Analysis of Thermal Comfort in Single-Story Courtyard Vernacular Dwellings in Rural China: Passive Design Strategies for Adapting to the Climate
Abstract
1. Introduction
2. Literature Review
2.1. Climate Change, Energy Use, and the Need for Passive Design
2.2. Climatic Adaptation Strategies in Vernacular Architecture
2.3. Limitations of Modern Rural Dwellings
2.4. Empirical and Simulation-Based Approaches
2.5. Research Gaps in Existing Literature
- Focus on Historic Courtyards—While previous studies often highlight the qualitative thermal advantages of vernacular courtyards, there is still a lack of quantitative research exploring the relationships between specific design parameters—such as wall thickness, courtyard vegetation, and window-to-wall ratio—and thermal comfort indices like PET and Tmrt. This gap is particularly evident for inhabited vernacular houses in regions characterized by hot summers and cold winters.
- Limited Quantitative Correlations—Previous research frequently describes the qualitative thermal benefits of design strategies but fails to establish measurable relationships between specific elements—such as wall thickness, coverage of courtyard vegetation, and window-to-wall ratio—and thermal comfort indicators like PET and Tmrt.
- Neglect of occupant behaviour—Few studies consider the adaptive behaviours of residents, such as moving between spaces throughout the day, which have a significant impact on thermal comfort [39].
2.6. Summary and Contribution of This Study
3. Materials and Methods
3.1. Location Conditions and Climate Characteristics
3.2. Resident Activities and Basic Characteristics of the Courtyard
3.3. Sensor Deployment and Environmental Parameters
3.4. Data Processing and Statistical Analysis
- Research Design and Data Collection
- Data Cleaning and Pre-processing
- Thermal Comfort Index Extraction
- Estimating Solar Radiation in Semi-Open and Enclosed Spaces Using Meteorological Data
- Statistical Analysis
- It is important to emphasise that:
3.5. Thermal Comfort Index Calculation
- PET Thermal Comfort Level Classification:
- The distribution of Physiological Equivalent Temperature (PET) values across various areas of vernacular dwellings.
- The duration of exposure to high temperatures during typical summer days.
- The comfortable period ratio, which represents the percentage of monitoring time when PET remained within the comfort range of 18–23 °C.
4. Result Analysis and Discussion
4.1. Data Description and Comparison Results
4.1.1. Air Temperature
4.1.2. Relative Humidity
4.1.3. Wind Speed
4.1.4. Tmrt (Mean Radiation Temperature)
4.1.5. PET (Physiologically Equivalent Temperature)
4.1.6. Comprehensive Evaluation of Summer Thermal Comfort in Vernacular Dwellings
4.2. Correlation Analysis
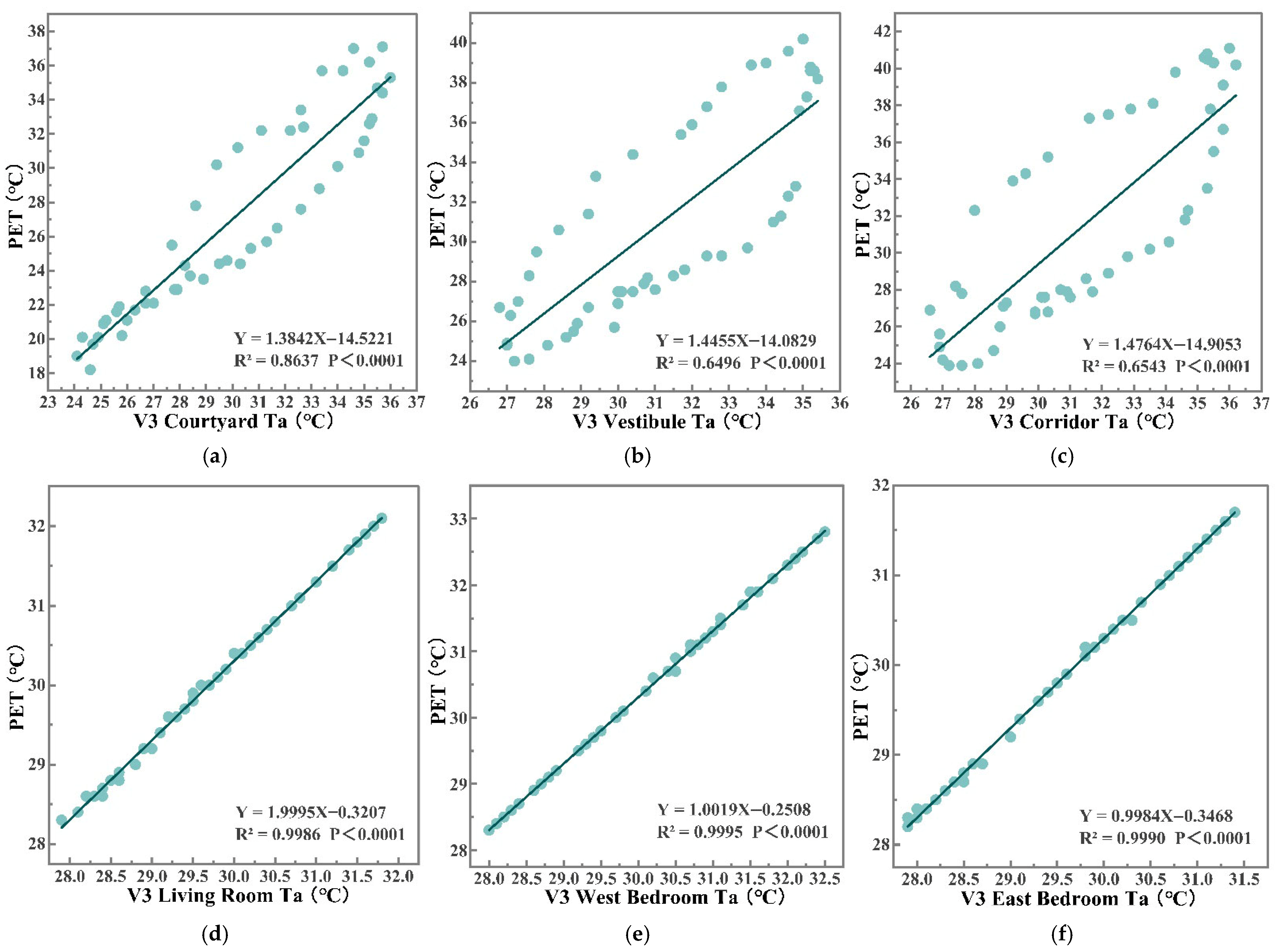
4.2.1. PET and Tmrt (Mean Radiation Temperature)
4.2.2. PET and Air Temperature
4.2.3. PET and Relative Humidity
4.2.4. PET and Wind Speed
5. Discussion
6. Conclusions
- Air temperature (Ta) served as the baseline thermal condition, but semi-outdoor and outdoor spaces exhibited heightened sensitivity, particularly in courtyards with limited shading and high surface albedo.
- Mean radiant temperature (Tmrt) was the most significant factor influencing variations in PET in semi-outdoor areas. This underscores the importance of shading trees, deep eaves, and compact courtyard geometry in reducing radiant heat stress. Indoors, Tmrt closely matched Ta due to low wind speed (<0.2 m/s), highlighting the buffering effect of masonry walls.
- Relative humidity (RH) was negatively correlated with PET, indicating that as humidity increased, PET values decreased and heat stress reduced. This effect was mainly linked to courtyard vegetation and permeable surfaces that enhanced evapotranspiration and cooling. In contrast, high levels of ambient humidity without vegetation could hinder heat loss, underscoring the importance of distinguishing these two types of humidity.
- Material choice directly impacts thermal resilience. The retrofit of V2 with a steel-sheet roof improved waterproofing but raised indoor PET by increasing heat accumulation, demonstrating that material substitution can diminish passive cooling capacity.
Author Contributions
Funding
Data Availability Statement
Acknowledgments
Conflicts of Interest
References
- International Energy Agency. International Energy Agency (IEA) World Energy Outlook 2022; International Energy Agency: Paris, France, 2022. [Google Scholar]
- Ürge-Vorsatz, D.; Cabeza, L.F.; Serrano, S.; Barreneche, C.; Petrichenko, K. Heating and cooling energy trends and drivers in buildings. Renew. Sustain. Energy Rev. 2015, 41, 85–98. [Google Scholar] [CrossRef]
- Santamouris, M. Cooling the buildings—Past, present and future. Energy Build. 2016, 128, 617–638. [Google Scholar] [CrossRef]
- Rapoport, A. Culture and built form—A reconsideration. In Culture-Meaning-Architecture; Routledge: London, UK, 2019; pp. 175–216. [Google Scholar]
- Oliver, P. Encyclopedia of Vernacular Architecture of the World; Cambridge University Press: Cambridge, UK, 1997; Volume 3. [Google Scholar]
- Zhao, M.; Mehra, S.-R.; Künzel, H.M. Energy-saving potential of deeply retrofitting building enclosures of traditional courtyard houses—A case study in the Chinese Hot-Summer-Cold-Winter zone. Build. Environ. 2022, 217, 109106. [Google Scholar] [CrossRef]
- Zhang, M.; Fang, Z.; Liu, Q.; Zhang, F. Simulation and Analysis of Factors Influencing Climate Adaptability and Strategic Application in Traditional Courtyard Residences in Hot-Summer and Cold-Winter Regions: A Case Study of Xuzhou, China. Sustainability 2024, 16, 8676. [Google Scholar] [CrossRef]
- Chandel, S.S.; Sharma, V.; Marwah, B.M. Review of energy efficient features in vernacular architecture for improving indoor thermal comfort conditions. Renew. Sustain. Energy Rev. 2016, 65, 459–477. [Google Scholar] [CrossRef]
- Bigiotti, S.; Santarsiero, M.L.; Del Monaco, A.I.; Marucci, A. Eco-Efficient Retrofitting of Rural Heritage: A Systematic Review of Sustainable Strategies. Energies 2025, 18, 4065. [Google Scholar] [CrossRef]
- Zhang, T.; Hu, Q.; Ding, Q.; Zhou, D.; Gao, W.; Fukuda, H. Towards a rural revitalization strategy for the courtyard layout of vernacular dwellings based on regional adaptability and outdoor thermal performance in the gully regions of the Loess Plateau, China. Sustainability 2021, 13, 13074. [Google Scholar] [CrossRef]
- Lozoya-Peral, A.; Pérez-Carramiñana, C.; Galiano-Garrigós, A.; Gonzalez-Aviles, A.B.; Emmitt, S. Exploring energy retrofitting strategies and their effect on comfort in a vernacular building in a dry Mediterranean climate. Buildings 2023, 13, 1381. [Google Scholar] [CrossRef]
- Bulus, M.; Hamid, M.; Lim, Y.W. Courtyard as a Passive Cooling Strategy in Buildings. Int. J. Built Environ. Sustain. 2017, 4. [Google Scholar] [CrossRef]
- Kolani, K.; Wang, Y.; Zhou, D.; Nouyep Tchitchui, J.U.; Okolo, C.V. Passive building design for improving indoor thermal comfort in tropical climates: A bibliometric analysis using CiteSpace. Indoor Built Environ. 2023, 32, 1095–1114. [Google Scholar] [CrossRef]
- Yang, Z.; Zhang, W.; Qin, M.; Liu, H. Comparative study of indoor thermal environment and human thermal comfort in residential buildings among cities, towns, and rural areas in arid regions of China. Energy Build. 2022, 273, 112373. [Google Scholar] [CrossRef]
- Bruse, M.; Fleer, H. Simulating surface-plant-air interactions inside urban environments with a three dimensional numerical model. Environ. Model. Softw. 1998, 13, 373–384. [Google Scholar] [CrossRef]
- Yang, S. Assessment of Urban Microclimate and Its Impact on Outdoor Thermal Comfort and Building Energy Performance. Ph.D. Thesis, Concordia University, Montreal, QC, Canada, 2024. [Google Scholar]
- Elraouf, R.A.; ELMokadem, A.; Megahed, N.; Eleinen, O.A.; Eltarabily, S. Evaluating urban outdoor thermal comfort: A validation of ENVI-met simulation through field measurement. J. Build. Perform. Simul. 2022, 15, 268–286. [Google Scholar] [CrossRef]
- Jia, L.-R.; Han, J.; Chen, X.; Li, Q.-Y.; Lee, C.-C.; Fung, Y.-H. Interaction between thermal comfort, indoor air quality and ventilation energy consumption of educational buildings: A comprehensive review. Buildings 2021, 11, 591. [Google Scholar] [CrossRef]
- Lundgren, K.; Kjellstrom, T. Sustainability challenges from climate change and air conditioning use in urban areas. Sustainability 2013, 5, 3116–3128. [Google Scholar] [CrossRef]
- Dong, Y.; Coleman, M.; Miller, S.A. Greenhouse gas emissions from air conditioning and refrigeration service expansion in developing countries. Annu. Rev. Environ. Resour. 2021, 46, 59–83. [Google Scholar] [CrossRef]
- Hu, M.; Zhang, K.; Nguyen, Q.; Tasdizen, T. The effects of passive design on indoor thermal comfort and energy savings for residential buildings in hot climates: A systematic review. Urban Clim. 2023, 49, 101466. [Google Scholar] [CrossRef]
- Kujundzic, K.; Stamatovic Vuckovic, S.; Radivojević, A. Toward regenerative sustainability: A passive design comfort assessment method of indoor environment. Sustainability 2023, 15, 840. [Google Scholar] [CrossRef]
- Ezeani, E.U.; Danjuma, D.; Ukah, C. Sustainable Built Environment Features Towards Climate Change Mitigation: Systematic Review. Environ. Rev. 2024, 10, 94–117. [Google Scholar]
- Yao, X.; Dewancker, B.J.; Guo, Y.; Han, S.; Xu, J. Study on passive ventilation and cooling strategies for cold lanes and courtyard houses—A case study of rural traditional village in Shaanxi, China. Sustainability 2020, 12, 8687. [Google Scholar] [CrossRef]
- Sun, F. Chinese climate and vernacular dwellings. Buildings 2013, 3, 143–172. [Google Scholar] [CrossRef]
- Wang, H.-f.; Chiou, S.-c. Study on the sustainable development of human settlement space environment in traditional villages. Sustainability 2019, 11, 4186. [Google Scholar] [CrossRef]
- Li, L.; Li, J.; Ji, K. A Study on the Concepts of Harmony Embodied in the Ancient Chinese Architecture; Springer: Berlin/Heidelberg, Germany, 2024. [Google Scholar]
- He, M.; Li, L.; Tao, S. Sustainable Design Methods Translated from the Thermodynamic Theory of Vernacular Architecture: Atrium Prototypes. Buildings 2024, 14, 3142. [Google Scholar] [CrossRef]
- Du, X.; Bokel, R.; van den Dobbelsteen, A. Architectural spatial design strategies for summer microclimate control in buildings: A comparative case study of Chinese vernacular and modern houses. J. Asian Archit. Build. Eng. 2016, 15, 327–334. [Google Scholar] [CrossRef]
- Perera, D. Transitional Spaces in Flux: The changing role of outdoor and semi-outdoor spaces in Contemporary Urban Houses in Colombo, Sri Lanka. Ph.D. Thesis, UNSW Sydney, Kensington, Australia, 2023. [Google Scholar]
- Muqoffa, M.; Suyitno; Yaningsih, I.; Rachmanto, R.A.; Himawan, K.; Caroko, N.; Basuki. Exploring natural ventilation strategies in Javanese vernacular houses for sustainable design. J. Asian Archit. Build. Eng. 2025, 4985–5004. [Google Scholar] [CrossRef]
- Hassani, E.K. Preserving the Past, Designing the Future: Unveiling Climate-Resilient Design in Persian Vernacular Architecture for Modern Sustainability. In Persian Vernacular Architecture: Lessons from Master Builders of Iran on Climate Resilient Design; Springer: Berlin/Heidelberg, Germany, 2025; pp. 277–303. [Google Scholar]
- Elwerfalli, M. Contemporary Courtyard Houses of Libya: New Directions in Sustainable Housing Development. Ph.D. Thesis, The University of Manchester, Manchester, UK, 2017. [Google Scholar]
- Zhang, J.; Lu, J.; Deng, W.; Beccarelli, P.; Lun, I.Y.F. Thermal comfort investigation of rural houses in China: A review. Build. Environ. 2023, 235, 110208. [Google Scholar] [CrossRef]
- McNeil, M.A.; Letschert, V.E. Future Air Conditioning Energy Consumption in Developing Countries and What Can Be Done About It: The Potential of Efficiency in the Residential Sector; Lawrence Berkeley National Laboratory: Berkeley, CA, USA, 2008. [Google Scholar]
- Stavrakakis, G.M.; Katsaprakakis, D.A.; Damasiotis, M. Basic principles, most common computational tools, and capabilities for building energy and urban microclimate simulations. Energies 2021, 14, 6707. [Google Scholar] [CrossRef]
- Luyt, R. A framework for mixing methods in quantitative measurement development, validation, and revision: A case study. J. Mix. Methods Res. 2012, 6, 294–316. [Google Scholar] [CrossRef]
- Mansi, S.A. Development of New Methodologies and Tools for Physiological Measurements of Indoor Thermal Comfort and Well-Being in Buildings. Ph.D. Thesis, Università degli Studi eCampus (Novedrate Campus), Novedrate, Italy, 2025. [Google Scholar]
- Monsefi Parapari, D. Adaptation to Climate Change and Thermal Comfort: Investigating Adaptation and Mitigation Strategies for Kerman, Iran, Based on Iranian Traditional Urbanism and the German Experiences in the Ruhr. Ph.D. Thesis, Technische Universität, Diss., Dortmund, Germany, 2015. [Google Scholar]
- Hanna, E.G.; Tait, P.W. Limitations to thermoregulation and acclimatization challenge human adaptation to global warming. Int. J. Environ. Res. Public Health 2015, 12, 8034–8074. [Google Scholar] [CrossRef] [PubMed]
- Tzortzi, N.; Liu, J.; Gu, W. Traditional to Contemporary Landscape Architecture in China A Lesson from Chinese Courtyards; Tab Edizioni: Rome, Italy, 2024. [Google Scholar]
- Du, X.; Bokel, R.; van den Dobbelsteen, A. Building microclimate and summer thermal comfort in free-running buildings with diverse spaces: A Chinese vernacular house case. Build. Environ. 2014, 82, 215–227. [Google Scholar] [CrossRef]
- Petrucci, C. Thermal Comfort in Traditional and Sustainable Buildings: Comparative Analysis of Thermal Perception in the Middle East and Southeast Asian Buildings. Ph.D. Thesis, Università Ca’ Foscari, Venice, Italy, 2023. [Google Scholar]
- Misni, A. Modifying the outdoor temperature around single-family residences: The influence of landscaping. Procedia-Soc. Behav. Sci. 2013, 105, 664–673. [Google Scholar] [CrossRef][Green Version]
- Krüger, E.; Minella, F.; Matzarakis, A. Comparison of different methods of estimating the mean radiant temperature in outdoor thermal comfort studies. Int. J. Biometeorol. 2014, 58, 1727–1737. [Google Scholar] [CrossRef]
- Gaspari, J. Climate Responsive Building Envelopes: From Façade Shading Systems to Adaptive Shells; Franco Angeli: Milano, Italy, 2020. [Google Scholar]
- Azodo, A.P.; Ismaila, S.O.; Owoeye, F.T.; Jibatswen, T.Y. Analysis and Modeling of Physiologic Equivalent Temperature of an Outdoor Environment. Appl. Environ. Res. 2020, 42, 77–91. [Google Scholar] [CrossRef]
- Taleghani, M.; Tenpierik, M.; van den Dobbelsteen, A. Environmental impact of courtyards—A review and comparison of residential courtyard buildings in different climates. J. Green Build. 2012, 7, 113–136. [Google Scholar] [CrossRef]
- Shi, J.; Zhang, T.; Bai, L.; Fukuda, H.; Gao, W. Comparative analysis on the mechanism of climate responsiveness strategies on indoor thermal performance of Yaodong dwellings in the Loess Plateau region of China. Energy Rep. 2024, 11, 4741–4758. [Google Scholar] [CrossRef]
- Lin, H.; Yin, S.; Xie, C.; Lin, Y. Research-Integrated Pedagogy with Climate-Responsive Strategies: Vernacular Building Renovation Design. Buildings 2022, 12, 1294. [Google Scholar] [CrossRef]
- Huebner, G.M.; Fell, M.J.; Watson, N.E. Improving energy research practices: Guidance for transparency, reproducibility and quality. Build. Cities 2021, 2, 1–20. [Google Scholar] [CrossRef]
- Whitehill, A.R.; Lunden, M.; LaFranchi, B.; Kaushik, S.; Solomon, P.A. Mobile air quality monitoring and comparison to fixed monitoring sites for instrument performance assessment. Atmos. Meas. Tech. 2024, 17, 2991–3009. [Google Scholar] [CrossRef]
- Song, Y.; Mao, F.; Liu, Q. Human comfort in indoor environment: A review on assessment criteria, data collection and data analysis methods. IEEE Access 2019, 7, 119774–119786. [Google Scholar] [CrossRef]
- Daneshvar, M.R.M.; Bagherzadeh, A.; Tavousi, T. Assessment of bioclimatic comfort conditions based on Physiologically Equivalent Temperature (PET) using the RayMan Model in Iran. Cent. Eur. J. Geosci. 2013, 5, 53–60. [Google Scholar] [CrossRef]
- ASHRAE Standard 55; Thermal Environmental Conditions for Human Occupancy. American Society of Heating, Refrigerating and Air-Conditioning Engineers: Atlanta, GA, USA, 2017.
- ISO 7726:2025; Ergonomics of the Thermal Environment, Instruments for Measuring Physical Quantities. International Standard Published: Geneva, Switzerland, 2025.
- Brown, R.D.; Gillespie, T.J. Microclimatic Landscape Design: Creating Thermal Comfort and Energy Efficiency; John Wiley & Sons: Guelph, ON, Canada, 1995; Volume 1. [Google Scholar]
- Ali-Toudert, F.; Mayer, H. Numerical study on the effects of aspect ratio and orientation of an urban street canyon on outdoor thermal comfort in hot anddry climate. Build. Environ. 2006, 41, 94–108, Erratum in Build. Environ. 2007, 42, 1553–1554. [Google Scholar] [CrossRef]
- Hosham, A.F.; Kubota, T. Effects of building microclimate on the thermal environment of traditional Japanese houses during hot-humid summer. Buildings 2019, 9, 22. [Google Scholar] [CrossRef]
- López-Cabeza, V.P.; Diz-Mellado, E.; Rivera-Gómez, C.; Galán-Marín, C.; Samuelson, H.W. Thermal comfort modelling and empirical validation of predicted air temperature in hot-summer Mediterranean courtyards. J. Build. Perform. Simul. 2022, 15, 39–61. [Google Scholar] [CrossRef]
- Ben Ratmia, F.Z.; Ahriz, A.; Santi, G.; Bouzaher, S.; Mahar, W.A.; Ben Ratmia, M.A.E.; Matallah, M.E. Street design strategies based on spatial configurations and building external envelopes in relation to outdoor thermal comfort in arid climates. Sustainability 2024, 16, 221. [Google Scholar] [CrossRef]
- Fernandes, J.; Pimenta, C.; Mateus, R.; Monteiro Silva, S.; Bragança, L. Contribution of Portuguese vernacular building strategies to indoor thermal comfort and occupants’ perception. Buildings 2015, 5, 1242–1264. [Google Scholar] [CrossRef]
- Kang, E.; Lee, R.; Yoon, J.; Cho, H.; Kim, D. Uncertainty assessment of mean radiant temperature estimation for indoor thermal comfort based on clustering analysis of reduced-input surfaces. Buildings 2023, 13, 342. [Google Scholar] [CrossRef]
- Song, B.; Bai, L. Study on the method of determining indoor radiant temperature under strong radiant heat source. In Proceedings of the E3S Web of Conferences, Les Mureaux, France, 21–22 November 2024; p. 03002. [Google Scholar]
- Özbey, M.F.; Turhan, C. A Case Study on the Assumption of Mean Radiant Temperature Equals to Indoor Air Temperature in a Free-Running Building. Kocaeli J. Sci. Eng. 2021, 4, 79–85. [Google Scholar] [CrossRef]
- Chaudhuri, T.; Soh, Y.C.; Bose, S.; Xie, L.; Li, H. On assuming Mean Radiant Temperature equal to air temperature during PMV-based thermal comfort study in air-conditioned buildings. In Proceedings of the IECON 2016-42nd Annual Conference of the IEEE Industrial Electronics Society, Florence, Italy, 23–26 October 2016; pp. 7065–7070. [Google Scholar]
- Staiger, H.; Laschewski, G.; Matzarakis, A. Selection of appropriate thermal indices for applications in human biometeorological studies. Atmosphere 2019, 10, 18. [Google Scholar] [CrossRef]
- Wan, Z.; Liu, H.; Yu, Y.; Wu, Y.; Melchior, M.; Martens, P.; Krafft, T.; Shaw, D. How Does Outdoor Spatial Design Shape the Microclimate, Comfort, and Behavior in Traditional Chinese Villages? A Systematic Review Across Scales, Contexts, and Users. Sustainability 2025, 17, 6960. [Google Scholar] [CrossRef]
- Li, Y.; Zeng, Y.; Tu, W.; Ao, G.; Li, G. Research on Outdoor Thermal Comfort Strategies for Residential Blocks in Hot-Summer and Cold-Winter Areas, Taking Wuhan as an Example. Buildings 2025, 15, 1615. [Google Scholar] [CrossRef]
- Fan, G.; Chen, Y.; Deng, Q. Thermal comfort. In Personal Comfort Systems for Improving Indoor Thermal Comfort and Air Quality; Springer: Berlin/Heidelberg, Germany, 2023; pp. 1–23. [Google Scholar]
- Sharmin, T.; Steemers, K.; Humphreys, M. Outdoor thermal comfort and summer PET range: A field study in tropical city Dhaka. Energy Build. 2019, 198, 149–159. [Google Scholar] [CrossRef]
- Zheng, Y.; Keeffe, G.; Mariotti, J. Nature-based solutions for cooling in high-density neighbourhoods in Shenzhen: A case study of Baishizhou. Sustainability 2023, 15, 5509. [Google Scholar] [CrossRef]
- Jing, W.; Qiu, J.; Ge, Z.; Mu, T.; Yin, Y.; Qin, Z.; Liu, Y. Microclimate-driven strategies for thermally comfortable university open spaces in cold regions of China. Sci. Rep. 2025, 15, 19720. [Google Scholar] [CrossRef]
- Ouyang, W.; Tan, Z.; Chen, Y.-C.; Ren, G. Comparative evaluation of PET and mPET models for outdoor walking in hot-humid climates. Build. Environ. 2025, 271, 112636. [Google Scholar] [CrossRef]
- Necira, H.; Matallah, M.E.; Bouzaher, S.; Mahar, W.A.; Ahriz, A. Effect of street asymmetry, albedo, and shading on pedestrian outdoor thermal comfort in hot desert climates. Sustainability 2024, 16, 1291. [Google Scholar] [CrossRef]
- Kong, M. Semi-Open Space and Micro-Environmental Control for Improving Thermal Comfort, Indoor Air Quality, and Building Energy Efficiency. Ph.D. Thesis, Syracuse University, Syracuse, NY, USA, 2017. [Google Scholar]
- Rodríguez-Algeciras, J.; Tablada, A.; Chaos-Yeras, M.; De la Paz, G.; Matzarakis, A. Influence of aspect ratio and orientation on large courtyard thermal conditions in the historical centre of Camagüey-Cuba. Renew. Energy 2018, 125, 840–856. [Google Scholar] [CrossRef]
- Du, J.; Liu, L.; Chen, X.; Liu, J. Field assessment of neighboring building and tree shading effects on the 3D radiant environment and human thermal comfort in summer within urban settlements in Northeast China. Adv. Meteorol. 2020, 2020, 8843676. [Google Scholar] [CrossRef]
- Mahmoud, R.M.A.; Abdallah, A.S.H. Assessment of outdoor shading strategies to improve outdoor thermal comfort in school courtyards in hot and arid climates. Sustain. Cities Soc. 2022, 86, 104147. [Google Scholar] [CrossRef]
- Lin, C.; Yang, J.; Huang, J.; Zhong, R. Examining the Effects of Tree Canopy Coverage on Human Thermal Comfort and Heat Dynamics in Courtyards: A Case Study in Hot-Humid Regions. Atmosphere 2023, 14, 1389. [Google Scholar] [CrossRef]
- Kim, S.H. Assessing the needs and gaps of building information technologies for energy retrofit of historic buildings in the Korean context. Sustainability 2018, 10, 1319. [Google Scholar] [CrossRef]
- Lamberti, G.; Contrada, F.; Kindinis, A. Exploring adaptive strategies to cope with climate change: The case study of Le Corbusier’s Modern Architecture retrofitting. Energy Build. 2024, 302, 113756. [Google Scholar] [CrossRef]




































| Point | Date | Duration | On Site |
|---|---|---|---|
| V1 | 11 June 2025–12 June 2025 | 24 h | ![]() |
| V2 | 11 June 2025–12 June 2025 | 24 h | ![]() |
| V3 | 11 June 2025–12 June 2025 | 24 h | ![]() |
| Parameters | Symbol | Unit | Instrument | Range | Accuracy | Probe Type |
|---|---|---|---|---|---|---|
| Air Temperature /Relative Humidity /Wind Speed | Ta /RH /Va | °C /% /m/s | YG-BXZ | −40~80 °C 0~100% RH 0–70 m/s | ±0.3 °C ±5% RH ±0.5 + 0.02 rdg m/s | ![]() |
| Wind Speed | Va | m/s | SWEVY SW6086 | +0.0 to +10.0 m/s | <2 m/s: ±0.1% + 5% of measured value ≥ 2 m/s: ±0.3% + 5% of measured value | ![]() |
| Air Temperature | Ta | °C | PM6252B | 0 to +50 °C | +1.2 °C | ![]() |
| Relative Humidity | RH | % | PM6252B | 10 to 95% RH | <70% RH: ±4% RH ≥70% RH: ±(4% of Reading + 1.2% RH) |
| Space Type | F Sky | F Wall | F Ground | SC | ρ |
|---|---|---|---|---|---|
| Courtyard | 0.6–0.8 | 0.15–0.3 | 0.05–0.1 | 0.8–1.0 | 0.15–0.25 |
| Vestibule | 0.2–0.4 | 0.4–0.6 | 0.1–0.2 | 0.3–0.5 | 0.20–0.35 |
| Corridor | 0.1–0.3 | 0.5–0.7 | 0.1–0.2 | 0.2–0.4 | 0.25–0.35 |
| PET Range (°C) | Thermal Sensation | Perceived Thermal Comfort Level |
|---|---|---|
| <4 | Very cold | Extreme cold stress |
| 4–8 | Cold | Strong cold stress |
| 8–13 | Cool | Moderate cold stress |
| 13–18 | Slightly cool | Slight cold stress |
| 18–23 | Comfortable | No thermal stress |
| 23–29 | Slightly warm | Slight heat stress |
| 29–35 | Warm | Moderate heat stress |
| 35–41 | Hot | Strong heat stress |
| >41 | Very hot | Extreme heat stress |
| Sample | Point | Max | Min | Ave | SD |
|---|---|---|---|---|---|
| V1 | Courtyard | 36.0 | 24.1 | 30.2 | 3.8 |
| Vestibule | 36.4 | 25.5 | 30.5 | 3.4 | |
| Corridors | 36.3 | 25.2 | 30.4 | 3.5 | |
| East bedroom | 31.2 | 26.4 | 28.6 | 1.2 | |
| West bedroom | 31.4 | 27.9 | 29.5 | 0.9 | |
| Living room | 31.8 | 28.1 | 29.7 | 0.8 | |
| Meteorological Station | 36.8 | 24.2 | 30.5 | 3.9 | |
| V2 | Courtyard | 35.9 | 27.2 | 31.6 | 2.6 |
| Vestibule | 35.1 | 25.5 | 30.3 | 3.2 | |
| Corridors | 35.1 | 25.8 | 30.5 | 3.0 | |
| East bedroom | 31.6 | 29.5 | 30.5 | 0.6 | |
| West bedroom | 31.7 | 28.9 | 30.3 | 0.7 | |
| Living room | 31.6 | 28.7 | 30.1 | 0.6 | |
| Meteorological Station | 36.8 | 24.2 | 30.5 | 3.9 | |
| V3 | Courtyard | 36.0 | 24.1 | 30.2 | 3.8 |
| Vestibule | 35.4 | 26.8 | 30.7 | 2.9 | |
| Corridors | 36.2 | 26.6 | 31.1 | 3.1 | |
| East bedroom | 31.4 | 27.9 | 29.8 | 0.9 | |
| West bedroom | 32.5 | 28.1 | 30.2 | 1.0 | |
| Living room | 31.8 | 28.1 | 30.0 | 0.8 | |
| Meteorological Station | 36.8 | 24.2 | 30.5 | 3.9 |
| Sample | Point | Max | Min | Ave | SD |
|---|---|---|---|---|---|
| V1 | Courtyard | 71.6 | 29.5 | 48.3 | 11.8 |
| Vestibule | 65.0 | 31.0 | 46.2 | 9.7 | |
| Corridors | 64.0 | 31.1 | 45.6 | 9.5 | |
| East bedroom | 54.6 | 31.4 | 43.0 | 6.9 | |
| West bedroom | 55.3 | 31.7 | 43.5 | 7.0 | |
| Living room | 53.8 | 30.1 | 42.0 | 6.8 | |
| Meteorological Station | 58.2 | 23.8 | 42.5 | 9.7 | |
| V2 | Courtyard | 66.0 | 40.0 | 52.5 | 6.8 |
| Vestibule | 65.0 | 32.0 | 48.5 | 9.6 | |
| Corridors | 57.0 | 31.0 | 44.0 | 7.6 | |
| East bedroom | 53.5 | 42.5 | 48.0 | 3.5 | |
| West bedroom | 53.4 | 41.2 | 47.3 | 3.4 | |
| Living room | 52.6 | 39.7 | 46.2 | 3.2 | |
| Meteorological Station | 58.2 | 23.8 | 41.0 | 10.5 | |
| V3 | Courtyard | 55.8 | 38.2 | 47.0 | 4.9 |
| Vestibule | 58.0 | 39.0 | 48.5 | 5.1 | |
| Corridors | 58.0 | 40.0 | 49.0 | 5.1 | |
| East bedroom | 46.7 | 36.5 | 41.6 | 3.1 | |
| West bedroom | 47.8 | 39.0 | 43.4 | 2.6 | |
| Living room | 48.0 | 38.2 | 43.1 | 2.8 | |
| Meteorological Station | 58.2 | 23.8 | 41.0 | 10.5 |
| Sample | Point | Max | Min | Ave | SD |
|---|---|---|---|---|---|
| V1 | Courtyard | 5.19 | 0.00 | 2.60 | 1.30 |
| Vestibule | 1.45 | 0.16 | 0.80 | 0.32 | |
| Corridors | 2.58 | 0.18 | 1.38 | 0.60 | |
| Meteorological Station | 7.93 | 3.92 | 5.92 | 1.00 | |
| V2 | Courtyard | 3.14 | 0.37 | 1.76 | 0.69 |
| Vestibule | 1.89 | 0.21 | 1.05 | 0.42 | |
| Corridors | 2.04 | 0.23 | 1.14 | 0.45 | |
| Meteorological Station | 7.93 | 3.92 | 5.92 | 1.00 | |
| V3 | Courtyard | 4.73 | 0.00 | 2.37 | 1.18 |
| Vestibule | 1.19 | 0.00 | 0.59 | 0.30 | |
| Corridors | 1.50 | 0.00 | 0.75 | 0.38 | |
| Meteorological Station | 47.8 | 3.92 | 5.92 | 1.00 |
| Sample | Point | Max | Min | Ave | SD |
|---|---|---|---|---|---|
| V1 | Courtyard | 32.6 | 18.2 | 24.2 | 4.1 |
| Vestibule | 45.2 | 20.0 | 28.8 | 8.0 | |
| Corridors | 43.3 | 20.0 | 28.3 | 7.8 | |
| Meteorological Station | 26.2 | 14.5 | 19.3 | 3.8 | |
| V2 | Courtyard | 41.8 | 21.6 | 29.2 | 6.3 |
| Vestibule | 43.8 | 20.1 | 28.7 | 7.8 | |
| Corridors | 42.7 | 19.5 | 28.4 | 7.7 | |
| Meteorological Station | 26.2 | 14.5 | 19.3 | 3.8 | |
| V3 | Courtyard | 39.3 | 18.4 | 27.0 | 6.0 |
| Vestibule | 46.9 | 21.8 | 30.2 | 8.1 | |
| Corridors | 46.9 | 21.7 | 30.1 | 8.0 | |
| Meteorological Station | 26.2 | 14.5 | 19.3 | 3.8 |
| Sample | Point | Max | Min | Ave | SD |
|---|---|---|---|---|---|
| V1 | Courtyard | 34.8 | 19.8 | 26.1 | 4.5 |
| Vestibule | 41.1 | 21.3 | 29.6 | 6.1 | |
| Corridors | 39.0 | 21.6 | 28.7 | 5.5 | |
| East bedroom | 31.3 | 26.6 | 29.2 | 1.3 | |
| West bedroom | 31.6 | 28.2 | 29.9 | 1.1 | |
| Living room | 31.9 | 28.4 | 30.2 | 1.2 | |
| V2 | Courtyard | 41.5 | 21.6 | 30.2 | 5.8 |
| Vestibule | 40.8 | 22.0 | 29.9 | 5.6 | |
| Corridors | 39.6 | 21.9 | 29.4 | 5.3 | |
| East bedroom | 31.4 | 26.8 | 29.6 | 1.2 | |
| West bedroom | 31.8 | 28.3 | 30.1 | 0.9 | |
| Living room | 32.1 | 28.5 | 30.4 | 1.0 | |
| V3 | Courtyard | 42.0 | 20.9 | 30.5 | 6.0 |
| Vestibule | 41.3 | 21.4 | 30.1 | 5.8 | |
| Corridors | 40.0 | 21.7 | 29.7 | 5.4 | |
| East bedroom | 31.7 | 27.0 | 29.8 | 1.1 | |
| West bedroom | 32.0 | 28.4 | 30.2 | 1.0 | |
| Living room | 32.4 | 28.7 | 30.6 | 1.1 | |
| Meteorological Station | 34.4 | 18.0 | 24.9 | 5.5 |
| Parameter | V1 | V2 | V3 | Comparative Features |
|---|---|---|---|---|
| Max./Min. courtyard temperature (°C) | 36.4/24.1 | 36.2/25.0 | 35.9/27.2 | All cases show diurnal ranges of 8.7–12.3 °C; indoor peaks remain <32 °C with faster night cooling compared to courtyards. |
| Indoor temperature fluctuation (SD, °C) | 0.7–1.0 | 0.6–0.7 | 0.9–1.2 | V2 is the most stable; V3 shows the largest variation; V1 is moderate. |
| Max./Min. courtyard humidity (% RH) | 71.6/29.5 | 66.0/40.0 | 55.8/38.2 | V1 shows the widest range (SD = 11.8%); V2 is most stable; V3 has relatively low recovery at night. |
| Mean indoors humidity (% RH) | 41.9 | 53.2 | 43.5 | Indoor humidity remains stable (SD < 6%); V2 is relatively high, favourable for humidity-sensitive occupants. |
| Max. courtyard wind speed (m/s) | 5.19 | 3.14 | 4.73 | V1 records the highest values, supporting heat dissipation; V2 shows the lowest speeds; V3 allows partial ventilation but suffers from afternoon stagnation. |
| Semi-outdoor wind speed (m/s) | 0.80 (V)/ 1.2 (CO) | 1.05 (V)/ <1.0 (CO) | 0.59 (V)/ <1.0 (CO) | V1 maintains comfortable ranges (0.8–1.2 m/s); V2 and V3 show insufficient ventilation. |
| Courtyard Greening ratio (%) | 45 | 30 | 35 | V1’s multi-layer vegetation reduces surface temp. by 0.8–1.2 °C and increases humidity by 3–5%; V2’s unilateral vegetation has limited effect; V3 provides partial shading but insufficient afternoon cooling. |
| Mean Tmrt (°C) | 29.2 | 31.4 | 32.1 | V1 remains closest to indoor Ta, buffered by vegetation shading; V2 shows moderately high radiant load; V3 reaches the highest Tmrt, reflecting insufficient shading and higher solar exposure. |
| Mean PET (°C) | 28.5 | 30.8 | 31.2 | V1 remains close to the comfort threshold; V2 is moderately hot; V3 experiences the highest heat load. |
| Overall thermal comfort | Optimal: coordinated regulation of temperature, humidity, wind, and PET; represents a “strong ventilation–soft entry” strategy | Stable humidity but weak ventilation and higher PET; represents a “moisture-preserving” type | Moderate ventilation but poor shading, highest PET; prone to heat stress in summer | V1 > V2 ≈ V3. V1 demonstrates the most effective climate-responsive performance |
Disclaimer/Publisher’s Note: The statements, opinions and data contained in all publications are solely those of the individual author(s) and contributor(s) and not of MDPI and/or the editor(s). MDPI and/or the editor(s) disclaim responsibility for any injury to people or property resulting from any ideas, methods, instructions or products referred to in the content. |
© 2025 by the authors. Licensee MDPI, Basel, Switzerland. This article is an open access article distributed under the terms and conditions of the Creative Commons Attribution (CC BY) license (https://creativecommons.org/licenses/by/4.0/).
Share and Cite
Yang, C.; Misni, A. Analysis of Thermal Comfort in Single-Story Courtyard Vernacular Dwellings in Rural China: Passive Design Strategies for Adapting to the Climate. Buildings 2025, 15, 3964. https://doi.org/10.3390/buildings15213964
Yang C, Misni A. Analysis of Thermal Comfort in Single-Story Courtyard Vernacular Dwellings in Rural China: Passive Design Strategies for Adapting to the Climate. Buildings. 2025; 15(21):3964. https://doi.org/10.3390/buildings15213964
Chicago/Turabian StyleYang, Chen, and Alamah Misni. 2025. "Analysis of Thermal Comfort in Single-Story Courtyard Vernacular Dwellings in Rural China: Passive Design Strategies for Adapting to the Climate" Buildings 15, no. 21: 3964. https://doi.org/10.3390/buildings15213964
APA StyleYang, C., & Misni, A. (2025). Analysis of Thermal Comfort in Single-Story Courtyard Vernacular Dwellings in Rural China: Passive Design Strategies for Adapting to the Climate. Buildings, 15(21), 3964. https://doi.org/10.3390/buildings15213964







