Sign in to use this feature.

Years

Between: -

Subjects

remove_circle_outline
remove_circle_outline
remove_circle_outline
remove_circle_outline
remove_circle_outline
remove_circle_outline
remove_circle_outline
remove_circle_outline
remove_circle_outline

Journals

remove_circle_outline
remove_circle_outline
remove_circle_outline
remove_circle_outline

Article Types

Countries / Regions

remove_circle_outline
remove_circle_outline
remove_circle_outline
remove_circle_outline
remove_circle_outline

Search Results (1,035)

Search Parameters:
Keywords = economic dispatch

Order results
Result details
Results per page
Select all
Export citation of selected articles as:
13 pages, 492 KB  
Review
Review of Degradation Models of Battery Energy Storage for Potential Integration into Unit Commitment Problems
by Rhianna Maakestad, Farhan Hyder, Gharvin Ramnarase and Bing Yan
Energies 2026, 19(6), 1425; https://doi.org/10.3390/en19061425 - 12 Mar 2026
Abstract
As renewable energy penetration accelerates, battery energy storage systems have become essential for enhancing flexibility, reliability, and economic efficiency in power system operations. For the daily operations of grids, the unit commitment (UC) problem plays a central role in determining the optimized scheduling [...] Read more.
As renewable energy penetration accelerates, battery energy storage systems have become essential for enhancing flexibility, reliability, and economic efficiency in power system operations. For the daily operations of grids, the unit commitment (UC) problem plays a central role in determining the optimized scheduling of generation resources, but current formulations rarely incorporate battery degradation dynamics. The accurate representation of battery aging is crucial, as degradation costs may influence dispatch. This review provides a synthesis of existing approaches for integrating battery degradation into UC formulations. We survey and compare major classes of degradation models and then examine how these models have been embedded into UC frameworks, highlighting trade-offs between modeling accuracy and tractability. This paper concludes with identified research gaps and recommendations for future UC formulations that more faithfully capture battery degradation while maintaining computational efficiency. This review aims to serve as a foundation for researchers and system operators seeking to incorporate realistic battery aging mechanisms into operational decision-making for the evolving low-carbon grid. Full article
(This article belongs to the Section D: Energy Storage and Application)
Show Figures

Figure 1

29 pages, 1908 KB  
Article
A Sustainable Optimization Framework for Demand-Side Energy Scheduling in Grid-Connected Microgrid Management System
by Kayode Ebenezer Ojo, Akshay Kumar Saha and Viranjay M. Srivastava
Sustainability 2026, 18(6), 2763; https://doi.org/10.3390/su18062763 - 12 Mar 2026
Abstract
The growing integration of renewable energy sources in grid-connected microgrids (MG) has made it increasingly challenging to attain the most cost-effective and emission-efficient power dispatch in the face of uncertainty. This study addresses the scheduling problem of MG under utility-induced demand side load [...] Read more.
The growing integration of renewable energy sources in grid-connected microgrids (MG) has made it increasingly challenging to attain the most cost-effective and emission-efficient power dispatch in the face of uncertainty. This study addresses the scheduling problem of MG under utility-induced demand side load participation level for residential areas. Our research overcomes the constraints of conventional techniques by utilizing quantum-inspired particle swarm optimization (QPSO) to improve the operational efficiency and resilience of MG’s. In this study, a three-stage stochastic framework is proposed to address the optimal energy scheduling of MGs while taking economic and emission aspects into account. Using real-time meteorological data, five Cases were investigated and simulated using MATLAB/Simulink. Without the involvement of load participation, MG’s producing units in first Case, had carbon emissions of 797.110 kg and an operating cost of 267.10 €. Similar to this, the impact of demand side on the MG was evaluated in the remaining Cases. According to the simulation results, the fifth Case, which has optimal DGs scheduling, is the suggested way to improve MGs efficiency and provide a dependable power supply with low operating costs, emission reduction, and convergence features. This study not only demonstrates the practicality of QPSO algorithms but also paves the way for more resilient, efficient, and sustainable energy systems. Full article
Show Figures

Figure 1

17 pages, 1159 KB  
Article
A Multi-Objective Dispatch Model for Polygeneration Systems with BESS and Industrial Demand Profiles
by Jhonatan Chicacausa-Niño, Ricardo Isaza-Ruget and Javier Rosero-García
Processes 2026, 14(6), 891; https://doi.org/10.3390/pr14060891 - 10 Mar 2026
Abstract
The transition towards sustainable energy systems requires a paradigm shift from purely economic optimization to a holistic framework that internalizes environmental and social externalities. This article integrates social and environmental aspects into the multi-objective dispatch model based on mixed-integer linear programming (MILP) for [...] Read more.
The transition towards sustainable energy systems requires a paradigm shift from purely economic optimization to a holistic framework that internalizes environmental and social externalities. This article integrates social and environmental aspects into the multi-objective dispatch model based on mixed-integer linear programming (MILP) for the economic, environmental, and social dispatch (EEDS) of a polygeneration microgrid. Unlike traditional approaches that treat social impact as a static planning constraint, this study introduces a quantified “Social Shadow Price” into the operational objective function, aiming to operationalize the concept of energy justice. The model is applied to a case study featuring a high-load factor industrial demand profile, integrated with thermal generation, solar PV, wind power, and BESS storage. Results demonstrate that internalizing environmental and social costs significantly alters the merit order dispatch, reducing the utilization of socially contentious technologies while leveraging storage arbitrage to mitigate intermittency. Furthermore, a sensitivity analysis is conducted to determine the optimal capacity of renewable energy sources, revealing that a balanced mix of solar and wind minimizes the composite sustainability index. The findings suggest that this EEDS framework provides a viable pathway for policymakers to achieve a socially equitable energy transition in industrial sectors. Full article
(This article belongs to the Special Issue Optimization and Analysis of Energy System)
Show Figures

Figure 1

26 pages, 3049 KB  
Article
Multi-Objective Economic, Environmental, and Social Dispatch (EEDS) Model for Polygeneration Systems with Renewable Sources and Energy Storage Under Mixed Demand Profiles
by Jhonatan Chicacausa-Niño, Ricardo Isaza-Ruget and Javier Rosero-García
Sustainability 2026, 18(6), 2698; https://doi.org/10.3390/su18062698 - 10 Mar 2026
Abstract
Conventional dispatch models, which are primarily focused on cost minimization, prove insufficient to address the multidimensional challenges of a Just Energy Transition. In order to address this discrepancy, the present paper puts forth the Economic, Environmental, and Social Dispatch (EEDS) model. The EEDS [...] Read more.
Conventional dispatch models, which are primarily focused on cost minimization, prove insufficient to address the multidimensional challenges of a Just Energy Transition. In order to address this discrepancy, the present paper puts forth the Economic, Environmental, and Social Dispatch (EEDS) model. The EEDS model is a Mixed-Integer Linear Programming (MILP) Unit Commitment formulation that explicitly incorporates socio-environmental externalities. The methodology implements a two-stage rolling horizon simulator (Day-Ahead and Real-Time) with high temporal resolution (5 min), validated on a polygeneration microgrid integrated with Battery Energy Storage Systems (BESS). The numerical results indicate that the incorporation of quantified social costs substantially modifies the merit order, effectively displacing technologies that are deemed to be socially regressive. Moreover, the analysis demonstrates that demand morphology is a pivotal factor in determining system performance, achieving zero Unserved Energy (ENS) and competitive prices across diverse profiles. Finally, the application of scenario analysis demonstrates that BESS is essential for managing diverse demand morphologies and moderating price volatility across different operational contexts. Therefore, the EEDS framework provides a rigorous quantitative foundation upon which economic efficiency, sustainability, and operational social justice can be balanced. Full article
Show Figures

Figure 1

26 pages, 14153 KB  
Article
Sustainability-Oriented Multi-Objective Low-Carbon Dispatch for an Electricity–Hydrogen Coupling Multi-Microgrid
by Zhiming Lu, Shuai Geng and Jiayu Wang
Sustainability 2026, 18(5), 2665; https://doi.org/10.3390/su18052665 - 9 Mar 2026
Viewed by 116
Abstract
To enhance the sustainable operation of electricity–hydrogen coupling multi-microgrids (EHCMMG), this study proposes a multi-objective dispatch optimization framework driven by electricity price prediction. Although EHCMMG plays a vital role in renewable energy integration and multi-energy synergy, three major sustainability-related research gaps remain: insufficient [...] Read more.
To enhance the sustainable operation of electricity–hydrogen coupling multi-microgrids (EHCMMG), this study proposes a multi-objective dispatch optimization framework driven by electricity price prediction. Although EHCMMG plays a vital role in renewable energy integration and multi-energy synergy, three major sustainability-related research gaps remain: insufficient consideration of cross-regional, multi-market, and multi-stakeholder interests; inadequate electricity–hydrogen demand response mechanisms; and limited investigation of uncertainty modeling that balances economy and security. To address these issues, this study first designs an EHCMMG architecture that supports electric-hydrogen interactions both within and outside the cluster. An electricity price prediction-driven multi-objective dispatch optimization model oriented toward multiple stakeholders is then proposed. This model incorporates incentive-based electricity–hydrogen demand response and constraints on carbon emissions. Moreover, operational uncertainties arising from renewable energy generation are addressed through the coordinated integration of spinning reserve capacity constraint and chance-constrained programming. The results show that the cluster cost, the market integrated operator (MIO) net revenue, user energy cost, and total carbon emissions are CNY 17.502 million, CNY 12.684 million, CNY 5.556 million, and 8168.126 tons in baseline scenario, respectively. The proposed model effectively balances economic efficiency, operational reliability, and low-carbon performance, thereby enhancing the overall sustainability of the EHCMMG. Full article
Show Figures

Figure 1

31 pages, 2797 KB  
Article
Safe Soft Actor–Critic for Online Transmission Interface Power Flow Control
by Ji Zhang, Liudong Zhang, Qi Li, Di Shi and Yi Wang
Energies 2026, 19(5), 1358; https://doi.org/10.3390/en19051358 - 7 Mar 2026
Viewed by 167
Abstract
The rapid development of a new-type power system dominated by renewable energy has introduced growing complexity and variability into grid topology and dynamics, posing significant challenges for transmission interface power flow control. Traditional regulation methods based on operator experience and deterministic optimization often [...] Read more.
The rapid development of a new-type power system dominated by renewable energy has introduced growing complexity and variability into grid topology and dynamics, posing significant challenges for transmission interface power flow control. Traditional regulation methods based on operator experience and deterministic optimization often fail to achieve real-time optimality under such dynamic conditions. Leveraging its strong capability for autonomous learning and feature perception, deep reinforcement learning (DRL) offers a promising approach for addressing these challenges. This paper proposes a safe DRL-based control framework for online transmission interface power flow regulation. A Safe Soft Actor–Critic (SSAC) agent is developed, embedding power system security constraints directly into the decision process to ensure operational safety. A secure EMS-interactive training platform with containerized parallel learning is established to accelerate model convergence and improve adaptability to changing operating conditions. The developed SSAC agent is deployed in the Jiangsu Power Grid Energy Management System (EMS) for validation. Simulation and field test results demonstrate that the proposed method can generate control strategies online within milliseconds, achieving a 99.3% interface overload mitigation rate and 3.32% network loss reduction, outperforming conventional sensitivity-based optimization methods in both timeliness and economic efficiency. These results demonstrate strong real-time computational capability and compatibility with EMS-based dispatch workflows, indicating promising practical deployment potential for transmission interface control in renewable-dominated power systems. Full article
Show Figures

Figure 1

34 pages, 4462 KB  
Article
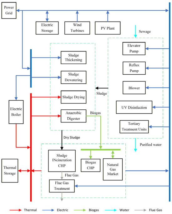
Multi-Scenario Dispatch Characteristics and Water Quality Parameter Sensitivity of Virtual Power Plants Based on Sewage–Sludge Co-Treatment
by Xiuyun Wang, Xunqi Yu and Rutian Wang
Energies 2026, 19(5), 1356; https://doi.org/10.3390/en19051356 - 7 Mar 2026
Viewed by 188
Abstract
With the accelerating urbanization process, traditional wastewater treatment plants are facing dual challenges of high energy consumption and high carbon emissions. To address the current research gaps in studies regarding the overlooked synergistic potential of sludge, the unclear quantification of regulation capacity, and [...] Read more.
With the accelerating urbanization process, traditional wastewater treatment plants are facing dual challenges of high energy consumption and high carbon emissions. To address the current research gaps in studies regarding the overlooked synergistic potential of sludge, the unclear quantification of regulation capacity, and the insufficient analysis of multi-scenario adaptability in wastewater treatment plants, this paper integrates carbon emission costs, wastewater grading, and a multi-energy complementary mechanism to establish a VPP dispatch optimization model incorporating sewage–sludge co-treatment. The superiority and robustness of the co-dispatch model are validated through simulations across multiple seasonal scenarios (dry, wet, and normal seasons) and various water quality parameters. The results indicate that the co-treatment mode can significantly enhance system revenue (with an increase of up to 34.3% in the wet season), reduce carbon emissions (with a reduction rate exceeding 57% across all seasons), and improve grid regulation potential (with upward and downward regulation potentials increasing by 248% and 288%, respectively, in the wet season). Furthermore, variations in water quality exert a notable nonlinear impact on the system’s economic performance, environmental benefits, and regulation capacity. As the water quality concentration increases, the system’s dispatch strategy gradually shifts from prioritizing “peak-shaving benefits” to prioritizing “carbon cost control”. Full article
(This article belongs to the Special Issue Wastewater Treatment and Energy Conversion)
Show Figures

Figure 1

24 pages, 2269 KB  
Article
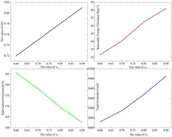
Coordinated Dispatch Strategy for Source-Grid-Load-Storage in Active Distribution Networks Driven by Zero-Carbon Goals
by Yutong Wu, Faju Jin, Changguo Yao, Yi Zheng, Shufang Zhou and Zhe Wu
Processes 2026, 14(5), 853; https://doi.org/10.3390/pr14050853 - 6 Mar 2026
Viewed by 191
Abstract
With the continuous advancement of the construction of new power systems, the coordinated development of source-grid-load-storage has become imperative. This paper proposes a coordinated dispatch strategy for source-grid-load-storage in active distribution networks oriented toward zero-carbon goals. First, this paper introduces the concepts of [...] Read more.
With the continuous advancement of the construction of new power systems, the coordinated development of source-grid-load-storage has become imperative. This paper proposes a coordinated dispatch strategy for source-grid-load-storage in active distribution networks oriented toward zero-carbon goals. First, this paper introduces the concepts of the green electricity index and zero-carbon pathway constraints. Building upon this foundation, a coordinated dispatch model for source-grid-load-storage in active distribution networks is constructed, aiming for optimal economic performance while considering equipment and system operational constraints. On the other hand, this paper employs Information Gap Decision Theory (IGDT) to construct uncertainty sets for renewable energy output and load demand, proposing a comprehensive deviation coefficient calculation method. This approach reduces the conservativeness of dispatch decisions while ensuring their robustness. Considering the nonlinear characteristics of the model, an improved sparrow search algorithm is adopted to enhance solution efficiency. Finally, validation using the IEEE-33 node test system demonstrates the effectiveness and feasibility of the proposed method. Full article
Show Figures

Figure 1

26 pages, 3517 KB  
Article
Comparative Assessment of Optimization Strategies with a Hybrid Branch-and-Cut Time Decomposition for Optimal Energy Management Systems
by Tawfiq M. Aljohani
Sustainability 2026, 18(5), 2586; https://doi.org/10.3390/su18052586 - 6 Mar 2026
Viewed by 124
Abstract
The integration of electric vehicles into microgrids demands advanced energy management to coordinate charging with renewable generation and storage resources. This study presents a cohesive and comprehensive evaluation of four distinct optimization strategies—genetic algorithm (GA), particle swarm optimization (PSO), ant colony optimization (ACO), [...] Read more.
The integration of electric vehicles into microgrids demands advanced energy management to coordinate charging with renewable generation and storage resources. This study presents a cohesive and comprehensive evaluation of four distinct optimization strategies—genetic algorithm (GA), particle swarm optimization (PSO), ant colony optimization (ACO), and mixed-integer linear programming (MILP)—in coordinating EV charging and energy dispatch within a 55 MW grid-connected microgrid that includes photovoltaic, wind, battery energy storage (BESS), and bidirectional EV systems. Beyond numerical outcomes, this work emphasizes the behavioral and methodological characteristics of each optimization approach, assessing their structural advantages and resource utilization dynamics. A novel MILP solution algorithm is introduced, based on a hybrid branch-and-cut technique integrated with time decomposition, enabling the solver to capture long-horizon optimization dynamics with high precision. All four methods are applied over a year-long simulation with hourly resolution. While each strategy maintains operational feasibility and power balance, the MILP approach consistently achieves the highest economic benefit, delivering approximately $2.43 million in annual cost savings, representing roughly a 72.3% improvement over the best-performing heuristic strategy under the same deterministic operating conditions. GA, PSO, and ACO each capture moderate benefits but show limitations in foresight and storage cycling. The findings not only benchmark algorithmic performance but also provide insight into the internal logic and structural behavior of optimization techniques applied to dynamic energy systems, offering guidance for algorithm selection and design in microgrid EMS. Full article
Show Figures

Figure 1

23 pages, 1688 KB  
Article
Low-Carbon Economic Dispatch of Integrated Energy Systems with Integrated Dynamic Pricing and Electric Vehicles: A Data-Model Driven Optimization Approach
by Jiale Liu, Weisi Deng, Haohuai Wang, Weidong Gao, Qi Mo and Yan Chen
Energies 2026, 19(5), 1327; https://doi.org/10.3390/en19051327 - 6 Mar 2026
Viewed by 141
Abstract
This paper addresses the critical challenges of multi-stakeholder interest coordination and low-carbon operation in modern power systems, specifically focusing on the interaction among an Integrated Energy System (IES), Electric Vehicle Charging Stations (EVCS), and Load Aggregators (LA). To tackle these challenges, we propose [...] Read more.
This paper addresses the critical challenges of multi-stakeholder interest coordination and low-carbon operation in modern power systems, specifically focusing on the interaction among an Integrated Energy System (IES), Electric Vehicle Charging Stations (EVCS), and Load Aggregators (LA). To tackle these challenges, we propose a novel data-model driven optimization framework. A bi-level model is established, where the upper-level IES acts as the leader, and the lower-level EVCS and LA serve as followers. At the core of our approach is an integrated dynamic pricing mechanism that synergistically combines EVCS operational schedules, carbon emission signals, and load demand response. This mechanism, enhanced by predictive insights from historical data, effectively guides lower-level entities to participate in the upper-level IES’s optimization, thereby aligning individual benefits with system-wide low-carbon goals. The resulting bi-level problem is solved iteratively using CPLEX, with the optimal equilibrium selected via a joint optimality formula. The proposed methodology is validated on a multi-stakeholder case study. Results demonstrate that our AI-enhanced dynamic pricing and dispatch model not only effectively balances the interests of all parties but also significantly improves the system’s low-carbon economic performance, showcasing the potential of integrating physical models with data-driven insights for future energy system management. Full article
Show Figures

Figure 1

24 pages, 1662 KB  
Article
Optimal Synergistic Attack Strategy Targeting Energy Storage and Load Sides in Integrated Energy Systems
by Shan Cheng, Siyu Wan and Weiwei Liu
Energies 2026, 19(5), 1300; https://doi.org/10.3390/en19051300 - 5 Mar 2026
Viewed by 126
Abstract
With the large-scale integration of distributed energy resources, modern energy systems are becoming increasingly dependent on communication networks for monitoring and control. This growing reliance exposes integrated energy systems (IESs) to potential cyber threats, as attackers may exploit vulnerabilities in communication protocols to [...] Read more.
With the large-scale integration of distributed energy resources, modern energy systems are becoming increasingly dependent on communication networks for monitoring and control. This growing reliance exposes integrated energy systems (IESs) to potential cyber threats, as attackers may exploit vulnerabilities in communication protocols to disrupt system operation. However, most existing studies primarily investigate the stable operation of electro–thermal coupled systems from a defensive standpoint, while paying limited attention to the potential economic damage that could be induced from an attacker’s perspective. Motivated by this gap, this paper develops an optimal coordinated attack strategy targeting both energy storage units and load-side resources from the attacker’s viewpoint. First, an economic dispatch model for an electricity–heat–gas integrated energy system is established, and a fully distributed solution algorithm is proposed to obtain the optimal economic operating cost. Subsequently, by compromising energy storage and load units with relatively low security levels, a three-stage coordinated cyber-attack framework is designed for the IES. In the first two stages, covert data integrity attacks (DIAs) are launched to inject falsified power information into the system. In the third stage, a denial-of-service (DoS) attack is introduced to operate in synergy with the DIAs, forcing the system to converge to a feasible yet economically suboptimal operating point. The optimal initiation timing of the DoS attack is derived through theoretical analysis. Simulation results demonstrate that the proposed strategy can induce an economic loss of approximately 21.7% while maintaining system feasibility. By revealing these latent vulnerabilities from an attacker-oriented perspective, this study provides a theoretical basis for the development of proactive defense mechanisms, thereby enhancing the long-term economic and operational security of future integrated energy systems. Full article
Show Figures

Figure 1

28 pages, 2019 KB  
Article
PreSAC-Net: A Hybrid Deep Reinforcement Learning Framework for Short-Term Household Load Forecasting and Energy Scheduling Optimization
by Pengyu Wang, Zechen Zhang, Zerui Zhao, Haozhe Li, Kan Wang and Huaijun Wang
Energies 2026, 19(5), 1279; https://doi.org/10.3390/en19051279 - 4 Mar 2026
Viewed by 150
Abstract
In the power grid scheduling process, load forecasting serves as the foundation for ensuring stability and economic dispatch. It not only optimizes resource allocation but also strengthens the system’s productivity and stability, helps prevent potential risks, and ensures the reliability and safety of [...] Read more.
In the power grid scheduling process, load forecasting serves as the foundation for ensuring stability and economic dispatch. It not only optimizes resource allocation but also strengthens the system’s productivity and stability, helps prevent potential risks, and ensures the reliability and safety of power supply. Therefore, a predictive soft actor–critic network (PreSAC-Net) algorithm is proposed, which aims to reduce grid operating costs and enhance system stability through an enhanced load forecasting model and an optimized scheduling strategy. First, the load forecasting is performed using a sequential feature fusion model with gated recurrent attention and diffusion (SeqFusion-GRAD), which integrates gated recurrent units (GRU), attention mechanisms, and generative diffusion models to strengthen time-series modeling and accurately predict household electricity loads. Second, a multidimensional data fusion technique incorporates meteorological and other relevant factors into household load data, improving the forecast accuracy and robustness. Furthermore, the scheduling optimization is conducted with the soft actor–critic (SAC) algorithm, which explores scheduling schemes to minimize cost under multiple constraints. The integrated approach not only balances the electricity supply and demand effectively but also supports the sustainable development of intelligent grids. Based on the experimental results, the proposed method significantly enhances power system operational efficiency and stability. Full article
(This article belongs to the Special Issue Application of Artificial Intelligence in Electrical Power Systems)
Show Figures

Figure 1

37 pages, 7224 KB  
Article
Coordinated Optimization of Multi-EVCS Participation in P2P Energy Sharing and Joint Frequency Regulation Based on Asymmetric Nash Bargaining
by Nuerjiamali Wushouerniyazi, Haiyun Wang and Yunfeng Ding
Energies 2026, 19(5), 1269; https://doi.org/10.3390/en19051269 - 3 Mar 2026
Viewed by 165
Abstract
To address the challenges of insufficient frequency regulation capability of individual stations, poor collaborative economic performance, and unfair benefit allocation caused by fluctuations in photovoltaic (PV) output and variations in electric vehicle (EV) connectivity during vehicle-to-grid (V2G) interactions under high-penetration PV integration, this [...] Read more.
To address the challenges of insufficient frequency regulation capability of individual stations, poor collaborative economic performance, and unfair benefit allocation caused by fluctuations in photovoltaic (PV) output and variations in electric vehicle (EV) connectivity during vehicle-to-grid (V2G) interactions under high-penetration PV integration, this paper proposes a coordinated optimal operation strategy for peer-to-peer (P2P) energy sharing and joint frequency regulation among multiple electric vehicle charging stations (EVCSs). First, a collaborative framework for P2P energy sharing and joint frequency regulation among EVCSs is constructed to describe the operational mechanism of inter-station energy mutual support and coordinated response to frequency regulation signals. Subsequently, an aggregate model of the dispatchable potential for EV clusters within each station is established based on Minkowski Summation (M-sum), characterizing the charging and discharging power boundaries and frequency regulation potential of the EV clusters. Meanwhile, distributionally robust chance constraints (DRCC) based on the Kullback–Leibler (KL) divergence are introduced to handle the uncertainty of PV power generation within the EVCS. On this basis, a dynamic frequency regulation output model for EV clusters and a multi-station P2P energy sharing model are designed, with the optimization objective of minimizing the total operating cost. Finally, to quantify the differential contributions of each EVCS in the collaborative operation, an asymmetric Nash bargaining benefit allocation mechanism is proposed, which incorporates a comprehensive contribution index considering both energy sharing and joint frequency regulation, The model is solved in a distributed manner using the alternating direction method of multipliers (ADMM). Simulation results demonstrate that, compared to non-cooperative operation, the frequency regulation completeness rates of the EVCSs after cooperation increase by 5.7%, 5.2%, and 4.4%, respectively; meanwhile, the total operating cost drops from CNY 16,187.61 under non-cooperative operation to CNY 15,997.47, achieving a reduction of 1.18%. The proposed strategy not only meets grid frequency regulation demands but also enhances the economic efficiency of multi-station collaborative operation and the fairness of benefit distribution. Full article
(This article belongs to the Special Issue Optimized Energy Management Technology for Electric Vehicle)
Show Figures

Figure 1

20 pages, 4281 KB  
Article
Sustainable Energy Transition Challenges: Limits to the Integration of Core Energy System Components—Reliability Perspective
by Wojciech Uchman, Michał Jurczyk, Jakub Ochmann and Leszek Remiorz
Energies 2026, 19(5), 1232; https://doi.org/10.3390/en19051232 - 1 Mar 2026
Viewed by 334
Abstract
The rapid expansion of non-dispatchable renewable energy sources (VRE) and energy storage technologies raises fundamental questions regarding the structural limits of their integration into power systems. This study aims to determine, from a structural reliability perspective, the adequate penetration limits of VRE in [...] Read more.
The rapid expansion of non-dispatchable renewable energy sources (VRE) and energy storage technologies raises fundamental questions regarding the structural limits of their integration into power systems. This study aims to determine, from a structural reliability perspective, the adequate penetration limits of VRE in a synthetic power system and to assess how firm generation share, storage capacity, and wind–solar technology mix influence system reliability. A synthetic annual load profile reflecting current European conditions was developed from real-life data, along with a set of indicators enabling the consistent characterization and comparison of demand profiles. A deterministic system model was then applied to evaluate power and energy balance under parametrized configurations of firm generation, variable renewable capacity, and storage. Reliability performance was assessed using proposed indices (RIs) covering, among others, capacity margin, loss of load duration, frequency, etc. The results demonstrate the existence of structural penetration limits of non-dispatchable renewables that cannot be eliminated solely by increasing storage capacity, but only shifted. The technological composition of VRE is shown to be as important as total penetration: higher wind shares improve seasonal alignment and reduce reliability risks, whereas PV-dominated configurations increase curtailment and storage dependence. Moderate overcapacity, combined with a balanced wind–solar mix, provides the most favorable structural reliability conditions. These findings underscore the importance of incorporating reliability-based structural constraints into long-term energy transition planning, beyond purely economic optimization criteria. Full article
Show Figures

Figure 1

28 pages, 2155 KB  
Article
Deep Reinforcement Learning for Battery Energy Storage Optimization and Residential Decarbonization in Grid-Deficient Environments: An Iraqi Case Study
by Ahmed Mohammed, Badr M. Abdullah, Ali Shubbar, Qian Zhang, Omar Aldhaibani, Jeff Cullen and Amer Salih
Energies 2026, 19(5), 1233; https://doi.org/10.3390/en19051233 - 1 Mar 2026
Viewed by 281
Abstract
In grid-deficient environments, residential energy systems face severe carbon emission penalties due to mandatory reliance on diesel standby generators during supply interruptions. In Iraq, summer peak loads routinely exceed grid capacity, triggering prolonged generator operation and dramatically increasing household carbon footprints. This study [...] Read more.
In grid-deficient environments, residential energy systems face severe carbon emission penalties due to mandatory reliance on diesel standby generators during supply interruptions. In Iraq, summer peak loads routinely exceed grid capacity, triggering prolonged generator operation and dramatically increasing household carbon footprints. This study presents a deep Q-network (DQN) reinforcement learning framework for intelligent battery energy storage system (BESS) scheduling, targeting carbon emissions reduction through strategic peak shaving. The DQN agent learns optimal battery dispatch strategies by internalizing diurnal patterns in load and solar generation through temporal state features, enabling anticipatory control without requiring explicit external forecasting models. The system is trained on one-year operational data from a representative Iraqi residential installation and evaluated over the critical summer period (122 days, 35.5% grid unavailability). The results demonstrate a 54.8% CO2 reduction (306.5 kg versus 677.4 kg baseline), a 25.5% reduction in generator runtime, and a 23.7% reduction in operating costs for the studied configuration. The learned policy approaches 89.6% of perfect-foresight MILP performance while executing 35,000 times faster. A reward function sensitivity analysis across five weighting schemes confirms that the 20:1 carbon-to-cost priority ratio optimally balances environmental and economic objectives. Ablation studies quantify the mechanism contributions: anticipatory pre-charging accounts for 58% of the total improvement, discharge optimization for 44%, and real-time PV coordination for 22%. These findings establish DQN-based BESS optimization as a practically deployable decarbonization approach for residential systems in grid-constrained developing regions. Full article
Show Figures

Figure 1

Back to TopTop