainability throughout the production, use, and end-of-life stages. While research exists on individual components, such as PVT collectors, heat pumps, or certain hybrid systems, and even on partially integrated solutions, limited studies holistically assess the full integration of these technologies into cohesive renewable energy systems, particularly with seasonal storage, using a comprehensive lifecycle approach.
Most research has focused on the comparative environmental assessment of air-source heat pumps (ASHPs), ground-source heat pumps (GSHPs), and gas boilers [17,18,19]. Heat pump systems operate on electricity and typically exhibit a higher coefficient of performance (COP) than gas boilers, leading to a reduction in carbon footprint. However, ASHPs may have adverse effects in other environmental impact categories compared to gas boilers, as their performance is strongly influenced by the electricity mix [20]. Although GSHP-based systems generally require more materials than ASHP systems, they still tend to outperform ASHPs in terms of overall environmental impact. Key factors influencing the environmental performance of GSHP-based heating systems include the thermal properties of the ground, heating demand, peak energy loads, and the electricity mix [21].
Zhao et al. [22] evaluated the environmental performance of integrating building-integrated photovoltaics (BIPV) and lithium-ion battery storage in building energy systems using Life Cycle Assessment (LCA). Their findings showed that optimized operational strategies can achieve a fivefold reduction in Global Warming Potential (GWP) compared to grid electricity alone (33 g/kWh vs. 170 g/kWh). The study also showed trade-offs, such as higher Material Depletion Potential (MDP) for BIPV electricity (5.5 g/kWh) compared to grid electricity (0.3 g/kWh).
Reference [8] performed a comparative and comprehensive LCA study of a solar combined cooling, heating, and power (S-CCHP) system, which integrates PVT collectors, compared to grid-based and conventional PV systems. The study found that the S-CCHP system reduced the GWP by 51% compared to a grid-based system and by 21% relative to a PV system in high solar irradiance conditions. While operational efficiency lowered emissions, PVT collectors contributed the most to lifecycle impacts due to materials like silicon and copper, showing the importance of balancing operational benefits with production-phase trade-offs for sustainable building energy systems.
Reference [23] conducted an assessment of hybrid heat pumps integrated with gas boilers, focusing on their potential to reduce lifecycle greenhouse gas (GHG) emissions. The study demonstrated that for heating 100,000 dwellings, a marginal emission factor-based control strategy avoided up to 38,000 tons of CO2 equivalents annually by minimizing reliance on carbon-intensive grid electricity during high-emission periods. Lifecycle trade-offs were evident, as the increased operational efficiency of heat pumps was counterbalanced by emissions from gas boiler usage.
Yang et al. [24] conducted a holistic sustainability assessment comparing solar ground-source heat pump (SGSHP) system with conventional GSHP system. Their study integrated LCA, with focus on carbon emissions analysis, and energy analysis to benchmark environmental performance. The SGSHP system was found to perform better, particularly in terms of GWP across all life cycle stages, achieving an overall carbon emission reduction of 9.4% compared to the conventional GSHP system.
LCA, as demonstrated in these and other studies, is an invaluable tool for benchmarking the sustainability of energy systems. By assessing environmental impacts across the entire life cycle (from raw material extraction to end-of-life disposal) it enables an understanding of the associated trade-offs.
This study evaluates the environmental performance of two commercially available closed-loop heating systems for residential buildings through a cradle-to-grave LCA. The objective is to provide a comprehensive environmental benchmarking of (i) a conventional grid-powered ground-source heat pump, and (ii) an alternative hybrid system that combines PVT collectors with a seasonal thermal energy storage unit, designed to enhance energy efficiency and reduce dependence on grid electricity. The analysis aims to determine whether, and to what extent, advanced renewable heating technology can improve the environmental sustainability of residential buildings.
2. Materials and Methods
2.1. System Description
In the baseline system, space heating and domestic hot water are provided during the use stage of the residential building by a 7 kW ground-source heat pump (GSHP), which is powered by electricity from the grid. The heat flow to the geothermal probe is 40 W/m. This system involves the classic method of drilling boreholes. The boreholes are cased with plastic pipes. The consumption of diesel fuel during drilling is 4.4 L/m. For every metre of borehole, 25 kg of cement is used to grout the borehole. The total length of the boreholes (U-shaped geothermal probes) is 136 m.
The alternative system integrates geothermal and solar approaches for space heating and hot water provision, so it is a hybrid technology (HGSHP). The drilling rig consists of recycled steel pipes from the oil industry. After drilling, these pipes remain in the boreholes as geothermal probes. The pipes are sealed at the bottom. The boreholes are grouted with a mixture of cement and bentonite (in a ratio of 50% to 50%). The consumption of cementitious material is lower than with the classic drilling method, at only 6 kg per meter of borehole. Diesel fuel consumption during drilling is also lower, e.g., 0.75 L per meter. The total length of the boreholes (U-shaped geothermal probes) is 100 m. The building is supplied with energy from a combined solar system (photovoltaic and solar thermal system-PVT). This system allows for seasonal heat storage in the ground (geothermal probe), the utilization of this heat during the heating period, and the use of electricity from the PVT to operate the heat pump. Due to the seasonal heat storage in the ground, the heat flow for heating the building is significantly higher than with the baseline system (60 W/m compared to 40 W/m). Consequently, the heat pump consumes less electricity than in the baseline system. The electricity generated by the PVT is not completely sufficient to operate the heat pump. Deficits in the colder months of the year are supplemented by electricity from the grid. The description of the two benchmarked heating systems is shown schematically in Figure 1.
Figure 1.
Schematic presentation of the building energy systems: (a) grid-powered GSHP system and (b) hybrid (PVT and grid-powered) GSHP system with seasonal storage of excess heat.
2.2. Life Cycle Assessment (LCA)
The LCA method was applied to conduct environmental benchmarking of the two systems. LCA is a standardized and internationally recognized method [25,26] for identifying the potential environmental impacts of the products or processes examined. To evaluate the impacts, it is necessary to collect input and output data of the system. The input data are the material and energy flows into the system, while the output data are the various emissions into the environment (e.g., emissions to air, water, and soil as well as wastewater and solid waste generated within the analyzed system). The LCA was performed using LCA for Experts software (version 10.9) using an MLC database.
The functional unit is defined as the provision of space heating and domestic hot water for a 150 m2 residential building over an operating period of 20 years. The building is located in a temperate climate and requires heating for 9 months of the year, with the 6 colder months being used more intensively. During the 3 summer months, the heat pump operates exclusively for domestic hot water provision. This functional unit provides a consistent basis for comparing the lifecycle environmental impacts of the baseline and alternative heating systems.
2.3. System Boundaries
The entire life cycle of the systems for the provision of space heating and domestic hot water was considered. The construction of the borehole, the manufacture and installation of the components in the building, the operation of the system over 20 years, and the treatment of the system components at the end of their service life were included in the environmental benchmarking of the two systems (Figure 2). It was assumed that the installation of the components was carried out manually. System component delivery was excluded from the system boundaries due to case-specific variability. Transportation of end-of-life components after 20 years was also excluded for the same reason. Benefits that go beyond the system boundaries and relate to the saving of metals due to circular economy approaches (e.g., recycling) were not considered in this comparative LCA. As specified in the standard [27], these types of benefits cannot be included in the final LCA results but are reported separately.
Figure 2.
System boundaries of two benchmarked systems.
The construction stage starts with the drilling of boreholes and the installation of geothermal probes (laying of heat collector pipes). This phase also includes the production of required components (e.g., heat pump, domestic hot water tank, buffer tank, expansion tank, circulation pumps, inverter, PVT). The two systems compared differ in terms of the borehole drilling and casing (Table 1) and the integration of the components (Table 2). The alternative system includes additional components (PVT, inverters, and a buffer storage tank). The use stage is associated with the electricity consumption for operating the system. The differences between the two systems refer to the source of electrical energy (grid or combination of PVT and grid). For the end-of-life treatment of the components of the building-integrated system, a conservative approach was chosen, assuming the recycling of metal and electronic parts and the landfilling of the remaining parts.
Table 1.
Inventory data related to construction of boreholes (drilling and casing).
Table 2.
Inventory data related to building-integrated energy system components.
2.4. Life Cycle Inventory
The MLC database integrated in LCA for Experts software was used to assess the environmental impacts considering material and energy requirements, and the production of components integrated into the systems under study. Inventory data included in two systems are presented in Table 1 and Table 2. The inventory data were acquired by a company providing the heating systems.
2.5. Assumptions
The residential building analyzed in this study is an atrium-style house with a total area of 150 m2, designed to accommodate a four-person household. The functional living area comprises 140 m2 and includes a living room with a kitchen, three bedrooms, a bathroom, and a corridor—all of which are heated. An auxiliary room housing the heat pump occupies 10 m2 and is not heated. The building has an estimated heating demand of 60 kWh/m2/year, with a heating season lasting around 270 days. It is located in a continental climate zone, specifically in the Ljubljana region, which is characterized by an average annual temperature of 10.2 °C and approximately 1800 h of solar radiation per year on average [28]. Additional details on the building’s thermal characteristics are provided in Appendix A (Table A1). The annual global solar irradiation for this location is estimated to be 1228 kWh/m2 (see Appendix B, Table A7). The PVT system comprises eight hybrid panels, each with a surface area of 2.08 m2, resulting in a total collector area of 16.6 m2. The panels are rated with a nominal electrical power output of 425 W and a thermal output of 660 W/m2, yielding a total installed capacity of 3.4 kW. The combined electrical and thermal efficiency of the PVT system is 20.4%, based on manufacturer specifications. The system is designed to supply domestic hot water at an estimated temperature of 35 °C, suitable for low-temperature residential applications. The annual electricity production is estimated to be 3379 kWh, while the thermal energy yield is approximately 1780 kWh (see Appendix C, Table A8).
The steel pipes used to install geothermal probes in the alternative system are end-of-life materials originating from the oil industry. These pipes are reused for borehole drilling and casing, reducing the need for primary material extraction. To account for the environmental burdens associated with their manufacture, a 50:50 allocation approach was applied, distributing the impacts equally between their first life cycle (oil industry) and their second life cycle (borehole construction) [29].
The COP, which directly reflects the efficiency of a heat pump, depends on local climate, geological, and hydrogeological conditions [30]. The COP of a ground-source heat pump typically ranges between 3.0 and 5.0 [31]. In this study, a COP of 4.0 was assumed for the baseline system, which is considered realistic for the conditions of this case study [32].
In the alternative hybrid system, the heat flow to the geothermal probe is relatively higher due to seasonal thermal energy storage in the ground (60 W/m compared to 40 W/m in the baseline system). As a result, the heat pump operates more efficiently, yielding a higher COP. It was assumed that system losses in the alternative hybrid system reach 10%, resulting in a COP of 5.4. Based on sensitivity analysis, the COP of the alternative hybrid system is estimated to range between 4.8 (with 20% system losses) and 6.0 (under optimal conditions with no system losses) (Table 3).
Table 3.
Sensitivity of electricity consumption by the heat pump to variations in the coefficient of performance (COP) in the alternative hybrid system.
A dynamic LCA was performed to evaluate the impacts associated with the consumption of electricity from the grid by a heat pump. The dynamic LCA considers the temporal profile of emissions [33]. For this purpose, changes in the composition of the electricity grid over the next 20 years were assumed, which corresponds to a period covered by the functional unit. The changes were assumed to occur at 5-year intervals, which represents a simplification of the dynamic LCA (Table 4). Therefore, the time-dependent LCA is based on the prediction of the future development of the electricity sector in Europe.
Table 4.
Prediction of the composition of electricity in the European grid over the next 20 years.
The prediction of future electricity generation considers a gradual increase in the share of renewable energy and a decrease in the share of non-renewable resources as well as the role of nuclear power in the electricity grid. The prediction is in line with the European Commission’s policy (Green Deal), which aims to reduce net greenhouse gas emissions by at least 55% by 2030 compared to 1990 levels and to make the European Union climate-neutral by 2050 [34].
The projection presented in Table 4 is based on documents of the European Commission [35] and the International Energy Agency [36]. These documents outline expected transitions in the electricity sector aligned with climate neutrality goals. According to these projections, renewable energy sources are expected to contribute over 50% of electricity generation in the European Union by 2030, rising to more than 75% by 2050. Solar and wind energy are expected to dominate the renewable mix, driven by ongoing technological advancements and sustained investment trends [35,36]. While nuclear power will continue to play a role in the energy mix, its share is projected to gradually decline by 2050. In contrast, electricity generation from fossil fuels is expected to phase out by 2050 [35].
2.6. Life Cycle Impact Assessment
The environmental impacts were calculated by ReCiPe 2016 method. The main principles of this method are based on the ISO 14040 and 14044 standards [25,26]. The ReCiPe 2016 impact assessment method was developed in 2008 to harmonize the results of two other methods, namely CML 2001 (midpoint-oriented) and Eco-indicator 99 (endpoint-oriented). The ReCiPe 2016 method is endorsed by the Dutch government and is one of the most commonly used methods in Europe for calculating environmental impacts [37].
The ReCiPe method provides harmonized characterization factors at midpoint and endpoint levels. Midpoint results are presented by 19 impact categories, while endpoint results are grouped into three categories: damage to Human Health (DALY), damage to Ecosystems (species.yr), and damage to Resource Availability ($). This study used the three endpoint categories for interpretation, along with the Global Warming Potential (GWP) at the midpoint level. The ReCiPe 2016 method also supports three temporal perspectives—Individualist, Hierarchist, and Egalitarian. The Hierarchist perspective, covering a 100-year timeframe for GWP, was used as it is the most balanced [38].
3. Results and Discussion
The two benchmarked systems differ in all life cycle stages included in the comparative analysis, e.g., (i) the construction stage which includes borehole construction and production of required components, which are integrated into the building (ii) the use stage of residential building (considering operation of the system for space heating and hot water provision), and (iii) the end-of-life stage (treatment with obsolete system components after manually de-installation from the building).
3.1. Construction Stage
The construction stage represents the environmental hotspot of the alternative system contributing 68% (GWP), 74% (Human Health), 76% (Ecosystem), and 80% (Resources) of the impact on the life cycle of the system. In the case of the baseline system, the construction stage represents an environmental hotspot only in terms of Resources (64% of the total impact) (Figure 3).
Figure 3.
Environmental comparison of two systems considering whole life cycles of the systems.
The differences in the construction stage between the two systems refer to the consumption of diesel fuel in the borehole drilling process and the consumption of grout. In the alternative system, a different borehole construction technique is used, which requires less energy in the drilling process and less grout compared to the classic borehole construction technique applied in the baseline system. Steel pipes are used for the casing in the alternative system, while plastic pipes are used in the baseline system (Table 1). Additional components for the building energy system are required in the alternative system compared to the baseline system, e.g., PVT panels, buffer tank, additional circulating pumps, etc. (Table 2). For this reason, burdens associated with the production of the system components are expected to be higher in the alternative system. Considering these advantages and disadvantages of the design and construction of the two systems, the LCA results show that the alternative system yields significantly higher impacts in terms of Ecosystem (by ~200%) and Human Health (by ~40%), compared to the baseline system. In terms of the GWP, the difference is minor (e.g., 2%, still in favour of baseline system) (Figure 4).
Figure 4.
Impact associated with the construction stage of the two systems. Impacts are divided into those associated with the drilling and casing of the borehole and those associated with the production of system components integrated into the building.
Grout (cement) is the major contributor to the Ecosystem, Human Health, and the GWP in the construction stage of the baseline system. In the alternative system, the consumption of the grout for borehole construction is reduced, resulting in lower impacts. As cement is responsible for 8% of global CO2 emissions, optimizing the use of cementitious materials can significantly reduce the environmental impact [39]. For example, study by [40] found that the use of geopolymer concrete with fly ash reduced CO2 emissions by up to 42% and material costs by 30% compared to conventional concrete. Instead of plastic pipes, the alternative system uses reused steel pipes from the oil industry for installation of a heat collector pipes in the borehole. Although steel pipes generally have a higher impact on GWP, the Ecosystem and Human Health than plastic pipes, this study shows that the reuse of steel reduces resource depletion compared to plastic alternatives. Benchmarking the two systems, the LCA results show that the classical way of borehole construction (baseline system) has about three times higher impacts on the Ecosystem, Human Health, and GWP than the alternative borehole construction technique (Figure 4). However, considering the whole construction stage of the two systems by accounting for the impacts associated with the production of the components required for provision of space heating and domestic hot water, the difference between the two systems becomes minor regarding their GWP footprint. While considering impacts on the Ecosystem and Human Health, the construction stage of the alternative system exceeds the impacts of the construction stage of the baseline system (Figure 4). In the alternative system, the building-integrated components contributes a major part of the impacts in the construction stage: 90% contribution to the Human Health, 95% contribution to the Ecosystem, and 84% contribution to the GWP. The system components of the alternative system contribute twice as much of the Human Health and GWP impacts as the components of the baseline system. In terms of the impact on the Ecosystem, the components of the alternative system contribute 6 times higher impact than the components of the baseline system.
When considering the impact on Resources, the results for the construction stage are different, as the alternative system has 20% less impact than the baseline system (Figure 4). The impacts associated with the production of system components represent an environmental hotspot for Resources in the construction stage of the alternative system (85% contribution). In the baseline system, the hotspot relates to the consumption of diesel fuel when drilling the boreholes. In the alternative system, a significantly lower amount of diesel fuel is required for drilling the boreholes (Table 1), which results in a lower impact on Resources. An LCA study on drilling technologies found that directional drilling reduces GHG emissions by around 20% compared to conventional rotary drilling, mainly due to shorter drilling times and optimized drilling paths [41]. Although this study focused on large-scale oil and gas extraction, its results demonstrate the value of LCA in evaluating and optimizing drilling techniques to further reduce environmental impacts. It also shows that directional drilling minimizes surface disturbance and material consumption. These principles could potentially be adapted for shallow borehole installations in space-constrained or environmentally sensitive small systems such as domestic heat pumps.
In addition, the reused steel pipes from the oil industry in this study show a lower impact on Resources than plastic pipes—both types of pipes are used as heat collectors. Our results suggest that reusing steel reduces resource depletion compared to plastic alternatives, but material selection also influences thermal performance. In a study of underground energy storage systems, it was found that the surrounding geology, particularly a clay-based casing, improves long-term heat storage, which is an important consideration for borehole installations [14]. Although this study primarily investigated thermoplastics (e.g., acrylonitrile-styrene-acrylate, ASA) for heat storage, it demonstrated the importance of selecting materials that optimize both environmental impact and thermal efficiency. The higher thermal conductivity of steel (53 J/m-s-K) compared to alternative plastics (e.g., PVDF—0.2 J/m-s-K, PPRC—0.24 J/m-s-K) can improve heat transfer efficiency, making a material choice a factor in system performance [14].
Considering all the impacts in the construction stage affecting resource depletion, the favour is on the alternative system (Figure 4).
3.2. The Use Stage: Grid Electricity vs. Combination PVT-Sourced Electricity and Grid Electricity
The use stage is the environmental hotspot of the baseline system. It contributes 57% of the impact on the Ecosystem, 47% of the impact on Human Health, 35% of the impact on Resources, and 56% of the impact on the GWP (Figure 3). The use stage is related to the consumption of electricity by the heat pump (space heating and hot water provision) over 20 years. In the case of the baseline system, the electricity derives exclusively from the grid.
However, the use stage shows a minor contribution to the environmental footprint of the alternative system; it contributes between 10% (Ecosystem) and 25% (GWP) of the total system impact (Figure 3). The impact on GWP related to the use stage is 3 times higher in the baseline system than in the alternative system. The difference is similar in terms of endpoint impact categories. In all cases, the preference is for the alternative system (Figure 5). This substantial reduction in the environmental impact of the alternative system is attributed to two key factors: (i) the heat pump in the alternative system achieves 1.7 times lower electricity consumption, which is due to the improved performance and the seasonal heat storage system, and (ii) 64% of the electricity demand is met by PVT collectors and only 36% is supplemented by the grid. Seasonal thermal energy storage (STES) has been shown to significantly reduce electricity consumption for domestic heating applications by storing surplus renewable energy for later use, thus improving the efficiency of energy conversion.
Figure 5.
The use stage of the two systems. Uncertainty of the LCA results in the alternative hybrid system is shown, taking into account possible variations in COP, affecting electricity consumption by heat pump.
However, electricity consumption by the heat pump is sensitive to its coefficient of performance (COP), which reflects the ratio of heat energy delivered to electrical energy consumed. In this study, COP was treated as a variable parameter to assess the uncertainty in LCA results (Table 3). Assuming greater system losses (20%), resulting in a lower COP of 4.8, the GWP and endpoint impacts during the use stage increase by approximately 20%. Conversely, under optimal conditions with no system losses (COP = 6), these impacts decrease by around 16–17%. These variations are relatively modest and do not significantly affect the comparative benchmarking of the two systems (Figure 5).
According to [14], STES projects realized in Germany and Sweden have shown that properly designed storage systems improve overall efficiency by up to 46% over a heating season, demonstrating their role in improving long-term system stability and reducing reliance on fossil fuel electricity on the grid. In our study, the overall efficiency of the alternative hybrid system was improved by 42% (taking into account COP = 5.4), which is close to literature data.
Hybrid PVT systems integrated with seasonal STES provide an efficient solution for reducing grid dependency while maximizing energy conversion efficiency, as the following examples show: glazed PVT collectors can achieve maximum total efficiency of 51.3%, making them highly suitable for net-zero energy buildings applications [42]; dual oscillating absorber copper pipe flow PVT systems have been shown to reach thermal efficiencies of up to 58.6% and overall system efficiencies of 11.5%, demonstrating improvements in heat transfer and performance [43]. Further advances in heat transfer mechanisms have improved the integration of PVT with heat pumps. Acetone wickless heat pipe-based PVT panels have achieved a thermal efficiency of 43.8% and an overall efficiency of 12.5%, which improves system stability and reduces operating losses [44]. Meanwhile, PV-HPCW (heat pump coupled with water) systems with a wickless heat pipe integrated into aluminium veneer façades have been shown to be effective for high performance building applications, achieving a thermal efficiency of 20.2% and an electrical efficiency of 9.4% [45].
The prediction of future changes in the composition of the electricity in the grid shows that the environmental footprint of electricity derived from the grid over 20 years is still significantly higher than the footprint of electricity generated in PVT collectors. In a recent study conducted in China [46], a dynamic LCA method was applied to evaluate the environmental impact of a reversible ground-coupled heat pump system. Their approach integrated high-resolution electricity mix data to capture the temporal evolution of emissions over time. The results showed that neglecting long-term performance degradation and using annual averages instead of monthly data leads to an underestimation of 9.6% in all midpoint categories, with GWP underestimated by 11.5%, and the largest error occurring in regions with a fossil fuel-dominated grid. Another example is an LCA for an energy-efficient house in France, where it was found that using an annual average mix underestimates abiotic depletion by 39% and GW by 36% compared to hourly mix data [47]. These examples show that a higher temporal resolution in the LCA improves accuracy. In this context, our study reinforces that the integration of decentralised renewable energy such as PVT collectors is a very effective strategy to reduce long-term environmental impacts. The regional variation in the composition of the electricity grid have a significant impact on the environmental performance of heating systems. In the study by [32], GSHP systems were analysed in seven European countries and it was found that the environmental benefits depend on both the geographical location and the local electricity mix. In countries with a high share of renewable energy sources (e.g., Sweden), the impact of GSHP is greater than that of air-source heat pumps due to the already low-carbon electricity grid. In contrast, in regions with a more carbon-intensive electricity grid (e.g., Germany, Italy), GSHP systems outperformed air source heat pumps systems by reducing GHG emissions by 13–43%. These results show the importance of dynamic LCAs that account for regional grid variations and confirm the conclusions of this study that hybrid PVT heat pump systems can achieve greater emission reductions in locations with higher grid carbon intensity.
3.3. End-of-Life Stage
End-of-life treatment is associated with the landfilling and recycling of components after the system has reached its expected operational lifetime of 20 years, following a conservative approach. For both systems, it was assumed that electronics and metal parts of the components are recycled, while the rest of the components are landfilled. The impacts in the end-of-life stage are directly related to the amount of components that are integrated into the building for the operation of the system. In the alternative system, additional components such as PVT panels, a buffer tank and additional circulating pumps (Table 2) contribute to increased end-of-life impacts related to recycling and disposal of obsolete components compared to the baseline system. Consequently, the alternative system had a 160% higher impact on GWP and Human Health, and a 280% higher impact on the Ecosystem and Resources (Figure 6). Despite these increases, the absolute contribution of the end-of-life stage remains below 6% of the total life cycle impacts in the baseline system and reaches 5–14% in the alternative system (Figure 3). Of all components, PVT panels contribute the most to end-of-life environmental burdens due to the energy-intensive recycling process required to recover silicon, glass and aluminium [48].
Figure 6.
The end-of-life stage of the two systems.
3.4. Whole Life Cycle
Considering the whole life cycle assessment of benchmarked systems, the alternative system has significantly lower environmental impacts than the baseline system, with the exception of the impact on the Ecosystem. In the case of the alternative system, the impacts on GWP and Resources are reduced by 36%, and the impact on Human Health by 6%. However, the impact on the Ecosystem is increased by 47%. In terms of the Ecosystem, the baseline system has significantly lower impacts in the construction and end-of-life stages, and higher impacts in the use stage than the alternative system, which results in a net benefit of the baseline system (Figure 3).
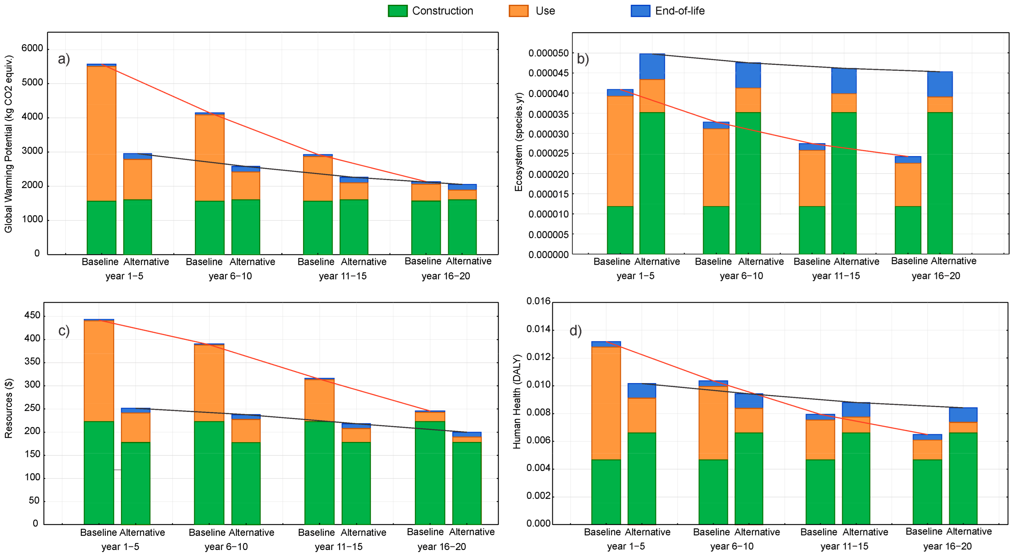
In terms of GWP, the construction stages of both systems have comparable impacts. The main difference occurs in the use stage, where the impact of the baseline system is significantly higher. In the latter system, the footprint of the use stage is directly affected by the composition of the electricity in the grid, which is the only source of electrical supply. In the alternative system, this effect is lower, considering that only around 36% of annual electricity demands are supplied from the grid. In this study, significant changes in the composition of electricity in the grid were assumed to occur every 5 years, thus 4 changes are assumed over 20 years (Figure 7). The impacts of the construction stage and the impacts related to the end-of-life stage were proportionally distributed over four periods, as presented in Figure 7. In reality, these impacts do not temporally coincide with the impacts related to the use stage. This kind of graphical presentation was conducted to show trends of whole life cycle impacts on a temporal scale.
Figure 7.
Environmental and Human Health impacts considering temporal effects in the evolution of the electricity grid over 20 years. Changes are assumed in 5-year intervals, affecting the use stage, which is associated with electricity consumption. (a) Impact on GWP; (b) Impact on Ecosystem; (c) Impact on Resources; (d) Impact on Human Health.
Considering the gradual decarbonization of the electricity sector (Table 4), the GWP of the baseline system decreases significantly over time. In the last quarter of the life span of the system, the difference in GWP between the systems is only 4% (Figure 7a). A similar trend can be observed in terms of the impact on Resources. The difference between the systems diminishes over 20 years but remains significantly higher (by 21%) in the baseline system even in the last quarter of the lifespan of the system (Figure 7c). After 10 years of the operation of the systems, the impact on Human Health in the baseline system becomes lower than in the alternative system (Figure 7d), considering the gradual decarbonatization of the electricity sector. Consequently, the baseline system has 31% lower impact than the alternative system in the last period of the system lifetime. However, if the entire system lifetime is considered, the alternative system is preferable.
In terms of the Ecosystem, the baseline system shows a 18% lower impact than the alternative systems already in the first years of the operation of the system (Figure 7b). The difference increases significantly over time in favour of the baseline system if the decarbonatization of the electricity sector is taken into account. After 15 years, the impact ratio between the scenarios is 0.53 versus 1.
Although this study demonstrates a reduction in grid electricity consumption in the alternative system compared to the baseline, the timing of electricity import and export also plays an important role in determining real-world environmental performance. The study by [47] showed that incorporating temporal variation in electricity generation and consumption significantly improves the accuracy of LCA results. Building on this, Rampih [49] developed an hourly dynamic model that integrates ENTSO-E generation data with import-export balances. The model revealed hourly carbon intensity values ranging from 0.11 to 0.61 kg CO2 equivalents per kWh, with a coefficient of variation of approximately 15% for the consumption-based approach.
Compared to an annual average profile, these temporal fluctuations resulted in 10–20% differences in system-level GWP outcomes, confirming that temporal resolution has a substantial impact on result interpretation. Since the alternative system with PVT tends to import electricity during high-demand winter periods (associated with higher marginal carbon intensity) and exports it mainly in summer (when marginal intensity is lower), this temporal coupling would likely reduce the observed advantage over the baseline system by a few percentage points. Overall, the alternative system remains environmentally preferable in terms of the GWP and Resources. However, the difference in Human Health impacts could be neutralized or even reversed. Incorporating temporal grid dynamics would yield a more accurate representation of its real-world interaction with the electricity network.
3.5. Implications for Stakeholders and Future Applications
The comparative outcomes presented in this study reveal distinct environmental trade-offs with direct implications for various stakeholder groups. Table 5 interprets these results in practical terms, connecting the quantified environmental indicators to real-world decisions in policy, design, and manufacturing. It shows that while the alternative system significantly reduces GW P and Resource Use, the associated increase in Ecosystem impact shows the need for more balanced approaches that combine material efficiency, circular design principles, and adaptive policy measures to support sustainable system scaling. The table also demonstrates the potential for broader application of the hybrid concept, and that scalability and material efficiency are essential for its long-term environmental and technical viability.
Table 5.
Practical implications of the alternative system for main stakeholder groups with emphasis on scalability, cost-effectiveness, material efficiency, and system integration.
4. Conclusions
Considering all life cycle stages, the study shows the long-term benefits and trade-offs associated with reducing grid dependency by integrating renewable energy. The results show that the alternative hybrid system reduces impacts on GWP and Resources by 36%, while the reduction in Human Health impacts is relatively minor, at around 6%. The use stage, which contributes the most to environmental impacts in the baseline system, is significantly improved in the alternative system through the integration of seasonal heat storage and electricity generation from renewables. However, the alternative system requires additional materials and components—in particular PVT panels and a buffer storage tank—which increase the environmental footprint in the construction phase and at the end of the service life. These factors result in a sixfold increase in the Ecosystem impacts compared to the baseline system, an aspect that needs to be further considered in system design and material selection.
An important contribution of this study is the detailed comparison of two heating systems with an explicit focus on the integration of seasonal storage, an aspect that is often overlooked in similar LCA studies. By including dynamic changes in the composition of the electricity grid, the study also provides a realistic perspective on the long-term benefits of reduced grid dependency. Unlike many previous studies that evaluate renewable heating technologies in isolation, this work evaluates a fully integrated system that combines PVT, heat pumps and underground storage and provides valuable insights into their combined environmental performance.
Despite its benefits, the alternative system still presents challenges. Future research should focus on optimising the use of materials in the system components, particularly in the PVT panels, to reduce the impact on the Ecosystem and also on Human Health. In addition, while seasonal thermal storage has shown significant benefits in reducing operational emissions, its long-term efficiency, thermal losses and potential degradation over multiple cycles should be further analysed to ensure reliability and scalability.
The contrasting trends of reduced GWP and increased Ecosystem impact demonstrate the importance of integrating life-cycle thinking into policy and design practice. For policymakers, the findings suggest that incentives for renewable heating technologies should include criteria addressing embodied impacts and material efficiency to prevent shifting burdens from climate to ecosystems. For building designers, the results indicate the need to select materials and system configurations that minimize ecological damage while maintaining low operational emissions. Balancing these aspects is essential to ensure that future low-carbon heating solutions achieve environmental neutrality across all impact categories.
Excess electrical energy generated by PVT and PV systems is typically transferred to the grid, as assumed in this study. Surplus electricity can be stored in batteries and used for charging electric vehicles, among other applications. Looking ahead, emerging technologies are expected to enable the conversion of surplus electricity into hydrogen fuel. Hydrogen could replace fossil fuels in various household uses (such as transportation) or be reconverted into electricity when needed, for example, to support heating, ventilation, and air conditioning (HVAC) systems in buildings. This approach would further advance the decarbonization of the building sector. However, the production and use of hydrogen fuel may also lead to increased environmental impacts in other categories, including Ecosystems, Resources, and Human Health. Therefore, the eco-design of renewable energy technologies will play a crucial role in minimizing these effects.
Author Contributions
Conceptualization, J.T. and A.O.M.; methodology, J.T. and A.O.M.; software, J.T. and P.O.; validation, J.T., A.O.M. and A.C.; formal analysis, J.T., A.O.M. and P.O.; investigation, J.T. and A.O.M.; resources, J.T. and A.C.; data curation, J.T. and A.O.M.; writing—original draft preparation, J.T. and A.O.M.; writing—review and editing, J.T., A.O.M. and A.C.; visualization, J.T.; supervision, A.O.M. and A.C.; project administration, J.T. and P.O.; funding acquisition, J.T. and A.O.M. All authors have read and agreed to the published version of the manuscript.
Funding
The research was co-funded by the Slovenian Research and Innovation Agency (Research Core Fundings No. P2-0273 and P2-0412).
Data Availability Statement
Background calculations are available on request.
Conflicts of Interest
Author Andraž Ceket was employed by the company AC&P Inženirski Biro. The remaining authors declare that the research was conducted in the absence of any commercial or financial relationships that could be construed as a potential conflict of interest.
Appendix A
Table A1.
Thermal characteristics of a residential building with a four-person household.
Table A1.
Thermal characteristics of a residential building with a four-person household.
| Parameter | Unit | Value |
|---|---|---|
| Heating season | days | 221 |
| Heat pump power | kW | 7 |
| Area of heated rooms | m2 | 140 |
| Heating load | kWh/m2/year | 60 |
| Q space | kWh/year | 8.400 |
| Q hot water | kWh/year | 1.800 |
| Q total | kWh/year | 10.200 |
| Heat flow to the geothermal probe | W/m | 40 */60 ** |
| Seasonal heat storage in the ground | kW/year | 1.780 ** |
* Baseline system. ** Alternative hybrid system with seasonal heat storage.
Table A2.
Energy model for baseline system.
Table A2.
Energy model for baseline system.
| Month | Q Space (kWh) * | Q hot Water (kWh) ** | Q Total (kWh) *** |
|---|---|---|---|
| January | 1.858 | 150 | 2.008 |
| February | 1.377 | 150 | 1.527 |
| March | 1.168 | 150 | 1.318 |
| April | 521 | 150 | 671 |
| May | 156 | 150 | 306 |
| June | - | 150 | 150 |
| July | - | 150 | 150 |
| August | - | 150 | 150 |
| September | 93 | 150 | 243 |
| October | 384 | 150 | 534 |
| November | 1.155 | 150 | 1.305 |
| December | 1.688 | 150 | 1.838 |
| Yearly | 8.400 | 1.800 | 10.200 |
* Q space is heat for space heating ** Q hot water is heat for hot water (35 °C) provision *** Q total is total heat demand. It corresponds to Q heat pump.
Table A3.
Energy model for baseline system (continuation).
Table A3.
Energy model for baseline system (continuation).
| Month | COP * | Q Supplied (kWh) ** | Q Total (kWh) |
|---|---|---|---|
| January | 4.00 | 502 | 502 |
| February | 4.00 | 382 | 382 |
| March | 4.00 | 330 | 330 |
| April | 4.00 | 168 | 168 |
| May | 4.00 | 76 | 76 |
| June | 4.00 | 38 | 38 |
| July | 4.00 | 38 | 38 |
| August | 4.00 | 38 | 38 |
| September | 4.00 | 61 | 61 |
| October | 4.00 | 133 | 133 |
| November | 4.00 | 326 | 326 |
| December | 4.00 | 459 | 459 |
| Yearly | 4.0 | 2.550 | 2.550 |
* COP is coefficient of performance (efficiency of heat pump) ** Q supplied refers to the electrical energy drawn from the grid to power the heat pump for space heating and domestic hot water production.
Table A4.
Energy model for alternative hybrid system.
Table A4.
Energy model for alternative hybrid system.
| Month | Q Space (kWh) * | Q Hot Water (kWh) ** | Q Total (kWh) *** | Q from Ground (kWh) **** | Q Total Adjusted (kWh) ***** |
|---|---|---|---|---|---|
| January | 1.858 | 150 | 2.008 | 198 | 1.810 |
| February | 1.377 | 150 | 1.527 | 198 | 1.329 |
| March | 1.168 | 150 | 1.318 | 198 | 1.121 |
| April | 521 | 150 | 671 | 198 | 474 |
| May | 156 | 150 | 306 | 198 | 108 |
| June | - | 150 | 150 | - | - |
| July | - | 150 | 150 | - | - |
| August | - | 150 | 150 | - | - |
| September | 93 | 150 | 243 | 198 | 45 |
| October | 384 | 150 | 534 | 198 | 336 |
| November | 1.155 | 150 | 1.305 | 198 | 1.107 |
| December | 1.688 | 150 | 1.838 | 198 | 1.640 |
| Yearly | 8.400 | 1.800 | 10.200 | 1.780 | 7.970 |
* Q space is heat for space heating ** Q hot water is heat for hot water (35 °C) provision *** Q total is total heat demand. It corresponds to Q heat pump **** Q from ground is heat from seasonal heat storage in the ground into geothermal probe ***** Q total adjusted is the total amount of heat that must be provided by a heat pump for space heating and domestic hot water provision (corrected taking into account seasonal heat storage: Q total-Q from ground).
Table A5.
Energy model for alternative hybrid system (continuation).
Table A5.
Energy model for alternative hybrid system (continuation).
| Month | COP * | Q Supplied (kWh) ** |
|---|---|---|
| January | 5.4 | 335 |
| February | 5.4 | 246 |
| March | 5.4 | 208 |
| April | 5.4 | 88 |
| May | 5.4 | 20 |
| June | 5.4 | - |
| July | 5.4 | - |
| August | 5.4 | - |
| September | 5.4 | 8 |
| October | 5.4 | 62 |
| November | 5.4 | 205 |
| December | 5.4 | 304 |
| Yearly | 5.4 | 1.476 |
* COP is coefficient of performance (efficiency of heat pump) ** Q supplied refers to the electrical energy to power the heat pump for space heating and domestic hot water provision.
Table A6.
Energy model for alternative hybrid system (continuation).
Table A6.
Energy model for alternative hybrid system (continuation).
| Month | Electricity PVT (kWh) | Heat (PVT) (kWh) | Heat Pump-Consumption (kWh) | Electricity Supply from Grid (kWh) | Excess Electricity to Grid (kWh) |
|---|---|---|---|---|---|
| January | 144 | 40 | 335 | 191 | - |
| February | 186 | 72 | 246 | 60 | - |
| March | 302 | 137 | 208 | - | 94 |
| April | 338 | 164 | 88 | - | 250 |
| May | 412 | 232 | 20 | - | 392 |
| June | 404 | 226 | - | - | 376 |
| July | 448 | 272 | - | - | 420 |
| August | 406 | 253 | - | - | 378 |
| September | 305 | 185 | 8 | - | 297 |
| October | 207 | 116 | 62 | - | 145 |
| November | 127 | 54 | 205 | 78 | - |
| December | 102 | 29 | 304 | 202 | - |
| Yearly | 3.381 | 1.780 | 1.476 | 531 | 2.353 |
Electricity PVT is electricity generated by PVT. Heat PVT is thermal energy (heat) generated by PVT. Heat pump consumption is electricity supply to heat pump for space heating and hot water provision. Electricity supply from grid is the portion of grid electricity used by the heat pump for space heating and hot water provision. Excess electricity to grid is calculated as: Electricity PVT-Heat pump consumption.
Appendix B
Table A7.
Monthly thermal output per square meter of hybrid PVT unit.
Table A7.
Monthly thermal output per square meter of hybrid PVT unit.
| Month | Q Solar (kWh/m2) * | % |
|---|---|---|
| January | 39 | 3% |
| February | 55 | 4% |
| March | 106 | 9% |
| April | 127 | 10% |
| May | 156 | 13% |
| June | 177 | 14% |
| July | 172 | 14% |
| August | 160 | 13% |
| September | 102 | 8% |
| October | 66 | 5% |
| November | 38 | 3% |
| December | 30 | 2% |
| Yearly | 1228 | 100% |
* Q solar is amount of thermal energy (heat) generated per square meter of collector area.
Appendix C
Table A8.
Technical characteristics of photovoltaic thermal collectors (PVT).
Table A8.
Technical characteristics of photovoltaic thermal collectors (PVT).
| Parameter | Unit | Value |
|---|---|---|
| Nominal power (electricity) | W | 425 |
| Nominal power (thermal energy) | W/m2 | 660 |
| Module surface area | m2 | 2.08 |
| Module efficiency | % | 20.4 |
| Number of modules (panels) | / | 8 |
| Surface area of modules (panels) | m2 | 16.6 |
| Nominal power of installation (electricity) | kW | 3.4 |
| Nominal power of installation (thermal energy) | kW | 5.3 |
| Electrical energy generation | kWh/m2/year | 203 |
| Thermal energy generation | kWh/m2/year | 107 |
| Annual electricity generation | kWh | 3.379 |
| Annual thermal energy generation | kWh | 1.780 |
References
- United Nations Environment Programme. Global Status Report for Buildings and Construction: Towards a Zero-Emission, Efficient and Resilient Buildings and Construction Sector; United Nations Environment Programme: Nairobi, Kenya, 2022. [Google Scholar]
- Tzeiranaki, S.T.; Bertoldi, P.; Economidou, M.; Clementi, E.L.; Gonzalez-Torres, M. Determinants of energy consumption in the tertiary sector: Evidence at European level. Energy Rep. 2023, 9, 5125–5143. [Google Scholar] [CrossRef]
- Tsemekidi Tzeiranaki, S.; Bertoldi, P.; Paci, D.; Castellazzi, L.; Serrenho, T.; Economidou, M.; Zangheri, P. Energy Consumption and Energy Efficiency Trends in the EU-28, 2000-2018; EUR 30328 EN; Publications Office of the European Union: Luxembourg, 2020. [Google Scholar] [CrossRef]
- Nair, A.M.; Wilson, C.; Huang, M.J.; Griffiths, P.; Hewitt, N. Phase change materials in building integrated space heating and domestic hot water applications: A review. J. Energy Storage 2022, 54, 105227. [Google Scholar] [CrossRef]
- Braungardt, S.; Tezak, B.; Rosenow, J.; Bürger, V. Banning boilers: An analysis of existing regulations to phase out fossil fuel heating in the EU. Renew. Sustain. Energy Rev. 2023, 183, 113442. [Google Scholar] [CrossRef]
- Horowitz, C.A. Paris Agreement. Int. Leg. Mater. 2016, 55, 740–755. [Google Scholar] [CrossRef]
- European Commission. A European Green Deal. 2024. Available online: https://www.consilium.europa.eu/en/policies/green-deal/fit-for-55/ (accessed on 25 August 2025).
- Herrando, M.; Elduque, D.; Javierre, C.; Fueyo, N. Life Cycle Assessment of solar energy systems for the provision of heating, cooling and electricity in buildings: A comparative analysis. Energy Convers. Manag. 2022, 257, 115402. [Google Scholar] [CrossRef]
- Valancius, R.; Singh, R.M.; Jurelionis, A.; Vaiciunas, J. A review of heat pump systems and applications in cold climates: Evidence from Lithuania. Energies 2019, 12, 4331. [Google Scholar] [CrossRef]
- Souliotis, M.; Arnaoutakis, N.; Panaras, G.; Kavga, A.; Papaefthimiou, S. Experimental study and Life Cycle Assessment (LCA) of Hybrid Photovoltaic/Thermal (PV/T) solar systems for domestic applications. Renew. Energy 2018, 126, 708–723. [Google Scholar] [CrossRef]
- Battaglia, V.; Vanoli, L.; Verde, C.; Nithiarasu, P.; Searle, J.R. Dynamic modeling of geothermal heat pump system coupled with positive-energy building. Energy 2023, 284, 28557. [Google Scholar] [CrossRef]
- Mahon, H.; O’Connor, D.; Friedrich, D.; Hughes, B. A review of thermal energy storage technologies for seasonal loops. Energy 2022, 239, 122207. [Google Scholar] [CrossRef]
- Stegnar, G.; Staničić, D.; Česen, M.; Čizman, J.; Pestotnik, S.; Prestor, J.; Urbančič, A.; Merše, S. A framework for assessing the technical and economic potential of shallow geothermal energy in individual and district heating systems: A case study of Slovenia. Energy 2019, 180, 405–420. [Google Scholar] [CrossRef]
- Gonzalez-Ayala, J.; Blázquez, C.S.; Lagüela, S.; Nieto, I.M. Assesment for optimal underground seasonal thermal energy storage. Energy Convers. Manag. 2024, 308, 118394. [Google Scholar] [CrossRef]
- Jackson, M.D.; Regnier, G.; Staffell, I. Aquifer Thermal Energy Storage for low carbon heating and cooling in the United Kingdom: Current status and future prospects. Appl. Energy 2024, 376, 124096. [Google Scholar] [CrossRef]
- Welsch, B.; Göllner-Völker, L.; Schulte, D.O.; Bära, K.; Sassa, I.; Schebek, L. Environmental and economic assessment of borehole thermal energy storage in district heating systems. Appl. Energy 2018, 216, 73–90. [Google Scholar] [CrossRef]
- Famiglietti, J.; Toppi, T.; Pistocchini, L.; Scoccia, R.; Motta, M. A comparative environmental life cycle assessment between a condensing boiler and a gas driven absorption heat pump. Sci. Total Environ. 2021, 762, 144392. [Google Scholar] [CrossRef] [PubMed]
- Lin, H.; Clavreul, J.; Jeandaux, C.; Crawley, J.; Butnar, I. Environmental life cycle assessment of heating systems in the UK: Comparative assessment of hybrid heat pumps vs. condensing gas boilers. Energy Build. 2021, 240, 110865. [Google Scholar] [CrossRef]
- Riva, C.; Roumpedakis, T.C.; Kallis, G.; Rocco, M.V.; Karellas, S. Life cycle analysis of a photovoltaic driven reversible heat pump. Energy Build. 2021, 240, 110894. [Google Scholar] [CrossRef]
- Naumann, G.; Schropp, E.; Gaderer, M. Life cycle assessment of an air-source heat pump and a condensing gas boiler using an attributional and a consequential approach. Procedia CIRP 2022, 105, 351–356. [Google Scholar] [CrossRef]
- Aridi, M.; Pannier, M.L.; Aridi, R.; Lemenand, T.A. Comprehensive Review of Life Cycle Assessments for Domestic Heat Pumps: Environmental Footprint and Future Directions. Energy Build. 2025, 336, 115605. [Google Scholar] [CrossRef]
- Zhao, G.; Searle, J.; Clarke, J.; Roberts, M.; Allen, S.; Baker, J. Environmental analysis of integrating photovoltaics and energy storage in building. Procedia CIRP 2022, 105, 613–618. [Google Scholar] [CrossRef]
- Biéron, M.; Le Dréau, J.; Haas, B. Development of a GHG-based control strategy for a fleet of hybrid heat pumps to decarbonize space heating and domestic hot water. Appl. Energy. 2025, 378, 124751. [Google Scholar] [CrossRef]
- Yang, L.; Pu, J.; Ma, S.; Zhou, P.; Wang, Y.; Jiang, Y. Holistic Sustainability Assessment of Solar Ground Source Heat Pump Systems: Integrating Life Cycle Assessment, Carbon Emissions and Emergy Analyses. Sustainability 2025, 17, 7767. [Google Scholar] [CrossRef]
- EN ISO 14040:2006; Environmental Management—Life Cycle Assessment—Principles and Framework. European Committee for Standardization: Brussels, Belgium, 2006.
- EN ISO 14044:2006; Environmental Management—Life Cycle Assessment—Requirements and Guidelines. European Committee for Standardization: Brussels, Belgium, 2006.
- EN 15804:2012+A2:2019; Sustainability of Construction Works—Environmental Product Declarations—Core Rules for the Product Category of Construction Products. European Committee for Standardization: Brussels, Belgium, 2019.
- Meteoarso. Available online: https://meteo.arso.gov.si/uploads/probase/www/climate/table/sl/by_location/ljubljana/climate-normals_71-00_ljubljana.pdf (accessed on 26 September 2025).
- Potrč Obrecht, T.; Jordan, S.; Legat, A.; Ruschi Mendes Saade, M.; Passer, A. An LCA methodolody for assessing the environmental impacts of building components before and after refurbishment. J. Clean. Prod. 2021, 327, 129527. [Google Scholar] [CrossRef]
- Adrinek, S.; Janža, M.; Singh, R.M. Influence of Geology, Hydrogeology, and Climate on Ground Source Heat Pump Distribution in Slovenia and Selected European Countries. Resources 2024, 13, 39. [Google Scholar] [CrossRef]
- Gao, B.; Zhu, X.; Yang, X.; Yuan, Y.; Yu, N.; Ni, J. Operation performance test and energy efficiency analysis of ground-source heat pump systems. J. Build. Eng. 2021, 41, 102446. [Google Scholar] [CrossRef]
- Aresti, L.; Florides, G.A.; Skaliontas, A.; Christodoulides, P. Environmental Impact of Ground Source Heat Pump Systems: A Comparative Investigation From South to North Europe. Front. Built Environ. 2022, 8, 914227. [Google Scholar] [CrossRef]
- Lueddeckens, S.; Saling, P.; Guenther, E. Temporal issues in life cycle assessment—A systematic review. Int. J. Life Cycle Assess. 2020, 25, 1385–1401. [Google Scholar] [CrossRef]
- Wolf, S.; Teitge, J.; Mielke, J.; Schütze, F.; Jaegeret, C. The European Green Deal—More Than Climate Neutrality. Intereconomics 2021, 56, 99–107. [Google Scholar] [CrossRef]
- EU Reference Scenario 2020—Energy, Transport and GHG Emissions—Trends to 2050. Publications Office. 2021. Available online: https://data.europa.eu/doi/10.2833/35750 (accessed on 22 October 2025).
- Net Zero by 2050—A Roadmap for the Global Energy Sector. International Energy Agency. 2021. Available online: https://iea.blob.core.windows.net/assets/deebef5d-0c34-4539-9d0c-10b13d840027/NetZeroby2050-ARoadmapfortheGlobalEnergySector_CORR.pdf (accessed on 22 October 2025).
- Huijbregts, M.A.J.; Steinmann, Z.J.N.; Elshout, P.M.F.; Stam, G.; Verones, F.; Vieira, M.D.M.; Hollander, A.; Zijp, M.; van Zelm, R. ReCiPe 2016: A Harmonized Life Cycle Impact Assessment Method at Midpoint and Endpoint Level. Report I: Characterization; Report 2016-0104a; National Institute for Public Health and the Environment: Bilthoven, The Netherlands, 2016. [Google Scholar]
- Goedkoop, M.; Heijungs, R.; Huijbregts, M.; De Schryver, A.; Struijs, J.; Van Zelm, R. ReCiPe 2008: A Life Cycle Impact Assessment Method Which Comprises Harmonised Category Indicators at the Midpoint and the Endpoint Level, 1st ed.; Report I: Characterisation; National Institute for Public Health and the Environment: Bilthoven, The Netherlands, 2009. [Google Scholar]
- Mohammed, A.A.; Nahazanan, H.; Nasir, N.A.M.; Huseien, G.F.; Saad, A.H. Calcium-based binders in concrete or soil stabilization: Challenges, problems, and calcined clay as partial replacement to produce low-carbon cement. Materials 2023, 16, 2020. [Google Scholar] [CrossRef]
- Sandanayake, M.; Zhang, G.; Setunge, S.; Luo, W.; Li, C.Q. Estimation and comparison of environmental emissions and impacts at foundation and structure construction stages of a building—A case study. J. Clean. Prod. 2017, 151, 319–329. [Google Scholar] [CrossRef]
- Jambol, D.D.; Babayeju, O.A.; Esiri, A.E. Lifecycle assessment of drilling technologies with a focus on environmental sustainability. GSC Adv. Res. Rev. 2024, 19, 102–111. [Google Scholar] [CrossRef]
- Lazzarin, R.; Noro, M. Photovoltaic/Thermal (PV/T)/ ground dual source heat pump: Optimum energy and economic sizing based on performance analysis. Energy Build. 2020, 211, 109800. [Google Scholar] [CrossRef]
- Abdullah, A.L.; Misha, S.; Tamaldin, N.; Rosli, M.A.M.; Sachit, F.A. Theoretical study and indoor experimental validation of performance of the new photovoltaic thermal solar collector (PVT) based water system. Case Stud. Therm. Eng. 2020, 18, 100595. [Google Scholar] [CrossRef]
- Brahim, T.; Jemni, A. Parametric study of photovoltaic/thermal wickless heat pipe solar collector. Energy Convers. Manag. 2021, 239, 114236. [Google Scholar] [CrossRef]
- Tomar, V.; Tsang, E.K.W.; Li, D.H.W. Performance analysis of a prototype solar photovoltaic/wickless heat pipe embedded aluminum curtain wall-heat pump water heating system. Energy Convers. Manag. 2022, 258, 115559. [Google Scholar] [CrossRef]
- Liang, C.; Schalbart, P.; Roux, C.; Peuportier, B. Enhancing life cycle assessment for reversible ground-coupled heat pump systems through dynamic analysis. J. Clean. Prod. 2024, 472, 143498. [Google Scholar] [CrossRef]
- Roux, C.; Schalbart, P.; Peuportier, B. Accounting for temporal variation of electricity production and consumption in the LCA of an energy-efficient house. J. Clean. Prod. 2016, 113, 532–540. [Google Scholar] [CrossRef]
- Corcelli, F.; Ripa, M.; Leccisi, E.; Cigolotti, V.; Fiandra, V.; Graditi, G.; Sannino, L.; Tammaro, M.; Ulgiati, S. Sustainable urban electricity supply chain–Indicators of material recovery and energy savings from crystalline silicon photovoltaic panels end-of-life. Ecol. Indic. 2018, 94, 37–51. [Google Scholar] [CrossRef]
- Rampih, D. Dynamic Life Cycle Assessment of Slovenian Electricity Generation: A Comparative Approach Towards a Sustainable Energy Mix. Master’s Thesis, University of Nova Gorica, Nova Gorica, Slovenia, 2025; pp. 1–65. Available online: https://repozitorij.ung.si/IzpisGradiva.php?id=10161 (accessed on 22 October 2025).
Disclaimer/Publisher’s Note: The statements, opinions and data contained in all publications are solely those of the individual author(s) and contributor(s) and not of MDPI and/or the editor(s). MDPI and/or the editor(s) disclaim responsibility for any injury to people or property resulting from any ideas, methods, instructions or products referred to in the content. |
© 2025 by the authors. Licensee MDPI, Basel, Switzerland. This article is an open access article distributed under the terms and conditions of the Creative Commons Attribution (CC BY) license (https://creativecommons.org/licenses/by/4.0/).






