Sign in to use this feature.

Years

Between: -

Subjects

remove_circle_outline
remove_circle_outline
remove_circle_outline
remove_circle_outline
remove_circle_outline
remove_circle_outline
remove_circle_outline
remove_circle_outline
remove_circle_outline

Journals

Article Types

Countries / Regions

Search Results (49)

Search Parameters:
Keywords = panic detection

Order results
Result details
Results per page
Select all
Export citation of selected articles as:
23 pages, 2629 KB  
Article
A Hybrid CNN-SVM Approach for ECG-Based Multi-Class Differential Diagnosis of PTSD, Depression, and Panic Attack
by Parisa Ebrahimpour Moghaddam Tasouj, Gökhan Soysal, Osman Eroğul and Sinan Yetkin
Biosensors 2026, 16(1), 52; https://doi.org/10.3390/bios16010052 - 10 Jan 2026
Viewed by 227
Abstract
Background: PTSD diagnosis is challenging. Symptoms overlap with depression and panic attacks. This causes misdiagnosis and delayed treatment. Current methods lack objective biomarkers. This study presents a hybrid AI framework. It combines CNNs and SVMs. The system detects PTSD from ECG signals. Methods: [...] Read more.
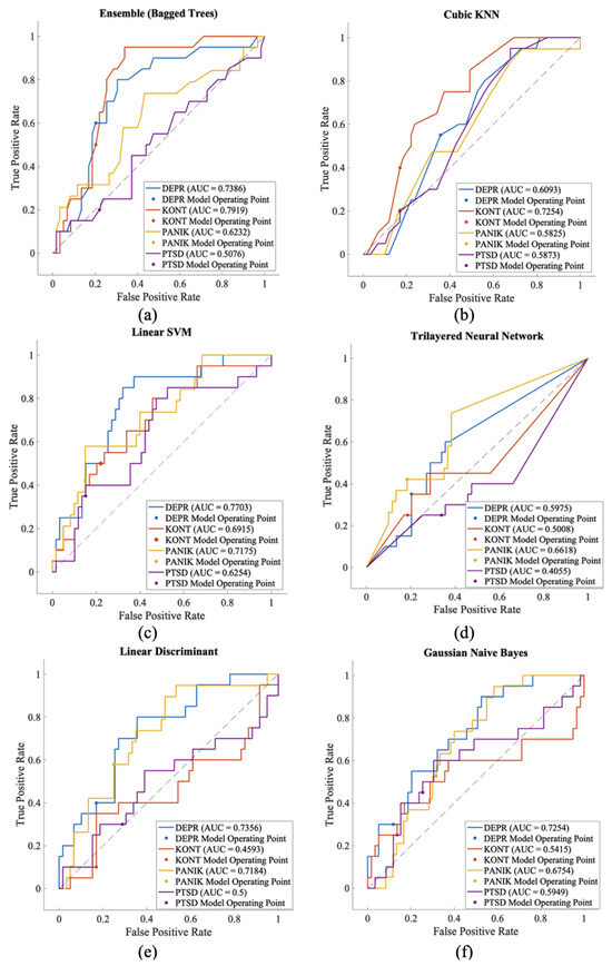
Background: PTSD diagnosis is challenging. Symptoms overlap with depression and panic attacks. This causes misdiagnosis and delayed treatment. Current methods lack objective biomarkers. This study presents a hybrid AI framework. It combines CNNs and SVMs. The system detects PTSD from ECG signals. Methods: ECG data from 79 participants were analyzed. Four groups were included. PTSD patients numbered 20. Depression patients numbered 20. Panic attack patients numbered 19. Healthy controls numbered 20. Wavelet transform created scalograms. Three CNN models were tested. AlexNet, GoogLeNet, and ResNet50 were used. Deep features were extracted. SVMs classified the features. Five-fold validation was performed. Statistical tests confirmed significance. Results: Hybrid models performed robustly. ResNet50 + SVM and AlexNet + SVM achieved statistically equivalent results with accuracies of 97.05% and 97.26%, respectively. AUC reached 1.00 for multi-class tasks. PTSD detection was highly accurate. The system distinguished PTSD from other disorders. Hybrid models beat standalone CNNs. SVM integration improved results significantly. Conclusions: This is the first ECG-based AI for PTSD diagnosis. The hybrid approach achieves clinical-level accuracy. PTSD is distinguished from depression and panic attacks. Objective biomarkers support psychiatric assessment. Early intervention becomes possible. Full article
(This article belongs to the Section Biosensors and Healthcare)
Show Figures

Figure 1

23 pages, 725 KB  
Article
From Sound to Risk: Streaming Audio Flags for Real-World Hazard Inference Based on AI
by Ilyas Potamitis
J. Sens. Actuator Netw. 2026, 15(1), 6; https://doi.org/10.3390/jsan15010006 - 1 Jan 2026
Viewed by 682
Abstract
Seconds count differently for people in danger. We present a real-time streaming pipeline for audio-based detection of hazardous life events affecting life and property. The system operates online rather than as a retrospective analysis tool. Its objective is to reduce the latency between [...] Read more.
Seconds count differently for people in danger. We present a real-time streaming pipeline for audio-based detection of hazardous life events affecting life and property. The system operates online rather than as a retrospective analysis tool. Its objective is to reduce the latency between the occurrence of a crime, conflict, or accident and the corresponding response by authorities. The key idea is to map reality as perceived by audio into a written story and question the text via a large language model. The method integrates streaming, zero-shot algorithms in an online decoding mode that convert sound into short, interpretable tokens, which are processed by a lightweight language model. CLAP text–audio prompting identifies agitation, panic, and distress cues, combined with conversational dynamics derived from speaker diarization. Lexical information is obtained through streaming automatic speech recognition, while general audio events are detected by a streaming version of Audio Spectrogram Transformer tagger. Prosodic features are incorporated using pitch- and energy-based rules derived from robust F0 tracking and periodicity measures. The system uses a large language model configured for online decoding and outputs binary (YES/NO) life-threatening risk decisions every two seconds, along with a brief justification and a final session-level verdict. The system emphasizes interpretability and accountability. We evaluate it on a subset of the X-Violence dataset, comprising only real-world videos. We release code, prompts, decision policies, evaluation splits, and example logs to enable the community to replicate, critique, and extend our blueprint. Full article
(This article belongs to the Topic Trends and Prospects in Security, Encryption and Encoding)
Show Figures

Figure 1

24 pages, 1427 KB  
Article
Multimodal Online Public Opinion Event Extraction and Trend Prediction for Edible Agricultural Products
by Yong Han, Zhenqiao Liu, Hongying Bai and Shaoyi Song
Electronics 2025, 14(24), 4813; https://doi.org/10.3390/electronics14244813 - 7 Dec 2025
Viewed by 326
Abstract
With the advent of the information age, food safety issues often trigger public panic and even disrupt social order. Traditional public opinion analysis methods struggle to handle massive amounts of data and effectively predict public sentiment trends. To address this problem, this paper [...] Read more.
With the advent of the information age, food safety issues often trigger public panic and even disrupt social order. Traditional public opinion analysis methods struggle to handle massive amounts of data and effectively predict public sentiment trends. To address this problem, this paper proposes a deep reinforcement learning-based method for predicting public opinion trends related to food safety. First, a multimodal event extraction method is designed to extract image information and fuse it with text to generate new textual information. Then, an event detection model is designed based on the HDBSCAN clustering algorithm to more accurately identify emerging issues in safety-sensitive areas. Finally, this paper proposes a deep reinforcement learning-based model to predict public sentiment trends regarding food safety. Experimental results show that, compared with traditional methods, the proposed method has higher accuracy and adaptability in handling sudden or delayed public opinion events. Full article
(This article belongs to the Section Networks)
Show Figures

Figure 1

19 pages, 3120 KB  
Article
Computer-Vision- and Edge-Enabled Real-Time Assistance Framework for Visually Impaired Persons with LPWAN Emergency Signaling
by Ghadah Naif Alwakid, Mamoona Humayun and Zulfiqar Ahmad
Sensors 2025, 25(22), 7016; https://doi.org/10.3390/s25227016 - 17 Nov 2025
Viewed by 566
Abstract
In recent decades, various assistive technologies have emerged to support visually impaired individuals. However, there remains a gap in terms of solutions that provide efficient, universal, and real-time capabilities by combining robust object detection, robust communication, continuous data processing, and emergency signaling in [...] Read more.
In recent decades, various assistive technologies have emerged to support visually impaired individuals. However, there remains a gap in terms of solutions that provide efficient, universal, and real-time capabilities by combining robust object detection, robust communication, continuous data processing, and emergency signaling in dynamic environments. In many existing systems, trade-offs are made in range, latency, or reliability when applied in changing outdoor or indoor scenarios. In this study, we propose a comprehensive framework specifically tailored for visually impaired people, integrating computer vision, edge computing, and a dual-channel communication architecture including low-power wide-area network (LPWAN) technology. The system utilizes the YOLOv5 deep-learning model for the real-time detection of obstacles, paths, and assistive tools (such as the white cane) with high performance: precision 0.988, recall 0.969, and mAP 0.985. Implementation of edge-computing devices is introduced to offload computational load from central servers, enabling fast local processing and decision-making. The communications subsystem uses Wi-Fi as the primary link, while a LoRaWAN channel acts as a fail-safe emergency alert network. An IoT-based panic button is incorporated to transmit immediate location-tagged alerts, enabling rapid response by authorities or caregivers. The experimental results demonstrate the system’s low latency and reliable operations under varied real-world conditions, indicating significant potential to improve independent mobility and quality of life for visually impaired people. The proposed solution offers cost-effective and scalable architecture suitable for deployment in complex and challenging environments where real-time assistance is essential. Full article
(This article belongs to the Special Issue Technological Advances for Sensing in IoT-Based Networks)
Show Figures

Figure 1

1541 KB  
Proceeding Paper
Enhancing Fire Alarm Systems Using Edge Machine Learning for Smoke Classification and False Alarm Reduction
by Abdulrhman Alshaya and Abdullah Almutairi
Eng. Proc. 2025, 118(1), 24; https://doi.org/10.3390/ECSA-12-26524 - 7 Nov 2025
Viewed by 195
Abstract
Traditional fire alarm systems use smoke sensors to monitor the concentration of smoke particles in the air. If the concentration exceeds a certain threshold, an alarm signal is triggered. However, this detection process could lead to false fire alarms, causing unnecessary evacuations and [...] Read more.
Traditional fire alarm systems use smoke sensors to monitor the concentration of smoke particles in the air. If the concentration exceeds a certain threshold, an alarm signal is triggered. However, this detection process could lead to false fire alarms, causing unnecessary evacuations and panic among residents. False alarms may result from activities such as smoking in non-smoking areas, burning Oud, or cooking smoke. In this study, a deep neural network (DNN) model was trained to classify three types of smokes that were Oud, cigarette, and burning tissue smokes. The offline prediction accuracy of this model was 97.5%. The size of the model after converting it to TensorFlow lite was 4.7 Kbytes. It can also be converted to a tiny model to deploy it on microcontroller. Full article
Show Figures

Figure 1

41 pages, 8385 KB  
Article
A Facial-Expression-Aware Edge AI System for Driver Safety Monitoring
by Maram A. Almodhwahi and Bin Wang
Sensors 2025, 25(21), 6670; https://doi.org/10.3390/s25216670 - 1 Nov 2025
Viewed by 1682
Abstract
Road safety has emerged as a global issue, driven by the rapid rise in vehicle ownership and traffic congestion. Human error, like distraction, drowsiness, and panic, is the leading cause of road accidents. Conventional driver monitoring systems (DMSs) frequently fail to detect these [...] Read more.
Road safety has emerged as a global issue, driven by the rapid rise in vehicle ownership and traffic congestion. Human error, like distraction, drowsiness, and panic, is the leading cause of road accidents. Conventional driver monitoring systems (DMSs) frequently fail to detect these emotional and cognitive states, limiting their potential to prevent accidents. To overcome these challenges, this work proposes a robust deep learning-based DMS framework capable of real-time detection and response to emotion-driven driver behaviors that pose safety risks. The proposed system employs convolutional neural networks (CNNs), specifically the Inception module and a Caffe-based ResNet-10 with a Single Shot Detector (SSD), to achieve efficient, accurate facial detection and classification. The DMS is trained on a comprehensive and diverse dataset from various public and private sources, ensuring robustness across a wide range of emotions and real-world driving scenarios. This approach enables the model to achieve an overall accuracy of 98.6%, an F1 score of 0.979, a precision of 0.980, and a recall of 0.979 across the four emotional states. Compared with existing techniques, the proposed model strikes an effective balance between computational efficiency and complexity, enabling the precise recognition of driving-relevant emotions, making it a practical and high-performing solution for real-world in-car driver monitoring systems. Full article
(This article belongs to the Special Issue Applications of Sensors Based on Embedded Systems)
Show Figures

Figure 1

21 pages, 4777 KB  
Article
Harnessing Semantic and Trajectory Analysis for Real-Time Pedestrian Panic Detection in Crowded Micro-Road Networks
by Rongyong Zhao, Lingchen Han, Yuxin Cai, Bingyu Wei, Arifur Rahman, Cuiling Li and Yunlong Ma
Appl. Sci. 2025, 15(10), 5394; https://doi.org/10.3390/app15105394 - 12 May 2025
Viewed by 1098
Abstract
Pedestrian panic behavior is a primary cause of overcrowding and stampede accidents in public micro-road network areas with high pedestrian density. However, reliably detecting such behaviors remains challenging due to their inherent complexity, variability, and stochastic nature. Current detection models often rely on [...] Read more.
Pedestrian panic behavior is a primary cause of overcrowding and stampede accidents in public micro-road network areas with high pedestrian density. However, reliably detecting such behaviors remains challenging due to their inherent complexity, variability, and stochastic nature. Current detection models often rely on single-modality features, which limits their effectiveness in complex and dynamic crowd scenarios. To overcome these limitations, this study proposes a contour-driven multimodal framework that first employs a CNN (CDNet) to estimate density maps and, by analyzing steep contour gradients, automatically delineates a candidate panic zone. Within these potential panic zones, pedestrian trajectories are analyzed through LSTM networks to capture irregular movements, such as counterflow and nonlinear wandering behaviors. Concurrently, semantic recognition based on Transformer models is utilized to identify verbal distress cues extracted through Baidu AI’s real-time speech-to-text conversion. The three embeddings are fused through a lightweight attention-enhanced MLP, enabling end-to-end inference at 40 FPS on a single GPU. To evaluate branch robustness under streaming conditions, the UCF Crowd dataset (150 videos without panic labels) is processed frame-by-frame at 25 FPS solely for density assessment, whereas full panic detection is validated on 30 real Itaewon-Stampede videos and 160 SUMO/Unity simulated emergencies that include explicit panic annotations. The proposed system achieves 91.7% accuracy and 88.2% F1 on the Itaewon set, outperforming all single- or dual-modality baselines and offering a deployable solution for proactive crowd safety monitoring in transport hubs, festivals, and other high-risk venues. Full article
Show Figures

Figure 1

20 pages, 3618 KB  
Article
Crowd Evacuation in Stadiums Using Fire Alarm Prediction
by Afnan A. Alazbah, Osama Rabie and Abdullah Al-Barakati
Sensors 2025, 25(9), 2810; https://doi.org/10.3390/s25092810 - 29 Apr 2025
Viewed by 2574
Abstract
Ensuring rapid and efficient evacuation in high-density environments, such as stadiums, is critical for public safety during fire emergencies. Traditional fire alarm systems rely on reactive detection mechanisms, often resulting in delayed response times, increased panic, and overcrowding. This study introduces an AI-driven [...] Read more.
Ensuring rapid and efficient evacuation in high-density environments, such as stadiums, is critical for public safety during fire emergencies. Traditional fire alarm systems rely on reactive detection mechanisms, often resulting in delayed response times, increased panic, and overcrowding. This study introduces an AI-driven predictive fire alarm and evacuation model that leverages machine learning algorithms and real-time environmental sensor data to anticipate fire hazards before ignition, improving emergency response efficiency. To detect early fire risk indicators, the system processes data from 62,630 sensor measurements across 15 ecological parameters, including temperature, humidity, total volatile organic compounds (TVOC), CO2 levels, and particulate matter. A comparative analysis of six machine learning models—Logistic Regression, Support Vector Machines (SVM), Random Forest, and proposed EvacuNet—demonstrates that EvacuNet outperforms all other models, achieving an accuracy of 99.99%, precision of 1.00, recall of 1.00, and an AUC-ROC score close to 1.00. The predictive alarm system significantly reduces false alarm rates and enhances fire detection speed, allowing emergency responders to take preemptive action. Moreover, integrating AI-driven evacuation optimization minimizes bottlenecks and congestion, reduces evacuation times, and improves structured crowd movement. These findings underscore the necessity of intelligent fire detection systems in high-occupancy venues, demonstrating that AI-based predictive modeling can drastically improve fire response and evacuation efficiency. Future research should focus on integrating IoT-enabled emergency navigation, reinforcement learning algorithms, and real-time crowd management systems to further enhance predictive accuracy and minimize casualties. By adopting such advanced technologies, large-scale venues can significantly improve emergency preparedness, reduce evacuation delays, and enhance public safety. Full article
(This article belongs to the Section Internet of Things)
Show Figures

Figure 1

27 pages, 3907 KB  
Article
Detecting Disinformation in Croatian Social Media Comments
by Igor Ljubi, Zdravko Grgić, Marin Vuković and Gordan Gledec
Future Internet 2025, 17(4), 178; https://doi.org/10.3390/fi17040178 - 17 Apr 2025
Viewed by 1339
Abstract
The frequency with which fake news or misinformation is published on social networks is constantly increasing. Users of social networks are confronted with many different posts every day, often with sensationalist titles and content of dubious veracity. The problem is particularly common in [...] Read more.
The frequency with which fake news or misinformation is published on social networks is constantly increasing. Users of social networks are confronted with many different posts every day, often with sensationalist titles and content of dubious veracity. The problem is particularly common in times of sensitive social or political situations, such as epidemics of contagious diseases or elections. As such messages can have an impact on democratic processes or cause panic among the population, many countries and the European Commission itself have recently stepped up their activities to combat disinformation campaigns on social networks. Since previous research has shown that there are no tools available to combat disinformation in the Croatian language, we proposed a framework to detect potentially misinforming content in the comments on social media. The case study was conducted with real public comments published on Croatian Facebook pages. The initial results of this framework were encouraging as it can successfully classify and detect disinformation content. Full article
(This article belongs to the Collection Information Systems Security)
Show Figures

Figure 1

20 pages, 2984 KB  
Systematic Review
Digital Cognitive Behavioral Therapy for Panic Disorder and Agoraphobia: A Meta-Analytic Review of Clinical Components to Maximize Efficacy
by Han Wool Jung, Ki Won Jang, Sangkyu Nam, Areum Kim, Junghoon Lee, Moo Eob Ahn, Sang-Kyu Lee, Yeo Jin Kim, Jae-Kyoung Shin and Daeyoung Roh
J. Clin. Med. 2025, 14(5), 1771; https://doi.org/10.3390/jcm14051771 - 6 Mar 2025
Cited by 5 | Viewed by 9695
Abstract
Background: Although digital cognitive behavioral therapy (dCBT) is considered effective for anxiety disorders, there is considerable heterogeneity in its efficacy across studies, and its varied treatment content and clinical components may explain such heterogeneity. Objective: This review aimed to identify the [...] Read more.
Background: Although digital cognitive behavioral therapy (dCBT) is considered effective for anxiety disorders, there is considerable heterogeneity in its efficacy across studies, and its varied treatment content and clinical components may explain such heterogeneity. Objective: This review aimed to identify the efficacy of digital cognitive behavioral therapy for panic disorder and agoraphobia, and examine whether applying relevant clinical components of interoceptive exposure, inhibitory-learning-based exposure, and personalization of treatment enhances its efficacy. Methods: Randomized controlled trials of dCBT for panic disorder and agoraphobia with passive or active controls were identified from OVID Medline, Embase, Cochrane Library, and PsycINFO. The overall effect sizes for dCBT groups (interventions through digital platforms based on the internet, mobile, computers, VR, etc.) were aggregated against passive control (placebo/sham) and active control (traditional CBT) groups. For subgroup analysis, key intervention components such as interoceptive exposure, inhibitory learning, and personalization were assessed dichotomously (0 or 1) along with other study characteristics. The stepwise meta-regression models were applied with traditional and Bayesian statistical testing. The risk of bias and publication bias of included studies were assessed. Results: Among the 31 selected studies, dCBT had an overall effect size of g = 0.70 against passive control and g = −0.05 against active control. In subgroup analysis, interoceptive exposure improved the clinical effects for both controls, and inhibitory learning and personalization increased the clinical effects for passive control along with therapist guide/support and the length of sessions. Many studies were vulnerable to therapist bias and attrition bias. No publication bias was detected. Conclusions: The heterogeneity in clinical effects of dCBT for panic and agoraphobia can be explained by the different intervention factors they include. For effective dCBT, therapists should consider the clinical components relevant to the treatment. Full article
(This article belongs to the Special Issue Treatment Personalization in Clinical Psychology and Psychotherapy)
Show Figures

Graphical abstract

28 pages, 32104 KB  
Article
Real-Time Detection, Evaluation, and Mapping of Crowd Panic Emergencies Based on Geo-Biometrical Data and Machine Learning
by Ilias Lazarou, Anastasios L. Kesidis and Andreas Tsatsaris
Digital 2025, 5(1), 2; https://doi.org/10.3390/digital5010002 - 8 Jan 2025
Cited by 1 | Viewed by 4958
Abstract
Crowd panic emergencies can pose serious risks to public safety, and effective detection and mapping of such events are crucial for rapid response and mitigation. In this paper, we propose a real-time system for detecting and mapping crowd panic emergencies based on machine [...] Read more.
Crowd panic emergencies can pose serious risks to public safety, and effective detection and mapping of such events are crucial for rapid response and mitigation. In this paper, we propose a real-time system for detecting and mapping crowd panic emergencies based on machine learning and georeferenced biometric data from wearable devices and smartphones. The system uses a Gaussian SVM machine learning classifier to predict whether a person is stressed or not and then performs real-time spatial analysis to monitor the movement of stressed individuals. To further enhance emergency detection and response, we introduce the concept of CLOT (Classifier Confidence Level Over Time) as a parameter that influences the system’s noise filtering and detection speed. Concurrently, we introduce a newly developed metric called DEI (Domino Effect Index). The DEI is designed to assess the severity of panic-induced crowd behavior by considering factors such as the rate of panic transmission, density of panicked people, and alignment with the road network. This metric offers immeasurable benefits by assessing the magnitude of the cascading impact, enabling emergency responders to quickly determine the severity of the event and take necessary actions to prevent its escalation. Based on individuals’ trajectories and adjacency, the system produces dynamic areas that represent the development of the phenomenon’s spatial extent in real time. The results show that the proposed system is effective in detecting and mapping crowd panic emergencies in real time. The system generates three types of dynamic areas: a dynamic Crowd Panic Area based on the initial stressed locations of the persons, a dynamic Crowd Panic Area based on the current stressed locations of the persons, and the dynamic geometric difference between these two. These areas provide emergency responders with a real-time understanding of the extent and development of the crowd panic emergency, allowing for a more targeted and effective response. By incorporating the CLOT and the DEI, emergency responders can better understand crowd behavior and develop more effective response strategies to mitigate the risks associated with panic-induced crowd movements. In conclusion, our proposed system, enhanced by the incorporation of these two new metrics, proves to be a dependable and efficient tool for detecting, mapping, and assessing the severity of crowd panic emergencies, leading to a more efficient response and ultimately safeguarding public safety. Full article
(This article belongs to the Special Issue Hybrid Artificial Intelligence for Systems and Applications)
Show Figures

Figure 1

8 pages, 6608 KB  
Case Report
Superficial Anaplastic Lymphoma Kinase-Rearranged Myxoid Spindle Cell Neoplasm in the Buttock: A Case Report
by Jong-Hyup Kim, In-Chang Koh, Hoon Kim, Soo-Yeon Lim, Joon-Hyuk Choi and Kun-Young Kwon
J. Pers. Med. 2024, 14(8), 858; https://doi.org/10.3390/jpm14080858 - 13 Aug 2024
Cited by 3 | Viewed by 1658
Abstract
Anaplastic lymphoma kinase (ALK) is detected in both normal and oncological developmental tissues. Among ALK-related tumors, superficial ALK-rearranged myxoid spindle cell neoplasm (SAMS) is a rare, soft tissue tumor characterized by the immunophenotypical co-expression of CD34 and S100. Here, we describe a patient [...] Read more.
Anaplastic lymphoma kinase (ALK) is detected in both normal and oncological developmental tissues. Among ALK-related tumors, superficial ALK-rearranged myxoid spindle cell neoplasm (SAMS) is a rare, soft tissue tumor characterized by the immunophenotypical co-expression of CD34 and S100. Here, we describe a patient with this rare tumor and outline its clinical and radiological characteristics. A 28-year-old woman with diabetes, hypertension, and panic disorder presented with discomfort caused by a rubbery mass on the left buttock that had persisted for 10 years. Computed tomography revealed a multilobulated hypodense mass with small internal enhancing foci, posing challenges for the exact diagnosis of the lesion. The entire lesion was excised with clear resection margins. An 8.0 × 6.0 cm, well-circumscribed tumor with a lobular growth pattern was observed in the deep subcutaneous tissue. Light microscopy revealed epithelioid, ovoid, and spindle-shaped cells with a reticular cordlike pattern. Immunohistochemistry results were positive for S100, CD34, and vimentin. Break-apart fluorescence in situ hybridization assay results for ALK were also positive. These findings were consistent with those of SAMS. This case suggests that SAMS should be considered when identifying large nonspecific masses during clinical and imaging evaluation. Full article
Show Figures

Figure 1

16 pages, 1438 KB  
Article
Secure Monitoring System for IoT Healthcare Data in the Cloud
by Christos L. Stergiou, Andreas P. Plageras, Vasileios A. Memos, Maria P. Koidou and Konstantinos E. Psannis
Appl. Sci. 2024, 14(1), 120; https://doi.org/10.3390/app14010120 - 22 Dec 2023
Cited by 15 | Viewed by 7869
Abstract
Even though the field of medicine has made great strides in recent years, infectious diseases caused by novel viruses that damage the respiratory system continue to plague people all over the world. This type of virus is very dangerous, especially for people with [...] Read more.
Even though the field of medicine has made great strides in recent years, infectious diseases caused by novel viruses that damage the respiratory system continue to plague people all over the world. This type of virus is very dangerous, especially for people with serious long-term breathing problems like asthma, pneumonia, or bronchitis infections. Thus, this paper demonstrates a new secure machine learning monitoring system for a model for virus detection. Our proposed model makes use of four basic emerging technologies, the Internet of Things (IoT), Wireless Sensor Networks (WSN), Cloud Computing (CC), and Machine Learning (ML), to detect dangerous types of viruses that infect people or animals causing panic worldwide and deregulating human daily life. The proposed system is a robust system that could be established in various buildings, like hospitals, entertainment halls, universities, etc., and will provide accuracy, speed, and privacy for data collected in the detection of viruses. Full article
(This article belongs to the Special Issue Big Data Delivery, Management, and Analysis over IoT)
Show Figures

Figure 1

19 pages, 4151 KB  
Article
Adaptive Spatial–Temporal and Knowledge Fusing for Social Media Rumor Detection
by Hui Li, Guimin Huang, Cheng Li, Jun Li and Yabing Wang
Electronics 2023, 12(16), 3457; https://doi.org/10.3390/electronics12163457 - 15 Aug 2023
Cited by 3 | Viewed by 1844
Abstract
With the growth of the internet and popularity of mobile devices, propagating rumors on social media has become increasingly easy. Widespread rumors may cause public panic and have adverse effects on individuals. Recently, researchers have found that external knowledge is useful for detecting [...] Read more.
With the growth of the internet and popularity of mobile devices, propagating rumors on social media has become increasingly easy. Widespread rumors may cause public panic and have adverse effects on individuals. Recently, researchers have found that external knowledge is useful for detecting rumors. They usually use statistical approaches to calculate the importance of different knowledge for the post. However, these methods cannot aggregate the knowledge information most beneficial for detecting rumors. Second, the importance of propagation and knowledge information for discriminating rumors differs among temporal stages. Existing methods usually use a simple concatenation of two kinds of information as feature representation. However, this approach lacks effective integration of propagation information and knowledge information. In this paper, we propose a rumor detection model, Adaptive Spatial-Temporal and Knowledge fusing Network (ASTKN). In order to adaptively aggregate knowledge information, ASTKN employs dynamic graph attention networks encoding the temporal knowledge structure. To better fuse propagation structure information and knowledge structure information, we introduce a new attention mechanism to fuse the two types of information dynamically. Extensive experiments on two public real-world datasets show that our proposal yields significant improvements compared to strong baselines and that it can detect rumors at early stages. Full article
(This article belongs to the Section Artificial Intelligence)
Show Figures

Figure 1

21 pages, 1783 KB  
Article
Diagnosis of Monkeypox Disease Using Transfer Learning and Binary Advanced Dipper Throated Optimization Algorithm
by Amal H. Alharbi, S. K. Towfek, Abdelaziz A. Abdelhamid, Abdelhameed Ibrahim, Marwa M. Eid, Doaa Sami Khafaga, Nima Khodadadi, Laith Abualigah and Mohamed Saber
Biomimetics 2023, 8(3), 313; https://doi.org/10.3390/biomimetics8030313 - 16 Jul 2023
Cited by 31 | Viewed by 3765
Abstract
The virus that causes monkeypox has been observed in Africa for several years, and it has been linked to the development of skin lesions. Public panic and anxiety have resulted from the deadly repercussions of virus infections following the COVID-19 pandemic. Rapid detection [...] Read more.
The virus that causes monkeypox has been observed in Africa for several years, and it has been linked to the development of skin lesions. Public panic and anxiety have resulted from the deadly repercussions of virus infections following the COVID-19 pandemic. Rapid detection approaches are crucial since COVID-19 has reached a pandemic level. This study’s overarching goal is to use metaheuristic optimization to boost the performance of feature selection and classification methods to identify skin lesions as indicators of monkeypox in the event of a pandemic. Deep learning and transfer learning approaches are used to extract the necessary features. The GoogLeNet network is the deep learning framework used for feature extraction. In addition, a binary implementation of the dipper throated optimization (DTO) algorithm is used for feature selection. The decision tree classifier is then used to label the selected set of features. The decision tree classifier is optimized using the continuous version of the DTO algorithm to improve the classification accuracy. Various evaluation methods are used to compare and contrast the proposed approach and the other competing methods using the following metrics: accuracy, sensitivity, specificity, p-Value, N-Value, and F1-score. Through feature selection and a decision tree classifier, the following results are achieved using the proposed approach; F1-score of 0.92, sensitivity of 0.95, specificity of 0.61, p-Value of 0.89, and N-Value of 0.79. The overall accuracy of the proposed methodology after optimizing the parameters of the decision tree classifier is 94.35%. Furthermore, the analysis of variation (ANOVA) and Wilcoxon signed rank test have been applied to the results to investigate the statistical distinction between the proposed methodology and the alternatives. This comparison verified the uniqueness and importance of the proposed approach to Monkeypox case detection. Full article
(This article belongs to the Special Issue Nature-Inspired Computer Algorithms)
Show Figures

Figure 1

Back to TopTop